Abstract
Local data are essential for the analysis of abrupt conditions in traffic flow. In this research, we address the shortcomings of real-time traffic flow detection data, which inadequately represent the density characteristics of vehicular traffic. To mitigate this issue, we establish mathematical relationships among traffic flow density, time headway, and vehicle speed, based on the fundamental characteristics of traffic flow dynamics. This framework allows for the estimation of density across various road segments. Recognizing the nonlinear dynamics that characterize traffic flow, we introduce a microscopic traffic flow cusp catastrophe potential function that incorporates headway, utilizing cusp catastrophe theory alongside microscopic traffic flow parameters to analyze real-time variations in traffic flow potential characteristics. In the experimental section, we developed fitting regression functions for traffic flow parameters using road detection data from the cities of Nanjing and Yueyang in China. We also compared outcomes derived from the theoretical model with the parameter estimation results obtained from the data, which facilitated the calculation of traffic flow characteristics, such as cusp density and volume over a one-month period. The results derived from the proposed potential function exhibit the functions’ greater capacity to capture the complex fluctuations in traffic flow compared to traditional traffic potential functions, thereby providing a valuable instrument with which to evaluate traffic flow characteristics in conjunction with real-time monitoring data.
MSC:
76A30
1. Introduction
Theoretical traffic flow models that rely on manual data collection can offer qualitative insights into traffic management parameters for engineers, including metrics such as congestion density and maximum flow. However, these qualitative assessments often fail to account for the broader characteristics of local traffic in their analyses. Furthermore, the variability of qualitative parameters complicates the accurate assessment of changes in local traffic flow. A significant limitation of manual data collection methods is their inability to capture comprehensive real-time road data, resulting in a dataset that represents only a fraction of the total sample.
The advent of automated road traffic flow data collection technologies, including Bluetooth, RFID, and video surveillance, has significantly enhanced the sources of traffic flow data. This advancement provides a wealth of foundational data for the analysis of local traffic flow characteristics and the development of localized traffic flow models. By integrating these data sources with established traffic flow modeling techniques, researchers can uncover traffic flow characteristics that are inadequately represented in models derived from manually collected data, particularly the multi-dimensional nonlinear attributes inherent in road traffic flow.
Traffic flow operational characteristics are analyzed from various perspectives, employing multiple parameters to elucidate these characteristics. The integration of fundamental traffic flow parameters with diverse theoretical approaches can elucidate traffic flow operational characteristics, particularly through the application of nonlinear methodologies, including chaos analysis and traffic flow potential function analysis. Among the parameters utilized to characterize traffic flow operations, flow rate, speed, and time headway can be directly obtained from detectors and serve as primary indicators of traffic flow conditions. However, according to traffic flow theory, a single speed value corresponds to two flow values between speed and flow rate, rendering speed an inadequate metric for evaluating traffic operational characteristics. Traffic density, which reflects the extent of vehicle occupancy on the roadway, is frequently employed to analyze traffic operational patterns; however, the direct measurement of traffic flow density poses significant challenges. In this framework, we propose an analytical method, utilizing traffic flow potential function analysis to estimate the nonlinear characteristics of traffic flow based on data collected from road section detectors. The density of a given road section is estimated using data collected from adjacent sections, while traffic flow potential characteristics are computed using parameters such as abrupt density and adjacent density.
Catastrophe theory serves as a framework for examining the nonlinear dynamics inherent in traffic flow. In this context, macroscopic traffic flow parameters—namely, traffic flow velocity, density, and overall flow—are identified as key variables. These parameters exhibit statistical properties that enable the differentiation of the nonlinear characteristics of traffic flow from a macroscopic viewpoint, including phenomena associated with chaos. However, advancements in traffic flow detection technologies have facilitated the collection of data at the level of individual vehicles, allowing for the precise localization of each vehicle within a lane and the recording of their respective speeds. Through analytical processes, microscopic traffic flow parameters can be derived, such as the travel time characteristics of specific road segments, the time headway between successive vehicles, and the headway distance. Initially, we utilize these microscopic traffic flow parameters to establish a quantitative relationship between time headway and macroscopic traffic flow parameters. Subsequently, we employ catastrophe theory to develop a traffic flow catastrophe potential model that integrates these microscopic traffic parameters. Finally, we calibrate a three-parameter traffic flow model using empirical data obtained from urban road detection systems, enabling the calculation of the nonlinear characteristics of traffic flow in terms of how they are influenced by microscopic traffic flow parameters.
Combined with cusp catastrophe theory, an in-depth analysis of road traffic flow state evolution characteristics, driven by measured data, provides a foundation for the rapid identification and management of traffic flow congestion and its potential characteristics.
In Section 2, we review the recent literature on traffic flow characteristics and cusp catastrophe modeling. In Section 3, we develop a model that integrates cusp catastrophe theory and traffic flow theory utilizing collected traffic data parameters. In Section 4, data from two cities are used for model calibration and validation. In Section 5, the conclusions are presented.
2. Literature Review
Traffic flow modeling relies on field data collection, which has transitioned from manual to automated methods due to the significant progress made in traffic and transportation technology, and many studies have been conducted to analyze traffic flow characteristics. Hall [1] analyzed traffic detection data from freeways via cusp catastrophe theory and, using a cusp catastrophe model and traffic data from freeways, also analyzed the occurrence of gaps in freeway operation data and the accompanying jumps observed in the behavior of speed–flow variables. Persaud and Hall [2] analyzed the traffic, speed, and occupancy data of expressways at 30 s intervals via catastrophe theory and reported that the theoretical model better the detection data fits and can be used for expressway event detection. Forbes and Hall [3] further explored the traffic flow model based on catastrophe theory via freeway data. Acha-Daza and Hall [4] further demonstrated the validity of catastrophe theory in describing traffic flow characteristics and demonstrated a method of improving model fitting based on the transformation of variables and axes (including the translation and rotation of axes). These early studies laid the theoretical foundation of catastrophe theory, which is used to construct traffic flow models based on detection data.
