GC-MS Analysis with In Situ Derivatization for Managing Toxic Oxidative Hair Dye Ingredients in Hair Products
Abstract
1. Introduction
2. Experimental
2.1. Chemicals and Materials
2.2. Sample Preparation Including In Situ Derivatization
2.3. Gas Chromatography–Mass Spectrometry Conditions
2.4. Method Validation
3. Results and Discussion
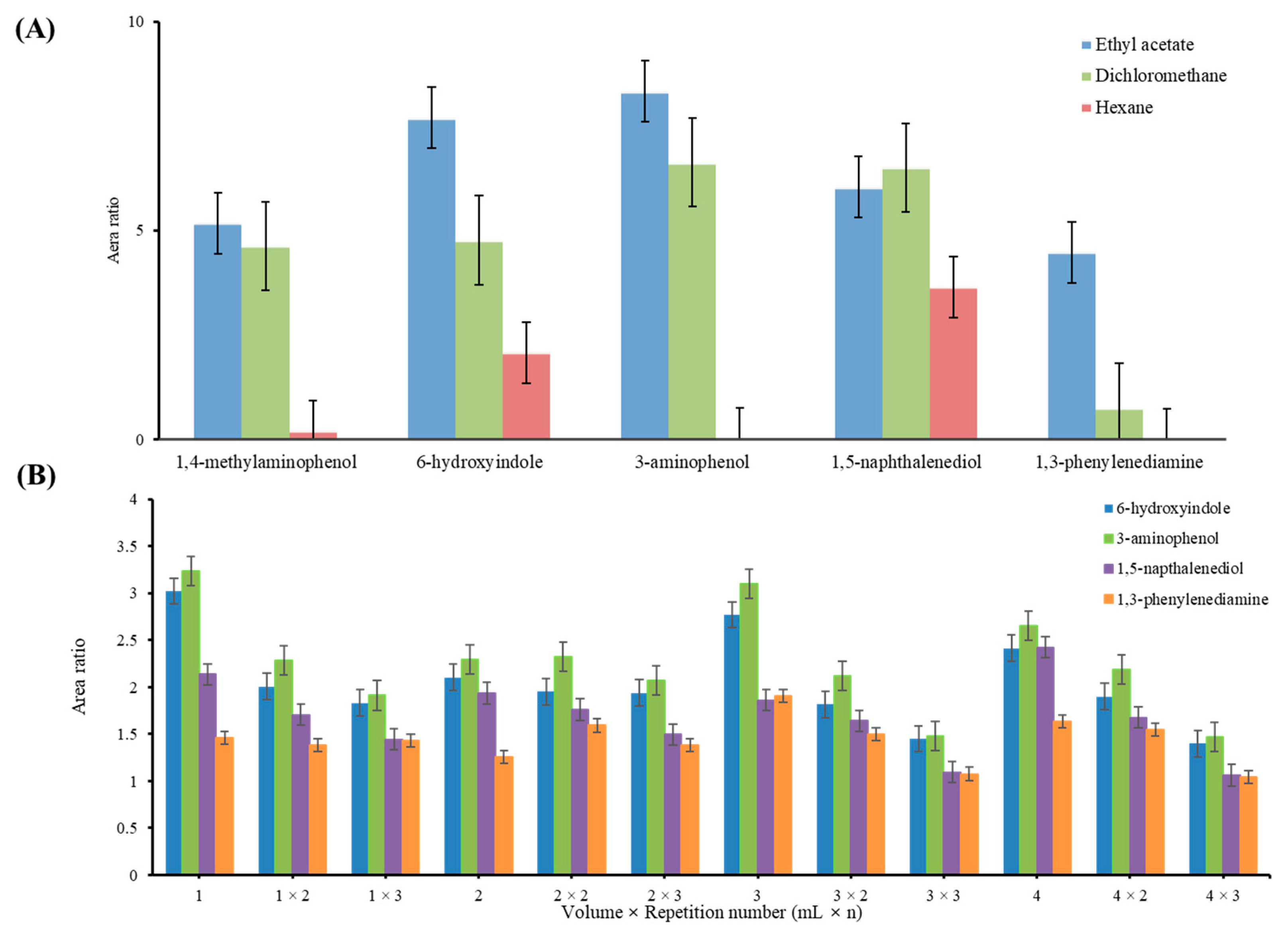
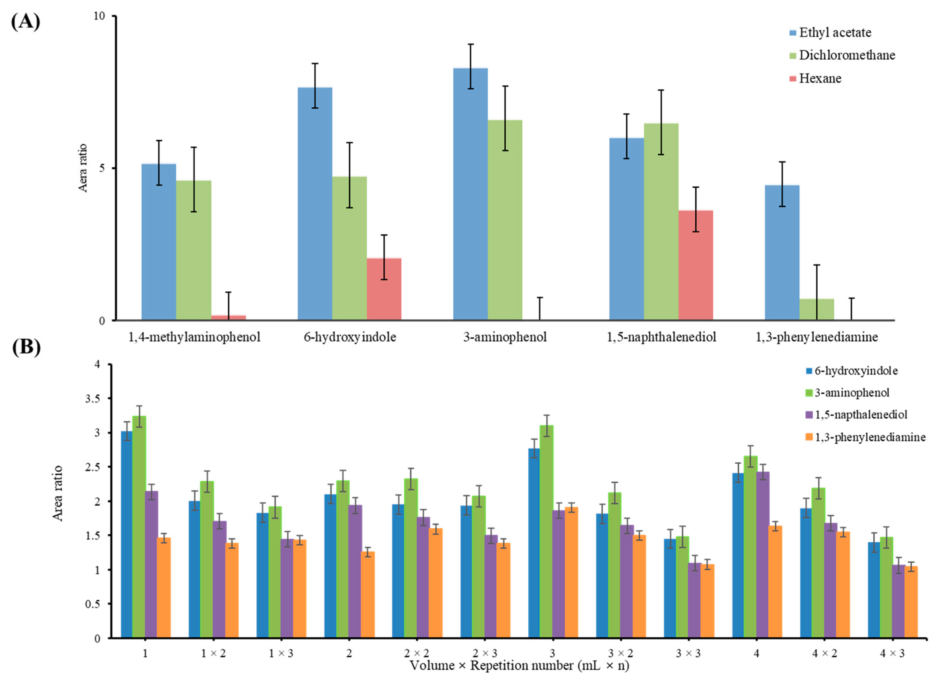
3.1. Optimization of In Situ Derivatization and Extraction Conditions
3.2. GC-MS-SIM Conditions
3.3. Method Validation
3.4. Application to Hair Care Products
4. Conclusions
Supplementary Materials
Author Contributions
Funding
Institutional Review Board Statement
Informed Consent Statement
Data Availability Statement
Conflicts of Interest
References
- Sankar, J.; Sawarkar, S.; Malakar, J.; Rawa, B.S.; Ali, M.A. Mechanism of hair dying and their safety aspects: A review. Asian J. Appl. Sci. 2017, 10, 190–196. [Google Scholar] [CrossRef][Green Version]
- Da França, S.A.; Dario, M.F.; Esteves, V.B.; Baby, A.R.; Velasco, M.V.R. Types of hair dye and their mechanisms of action. Cosmetics 2015, 2, 110–126. [Google Scholar] [CrossRef]
- Robbins, C.R. Dyeing human hair. In Chemical and Physical Behavior of Human Hair, 5th ed.; Springer: Berlin/Haidelberg, Germany, 2012; pp. 445–488. [Google Scholar]
