Abstract
The Cox proportional hazards model is one of the most popular regression models for censored survival data. In the Cox model, the baseline hazard function is often modeled by cubic spline functions. However, the penalized likelihood estimation for fitting cubic spline models is computationally challenging. In this paper, we propose a computationally simple approach to implement the cubic spline model without penalizing the likelihood. The proposed method consists of two stages under the five-parameter spline model. The first stage estimates a scale parameter for a given shape model. The second stage adopts a model selection from 13 candidate shape models. We implement the proposed methods in our new R package “splineCox” (version 0.0.3) and it has been made available in CRAN. We conduct simulation studies to assess the performance of the proposed method. To illustrate the advantage of the proposed model, we analyze a life test dataset on electrical insulations and a gene expression dataset on lung cancer patients.
Keywords:
bathtub hazard; reliability; right-censoring; hazard function; life test; penalized spline MSC:
62-04; 62F10; 62F12; 62N01; 62N02; 62N03; 62N05
1. Introduction
The Cox proportional hazards model (Cox model) is defined as a product of a covariate effect factor and a baseline hazard function, where the form of the baseline hazard is unspecified. The well-known partial likelihood inference for the Cox model [1] gives estimates for covariate effects without specifying any model for the baseline hazard functions. Due to its remarkable properties, the Cox model with partial likelihood inference is the most popular regression approach in survival analysis. Typical applications of the Cox model include the identification of new biomarkers and the assessment for prognostic influence in various cancers, such as glioma [2], lung cancer [3,4,5], and ovarian cancer [6].
However, the Cox regression method with the partial likelihood inference may fail to yield proper estimates in some settings. Bryson and Johnson [7] demonstrated the failure of the partial likelihood under the incidence of monotone likelihood, where the likelihood does not have a peak (see also, [8,9]). Indeed, it is not difficult to find some industrial life test data where the partial likelihood estimator does not have a proper maximum (see Section 5.1 for the data example). Another critical disadvantage of the partial likelihood method is that it does not directly produce the smooth estimator of the baseline hazard function.
Parametric regression models may resolve the aforementioned disadvantages of the Cox model at the expense of possible model misspecification. For instance, the Weibull models can give an increasing, constant, or decreasing hazard function, and hence, they are adopted to a variety of survival data analyses. The Weibull models have been applied to datasets of atomic bomb survivors of Hiroshima [10], electric transformers [11], wild boars [12], cancer patients [13,14], dialysis patients [15], free-ranging dogs [16], and diabetes patients [17]. The lognormal and log-logistic model can give a unimodal or decreasing hazard function [18], which can also be useful for modeling failure and other event times [19,20,21,22]. More flexible three-parameter models, such as the Burr XII model [23,24], generalized gamma model [25], and inverted exponentiated Chen distribution [26] can give an increasing, decreasing, and unimodal hazard function. Some parametric models can produce a bathtub-shaped hazard function [27,28,29], providing a suitable model for cancer data [30] and reliability data [31].
Cubic spline models for the baseline hazard function can produce all the aforementioned shapes of the parametric models, such as increasing, decreasing, convex, concave, constant, unimodal, bathtub-shaped, and many other shapes. In addition, cubic spline functions are easy to differentiate and integrate, providing analytically sound hazard models. The idea of modeling the hazard function via splines functions was initially proposed by Klotz [32], and statistical inference methods were further developed by Jarjoura [33] and O’Sullivan [34] via penalized likelihood procedures. Even outside hazard modelling, this flexibility of shapes in spline models is useful for describing non-linear or non-parametric functional forms [35]. Due to its high flexibility, the spline model has been adopted to a number of survival models, in particular, multivariate survival models [36,37] and joint models [38,39,40,41,42,43] with penalized likelihood inference methods. However, compared to parametric models, spline models have a larger number of parameters. This makes the spline models computationally more challenging to fit a dataset, and the parameter estimates may be more difficult to interpret than parametric models.
