Conceptualizing COVID-19 and Public Panic with the Moderating Role of Media Use and Uncertainty in China: An Empirical Framework
Abstract
1. Introduction
1.1. Existing Theoretical Perspectives of Panic
1.1.1. Perspective of Physiological Analysis
1.1.2. Perspective of Psychological Analysis
1.2. Critical Assessment of the Given Perspectives
1.3. New Analytical Framework and Hypothesis
2. Materials and Methods
2.1. Data, Variables, and Measurements
2.1.1. Data
2.1.2. Dependent Variable
2.1.3. Independent Variable and Major Explanatory Variable
2.1.4. Control Variable
2.1.5. Model
3. Results
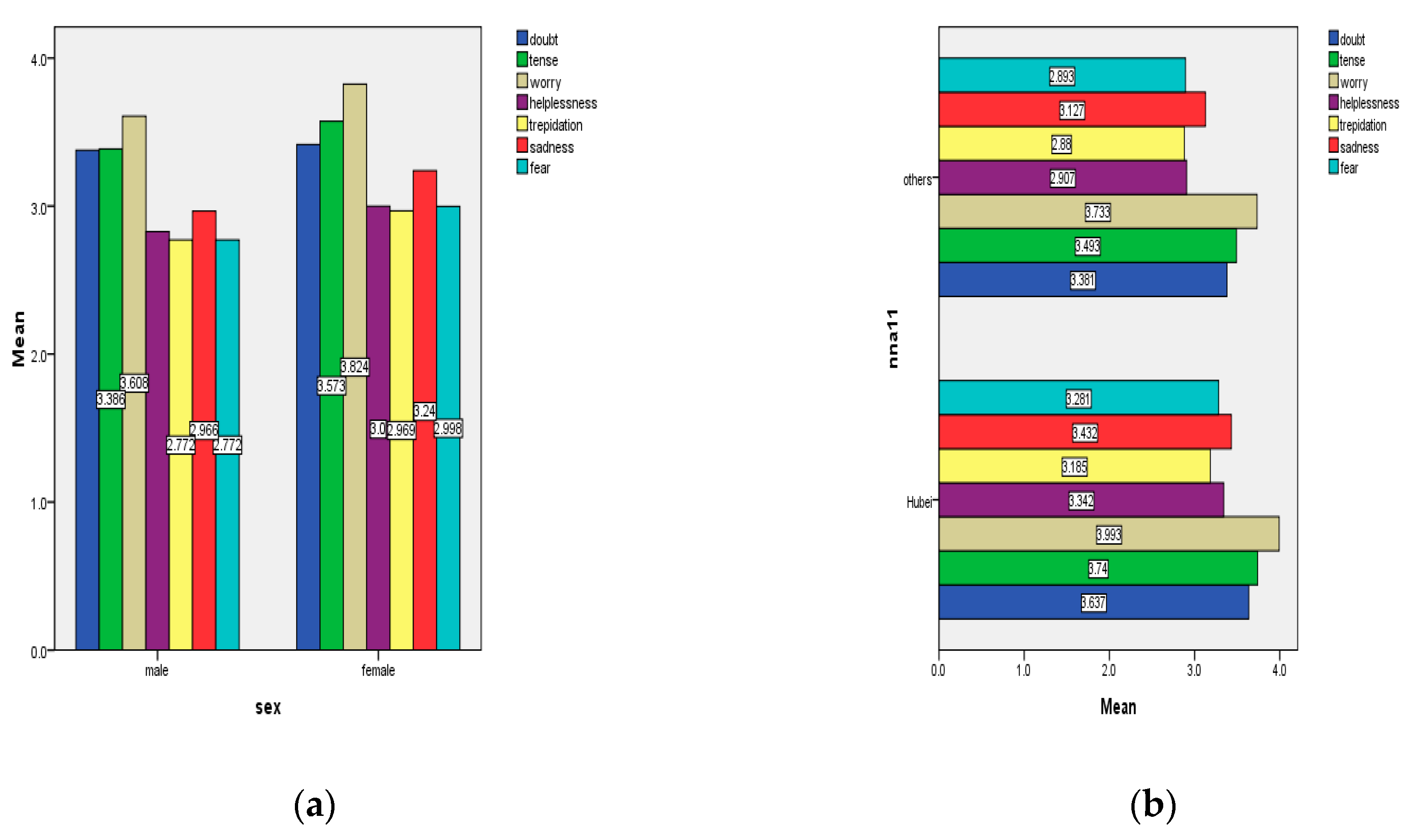
3.1. Manifestation and Characteristics of Panic
3.2. Uncertainty, Media Use, and Panic
3.2.1. Cognition of the Virus Itself, Consequences, Attention, and Panic
3.2.2. Moderating Role of Media and Panic
3.2.3. Consequences of Panic
4. Discussion
5. Conclusions
Policy Implications
Supplementary Materials
Author Contributions
Funding
Conflicts of Interest
References
- Sohrabi, C.; Alsafi, Z.; O’Neill, N.; Khan, M.; Kerwan, A.; Al-Jabir, A.; Iosifidis, C.; Agha, R. World Health Organization declares global emergency: A review of the 2019 novel coronavirus (COVID-19). Int. J. Surg. 2020, 76, 71–76. [Google Scholar] [CrossRef] [PubMed]
- Livingston, E.; Bucher, K.; Rekito, A. Coronavirus disease 2019 and influenza 2019–2020. JAMA 2020, 323, 1122. [Google Scholar] [CrossRef] [PubMed]
- Wu, F.; Zhao, S.; Yu, B.; Chen, Y.M.; Wang, W.; Song, Z.G.; Hu, Y.; Tao, Z.W.; Tian, J.H.; Pei, Y.Y.; et al. A new coronavirus associated with human respiratory disease in China. Nature 2020, 579, 265–269. [Google Scholar] [CrossRef] [PubMed]
- Imran, N.; Zeshan, M.; Pervaiz, Z. Mental health considerations for children & adolescents in COVID-19 Pandemic. Pak. J. Med. Sci. 2020, 36. [Google Scholar] [CrossRef]
- Haider, I.I.; Tiwana, F.; Tahir, S.M. Impact of the COVID-19 Pandemic on Adult Mental Health. Pak. J. Med. Sci. 2020, 36. [Google Scholar] [CrossRef]
- Brennan, J.; Reilly, P.; Cuskelly, K.; Donnelly, S. Social work, mental health, older people and Covid19. Int. Psychogeriatr. 2020. [Google Scholar] [CrossRef]
- Hevia, C.; Neumeyer, A. A Conceptual Framework for Analyzing the Economic Impact of COVID-19 and its Policy Implications; Universidad Torcuato Di Tella: Buenos Aires, Argentina, 2010; pp. 1–18. [Google Scholar]
- Rose, T.C.; Mason, K.; Pennington, A.; McHale, P.; Taylor-Robinson, D.C.; Barr, B. Inequalities in COVID19 mortality related to ethnicity and socioeconomic deprivation. medRxiv 2020. [Google Scholar] [CrossRef]