- IARC Monographs Working Group on the Evaluation of Carcinogenic Risks to Humans. Some aromatic amines, organic dyes, and related exposures. IARC Monogr. Eval. Carcinog. Risks Hum. 2010, 99, 1. [Google Scholar]
- Baan, R.; Straif, K.; Grosse, Y.; Secretan, B.; Ghissassi, F.E.; Bouvard, V.; Benbrahim-Tallaa, L.; Cogliano, V. Carcinogenicity of some aromatic amines, organic dyes, and related exposures. Lancet Oncol. 2008, 9, 322–323. [Google Scholar] [CrossRef] [PubMed]
- Goyal, S.; Amar, S.K.; Dwivedi, A.; Mujtaba, S.F.; Kushwaha, H.N.; Chopra, D.; Pal, M.K.; Singh, D.; Chaturvedi, R.K.; Ray, R.S. Photosensitized 2-amino-3-hydroxypyridine-induced mitochondrial apoptosis via Smac/DIABLO in human skin cells. Toxicol. Appl. Pharmacol. 2016, 297, 12–21. [Google Scholar] [CrossRef] [PubMed]
- More, S.L.; Fung, E.S.; Mathis, C.; Schulte, A.M.; Hollins, D. Dermal exposure and hair dye: Assessing potential bladder cancer risk from permanent hair dye. Regul. Toxicol. Pharmacol. 2023, 138, 105331. [Google Scholar] [CrossRef]
- European Commission. Regulation (EC) No 1223/2009 of the European Parliament and of the Council on cosmetic products. Off. J. Eur. Union 2009, 342, 59. [Google Scholar]
- Ministry of Food and Drug Safety. Notice No. 2024-9 of the Regulations on the Safety Standards, etc. of Cosmetics; Ministry of Food and Drug Safety: Cheongju-si, Republic of Korea, 2024.