To take advantage of both parametric models and spline models, Shih and Emura [44] proposed a five-parameter spline model for the Cox model with penalized likelihood estimation. This gives a parsimonious model with minimal computational burden by restricting the number of parameters to five. Nonetheless, the five-parameter model accommodates a variety of shapes, such as the increasing, decreasing, convex, concave, bathtub, unimodal, and constant hazards. Moreover, the R (version 4.3.3) function “splineCox.reg(.)” was made available for automatic computation.
Nonetheless, the selection of the smoothing parameter in the penalized likelihood method of Shih and Emura [44] is still computationally challenging (see Section 2.3 for our case). This is indeed a common issue in all the penalized likelihood estimation. In this paper, we propose a computationally simple method to implement the five-parameter spline model of Shih and Emura [44] without penalization. The proposed method consists of two stages. The first stage estimates a scale parameter for a given shape model. The second stage adopts a model selection from 13 candidate shape models.
The main contributions of this paper are as follows:
- (i)
- Establishment of a new estimation method for the five-parameter spline model using the two-stage estimation approach.
- (ii)
- Development of an original R package “splineCox” to implement the proposed method, including it being made available in CRAN (https://cran.r-project.org/package=splineCox, accessed on 27 January 2025).
- (iii)
- Validation of the accuracy of the proposed method, including comparing it with existing methods based on extensive simulation studies.
- (iv)
- Illustration of the advantage of the proposed model via two real datasets: the life test dataset on electrical insulations, where the proposed method offers a better fit than the Weibull and Cox regression methods, and the gene expression dataset on lung cancer patients, where the proposed method gives a better fit than the penalized likelihood method.
The paper is organized as follows. Section 2 gives basic notations and background. Section 3 introduces the proposed methods together with our R package “splineCox”. Section 4 reports simulation studies, and Section 5 analyzes two real datasets for illustration. Section 6 concludes the paper with discussions. Appendix A, Appendix B, Appendix C and Appendix D provides additional materials.
2. Background
We first introduce the basic notations and data structure that will be used throughout this paper. Next, we review the five-parameter spline model and explain the computational issue to be addressed.
2.1. Data Structure
We begin by introducing some notations. For each unit i, we consider two random variables, namely, event time , and censoring time . Due to censoring, event time is not always observable. Instead, we observe and , where is the indicator function. One also observes covariates (e.g., sex, age, etc.) denoted by a vector . Then, survival data consist of . Throughout the paper, we impose the independent censoring assumption: and are conditionally independent given .
2.2. The Five-Parameter Spline Cox Model
The hazard function of event time given covariates is defined as follows:
The Cox proportional hazards model [1] takes the following form:
where is the baseline hazard function and is a vector of regression coefficients.
Shih and Emura [44] suggested modeling the baseline hazard function using the following equations:
where are unknown parameters and are called the M-spline basis functions [45]. The formulas of are given in Appendix A. Under this formulation, the baseline cumulative hazard function and survival function can be expressed as follows:
where are the integrations of , which are called the I-spline basis functions [45]; see Appendix A for the formulas of .
The five-parameter spline models for the baseline hazard function exhibit its shape more flexibly than commonly used parametric models with two or three parameters (e.g., Weibull or Burr XII models) while keeping the model’s analytical simplicity. The five-parameter model is even more flexible than the generalized F-distribution having four parameters. Indeed, Figure 1 displays a variety of the shapes of that can be expressed by choosing . Since the four-parameter spline model fails to give some useful shape, the five-parameter model is essential for flexible and reasonable hazard modeling.
Figure 1.
The baseline hazard function , showing a variety of the shapes of that can be expressed by choosing different scale parameters .
Shih and Emura [44] derived the theoretical justification for the flexibility of the five-parameter spline model. They derived the necessary and sufficient conditions for the parameters to give increasing hazard, decreasing hazard, convex hazard, and constant hazard. However, in this paper, we derive a modified version of the same theorem by slightly changing the conditions (see Theorem A1 in Appendix B and its explanations). Shih and Emura [44] also found that the spline model partly resolves convergence issues occurring in the partial likelihood approach for small sample sizes.