To further demonstrate the nonlinear characteristics exhibited by traffic flow data, combined with the use of catastrophe theory, Carrillo et al. [5] demonstrated traveling waves, catastrophes, and bifurcations via a macroscopic second-order Kerner–Konhauser model for traffic flow. Gu et al. [6] analyzed the critical density characteristics of expressways at the lane level by using cusp catastrophe theory and the chaos analysis method. Papacharalampous et al. [7] constructed a freeway microscopic model based on a cusp mutation model and demonstrated the characteristics of driver behavior change.
Based on further demonstrations of the model, the cusp catastrophe model is used to analyze and explain the characteristics of traffic and city operation. Park et al. [8] analyzed the logic of a two-fluid traffic flow model and proposed a new method to analyze the traffic safety characteristics of urban arterial roads, estimating the crash rate via a stochastic cusp catastrophe model with two-fluid model parameters as inputs. Wang et al. [9] explored the concept of system risk in railway safety by applying the cusp catastrophe model and developed a framework to assess system risk in railway systems. Li et al. [10] proposed a method that connects catastrophe theory and probability distribution equilibrium to identify the key catastrophic variables of urban social–environmental resilience. Lin et al. [11] proposed a mathematical model to study the regional traffic flow in high-density areas during sudden fire disasters based on the cusp catastrophe theory (CCT). Huang et al. [12] applied the cusp catastrophe model to analyze risk state changes in the railway dangerous-goods transportation system. Wang et al. [13] built a method of railway system safety analysis based on the cusp catastrophe model to describe the continuously changing process of railway system safety. Xu et al. [14] used cusp catastrophe theory to establish a catastrophe model of urban road systems under occasional congestion, finding breakpoints and analyzing stability after urban road system catastrophes with energetic functions. Shao et al. [15] proposed a three-parameter urban traffic state evolution model grounded in the cusp catastrophe theory, empirically validating its capability to capture dynamic traffic characteristics through real-world traffic flow data analysis. Zhang et al. [16] combined the cusp catastrophe theory with a traffic flow model to investigate abrupt traffic flow breakdowns triggered by sudden accidents, revealing critical thresholds in traffic state transitions. Huang et al. [17] constructed a critical equilibrium surface equation, analyzed the stability of the extreme value of the traffic flow system potential function, and determined the critical range of structural stability. Combined with cusp catastrophe theory, Qu et al. [18] applied a spectral clustering analysis algorithm to extract the boundary of traffic state mutation in order to study and analyze the traffic flow state and display the evolution characteristics of the traffic flow state. Wang et al. [19] derived an accident risk tensor field from the safety cusp catastrophe model based on tensor analysis to assess railway accident risk dynamically. Zhang et al. [20] applied catastrophe theory to assess the risk state changes of maritime autonomous surface ships. Pan et al. [21] employed the cusp catastrophe model to analyze risk coupling mechanisms in bus traffic accidents, revealing critical thresholds for accident cascades. Huang et al. [22] utilized the cusp catastrophe theory to model ethical decision-making patterns of autonomous bus users in moral dilemmas, identifying bifurcation points in behavioral responses. Zhu et al. [23] combined Greenshields’ traffic flow theory with the cusp catastrophe model to investigate congestion dynamics in terminal airspace, establishing predictive thresholds for airspace operational stability.
In conclusion, current research indicates that the cusp catastrophe model is a valuable tool for analyzing sudden changes in road traffic flow. This model has been extensively utilized in various transportation contexts, including the analysis of rail safety, studies of road traffic operations, and the identification of congestion in civil aviation.
Nonetheless, traditional methods of data collection present challenges for the analysis of road traffic flow, particularly in the continuous characterization of the potential function associated with traffic flow. Furthermore, traffic flow density, which is a critical component of the potential function, poses difficulties in direct measurement. While a quantitative relationship exists between density and headway, this relationship is not merely reciprocal. Consequently, the estimation of density from headway necessitates further exploration.
To address these issues, this study begins with a precise definition of density. We propose a formula for density estimation based on headway and construct a traffic flow potential function by integrating traffic flow theory with the cusp catastrophe model. Utilizing empirical data, we calibrate the parameters of the density–velocity function, identify critical thresholds, and analyze the time-varying characteristics of the potential function. This methodology successfully fulfills the research objective of quantifying the nonlinearities of traffic flow using microscopic parameters.
3. Materials and Methods
3.1. Relationships Among Headway, Speed and Density
Headway can be transformed into traffic density, for which the link density can be estimated via headway and speed parameters, as shown in Figure 1.
Figure 1.
Graphical relationship between density and headway.
In Figure 1, for a road section with length L, the number of vehicles is N, and the corresponding traffic density is K. A simple mathematical relationship is shown in Formula (1).
In the road section, the distance between vehicles is , the headway between the first vehicle and the preceding vehicle in the road section is , and the headway between the last vehicle and the following vehicle in the road section is . Formula (2) is obtained according to the relationships between density, the number of vehicles, headway, road section length, , and .
where and are weight parameters of vehicle spacing at the downstream departure position of the road section and the upstream entry position of the road section, respectively, and the value interval is [0, 1].
Formula (3) is obtained by transforming Formulas (1) and (2), and Formulas (4) and (5) are obtained by deforming Formula (3) [24].
According to Formulas (4) and (5), the average headway and density of vehicles in the road section are not completely reciprocal to each other [24,25].