- Xu, X.; Zhang, L.; Chen, L.; Wei, F. Does COVID-2019 have an impact on the purchase intention of commercial long-term care insurance among the elderly in China? Healthcare 2020, 8, 126. [Google Scholar] [CrossRef]
- Venkatesh, A.; Edirappuli, S. Social distancing in covid-19: What are the mental health implications? BMJ 2020, 369, m1379. [Google Scholar] [CrossRef] [PubMed]
- Evans, G.W. The built environment and mental health. J. Urban Health 2003, 80, 536–555. [Google Scholar] [CrossRef] [PubMed]
- Domínguez-Salas, S.; Gómez-Salgado, J.; Andrés-Villas, M.; Díaz-Milanés, D.; Romero-Martín, M.; Ruiz-Frutos, C. Psycho-Emotional approach to the psychological distress related to the COVID-19 pandemic in Spain: A Cross-Sectional Observational Study. Healthcare 2020, 8, 190. [Google Scholar] [CrossRef] [PubMed]
- Turner-Musa, J.; Ajayi, O.; Kemp, L. Examining Social Determinants of Health, Stigma, and COVID-19 Disparities. Healthcare 2020, 8, 168. [Google Scholar] [CrossRef] [PubMed]
- Wang, C.; Pan, R.; Wan, X.; Tan, Y.; Xu, L.; Ho, C.S.; Ho, R.C. Immediate psychological responses and associated factors during the initial stage of the 2019 coronavirus disease (COVID-19) epidemic among the general population in China. Int. J. Environ. Res. Public Health 2020, 17, 1729. [Google Scholar] [CrossRef] [PubMed]
- Zhang, Y.; Ma, Z.F. Impact of the COVID-19 pandemic on mental health and quality of life among local residents in Liaoning Province, China: A cross-sectional study. Int. J. Environ. Res. Public Health 2020, 17, 2381. [Google Scholar] [CrossRef]
- Li, S.; Wang, Y.; Xue, J.; Zhao, N.; Zhu, T. The impact of covid-19 epidemic declaration on psychological consequences: A study on active weibo users. Int. J. Environ. Res. Public Health 2020, 17, 2032. [Google Scholar] [CrossRef] [PubMed]
- Adolphs, R. The biology of fear. Curr. Biol. 2013, 23, R79–R93. [Google Scholar] [CrossRef]
- Darwin, C. The expression of the emotions in man and animals. J. Anthropol. Inst. G.B. Irel. 1873, 2, 444. [Google Scholar] [CrossRef]
- Gross, C.T.; Canteras, N.S. The many paths to fear. Nat. Rev. Neurosci. 2012, 13, 651–658. [Google Scholar] [CrossRef]
- Davis, M.; Walker, D.L.; Miles, L.; Grillon, C. Phasic vs sustained fear in rats and humans: Role of the extended amygdala in fear vs anxiety. Neuropsychopharmacology 2010, 35, 105–135. [Google Scholar] [CrossRef]