2.3. Penalized Likelihood Inference
Based on the observed data , the likelihood function for parameters is given by the following equation:
Then, the log-likelihood function is written as follows:
For spline models, it is customary to maximize the penalized log-likelihood as follows:
where is a smoothing parameter and is the roughness of .
A computational challenge in the penalized likelihood is the estimation of by maximizing the likelihood cross-validation (LCV) criterion [34] given by the following equation:
where is the penalized maximum likelihood estimator for a given , , and . The maximization is usually performed by a grid search on candidate values of . The “joint.Cox” R package (version 3.16) provides a function “splineCox.reg(.)” to compute the penalized maximum likelihood estimator
using a grid search for given user-specified candidates. Since involves a numerical maximization, the computation of for many candidates of is challenging.Additionally, the aforementioned LCV for the selection of is also technically difficult for the users of cubic spline methods. The difficult part is to prespecify the candidates of for the grid search for the LCV function and the range and number of candidates to be used. For instance, Shih and Emura [44] maximized the LCV function for and set in their gene expression data analysis. Unfortunately, it is not easy to find suitable candidates, and the results may depend on the chosen candidates. Furthermore, computing many times for the LCV function is time consuming. In this paper, in order to circumvent this issue, we propose a computationally simple approach to implement the five-parameter spline model without penalizing the likelihood and cross-validation.
3. Proposed Methods
To circumvent the aforementioned problems for the penalized likelihood approach for the five-parameter spline model, we propose an alternative inference method in this section. We also introduce our new R package that implements the proposed method.
3.1. Two-Stage Estimation Approach
The proposed method consists of two stages: In the first stage, for a given shape of the baseline hazard function (e.g., a decreasing shape), we estimate only a scale parameter (multiplicative factor for the baseline hazard). In the second stage, we identify the best shape by a model selection method. More concrete explanations of the proposed methods will be explained below.
In the first stage, we consider a known vector and an unknown scale parameter . We then consider a proportional hazards model as follows:
where the baseline hazard function is fully parametrized by , as follows:
where is defined in Appendix A.
We suggest the following 13 shapes for the prior specification:
The numerical values shown above are interpreted as “intensity” for five positions in a hazard function. For instance, a large value (e.g., 0.4) in the first position gives a high hazard at early time. For another instance, a large value (e.g., 0.7) in the third position gives a high hazard in the middle, typically giving unimodal shapes.
Figure 2 shows the graph of the 13 shapes. A variety of shapes, such as the constant, increasing, decreasing, unimodal, and bathtub hazard functions, are created. This implies a flexibility of the hazard model by choosing appropriate parameters. For unimodal hazard functions, one may capture the phenomenon: the hazard immediately after surgery is low and, just after surgery, the hazard ratio suddenly increases due to the possibility of infection, bleeding, and other complications. After some time, the hazard decreases as the patient recovers.
Figure 2.
The graphs of the baseline hazard function for pre-specified shape parameters.
Furthermore, in Appendix B, we provide a theorem (Theorem A1) that gives the necessary and sufficient conditions for to yield the constant, increasing, decreasing, and other shapes, which is a modified version of the theorem of Shih and Emura [44]. In Appendix B, we also check if , , and satisfy the respective conditions.
Since the hazard model is fully parameterized by , the traditional maximum likelihood (ML) estimation is applicable. The log-likelihood function is as follows:
where . Then, the ML estimator (MLE) is defined as follows:
The MLE is the solution to the score equations for and given by the following equations:
The Hessian matrix consists of the second derivations of given by the following equations:
From the above, the Hessian matrix is defined as follows:
The inversed Hessian matrix to obtain the standard error (SE) is written as follows:
where is a Schur complement matrix.
Based on the asymptotic normality for the MLE, we derive the variance, SE, and 95% CI of and the j-th regression coefficient . The variances of the estimators are approximated by the following equations:
for . Thus, the SEs of estimates are as follows:
Then 95% confidence interval (CI) is obtained as and .
