Steric Effects on Electroosmotic Nano-Thrusters under High Zeta Potentials
Abstract
:1. Introduction
2. Mathematical Model Analysis
2.1. Electric Potential Distribution
2.2. Velocity Distribution
3. Thruster Performance Analysis
3.1. Specific Impulse
3.2. Thrust
3.3. Thruster Efficiency
3.4. Thrust-to-Power Ratio
4. Numerical Algorithm
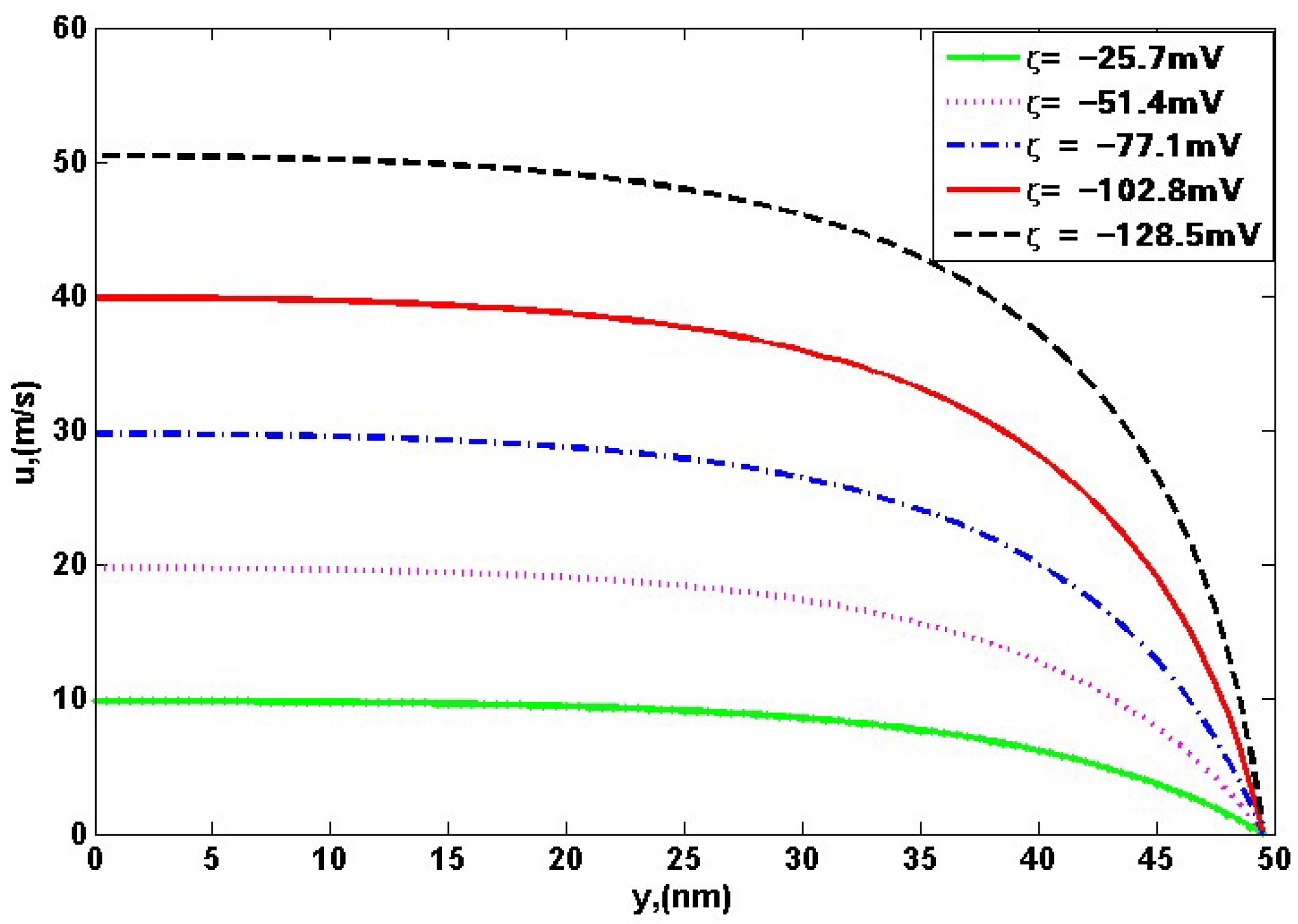
5. Results and Discussion
6. Conclusions
- The high zeta potentials on the walls significantly promote the development of thruster thrust, specific impulse, and efficiency, but the thruster efficiency has the opposite effect.