Under the premise of a section detector arrangement, headway parameters cannot be obtained directly, and so the time headway and vehicle speed parameters need to be considered for estimation. The time headway and vehicle speed are typical microscopic parameters of road traffic flow [26]; these parameters can be collected in real time by various detection devices and are often used to analyze traffic operation characteristics.
According to the classical traffic flow model, headway is a function of time headway and vehicle speed, where Newell approximates the actual space–time trajectory of the vehicle to a piecewise linear trajectory, and the time headway and speed are approximately linear, as shown in Formula (6).
According to Newell’s model, the headway is converted into a linear sum of time headway, speed, and minimum safe headway (where the minimum safe headway calculation assumes that the vehicle length is 20 ft and the minimum reaction time is 1.5 s), which is used to calculate the headway in Formula (3), thus obtaining Formula (7).
3.2. Macroscopic Traffic Flow Model Based on Catastrophe Theory
Volume (Q), speed (V), and density (K) are three basic parameters used to describe traffic flow, and the basic relationship is Q = KV. Furthermore, the abrupt changes in the cusp catastrophe theory are compared based on the generalized speed–density model equation of car-following theory. The flow pattern equation can be constructed to obtain the potential function [6], as shown in Formula (8). The corresponding critical wave velocity and abrupt critical density are shown in Formula (9) and Formula (10), respectively.
According to Formula (10), the critical density of mutation and the flow value correspond one to one. When the traffic flow passes, there is a maximum flow. Therefore, the maximum flow value can be used to calculate the corresponding critical density of mutation, as shown in Formula (11).
3.3. Catastrophe Model of Traffic Flow Considering Microscopic Parameters
In this section, we consider the conversion relationship between the number of observed vehicles and the traffic volume, as shown in Formula (12).
where Q is the converted traffic volume, N is the number of vehicles observed, and T is the length of the observation period (5 min, 10 min, 12 min, 15 min, 30 min, 60 min, etc.).
In this case, Formulas (3) and (12) are substituted into Formula (8), and the traffic flow potential function considering the headway is obtained, as shown in Formula (13).
Furthermore, parameters such as time headway, density, headway, and speed are substituted into Formula (13) to obtain a traffic flow catastrophe model that considers microscopic traffic parameters, as shown in Formula (14).
Using Formula (14), the theoretical value of the traffic density mutation can be obtained, and the real-time calculation result of the traffic flow potential function of the road section can be obtained in combination with the real-time detection data. and in Formula (14) can be obtained with regression fitting using real-time detection data.
4. Results
To analyze traffic flow characteristics, this study utilizes hourly data from a single road section in Nanjing (1–31 December 2015) and Yueyang (1–31 October 2020). Parameters, including hourly traffic volume (Q in Figure 2a and Figure 3a), hourly average vehicle speed (V in Figure 2b and Figure 3b), and headway, are extracted from the dataset (Figure 2c,d and Figure 3c,d). The data collected from the urban road section of Yueyang City in October 2020 and the RFID detection data from the urban road section of Nanjing City in December 2015 are used. Notably, traffic control policies in Yueyang caused intermittent data gaps, reducing the total sample to 552 h. Then, we estimate road density with Formulas (3) and (7), where the estimated section density is obtained via the conversion relationship between headway and density, and the fitting functions of flow density and flow speed are constructed.

Figure 2.
Sample data from Yueyang City. (a) Road section volume in Yueyang City; (b) speed in Yueyang City; (c) road section time headway in Yueyang City; (d) headway in Yueyang city; (e) road density in Yueyang City.

Figure 3.
Sample data from Nanjing City. (a) Road section volume in Nanjing City; (b) speed in Nanjing City; (c) road section time headway in Nanjing City; (d) headway in Nanjing City; (e) road density in Nanjing City.
Using real-time data obtained by the road inspector, fitting curve equations are established for road traffic flow, speed, and density, and we fit the regression characteristics of flow speed and flow density. Working according to the regression equation, the congestion density and free flow velocity are obtained, which are used to calculate the traffic flow potential function.
In Formula (2), parameters β1 and β2 are determined using real-time data to describe the relationship between the density, the number of vehicles, the headway, and the road section length. Because the data are collected at fixed points, the parameters are empirical values specific to the road section. When the headway is large and traffic density is low, the parameters range from 0.1 to 0.3. When the headway is small and traffic density is high, the parameters range from 0.6 to 0.9, considering the minimum safe headway. The minimum safe headway can also be determined using the literature. In the experiment, vehicle length is 20 ft and the minimum reaction time is 1.5 s. Using the speed values, the minimum safe headway can be calculated for each vehicle, and estimated hourly density results are shown in Figure 2e and Figure 3e.
4.1. Fitting Results with the Yueyang Detection Data
The fitting curve of the Yueyang data is shown in Figure 4 and Figure 5, and the fitting effect of the section flow and section density is shown in Figure 4. The fitting curve is shown in Formula (15), and the section blockage density value is obtained and shown in Formula (16). The fitting effect of the section flow and speed is shown in Figure 3, the fitting curve is shown in Formula (17), and the section free flow speed is obtained as shown in Formula (18). In Chinese cities, the speed limit for urban roads with a central split line is 50 km/h. Formula (18) is used for the free flow speed, which keeps the same speed limit.
Figure 4.
Flow–density fitting (Yueyang).
Figure 5.
Flow–velocity fitting (Yueyang).
Based on Formulas (15) and (17), the fitting results can be compared with the observed data. RMSE, MAE, and MAE are used to evaluate the fitting results, which are 37.5, 24.4, and 4.29% for Formula (15), and 125.4, 94.5, and 36.17% for Formula (17). Residual results are shown in Figure 6. In addition, due to the difficulty of directly surveying density, Formula (16) is calculated from Formula (15), which has better fitting precision.