In the second stage, we select the shape of the baseline hazard function among the 13 candidate models
Let be the maximized log-likelihood given a model . Then, the best model is as follows:
The resultant MLE is . For the SE and CI, we suggest the same methods for the first stage, which implies that the statistical variation due to the model selection is not taken into account. The effects of ignoring this variation will be examined by simulations, and they are shown to be negligible for large sample sizes.
The aforementioned model selection using the likelihoods of parametric models was commonly adopted in censored data analyses [46,47]. Furthermore, the likelihood-based model selection is usually superior to other selection methods [47], yielding higher rates for successfully choosing the true model. According to our simulations, the true model was correctly selected in the majority of the simulation replications, and the rate of selecting the true model increases with sample size (Section 4). However, in small sample sizes, we also observe that some bathtub shapes are difficult to be identified (Figure 2). While some special criteria are available to distinguish similar models [48], we still keep the standard likelihood criterion.
3.2. Estimation of the Baseline Hazard Function
An important advantage of the spline method over the traditional partial likelihood method is the availability of the estimator of the baseline hazard function. The partial likelihood method for solely estimating may demand a smoothing for the non-differentiable Breslow estimator. On the other hand, the proposed method can estimate both and straightforwardly. The estimator is defined as follows:
The SE is given by the following equation:
Then, the point-wise 95% CI is obtained as .
3.3. R Package “splineCox”
Our R package “splineCox” is composed of two major functions. The first one is “splineCox.reg1(.)”, which performs only the first stage estimation given a specified shape. This specification can be performed by a character argument, such as (model = “increase”), or by a vector of five positive numbers. The second one is “splineCox.reg2(.)”, which performs the model selection among candidate models, e.g., by an argument (model = “M”), where “M” is a set of candidate models (such as “M = c(“constant”, “increase”, “decrease”)”). In both functions, the estimates, SEs, and 95%CIs for and are produced as the output, along with the estimated baseline hazard function and its confidence interval plot. For “splineCox.reg2(.)”, the output also includes the maximized log-likelihood values for all the candidate models, but the estimates, SE, and 95%CI are shown only for the best model.
Below, we explain the input/output for our R functions by a simple data example. We used a dataset consisting of ovarian cancer patients, an included dataset “dataOvarian” available in the R package “joint.Cox”. From this dataset, we extracted days from surgery to tumor recurrence as observed survival times, recurrence status (1 = recurrence, 0 = no recurrence) as event indicators, and CXCL12 gene expressions as covariates. The input of the R code is given below.
| library(splineCox) library(joint.Cox) #For the dataOvarian dataset data(dataOvarian) t.event = dataOvarian$t.event event = dataOvarian$event Z = dataOvarian$CXCL12 reg1 <- splineCox.reg1(t.event, event, Z, model = "increase") print(reg1) M = c("constant", "increase", "decrease") # Three candidate models reg2 <- splineCox.reg2(t.event, event, Z, model = M) print(reg2) |
The two functions share some common inputs: “t.event”, “event”, and “Z”. However, the input for “model” differs between the two functions. In “splineCox.reg1(.)”, users must specify one model’s name of the baseline hazard shape. In contrast, in “splineCox.reg2(.)”, users can specify a set of candidate models by their names as a vector, allowing the function to select the best model. If no shapes are explicitly specified, the default is to specify all the 13 shape models. For further details, including other optional arguments, readers are referred to the package manual available in CRAN (https://cran.r-project.org/package=splineCox). The output of the R code is given below.