- Zhang, S.; Liu, B.; Li, W.; Lin, T.; Yang, H.; Pei, Y.; Gong, Z. Highly selective and sensitive fluorescence determination of m-Phenylenediamine. Microchem. J. 2021, 167, 106283. [Google Scholar] [CrossRef]
- Antelmi, A.; Bruze, M.; Zimerson, E.; Engfeldt, M.; Young, E.; Persson, L.; Foti, C.; Sörensen, Ö.; Svedman, C. Evaluation of concordance between labelling and content of 52 hair dye products: Overview of the market of oxidative hair dye. Eur. J. Dermatol. 2017, 27, 123–131. [Google Scholar] [CrossRef]
- Narita, M.; Murakami, K.; Kauffmann, J.-M. Determination of dye precursors in hair coloring products by liquid chromatography with electrochemical detection. Anal. Chim. Acta 2007, 588, 316–320. [Google Scholar] [CrossRef]
- Turesky, R.J.; Freeman, J.P.; Holland, R.D.; Nestorick, D.M.; Miller, D.W.; Ratnasinghe, D.L.; Kadlubar, F.F. Identification of aminobiphenyl derivatives in commercial hair dyes. Chem. Res. Toxicol. 2003, 16, 1162–1173. [Google Scholar] [CrossRef] [PubMed]
- Guerra, E.; Llompart, M.; Garcia-Jares, C. Miniaturized matrix solid-phase dispersion followed by liquid chromatography-tandem mass spectrometry for the quantification of synthetic dyes in cosmetics and foodstuffs used or consumed by children. J. Chromatogr. A 2017, 1529, 29–38. [Google Scholar] [CrossRef] [PubMed]
- Guerra, E.; Lamas, J.P.; Llompart, M.; Garcia-Jares, C. Determination of oxidative hair dyes using miniaturized extraction techniques and gas chromatography-tandem mass spectrometry. Microchem. J. 2017, 132, 308–318. [Google Scholar] [CrossRef]
- Ahmed, H.A.M.; Maaboud, R.M.A.; Latif, F.F.A.; El-Dean, A.M.K.; El-Shaieb, K.M.; Vilanova, E.; Estevan, C. Different analytical methods of para-phenylenediamine based hair dye. J. Cosmet. Dermatol. Sci. Appl. 2013, 03, 17–25. [Google Scholar] [CrossRef]
- Akyüz, M.; Ata, Ş. Determination of aromatic amines in hair dye and henna samples by ion-pair extraction and gas chromatography–mass spectrometry. J. Pharm. Biomed. Anal. 2007, 47, 68–80. [Google Scholar] [CrossRef]
- Sun, J.; Xue, G.-X.; Gong, X.; Zhang, Z.-P.; Xu, J.; Chen, L.; Cao, L.; Feng, Y.-L.; Zhang, Y.-J. Rapid determination of 54 dye components in hair dyes by liquid chromatography coupled to quadrupole orbitrap high-resolution mass spectrometry. Anal. Methods 2024, 16, 7341–7351. [Google Scholar] [CrossRef]
- Baker, G.B.; Coutts, R.T.; Holt, A. Derivatization with acetic anhydride: Applications to the analysis of biogenic amines and psychiatric drugs by gas chromatography and mass spectrometry. J. Pharmacol. Toxicol. Methods 1994, 31, 141–148. [Google Scholar] [CrossRef]
- Atapattu, S.N.; Rosenfeld, J.M. Analytical derivatizations in environmental analysis. J. Chromatogr. A 2022, 1678, 463348. [Google Scholar] [CrossRef]