Figure 6.
Residual results for fitting results in Yueyang City.
In addition, in Figure 6, the residual results from Formula (15) are shown as a Q-K volume diagram, and the residual results from Formula (17) are shown as a Q-V volume diagram. Both formulars can be used to estimate the volume; however, the Q-K volume diagram and Formula (15) fit better.
4.2. Fitting Results with Nanjing Detection Data
The fitting curve of the Nanjing data is shown in Figure 7 and Figure 8, where Figure 7 shows the fitting effect of section flow and section density. The fitting curve is shown in Equation (19), and the congestion density value of the Nanjing section is obtained as shown in Equation (20). Figure 7 also shows the fitting effect of section flow and speed. The fitting curve is obtained as shown in Equation (21), and the free flow speed of the Nanjing section is obtained as shown in Equation (22).
Figure 7.
Flow–density fitting (Nanjing).
Figure 8.
Flow–velocity fitting (Nanjing).
Based on Formulas (19) and (21), the fitting results can be compared with the observed data. RMSE, MAE, and MAPE are used to evaluate the fitting results, which are 45.07, 31.83, and 9.06% for Formula (19), and 142.37, 115.74, and 54.25% for Formula (21). Residual results are shown in Figure 9. In addition, in Chinese cities, the speed limit for urban roads with a central split line is 50 km/h, and Formula (22) represents the free flow speed, which keeps the same speed limit. Due to the difficulty of directly surveying density, Formula (20) is calculated from Formula (19), which has better fitting precision. Similarly, in Figure 9, the residual results from Formula (19) are shown as a Q-K volume diagram, and the residual results from Formula (21) are shown as a Q-V volume diagram. Both formulars can be used to estimate the volume; however, the Q-K volume diagram and Formula (19) fit better, and the data points exhibit a lack of concentration around the fitted regression line, as shown in Figure 8.
Figure 9.
Residual results for fitting results in Nanjing City.
4.3. Traffic Potential Function Characteristic
In this section, we analyze the potential function (Formular (13)) characteristics with the data fit regression results from scenes in two cities.
4.3.1. N as an Independent Variable
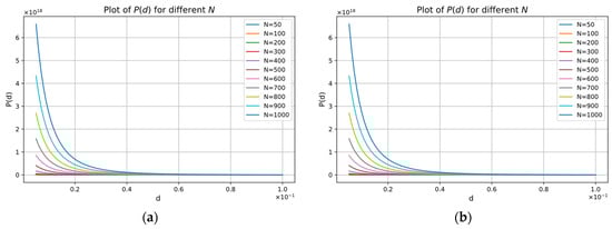
From Figure 10, we can observe that the formula shows a tendency for P(N) to change as N increases, where N stands for the number of vehicles in an hour:
Figure 10.
Traffic potential function characteristics. (a) Kj = 52, Vf = 47; (b) Kj = 45, Vf = 53.
- (1)
- Low N values (50 to 200 vehicles): the curves change relatively slowly, and may exhibit slow growth.
- (2)
- Medium N values (200 to 600 vehicles): as N increases, the curves show a nonlinear growth trend.
- (3)
- High N values (600 to 1000 vehicles): P(N) growth becomes very obvious, and the function curves become increasingly steep.
In general, as N increases, the value of the function gradually increases, and the rate of increase accelerates. If the function involves cost or benefit, increasing the number of vehicles will accelerate the growth of these indicators within a certain range. Therefore, it is necessary to plan the number of vehicles reasonably to avoid wasting resources or decreasing benefits beyond the optimal range.
4.3.2. d as an Independent Variable
From Figure 11, we can observe the following patterns, where d stands for the vehicle headway:
Figure 11.
Traffic potential function characteristics. (a) Kj = 52, Vf = 47; (b) Kj = 45, Vf = 53.
- (1)
- As N increases, the value of P(d) gradually increases, and the overall curve rises. When d is smaller, the curve is steeper; when d is larger, the curve tends to be gentle.
- (2)
- For different values of N, the curve changes at different speeds. The larger the value of N, the faster the curve changes.
These rules show that P(d) increases significantly with the increase in N, and the dependence of P(d) on d is complex, showing a nonlinear trend. Small headway d may lead to higher costs or lower efficiency, resulting in the wasting of resources and increased interference between vehicles. Large headway d may lead to the wasting of space and reduce the efficiency of vehicle operation. Therefore, there is an optimal headway that optimizes the overall benefit or cost.
Furthermore, as the number of vehicles N increases, the effect of headway becomes more pronounced, especially when the number of vehicles is large. Therefore, in actual traffic management or planning, it is necessary to consider how to choose a reasonable headway to avoid traffic congestion or the inefficient use of resources.
4.4. Calculation Results of the Traffic Flow Potential Function
Current research on the traffic potential function primarily focuses on differentiating traffic states, while the analysis of potential changes predominantly relies on theoretical formulas. A notable limitation is the absence of real-time traffic data. To address this issue, the present section will demonstrate the time-varying characteristics of the potential function by utilizing real-time data. Furthermore, it is essential to conduct a comparative analysis of the outcomes derived from these two methodologies. In this section, we calculate the potential characteristics with the historical data from two cities’ (Yueyang and Nanjing) scenes.
4.4.1. Potential Characteristics of Traffic Flow in Yueyang City
- Theoretical potential characteristics
We calculated the traffic flow potential theoretical characteristic value (P0) for the Yueyang case scenario using Formulas (8), (9), (16) and (18) and obtained the hourly results during one month, as shown in Figure 12. The y-axis represents the calculation of the potential from Formula (8) as P0, and the x-axis represents the hour series. There is an issue with the detector for individual data, resulting in missing detection data.