- Mobbs, D.; Yu, R.; Rowe, J.B.; Eich, H.; FeldmanHall, O.; Dalgleish, T. Neural activity associated with monitoring the oscillating threat value of a tarantula. Proc. Natl. Acad. Sci. USA 2010, 107, 20582–20586. [Google Scholar] [CrossRef]
- Lindsay, S.J.E. Treating children’s fears and phobias—A behavioural approach. Behav. Res. Ther. 1984, 22, 201. [Google Scholar] [CrossRef]
- King, N.J.; Hamilton, D.I.; Ollendick, T.H. Children’s phobias: A behavioural perspective. Choice Rev. Online 1988, 26, 2402. [Google Scholar] [CrossRef]
- Başoǧlu, M.; ŞalcIoǧlu, E.; Livanou, M.J. Traumatic Stress Responses in Earthquake Survivors in Turkey. Trauma Stress 2002, 15, 269–276. [Google Scholar] [CrossRef]
- Armfield, J.M. Cognitive vulnerability: A model of the etiology of fear. Clin. Psychol. Rev. 2006, 26, 746–768. [Google Scholar] [CrossRef]
- Zhang, L.; Li, H.; Chen, K. Effective risk communication for public health emergency: Reflection on the COVID-19 (2019-nCoV) outbreak in Wuhan, China. Healthcare 2020, 8, 64. [Google Scholar] [CrossRef]
- Graziano, A.M.; DeGiovanni, I.S.; Garcia, K.A. Behavioral treatment of children’s fears: A review. Psychol. Bull. 1979, 86, 804–830. [Google Scholar] [CrossRef]
- Wei, Y.; Tang, S.Q. Several major models of stress theory and their evaluations. J. Psychol. Sci. 1998, 5, 441–444. [Google Scholar]
- Langford, I.H.; Day, R.J.; Georgiou, S.; Bateman, I.J. A Cognitive Social Psychological Model for Predicting Individual Risk Perceptions and Preferences; CSERGE GEC Working Paper: Norwich, UK, 2000. [Google Scholar]
- Slovic, P. Perception of risk. Science 1987, 236, 280–285. [Google Scholar] [CrossRef]
- Fischhoff, B. Risk perception and communication unplugged: Twenty years of process. Risk Anal. 1995, 15, 137–145. [Google Scholar] [CrossRef]
- Xie, X.F.; Zhou, Z.J.; Wang, L. Risk behavior characteristics of people with different achievement motivation in risk situations. Acta Psychol. Sin. 2004, 36, 744–749. [Google Scholar]
- Shi, K.; Fan, H.X.; Jia, J.M. Risk perception and psychological behavior of Chinese people towards information of SARS. Acta Psychol. Sin. 2003, 546–554. [Google Scholar]
- Sun, D.Y. Research on individual and group behavior decision-making under sudden social public crisis. National University of Defense Technology, Changsha, Hunan, China. Available online: http://10.1.76.11/kcms/detail/detail.aspx?recid=&FileName=2006127553.nh&DbName=CDFD9908&DbCode=CDFD&uid=M0JlbE8rMDZTZjB0bUU1ekY4alFNRUIxY0hhWERnbTg0NmFYc3dIeGliTnBpQkZk (accessed on 2 August 2020).