| > print(reg1) $model [1] "increase" $parameter [1] 0.05 0.10 0.15 0.30 0.40 $beta estimate SE Lower Upper 0.22068307 0.04272796 0.13693627 0.30442987 $gamma estimate SE Lower Upper 11.1695622 0.4681608 10.2519670 12.0871573 $loglik LogLikelihood AIC BIC -4629.807 9263.614 9273.435 ![]() > print(reg2) $model [1] "constant" $parameter [1] 0.125 0.250 0.250 0.250 0.125 $beta estimate SE Lower Upper 0.21342140 0.04250986 0.13010207 0.29674073 $gamma estimate SE Lower Upper 4.8603503 0.2037146 4.4610697 5.2596309 $loglik LogLikelihood AIC BIC -4603.751 9211.501 9221.323 $other_loglik Loglikelihodd increase -4629.807 decrease -4611.546 ![]() |
The outputs are shown in components: “model”, “parameter”, “beta”, “gamma”, “loglik”, and “other_loglik”. The plot of the estimated baseline hazard function is also displayed. The “model” shows the information for . The “beta” and “gamma” display the estimates, SEs, and 95% CIs. In addition to these, the “loglik” gives the maximum log-likelihood, AIC, and BIC values. For “splineCox.reg2(.)”, “other_loglik” shows the maximum log-likelihood values for candidate models considered in the selection process. Since “splineCox.reg1(.)” is specified with “increase”, it produces a plot of the increasing baseline hazard function. In contrast, “splineCox.reg2(.)” only provides a plot of the model selected from the candidate models “M = c(“constant”, “increase”, “decrease”)”.
4. Simulations
We conducted simulation studies to evaluate the performance of the proposed spline method.
4.1. Simulation Design
For and for , we generated such that . We then generated survival times from a univariate Cox model that is expressed as follows:
where takes 13 different shapes (defined in Section 3.1) with scale parameters . Censoring times were generated from a uniform distribution, , ranging from 28% to 66% censored subjects (see CEN% reported in Table 1). Then, we defined observed data , , and for . After generating the data from the above setting, we analyze the data in three different ways.
Table 1.
Simulation results for estimating using “splineCox.reg1(.)” under Design 1.
Design 1 (without model selection): The data were analyzed by “splineCox.reg1(.)” under the correct model. The goal is to see the accuracy of the first stage estimation only, without any model selection from the second stage. In addition, the simulation is under the absence of model misspecification.
Design 2 (with model selection): The data were analyzed by “splineCox.reg2(.)” involving model selection from the 13 candidates. The goal is to see the accuracy of the model selection method, and also to see the influence of model selection on the estimation performance.
Design 3 (with model selection): The data were analyzed using “coxph(.)” and “splineCox.reg2(.)”, and their estimation performance were compared in terms of the mean squared error (MSE). In this design, we add the small sample case of to see the small sample advantage of the proposed method over “coxph(.)”.
Based on 1000 repetitions of these analyses, we summarized the simulation results using estimators’ mean, bias, standard deviation (SD), the average SEs, the coverage probability (CP) for the 95% CI, and MSE. We also evaluated the accuracy of model selection (percentage of selecting the true model) for the second stage estimation.
Additional simulations are given in Appendix C and Appendix D, where the estimation of the baseline hazard function and the effect of model misspecification are examined.
4.2. Simulation Results
Table 2.
Simulation results for estimating using “splineCox.reg2(.)” under Design 2.
Table 3.
MSE comparison between “coxph(.)” (Cox regression) and “splineCox.reg2(.)” (Proposed method) under Design 3.
Table 1 shows the results for the first stage estimation of by “splineCox.reg1(.)” under Design 1. For , was estimated almost unbiasedly, and the CP stayed close to 95%. When , the estimation performance improved further, with even smaller bias and SD, and CP closer to 0.95. In all cases, the SD of the estimates was well-captured by the SE, demonstrating the validity of the Hessian-based method for computing the SE. The shape model “Unimodal3” gave larger SD values than other shapes, which may be caused by higher censoring percentage (66%) in this model. Overall, the results show that the first stage estimation by “splineCox.reg1(.)” gives consistent estimation of and its sampling variation is well captured by the SE and 95% CI.