Figure 12.
Calculation results of the traffic potential function (Yueyang).
- 2.
- Data-based potential characteristics of the proposed model.
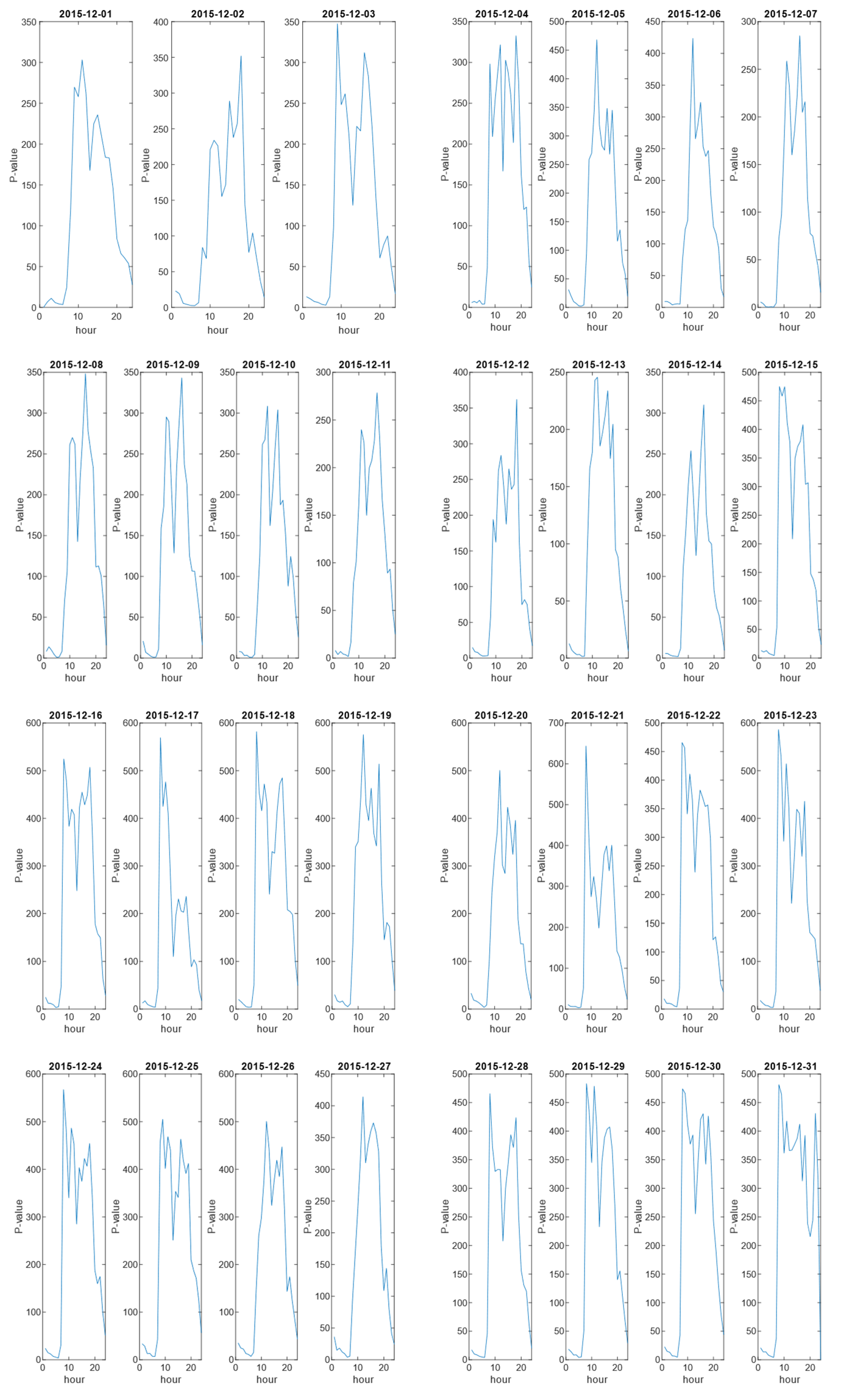
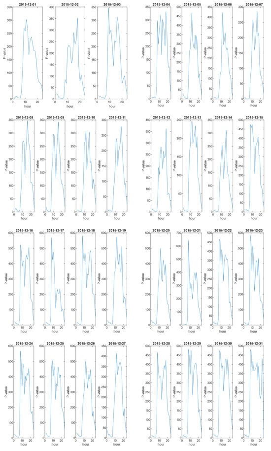
Considering the microscopic parameters of traffic flow, we calculated and obtained the characteristic values of traffic flow potential in Yueyang case scenario using Formulas (9), (14), (16) and (18), as shown in Figure 13. The y-axis represents the data-based calculation of the potential from Formula (14) as p-value, and the x-axis represents the hour series.
Figure 13.
Calculation results of the traffic potential function considering microscopic parameters (Yueyang).
As shown in Figure 13, the calculation result of the proposed potential function is similar to the change trend of traffic volume and presents morning and evening peak characteristics. Moreover, compared with the calculation result of Figure 12, it more effectively highlights multiple peak characteristics and detailed change characteristics.