- Li, H.Q.; Wang, S.H. Research on the relationship between public demand, risk perception and psychological behavior in sudden disasters. Dajia 2011, 18, 107–108. [Google Scholar]
- Shao, P.R. Terror from the media? An Introduction and enlightenment of media panic. Shanghai J. Rev. 2007, 24, 23–25. [Google Scholar]
- Wang, H. The causes and elimination of group panic psychology: An interpretation of group psychology from the SARS epidemic. J. Beijing Univ. Posts Telecommun. 2003, 5, 1–4. [Google Scholar]
- Zhou, X.H. Propagation distortion: A social psychological analysis of “SARS” rumors. Sociol. Stud. 2003, 17, 45–56. [Google Scholar]
- Browne, K. Snowball sampling: Using social networks to research non-heterosexual women. Int. J. Soc. Res. Methodol. Theory Pract. 2005, 8, 47–60. [Google Scholar] [CrossRef]
- Baltar, F.; Brunet, I. Social research 2.0: Virtual snowball sampling method using Facebook. Internet Res. 2012, 22, 57–74. [Google Scholar] [CrossRef]
- Olive, D.J. Linear Regression; Springer International Publishing: Cham, Switzerland, 2017; pp. 17–83. ISBN 9783319552521. [Google Scholar]
- Su, X.; Yan, X.; Tsai, C.L. Linear regression. Wiley Interdiscip. Rev. Comput. Stat. 2012, 4, 275–294. [Google Scholar] [CrossRef]
- Hayes, A.F.; Matthes, J. Computational procedures for probing interactions in OLS and logistic regression: SPSS and SAS implementations. Behav. Res. Methods 2009, 41, 924–936. [Google Scholar] [CrossRef]
- Powers, D.A.; Xie, Y. Models for ordinal dependent variables. In Statistical Methods for Categorical Data Analysis; Emerald Group Publishing: Bingley, UK, 2000; pp. 201–222. [Google Scholar]
- Liu, X. Statistical software applications & review ordinal regression analysis: Fitting the proportional odds model using Stata, SAS and SPSS. J. Mod. Appl. Stat. Methods 2009, 8, 632–645. [Google Scholar] [CrossRef]
- Farseev, A.; Chu-Farseeva, Y.; Qi, Y.; Loo, D.B. Understanding economic and health factors impacting the spread of COVID-19 disease. medRxiv 2020. [Google Scholar] [CrossRef]
- Gomes da Silva, J. Evolution of COVID19 new cases in 16 countries and Scenarios for Brazil using metaphorical analysis of board, inverted pyramid and papyri. Int. J. Innov. Educ. Res. 2020, 8, 560–607. [Google Scholar] [CrossRef]
- Finch, K.C.; Snook, K.R.; Duke, C.H.; Fu, K.W.; Tse, Z.T.H.; Adhikari, A.; Fung, I.C.H. Public health implications of social media use during natural disasters, environmental disasters, and other environmental concerns. Nat. Hazards 2016, 83, 729–760. [Google Scholar] [CrossRef]