- For the real situation with the steric effect, thruster thrust and efficiency decrease to 5–30 micro Newtons and 80–90%, respectively, which takes a short specific impulse about 50–110 s.
- The thrust-to-power ratio increases with the steric factor.
Author Contributions
Funding
Acknowledgments
Conflicts of Interest
Nomenclature
| L | Length of the channel, μm |
| W | Width of the channel, nm |
| H | Height of the channel, nm |
| e | Elementary electric charge, C |
| z | Valence number of ions, - |
| kB | Boltzmann constant, J/K |
| n± | Number densities of the electrolyte cations and anions, m−3 |
| Ex | Uniform axial electric field, V/m |
| Tav | Average temperature, K |
| u | Streamwise velocity along x-axis direction, m/s |
| n0 | Nominal ionic concentration in the bulk electrolyte reservoir, mol/L |
| g0 | The gravitational constant, m/s2 |
| Isp | Specific impluse of thrusters, s |
| Th | Thrust of thrusters, μN |
| Greek symbols | |
| εr | Relative permittivity, F/m |
| ε0 | Permittivity of the vacuum, F/m |
| ν | Steric factor, - |
| ζ | Zeta potentials on the walls, mV |
| λ | The EDL thickness, nm |
| μ | Dynamic viscosity of the solution, Pa s |
| γ | The coefficient of the slip boundary on the wall, nm |
| ρ | Density of electrolyte, kg/m3 |
| σ | Electrical conductivity of fluid, S/m |
| β | Characteristic parameter of the Joule heating, - |
| δ | Characteristic parameter of the viscous frictional heating, - |
| ψ | Electric potential of fluid, V |
| ηt | Thruster efficiency, % |
| ξ | Thrust-to-power ratio of thrusters, mN/W |
References
- Wertz, J.R.; Larson, W.J. Reducing Space Mission Cost; Microcosm Press: El Segundo, CA, USA, 1992. [Google Scholar]
- Larson, W.J.; Wertz, J.R. Space Mission Analysis and Design; Microcosm Press: El Segundo, CA, USA, 1992. [Google Scholar]
- Mueller, J.; Chakraborty, I.; Bame, D.; Tang, W. Vaporizing liquid microthruster concept: Preliminary results of initial feasibility studies. In Micropropulsion for Small Spacecraft; AIAA: Reston, VA, USA, 2000; pp. 215–230. [Google Scholar]
- Wright, W.P.; Ferrer, P. Electric micropropulsion systems. Prog. Aerosp. Sci. 2015, 74, 48–61. [Google Scholar] [CrossRef]
- De Groot, W.A. Propulsion options for primary thrust and attitude control of microspacecraft, in Microsatellites as Research Tools. In COSPAR Colloquia Series Volume 10; Hsiao, F.-B., Ed.; Pergamon Press: Oxford, UK, 1999; pp. 200–209. [Google Scholar]
- Mueller, J. Thruster options for microspacecraft: A review and evaluation of existing hardware and emerging technologies. AIAA Paper 1997, 97, 3058. [Google Scholar]
- Krejci, D.; Lozano, P. Space Propulsion Technology for Small Spacecraft. IEEE Xplore 2018, 106, 362–376. [Google Scholar] [CrossRef] [Green Version]
- Martinez-Sanchez, M.; Pollard, J.E. Spacecraft electric propulsion—An overview. J. Propuls. Power 1998, 14, 688–699. [Google Scholar] [CrossRef] [Green Version]
- Filliben, J.D. Electric Thruster Systems; No. CPTR 97-65; Chemical Propulsion Information Agency: Columbia, MD, USA, 1997. [Google Scholar]
- Kramer, A.; Bangert, P.; Schilling, K. UWE-4: First Electric Propulsion on a 1U CubeSat—In-Orbit Experiments and Characterization. Aerospace 2020, 7, 98. [Google Scholar] [CrossRef]