4.4.2. Potential Characteristics of Traffic Flow in Nanjing City
- Theoretical potential characteristics
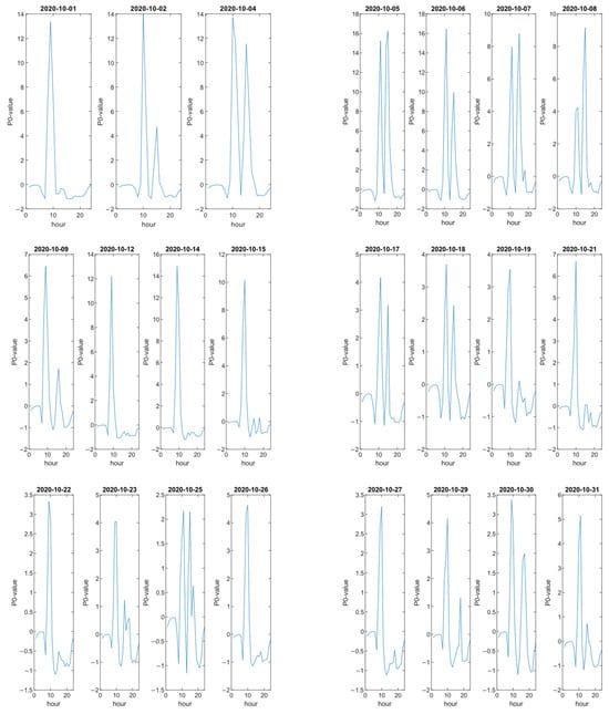
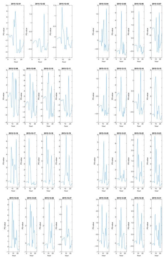
Using Formulas (8), (9), (20) and (22), we derive the traffic flow potential value for the Nanjing case study. The hourly computations over a 31-day period are visualized in Figure 14, with the y-axis indicating the potential value (Formula (8)) as P0 and the x-axis reflecting the hourly time sequence.
Figure 14.
Calculation results of the traffic potential function (Nanjing).
- 2.
- Data-based potential characteristics of the proposed model.
Utilizing microscopic traffic flow parameters, we derive the traffic flow potential value for the Nanjing case study using Formulas (9), (14), (20) and (22). Figure 15 illustrates the results, with the y-axis indicating the data-based potential value (Formula (14)) as a p-value and the x-axis reflecting the hourly time sequence.
Figure 15.
Calculation results of the traffic potential function considering microscopic parameters (Nanjing).
In traffic state identification, while the outcomes derived from potential function calculations may not be as striking as those related to travel time or speed, they prove to be highly effective for the analysis of traffic flow characteristics and the identification of traffic conditions. Upon comparing Figure 14 and Figure 15, it is evident that the numerical range derived from the theoretical method is significantly broader than that obtained from the data-based approach. This discrepancy can be readily explained by the nature of the theoretical approach, which relies on a fitting formula developed from sampling. This method inherently possesses a global characteristic, resulting in an extensive range of outcomes. Conversely, the results based on actual data collection are constrained by the limitations of the data themselves, reflecting a certain locality. Consequently, in scenarios where there is a scarcity of actual data within the road traffic system, reliance on global results may lead to substantial inaccuracies. Therefore, it is imperative to compute more detailed characteristics for the potential function using locally collected data to gain a comprehensive understanding of the local traffic potential function characteristics.
4.5. Consistency Analysis
In Section 4.3 and Section 4.4, a traffic potential function is employed to assess the traffic conditions in two cities, and we conduct an analysis of the characteristics of the potential function, calibrate the density and velocity parameters utilizing the gathered data, and derive the computational outcomes of the theoretical model in conjunction with the data-based results, with the results indicating that the function effectively represents the evaluation of traffic potential. We investigate the temporal variations in these results and delineate the discrepancies between the two sets of findings.
However, the discrepancies in traffic data, stemming from intricate traffic patterns and urban road conditions, necessitate a theoretical examination of the function’s consistency. In this section, we delve deeper into these differences by employing graphical representations of the functions, illustrated in Figure 16.
Figure 16.
Theoretical and practical function images: (a) theoretical function image and QV view plane. (b) Yueyang City practical function image and QV view plane. (c) Nanjing City practical function image and QV view plane. In the diagram, warm hues, including yellow, signify positive values, whereas cool hues, such as blue, denote negative values.
In the application of cusp catastrophe theory to evaluate the state of a system, it is crucial to formulate a fourth-order equation, derive a third-order equilibrium surface equation through differential methods, and subsequently obtain a second-order singular point set equation using analogous techniques, as shown in Figure 16a.
Figure 16a illustrates a coefficient-free function image that is frequently referenced, along with its projection onto the Q-V plane. Figure 16b,c present function images that were calibrated using data from two cities, and the coefficients () of the equation are determined according to Formulas (16), (18), (20) and (22).
The coefficients of the parameters within the equation undergo alterations, resulting in a modification of the function’s graphical representation. Figure 16a presents a broad shadow in the two-dimensional view plane in accordance with cusp catastrophe theory, contrasting with the images depicted in Figure 16b,c, which are derived from urban road data collections. While the theoretical function provides an analytical framework, it fails to produce accurate results when applied to actual traffic conditions.
Furthermore, substituting the headway parameter for the density parameter results in an increase in the number of parameters in the higher-order term from one to three, thereby complicating the analysis of the cubic equilibrium surface and the singularity set equation. Consequently, we initiate an exploration of the dynamic characteristics of the potential function, utilizing collected data and microscopic traffic parameters to visually depict the variations in the traffic flow potential function. However, upon integrating critical traffic flow parameters, such as free flow velocity and blocking density, into the constructed potential function, generating the corresponding equilibrium manifold function image, it is observed that the result resembles a hyperbolic paraboloid, and the function values within the first quadrant can be utilized to examine the abrupt state in traffic flow conditions.