- Han, X.; Wang, J.; Zhang, M.; Wang, X. Using social media to mine and analyze public opinion related to COVID-19 in China. Int. J. Environ. Res. Pub. Health 2020, 17, 2788. [Google Scholar] [CrossRef] [PubMed]




| Variable | Factor 1 | Factor 2 | Factor 3 | Uniqueness |
|---|---|---|---|---|
| Doubt | 0.5361 | 0.18 | 0.0583 | 0.6768 |
| Tension | 0.7968 | 0.3068 | −0.0672 | 0.2665 |
| Worry | 0.7484 | 0.3641 | 0.0134 | 0.3071 |
| Helplessness | 0.8019 | −0.167 | 0.0163 | 0.3287 |
| Trepidation | 0.8625 | −0.2397 | −0.059 | 0.1952 |
| Sadness | 0.7211 | −0.1222 | 0.1048 | 0.4541 |
| Fear | 0.842 | −0.2193 | −0.0303 | 0.242 |
| Eigenvalue | 4.09839 | 0.40747 | 0.02375 | |
| Cumulative variance | 0.9773 | 0.9844 | 0.9861 |
| Variable | Observations | Mean | SD | Min | Max |
|---|---|---|---|---|---|
| Doubt | 1539 | 3.411306 | 0.963793 | 1 | 5 |
| Tension | 1539 | 3.520468 | 0.962261 | 1 | 5 |
| Worry | 1539 | 3.758285 | 0.938306 | 1 | 5 |
| Helplessness | 1539 | 2.954516 | 1.147966 | 1 | 5 |
| Trepidation | 1539 | 2.910331 | 1.131654 | 1 | 5 |
| Sadness | 1539 | 3.157245 | 1.170716 | 1 | 5 |
| Fear | 1539 | 2.933723 | 1.133839 | 1 | 5 |
| Variables | Model 1 | Model 2 | Model 3 | Model 4 |
|---|---|---|---|---|
| High infectivity | 0.0373 | 0.0743 ** | 0.0797 *** | 0.0802 *** |
| (0.0269) | (0.0249) | (0.0238) | (0.0239) | |
| Rapid fatality | 0.0568 | 0.0537 | 0.0419 | 0.0451 |
| (0.0314) | (0.0288) | (0.0274) | (0.0274) | |
| High mortality | 0.0825 * | 0.0372 | 0.0283 | 0.0226 |
| (0.0321) | (0.0296) | (0.0282) | (0.0282) | |
| No specific drug | 0.0924 *** | 0.0447 * | 0.0273 | 0.0337 |
| (0.0216) | (0.0201) | (0.0191) | (0.0192) | |
| Personal impact | 0.292 *** | 0.232 *** | 0.232 *** | |
| (0.0253) | (0.0246) | (0.0246) | ||
| Social impact | 0.204 *** | 0.0847 * | 0.0910 * | |
| (0.0389) | (0.0384) | (0.0383) | ||
| Risk (natural and social) | 0.0768 *** | 0.0610 ** | 0.0583 ** | |
| (0.0229) | (0.0218) | (0.0217) | ||
| Controllable degree | −0.146 *** | −0.116 *** | −0.116 *** | |
| (0.0262) | (0.0253) | (0.0252) | ||
| Attention degree | 0.0941 * | 0.0888 * | ||
| (0.0387) | (0.0388) | |||
| Epidemic situation expansion | 0.103 *** | 0.103 *** | ||
| (0.0283) | (0.0283) | |||
| Information transparency concern | 0.0872 *** | 0.0889 *** | ||
| (0.0223) | (0.0223) | |||
| Adequate life materials concern | 0.0982 *** | 0.0964 *** | ||
| (0.0210) | (0.0210) | |||
| Attention frequency | 0.142 *** | 0.137 *** | ||
| (0.0265) | (0.0265) | |||