- Levchenko, I.; Xu, S.; Teel, G.; Mariotti, D.; Walker, M.L.R.; Keidar, M. Recent Progress and perspectives of space electric propulsion systems based on smart nanomaterials. Nat. Commun. 2018, 9, 1–10. [Google Scholar] [CrossRef]
- Fujii, T. PDMS-based microfluidic devices for biomedical applications. Microelectron. Eng. 2002, 61–62, 907–914. [Google Scholar] [CrossRef]
- Wu, W.I.; Sask, K.N.; Brash, J.L.; Selvaganapathy, P.R. Polyurethane-based microfluidic devices for blood contacting applications. RSC. Lab Chip 2012, 12, 960–970. [Google Scholar] [CrossRef] [PubMed]
- McClain, M.A.; Culbertson, C.T.; Jacobson, S.C.; Allbritton, N.L.; Sims, C.E.; Ramsey, J.M. Microfluidic Devices for the High-Throughput Chemical Analysis of Cells. Am. Chem. Soc. Anal. Chem. 2003, 75, 5646–5655. [Google Scholar] [CrossRef] [PubMed]
- Stone, H.A.; Stroock, A.D.; Ajdari, A. Engineering flows in small devices: Microfluidics toward a lab-on-a- chip. Ann. Rev. Fluid. Mech. 2004, 36, 381–411. [Google Scholar] [CrossRef] [Green Version]
- Su, J.; Jian, Y.J.; Chang, L. Thermally fully developed electroosmotic flow through a rectangular microchannel. Int. J. Heat Mass Transf. 2012, 55, 6285–6290. [Google Scholar] [CrossRef]
- Miller, A.; Villegas, A.; Diez, F.J. Characterization of the startup transient electrokinetic flow in rectangular channels of arbitrary dimensions, zeta potential distribution, and time-varying pressure gradient. Electrophoresis 2015, 36, 692–702. [Google Scholar] [CrossRef] [PubMed]
- Yang, C.; Marcos; Wong, T.N.; Ooi, K.T. Dynamic aspects of electroosmotic flow in rectangular microchannels. Int. J. Eng. Sci. 2004, 42, 1459–1481. [Google Scholar]
- Rice, C.L.; Whitehead, R. Electrokinetic flow in a narrow cylindrical capillary. J. Phys. Chem. 1965, 69, 4017–4024. [Google Scholar] [CrossRef]
- Mala, G.M.; Li, D.; Werner, C.; Jacobasch, H.-J.; Ning, Y.B. Flow characteristics of water through a microchannel between two parallel plates with electrokinetic effects. Int. J. Heat Fluid Flow 1997, 18, 489–496. [Google Scholar] [CrossRef]
- Escandón, J.; Jiménez, E.; Hernández, C.; Bautista, O.; Méndez, F. Transient electroosmotic flow of Maxwell fluids in a slit microchannel with asymmetric zeta potentials. Eur. J. Mech. B Fluid 2015, 53, 180–189. [Google Scholar] [CrossRef]
- Levchenko, I.; Xu, S.; Mazouffre, S.; Lev, D.; Pedrini, D.; Goebel, D.; Garrigues, L.; Taccogna, F.; Bazaka, K. Perspectives, frontiers, and new horizons for plasma-based space electric propulsion. Phys. Plasmas 2020, 27, 1–18. [Google Scholar] [CrossRef] [Green Version]
- Huang, K.H.; Huang, H.-F. Two-liquid electroosmotic thrusters for micro propulsion applications. Phys. Fluids 2019, 31, 122003. [Google Scholar]
- Zheng, J.X.; Jian, Y.J. Electroosmotic thrusters in soft nanochannels for space propulsion. Phys. Fluids 2020, 32, 122005. [Google Scholar] [CrossRef]
- Zheng, J.X.; Jian, Y.J. Space Electroosmotic Thrusters in Ion Partitioning Soft Nanochannels. Micromachines 2021, 12, 777. [Google Scholar] [CrossRef] [PubMed]
- Banerjee, A.; Nayak, A.K. Influence of varying zeta potential on non-Newtonian flow mixing in a wavy patterned microchannel. J. Non-Newton. Fluid Mech. 2019, 269, 17–27. [Google Scholar] [CrossRef]