5. Conclusions
In this study, we introduce a novel methodology for determining the traffic flow potential function through the utilization of real-time data acquisition. This approach involves the conversion of the critical density parameter into headway via parameter derivation. In contrast to conventional methods that depend on the reciprocal relationship between these two parameters, our technique employs a multi-parameter framework to estimate the traffic flow density of specific road segments, which is subsequently utilized in the computation of the traffic flow potential function. For example, we analyze road traffic flow data from Yueyang and Nanjing to develop a regression equation correlating flow, velocity, and density. By applying polynomial fitting, we derive critical values for density and velocity, which are then employed to ascertain the localized characteristics of the traffic flow potential function. Furthermore, acknowledging the difficulties associated with the direct measurement of density parameters, we propose an analytical method for assessing road density through multiple headway measurements. In comparison to the static traffic flow model established through traditional manual data collection, the model presented herein facilitates dynamic calculations.
- (1)
- The calculation of traffic density values can be achieved by integrating traffic detection data with estimations derived from traffic flow theory. This methodology is employed to determine the traffic flow potential function, which provides real-time assessments of the traffic potential function value. Regression models that correlate traffic flow with density and speed are constructed using road detection data collected from the cities of Nanjing and Yueyang. Essential parameters, including congestion density and free flow speed, are extracted and utilized in the computation of the traffic flow potential function. The mathematical model presented in this study, which incorporates microscopic traffic flow parameters, is validated through a comparative analysis of estimated values, and the findings from a case study are thoroughly examined.
- (2)
- In comparison to the potential function, the numerical results obtained from the proposed formula exhibit closer alignment with the actual levels of traffic flow. Conversely, the results derived from the original potential function tend to be larger. Furthermore, the trend of variation in the results from the proposed formula closely mirrors that of the observed traffic volume. This correspondence provides a theoretical foundation for the formulation of traffic control strategies informed by road traffic data.
Future research should utilize data calculation methodologies from various cities to assess the generalizability of the model proposed in this paper. Furthermore, the process of selecting density parameters within the model necessitates additional scrutiny. The incorporation of trajectory data, video data, and other relevant sources may enhance the precision of density estimations and improve the model’s overall fitting accuracy. It is important to note that this paper primarily examines the operational characteristics of road motor vehicle flows, which are inherently less complex than traffic flows that also encompass pedestrians and non-motorized vehicles. The inclusion of these additional elements complicates the dynamics of road traffic flows. Due to the limitations inherent in the theoretical model of road vehicle flow and constraints related to data collection, this study does not consider other traffic participants (such as pedestrians and non-motorized vehicles) during model construction, thereby neglecting their potential impact on the traffic flow system. This oversight highlights the need for further investigation in future research, particularly in the areas of model development, data collection, and processing.
Author Contributions
J.G. and Z.Z. were responsible for the research conception and design. J.G., W.J. and F.H. were responsible for the data processing and analysis. J.G., Z.Z. and S.L. were responsible for the analysis and discussion of the results. W.J. and F.H. were responsible for draft manuscript writing and language. All authors have read and agreed to the published version of the manuscript.
Funding
This work was funded by the Xinjiang Uygur Autonomous Region Key Research and Development Program (Grant No. 2023B03004-3). Open Fund of Hunan Key Laboratory of Smart Roadway and Cooperative Vehicle-Infrastructure Systems (Changsha University of Science and Technology) (Grant No. kfj220702). Hunan Natural Science Foundation (Grant No. 2021JJ40577, and 2025JJ50457). Hunan Education Department Scientific Research Project (Grant No. 20B009). 2023 National College Students Innovation Training Program Project (Grant No. S202310536003). National Natural Science Foundation of China (Grant No. 52172313).
Data Availability Statement
The data presented in this study can be requested from the authors.
Acknowledgments
The authors express thanks to all who participated in this research for their cooperation, and the authors would like to give great thanks to the hard work by the peer reviewers and editors.
Conflicts of Interest
The authors declare no conflicts of interest. The funders had no role in the design of the study; in the collection, analyses, or interpretation of data; in the writing of the manuscript; or in the decision to publish the results.
References
- Hall, F.L. An interpretation of speed-flow-concentration relationships using catastrophe theory. Transp. Res. Part A Gen. 1987, 21, 191–201. [Google Scholar] [CrossRef]