| Official media | 0.209 ** | |||
| (0.0787) | ||||
| Unofficial media | 0.119 * | |||
| (0.0546) | ||||
| Control variables | Yes | Yes | Yes | Yes |
| Constant | −0.602 | −1.408 * | −1.880 ** | −1.991 *** |
| (0.614) | (0.591) | (0.589) | (0.588) | |
| N | 1537 | 1537 | 1537 | 1537 |
| Adj-R2 | 0.066 | 0.221 | 0.302 | 0.308 |
| Variables | Model 5 | Model 6 | Model 7 | Model 8 | Model 10 |
|---|---|---|---|---|---|
| High infectivity | 0.0699 ** | 0.0707 ** | 0.0744 ** | 0.0733 ** | 0.0677 ** |
| (0.0243) | (0.0241) | (0.0241) | (0.0243) | (0.0233) | |
| Rapid fatality | 0.0863 *** | 0.0900 *** | 0.0930 *** | 0.0886 *** | 0.0613 *** |
| (0.0197) | (0.0195) | (0.0195) | (0.0197) | (0.0185) | |
| Controllable degree | −0.164 *** | −0.164 *** | −0.165 *** | −0.165 *** | −0.0985 *** |
| (0.0257) | (0.0254) | (0.0255) | (0.0257) | (0.0279) | |
| Risk (natural and social) | 0.0691 ** | 0.0738 ** | 0.0753 *** | 0.0701 ** | 0.0993 * |
| (0.0227) | (0.0224) | (0.0225) | (0.0228) | (0.0386) | |
| Attention degree | 0.172 *** | 0.109 ** | 0.106 ** | 0.171 *** | 0.0747 ** |
| (0.0383) | (0.0399) | (0.0400) | (0.0383) | (0.0233) | |
| Personal impact | 0.265 *** | 0.258 *** | 0.260 *** | 0.267 *** | 0.0600 ** |
| (0.0255) | (0.0253) | (0.0254) | (0.0256) | (0.0217) | |
| Social impact | 0.193 *** | 0.192 *** | 0.189 *** | 0.189 *** | 0.104 *** |
| (0.0386) | (0.0382) | (0.0382) | (0.0386) | (0.0256) | |
| Prevent and control situation | −0.149 ** | −0.152 ** | |||
| (0.0462) | (0.0465) | ||||
| Attention frequency | 0.165 *** | 0.173 *** | |||
| (0.0273) | (0.0279) | ||||
| Prevent and control situation × official media | −0.0326 * | ||||
| (0.0142) | |||||
| Attention frequency × official media | 0.0362 * | ||||
| (0.0150) | |||||
| Attention frequency × unofficial media | 0.00672 | ||||
| (0.00824) | |||||
| Prevent and control situation × unofficial media | −0.00346 | ||||
| (0.00773) | |||||
| Government’s efficient response | −0.0470 * | ||||
| (0.0237) | |||||
| Official media | 0.206 ** | 0.199 ** | |||
| (0.0684) | (0.0632) | ||||
| Unofficial media | 0.113 * | 0.114 * | |||
| (0.0482) | (0.0496) | ||||
| Control variables | Yes | Yes | Yes | Yes | Yes |
| Constant | −2.494 *** | −2.177 *** | −2.178 *** | −2.471 *** | −2.689 *** |
| (0.623) | (0.588) | (0.590) | (0.624) | (0.631) | |
| N | 1537 | 1537 | 1537 | 1537 | 1537 |
| Adj-R2 | 0.239 | 0.252 | 0.250 | 0.236 | 0.239 |
| Variables | Poor Sleep | Recall the Outbreak Repeatedly | Accelerating Heartbeat and Tension | Recurrent Nightmares |