- Abdulhameed, M.; Muhammad, M.M.; Gital, A.Y.; Yakubu, D.G.; Khan, I. Effect of fractional derivatives on transient MHD flow and radiative heat transfer in a micro-parallel channel at high zeta potentials. Physica A 2019, 519, 42–71. [Google Scholar] [CrossRef]
- Peralta, M.; Arcos, J.; Méndez, F.; Bautista, O. Oscillatory electroosmotic flow in a parallel plate microchannel under asymmetric zeta potentials. Fluid Dyn. Res. 2017, 49, 035514. [Google Scholar] [CrossRef]
- Kang, Y.; Yang, C.; Huang, X. Electroosmotic flow in a capillary annulus with high zeta potentials. J. Colloid Interface Sci. 2002, 253, 285–294. [Google Scholar] [CrossRef] [PubMed]
- Nader Nekoubin; Electroosmotic flow of power-law fluids in curved rectangular microchannel with high zeta potentials. J. Non-Newton. Fluid Mech. 2018, 260, 54–68. [CrossRef]
- Mondal, M.; Misra, R.P.; De, S. Combined electroosmotic and pressure driven flow in a microchannel at high zeta potential and overlapping electrical double layer. Int. J. Therm. Sci. 2014, 86, 48–59. [Google Scholar] [CrossRef]
- Kilic, M.S.; Bazant, M.Z.; Ajdari, A. Steric effects in the dynamics of electrolytes at large applied voltages. I. Double-layer charging. Phys Rev. E 2007, 75, 021502. [Google Scholar] [CrossRef] [PubMed] [Green Version]
- Dey, R.; Ghonge, T.; Chakraborty, S. Steric-effect-induced alteration of thermal transport phenomenon for mixed electroosmotic and pressure driven flows through narrow confinements. Int. J. Heat Mass Transf. 2013, 56, 251–262. [Google Scholar] [CrossRef]
- Zheng, J.; Jia, B.; Jian, Y. Steric Effects on Space Electroosmotic Thrusters in Soft Nanochannels. Mathematics 2021, 9, 1916. [Google Scholar] [CrossRef]
- Jimenez, E.; Escandón, J.; Méndez, F.; Bautista, O. Combined viscoelectric and steric effects on the electroosmotic flow in nano/microchannels with heterogeneous zeta potentials. Colloids Surf. A 2019, 577, 347–359. [Google Scholar] [CrossRef]
- Jimenez, E.; Escandón, J.; Méndez, F.; Bautista, O. Combined viscoelectric and steric effects on the electroosmotic flow in a microchannel under induced high zeta potentials. Colloids Surf. A 2017, 531, 221–233. [Google Scholar] [CrossRef]
- Yeh, H.-C.; Chang, C.-C.; Yang, R.-J. Ion-size effect on electrokinetic energy conversion in nanofluidic channels. Int. J. Green Energy 2016, 13, 1050–1058. [Google Scholar] [CrossRef]
- Wicke, M.; Eigen, E.Z. The effect of space requirements of ions in aqueous solution on their distribution in the electric field and their activity coefficients. Electrochemistry 1952, 56, 551–561. [Google Scholar]
- Borukhov, I.; Andelman, D.; Orland, H. Adsorption of large ions from an electrolyte solution: A modified Poisson–Boltzmann equation. Electrochim. Acta 2000, 46, 221–229. [Google Scholar] [CrossRef] [Green Version]
- Khair, A.S.; Squires, T.M. Ion steric effects on electrophoresis of a colloidal particle. J. Fluid Mech. 2009, 640, 343–356. [Google Scholar] [CrossRef]
- Xing, J.N.; Jian, Y.J. Steric effects on electroosmotic flow in soft nanochannels. Meccanica 2018, 53, 135–144. [Google Scholar] [CrossRef]