- Persaud, B.N.; Hall, F.L. Catastrophe theory and patterns in 30-second freeway traffic data— Implications for incident detection. Transp. Res. Part A Gen. 1989, 23, 103–113. [Google Scholar] [CrossRef]
- Forbes, G.J.; Hall, F.L. The applicability of catastrophe theory in modelling freeway traffic operations. Transp. Res. Part A Gen. 1990, 24, 335–344. [Google Scholar] [CrossRef]
- Acha-Daza, J.A.; Hall, F.L. Application of catastrophe theory to traffic flow variables. Transp. Res. Part B Methodol. 1994, 28, 235–250. [Google Scholar] [CrossRef]
- Carrillo, F.A.; Delgado, J.; Saavedra, P.; Maria Velasco, R.; Verduzco, F. Traveling Waves, Catastrophes and Bifurcations in a Generic Second Order Traffic Flow Model. Int. J. Bifurc. Chaos 2013, 23, 1350191. [Google Scholar] [CrossRef]
- Gu, J.; Chen, S. Nonlinear Analysis on Traffic Flow Based on Catastrophe and Chaos Theory. Discret. Dyn. Nat. Soc. 2014, 2014, 535167. [Google Scholar] [CrossRef]
- Papacharalampous, A.E.; Vlahogianni, E.I. Modeling Microscopic Freeway Traffic Using Cusp Catastrophe Theory. IEEE Intell. Transp. Syst. Mag. 2014, 6, 6–16. [Google Scholar] [CrossRef]
- Park, P.Y.; Abdel-Aty, M. A stochastic catastrophe model using two-fluid model parameters to investigate traffic safety on urban arterials. Accid. Anal. Prev. 2011, 43, 1267–1278. [Google Scholar] [CrossRef] [PubMed]
- Wang, Y.; Weidmann, U.A.; Wang, H. Using catastrophe theory to describe railway system safety and discuss system risk concept. Saf. Sci. 2017, 91, 269–285. [Google Scholar] [CrossRef]
- Li, Y.; Li, Y.; Kappas, M.; Pavao-Zuckerman, M. Identifying the key catastrophic variables of urban social-environmental resilience and early warning signal. Environ. Int. 2018, 113, 184–190. [Google Scholar] [CrossRef]
- Lin, C.; Yu, Y.; Wu, D.; Gong, B. Traffic Flow Catastrophe Border Identification for Urban High-Density Area Based on Cusp Catastrophe Theory: A Case Study under Sudden Fire Disaster. Appl. Sci. 2020, 10, 3197. [Google Scholar] [CrossRef]
- Huang, W.; Zhang, R.; Xu, M.; Yu, Y.; Xu, Y.; De Dieu, G.J. Risk state changes analysis of railway dangerous goods transportation system: Based on the cusp catastrophe model. Reliab. Eng. Syst. Saf. 2020, 202, 107059. [Google Scholar] [CrossRef]
- Wang, Y.; Liu, S.Y.M.; Cho, L.; Lee, K.; Tam, H. A method of railway system safety analysis based on cusp catastrophe model. Accid. Anal. Prev. 2021, 151, 105935. [Google Scholar] [CrossRef] [PubMed]
- Xu, Y.; Zhang, D.J.; Zhang, X.; Lai, K.K.; Su, B. Research on the Traffic Flow Control of Urban Occasional Congestion Based on Catastrophe Theory. J. Adv. Transp. 2021, 2021, 1341729. [Google Scholar] [CrossRef]
- Shao, Z.; Zhang, L.; Wu, H. Research on evolution of urban traffic state based on cusp catastrophe. J. North China Univ. Sci. Technol. 2021, 43, 74–80. [Google Scholar]
- Zhang, R.; Shuai, B.; Huang, W.; Yu, Y.; Xu, M. Study on mechanism of road traffic flow early-onset breakdown under sudden accident. J. Highw. Transp. Res. Dev. 2021, 38, 140–148. [Google Scholar]
- Huang, Y.; Zhang, H.; Liu, H.; Zhang, S. An Analysis of the Catastrophe Model and Catastrophe Characteristics of Traffic Flow Based on Cusp Catastrophe Theory. J. Adv. Transp. 2022, 2022, 2837338. [Google Scholar] [CrossRef]
- Qu, D.; Liu, H.; Song, H.; Meng, Y. Extraction of Catastrophe Boundary and Evolution of Expressway Traffic Flow State. Appl. Sci. 2022, 12, 6291. [Google Scholar] [CrossRef]
- Wang, Y.; Li, S.; Lee, K.; Tam, H.; Qu, Y.; Huang, J.; Chu, X. Accident risk tensor-specific covariant model for railway accident risk assessment and prediction. Reliab. Eng. Syst. Saf. 2023, 232, 109069. [Google Scholar] [CrossRef]
- Zhang, W.; Zhang, Y.; Zhang, C. Research on risk assessment of maritime autonomous surface ships based on catastrophe theory. Reliab. Eng. Syst. Saf. 2024, 244, 109946. [Google Scholar] [CrossRef]
- Pan, F.; Dong, B.; Dong, Y.; Zhang, L.; Yang, J.; Chen, X. Risk analysis of bus traffic accidents based on N-K model and cusp mutation. J. Qingdao Univ. Technol. 2024, 45, 103–110. [Google Scholar]
- Huang, Y.-K.; Lu, C.-C.; Eccarius, T.; Kao, S.-L. Investigating autonomous bus users’ behavior in moral dilemmas: An in-depth analysis through the cusp catastrophe model. Enterp. Inf. Syst. 2024, 2434754. [Google Scholar] [CrossRef]
- Zhu, X.; Chen, H.; Xu, C.; Zhang, T. The cusp catastrophe analytical model for the segment congestion evolution mechanism in terminal airspace. Complex Syst. Complex. Sci. 2024, 21, 134–141. [Google Scholar]
- Wang, N.; Zhang, B.; Gu, J.; Kong, H.; Hu, S.; Lu, S. Urban Road Traffic Spatiotemporal State Estimation Based on Multivariate Phase Space–LSTM Prediction. Appl. Sci. 2023, 13, 12079. [Google Scholar] [CrossRef]
- Berg, P.; Mason, A.; Woods, A. Continuum approach to car-following models. Phys. Rev. E 2000, 61, 1056–1066. [Google Scholar] [CrossRef] [PubMed]
- Gu, J.; Li, M.; Yu, L.; Li, S.; Long, K. Analysis on Link Travel Time Estimation considering Time Headway Based on Urban Road RFID Data. J. Adv. Transp. 2021, 2021, 8876626. [Google Scholar] [CrossRef]
Disclaimer/Publisher’s Note: The statements, opinions and data contained in all publications are solely those of the individual author(s) and contributor(s) and not of MDPI and/or the editor(s). MDPI and/or the editor(s) disclaim responsibility for any injury to people or property resulting from any ideas, methods, instructions or products referred to in the content. |
© 2025 by the authors. Licensee MDPI, Basel, Switzerland. This article is an open access article distributed under the terms and conditions of the Creative Commons Attribution (CC BY) license (https://creativecommons.org/licenses/by/4.0/).

