Table 2 shows the simulation results for estimating under Design 2. Similar to Table 1, the estimator of β remains almost unbiased. The SD slightly increases (compared to the SD of Table 1) due to the variation in model selection. The SE slightly underestimates the SD due to the ignorance of the variation in model selection. Consequently, the CP is slightly lower than the nominal 95% level, especially for the case of . For , the CP stays around 0.95 in most cases. The last column shows the model selection accuracy (Acc), which is defined as the proportion of total selections where the true model is correctly selected (among 13 models). For , the Acc ranges from 31% to 90%, with low Acc values being observed under Bathtub1, Bathbub3 and Bathtub 5. With , the Acc improved significantly, ranging from 52% to 98%; although, the lowest Acc scores still belong to Bathtub1, Bathbub3 and Bathtub 5. This phenomenon is likely due to the difficulty in distinguishing between five similar bathtub shapes from observed data. Nonetheless, the CP values for Bathtub1, Bathbub3 and Bathtub are kept above 0.90. Among bathtub models, Bathtub4 had the highest accuracy, possibly due to its high hazard value for early time.
Table 3 summarizes the comparison of “coxph(.)” and “splineCox.reg2(.)” in terms of the MSE. We observe that the spline method occasionally gives smaller MSE than the partial likelihood estimator (e.g., the first row of Table 3). The reduction of the MSE by the spline method is higher for smaller sample sizes (compared to ). The superiority of the proposed spline method is particularly noticeable when the sample size is small (e.g., ), where “coxph(.)” tends to produce a large MSE. In particular, the MSE of “coxph(.)” is particularly large for , which can be attributed to the fact that this setting results in fewer observed events compared to . The reduced number of events increases the uncertainty in estimation, leading to greater variability in parameter estimates and, consequently, larger MSE. However, there are still some cases where “coxph(.)” is slightly better than, or comparable to “splineCox.reg2(.)”. While the proposed spline-based method (“splineCox.reg2(.)”) demonstrated a certain degree of superiority for smaller sample sizes, its overall improvement over the traditional partial likelihood method remains moderate.
5. Data Analysis
We applied the proposed spline method to two real datasets and compared the results with those obtained from three existing methods. The three existing methods are as follows:
- The Cox partial likelihood method using “coxph(.)”
- The Weibull regression model “survreg(.)”
- The penalized spline-based method using “splineCox.reg(.)”
The proposed method is based on the two-stage spline method using “splineCox.reg2(.)”. Goodness of models are compared using the Akaike Information Criteria (AIC), defined as , where is the number of parameters in the model. The AIC accounts for over-fitting by penalizing with the complexity of the model. Since the method (1.) uses “partial” likelihood, it cannot be compared with (2.) and (3.) by the AIC. For the penalized method of the method (3.), we used the same procedure as described in Section 2.3 and by Shih and Emura [44]. For more details of the fitting methods, one can refer the R code in the Supplementary Materials.
5.1. Life Test Data on Electrical Insulations
We analyzed the life test data on electrical insulations provided by Nelson [49], which record failure times (in hours) of insulation units tested under three distinct temperature conditions ( for 200 °C; for 225 °C; for 250 °C). Notably, none of the units were censored ( for all ). Figure 3 (left panel) gives a visual representation of the dataset. We clearly see that higher temperatures give shorter times to failure. Moreover, the temperature level and failure times are perfectly ordered, meaning that any insulation exposed to a higher temperature gives a shorter expectancy than any insulation exposed to a lower temperature (Figure 3 (left panel)).
Figure 3.
(Left panel): The life test data on electrical insulations [49]. (Right panel): The estimated baseline hazard functions.
Table 4 shows estimated parameters for . As shown in Table 4, “coxph(.)” produced an unusually large estimate (). In this case, the partial likelihood is maximized at by its monotonically increased likelihood function [44]. Hence, this is the case where the Newton-type algorithm for numerically maximizing the partial likelihood did not converge. This occurs because the failure times are perfectly ordered by the covariate . The Weibull model somehow gave unusually low value for the log-likelihood. Only the penalized spline model and the proposed spline model provide reasonable estimates for , demonstrating the potential advantage of these spline models.
Table 4.
Parameter estimates for based on the life test data.