- Andrews, J.; Das, S. Effect of finite ion sizes in electric double layer mediated interaction force between two soft charged plates. RSC Adv. 2015, 5, 46873–46880. [Google Scholar] [CrossRef]
- Sin, J.-S.; Kim, N.-H.; Kim, C.-H.; Jang, Y.-M. Influence of solvent polarization and non-uniform ionic size on electrokinetic transport in a nanochannel. Microfluid. Nanofluid. 2018, 22, 111. [Google Scholar] [CrossRef]
- Li, S.X.; Jian, Y.J.; Xie, Z.Y.; Liu, Q.S.; Li, F.Q. Rotating electro-osmotic flow of third grade fluids between two micro parallel plates. Colloids Surf. A Physicochem. Eng. Asp. 2015, 470, 240–247. [Google Scholar] [CrossRef]
- Goebel, D.M.; Katz, I. Fundamentals of Electric Propulsion: Ion and Hall Thrusters; John Wiley & Sons: Hoboken, NJ, USA, 2008. [Google Scholar]
- Hey, F.G. Micro Newton Thruster Development; Springer: Berlin/Heidelberg, Germany, 2017. [Google Scholar]
- Burgreen, D. Electrokinetic Flow in Capillary Elements; (Tech. Rep. AD0607212); United Nuclear Corporation: White Plains, NY, USA, 1963. [Google Scholar]
- Joseph, S.; Aluru, N.R. Hierarchical multiscale simulation of electrokinetic transport in silica nanochannels at the point of zero charge. Langmuir 2006, 22, 9041–9051. [Google Scholar] [CrossRef] [PubMed]







| k | 3 | 5 | 10 | 50 |
|---|---|---|---|---|
| y | ||||
| 0.1 | −0.143872805826229 | −0.145417532697251 | −0.145417532791971 | −0.145417532791971 |
| 0.2 | −0.196629932339883 | −0.198721998552877 | −0.198721998680450 | −0.198721998680450 |
| 0.3 | −0.299074640117779 | −0.302203723477136 | −0.302203723666025 | −0.302203723666025 |
| 0.4 | −0.476051595345173 | −0.480856988922912 | −0.480856989207039 | −0.480856989207039 |
| 0.5 | −0.767108112561274 | −0.774180603445317 | −0.774180603844290 | −0.774180603844290 |
| 0.6 | −1.222541146714874 | −1.231394557318113 | −1.231394557776597 | −1.231394557776597 |
| 0.7 | −1.871662373169378 | −1.879650380343748 | −1.879650380736569 | −1.879650380736569 |
| 0.8 | −2.676684153937341 | −2.682026872785918 | −2.682026873052451 | −2.682026873052451 |
| 0.9 | −3.566560111123089 | −3.569107105193507 | −3.569107105321307 | −3.569107105321307 |
Publisher’s Note: MDPI stays neutral with regard to jurisdictional claims in published maps and institutional affiliations. |
© 2021 by the authors. Licensee MDPI, Basel, Switzerland. This article is an open access article distributed under the terms and conditions of the Creative Commons Attribution (CC BY) license (https://creativecommons.org/licenses/by/4.0/).
Share and Cite
Zheng, J.; An, S.; Jian, Y. Steric Effects on Electroosmotic Nano-Thrusters under High Zeta Potentials. Mathematics 2021, 9, 3222. https://doi.org/10.3390/math9243222
Zheng J, An S, Jian Y. Steric Effects on Electroosmotic Nano-Thrusters under High Zeta Potentials. Mathematics. 2021; 9(24):3222. https://doi.org/10.3390/math9243222
Chicago/Turabian StyleZheng, Jiaxuan, Siyi An, and Yongjun Jian. 2021. "Steric Effects on Electroosmotic Nano-Thrusters under High Zeta Potentials" Mathematics 9, no. 24: 3222. https://doi.org/10.3390/math9243222
APA StyleZheng, J., An, S., & Jian, Y. (2021). Steric Effects on Electroosmotic Nano-Thrusters under High Zeta Potentials. Mathematics, 9(24), 3222. https://doi.org/10.3390/math9243222