|---|---|---|---|---|
| Model 9a | Model 9b | Model 9c | Model 9d | |
| Panic | 0.833 *** | 1.170 *** | 1.187 *** | 0.677 *** |
| (0.0560) | (0.0590) | (0.0598) | (0.0565) | |
| Age | 0.0553 | 0.0614 | 0.0623 | 0.0161 |
| (0.0370) | (0.0365) | (0.0363) | (0.0385) | |
| Age2 | −0.000449 | −0.000782 | −0.000875 | −0.000277 |
| (0.000545) | (0.000539) | (0.000536) | (0.000570) | |
| Male | −0.0476 | 0.491 *** | 0.169 | −0.114 |
| (0.105) | (0.105) | (0.105) | (0.109) | |
| Junior high school | 0.526 | 3.644 * | 0.679 | 2.559 * |
| (1.028) | (1.428) | (1.106) | (1.250) | |
| Senior high school | −0.0596 | 3.843 ** | 0.453 | 2.178 |
| (0.987) | (1.398) | (1.063) | (1.206) | |
| College | −0.466 | 3.325 * | −0.142 | 1.544 |
| (0.972) | (1.384) | (1.047) | (1.189) | |
| Master’s degree or above | −0.454 | 3.162 * | −0.245 | 1.640 |
| (0.975) | (1.384) | (1.048) | (1.189) | |
| Constant cut1 | −0.415 | 2.129 | −0.489 | 1.441 |
| (1.105) | (1.493) | (1.182) | (1.344) | |
| Constant cut2 | −0.115 | 2.802 | 0.0582 | 1.791 |
| (1.105) | (1.495) | (1.183) | (1.345) | |
| Constant cut3 | 1.887 | 3.988 ** | 1.796 | 4.177 ** |
| (1.106) | (1.496) | (1.184) | (1.348) | |
| Constant cut4 | 4.192 *** | 6.336 *** | 4.343 *** | 6.135 *** |
| (1.113) | (1.500) | (1.188) | (1.361) | |
| N | 1537 | 1537 | 1537 | 1537 |
© 2020 by the authors. Licensee MDPI, Basel, Switzerland. This article is an open access article distributed under the terms and conditions of the Creative Commons Attribution (CC BY) license (http://creativecommons.org/licenses/by/4.0/).
Share and Cite
Xu, T.; Sattar, U. Conceptualizing COVID-19 and Public Panic with the Moderating Role of Media Use and Uncertainty in China: An Empirical Framework. Healthcare 2020, 8, 249. https://doi.org/10.3390/healthcare8030249
Xu T, Sattar U. Conceptualizing COVID-19 and Public Panic with the Moderating Role of Media Use and Uncertainty in China: An Empirical Framework. Healthcare. 2020; 8(3):249. https://doi.org/10.3390/healthcare8030249
Chicago/Turabian StyleXu, Tao, and Usman Sattar. 2020. "Conceptualizing COVID-19 and Public Panic with the Moderating Role of Media Use and Uncertainty in China: An Empirical Framework" Healthcare 8, no. 3: 249. https://doi.org/10.3390/healthcare8030249
APA StyleXu, T., & Sattar, U. (2020). Conceptualizing COVID-19 and Public Panic with the Moderating Role of Media Use and Uncertainty in China: An Empirical Framework. Healthcare, 8(3), 249. https://doi.org/10.3390/healthcare8030249