- Ito, R.; Ushiro, M.; Takahashi, Y.; Saito, K.; Ookubo, T.; Iwasaki, Y.; Nakazawa, H. Improvement and validation the method using dispersive liquid–liquid microextraction with in situ derivatization followed by gas chromatography–mass spectrometry for determination of tricyclic antidepressants in human urine samples. J. Chromatogr. B 2011, 879, 3714–3720. [Google Scholar] [CrossRef]
- Ferreira, A.M.C.; Laespada, M.E.F.; Pavón, J.L.P.; Cordero, B.M. In situ aqueous derivatization as sample preparation technique for gas chromatographic determinations. J. Chromatogr. A 2013, 1296, 70–83. [Google Scholar] [CrossRef]
- Cai, K.; Gao, W.; Yuan, Y.; Gao, C.; Zhao, H.; Lin, Y.; Pan, W.; Lei, B. An improved in situ acetylation with dispersive liquid-liquid microextraction followed by gas chromatography–mass spectrometry for the sensitive determination of phenols in mainstream tobacco smoke. J. Chromatogr. A 2019, 1603, 401–406. [Google Scholar] [CrossRef] [PubMed]
- Choi, H.; Lee, K. Crosslinking mechanisms of phenol, catechol, and gallol for synthetic polyphenols: A comparative review. Appl. Sci. 2022, 12, 11626. [Google Scholar] [CrossRef]
- Zhou, F.; Last, R.L.; Pichersky, E. Degradation of salicylic acid to catechol in Solanaceae by SA 1-hydroxylase. Plant Physiol. 2021, 185, 876–891. [Google Scholar] [CrossRef] [PubMed]




| Analytes | Calibration Range (µg/g) | Linear Regression Equation | r2 | LODs (µg/g) | LOQs (µg/g) |
|---|---|---|---|---|---|
| Catechol * | 0.5–100 | y = 0.00065673x − 0.05655 | 0.999 | 0.34 | 1.01 |
| Resorcinol | 0.1–100 | y = 0.00064491x + 0.00844 | 0.999 | 0.08 | 0.23 |
| Amidol | 5–100 | y = 0.00000649x − 0.00247 | 0.999 | 2.58 | 7.75 |
| 2-Methylresorcinol | 0.5–100 | y = 0.00049549x − 0.14419 | 0.999 | 0.13 | 0.40 |
| 1-Naphthol | 0.1–100 | y = 0.00024251x − 0.00283 | 0.999 | 0.03 | 0.09 |
| 2-Aminophenol * | 0.1–100 | y = 0.00050966x − 0.02034 | 0.999 | 0.07 | 0.20 |
| 2-Amino-3-hydroxypyridine | 0.5–100 | y = 0.00035237x − 0.01697 | 0.999 | 0.27 | 0.81 |
| Pyrogallol * | 1–100 | y = 0.00090479x − 0.55632 | 0.996 | 0.40 | 1.21 |
| 4-Methylaminophenol | 0.5–100 | y = 0.00051693x − 0.02538 | 0.999 | 0.13 | 0.38 |
| 6-Hydroxyindole | 0.1–100 | y = 0.00065969x + 0.00183 | 0.999 | 0.03 | 0.09 |
| 3-Aminophenol | 0.5–100 | y = 0.00094849x − 0.34823 | 0.999 | 0.06 | 0.17 |
| 4-Aminophenol | 0.5–100 | y = 0.00106028x − 0.36194 | 0.999 | 0.21 | 0.64 |
| 5-Amino-2-methylphenol | 0.1–100 | y = 0.00114624x − 0.10384 | 0.999 | 0.06 | 0.18 |
| 1,5-Naphthalenediol | 0.1–100 | y = 0.00026184x − 0.00438 | 0.999 | 0.02 | 0.05 |
| 2-Amino-4-nitrophenol * | 0.5–100 | y = 0.00001830x − 0.00143 | 0.999 | 0.14 | 0.41 |
| 2,6-Diaminopyridine | 0.1–100 | y = 0.00016340x − 0.00196 | 0.999 | 0.14 | 0.42 |
| 2-Amino-5-nitrophenol * | 0.1–100 | y = 0.00002763x + 0.00227 | 0.999 | 0.16 | 0.48 |
| 5-(2-Hydroxyethyl)amino-2-methylphenol | 0.1–100 | y = 0.00049635x − 0.03 | 0.996 | 0.10 | 0.30 |
| 1,3-Phenylenediamine * | 0.1–100 | y = 0.00051658x − 0.02990 | 0.998 | 0.12 | 0.37 |
| 2-Chloro-1,4-phenylenediamine * | 0.1–100 | y = 0.00023605x − 0.01863 | 0.999 | 0.05 | 0.15 |
| 1,4-Phenylenediamine * | 0.1–100 | y = 0.00071032x − 0.02409 | 0.999 | 0.15 | 0.45 |
| 2,5-diaminotoluene | 0.1–100 | y = 0.00019091x + 0.00116 | 0.999 | 0.15 | 0.45 |
| 2-Nitro-1,4-phenylenediamine * | 0.1–100 | y = 0.00018237x + 0.00036 | 0.999 | 0.24 | 0.73 |
| 2,4-Diaminophenoxyethanol | 0.5–100 | y = 0.00006866x − 0.00313 | 0.999 | 0.38 | 1.14 |
| 4-Nitro-1,2-phenylenediamine | 1–100 | y = 0.00001374x + 0.00148 | 0.999 | 1.34 | 4.00 |
| N-Phenyl-1,4-phenylenediamine | 0.1–100 | y = 0.00052814x − 0.02535 | 0.999 | 0.05 | 0.14 |
Disclaimer/Publisher’s Note: The statements, opinions and data contained in all publications are solely those of the individual author(s) and contributor(s) and not of MDPI and/or the editor(s). MDPI and/or the editor(s) disclaim responsibility for any injury to people or property resulting from any ideas, methods, instructions or products referred to in the content. |
© 2025 by the authors. Licensee MDPI, Basel, Switzerland. This article is an open access article distributed under the terms and conditions of the Creative Commons Attribution (CC BY) license (https://creativecommons.org/licenses/by/4.0/).
Share and Cite
Park, G.; Cho, W.-Y.; Park, J.; Jeong, Y.; Kim, J.; Park, H.J.; Min, K.H.; Lee, W. GC-MS Analysis with In Situ Derivatization for Managing Toxic Oxidative Hair Dye Ingredients in Hair Products. Chemosensors 2025, 13, 94. https://doi.org/10.3390/chemosensors13030094
Park G, Cho W-Y, Park J, Jeong Y, Kim J, Park HJ, Min KH, Lee W. GC-MS Analysis with In Situ Derivatization for Managing Toxic Oxidative Hair Dye Ingredients in Hair Products. Chemosensors. 2025; 13(3):94. https://doi.org/10.3390/chemosensors13030094
Chicago/Turabian StylePark, Geon, Won-Young Cho, Jisu Park, Yujin Jeong, Jihwan Kim, Hyo Joon Park, Kyung Hyun Min, and Wonwoong Lee. 2025. "GC-MS Analysis with In Situ Derivatization for Managing Toxic Oxidative Hair Dye Ingredients in Hair Products" Chemosensors 13, no. 3: 94. https://doi.org/10.3390/chemosensors13030094
APA StylePark, G., Cho, W.-Y., Park, J., Jeong, Y., Kim, J., Park, H. J., Min, K. H., & Lee, W. (2025). GC-MS Analysis with In Situ Derivatization for Managing Toxic Oxidative Hair Dye Ingredients in Hair Products. Chemosensors, 13(3), 94. https://doi.org/10.3390/chemosensors13030094