The penalized spline model demonstrated the best fit among all models, as indicated by both the log-likelihood and AIC criteria. This superior fit can be attributed to the higher flexibility of baseline hazard functions—five parameters in total—compared to the proposed model of one parameter. This inferior fit of the proposed method might be attributed to the absence of a proper increasing hazard shape in the 13 candidate models. A potential solution is to include additional shape models for increasing hazard functions (as suggested from Figure 3 (right panel)).
However, we must emphasize that the penalized spline model required the technically difficult choice of using the grid search for the LCV function. That is, we prespecified the range of as by following the R code of Shih and Emura [44]. However, the choice of is not trivial without their R code. The proposed method does not require any prior specification by users.
5.2. Gene Expression Data from Lung Cancer Patients
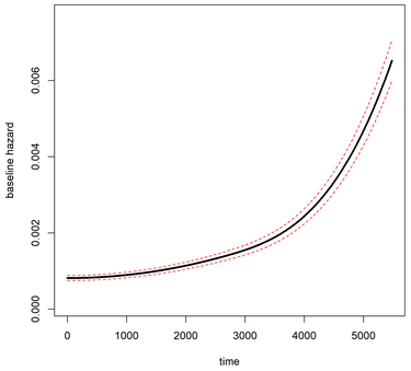
We analyzed the dataset called “Lung” obtained from the “compound.Cox” R package. The dataset includes overall survival times (in months) for lung cancer patients, along with gene expression levels of ZNF264 (Zinc Finger Protein 264), which are categorized into four levels (). All patients received surgical resection and followed up until their death or censoring. Among these patients, 87 experienced censoring. A graphical summary of the data is provided in Figure 4 (left panel).
Figure 4.
(Left panel): The lung cancer data; (right panel): Estimated baseline hazard functions.
Table 5 shows the estimates of using the four methods. The estimates were similar in their values, and the p-values do not strongly support the significance of the effect of ZNF264. Nonetheless, the proposed method slightly enhanced the evidence up to a 10% level compared to the “coxph” method. In terms of the log-likelihood value, the proposed method is slightly inferior to the penalized spline method. Nevertheless, the proposed method, with fewer parameters, achieved the lowest AIC value (the best model).
Table 5.
Parameter estimates for based on the lung cancer data.
Figure 4 (right panel) displays the estimated baseline hazard functions. The Weibull model gives a mildly increasing baseline hazard, whereas the penalized spline model gives a unimodal shape. The proposed method also yields a unimodal baseline hazard. While different shapes are suggested by different models, the two unimodal hazard functions seem to be more suitable due to their lower AIC values. One of the differences in the two unimodal hazard functions is the peak time (20 months in the penalized likelihood method, 27 months in the proposed method). We assert that the proposed spline model gives the most suitable shape according to the lowest AIC value (Table 5). We interpret the resultant shape of the hazard function as follows. The risk of death is low in early time (0–10 months), and the risk increases steadily until its peak (27 months). After the peak, the risk reduces sharply possibly due to some cure. Therefore, clinicians should pay particular attentions to surgically treated patients up to 27 months for the potential risk of death due to the surgical treatments.
6. Conclusions
In this paper, we proposed a novel two-stage estimation approach for the five-parameter spline model in the Cox model with right-censored data. The key advantage of the proposed method is its computational simplicity, which is achieved by separating the challenging estimation of hazard shape and its scale in a two-stage manner. This approach avoids the complexities of penalized likelihood methods, circumventing the assessment of the cross-validation criterion and the smoothing parameter estimation. As compensation for that, a model selection is necessary from 13 candidate shape models. Nonetheless, by using the proposed R package “splineCox”, the processes of model selection and estimation can be performed simultaneously and seamlessly. Simulation studies demonstrated the reasonable performance of the proposed method, as well as some superior performance over the classical partial likelihood method.
Application to two real datasets further illustrated the practical utility of the proposed method. In the gene expression data analysis, the proposed spline model gives the lowest AIC value (the best value) among other existing models. For the life test dataset on electrical insulations, the proposed spline model works properly, where both the Weibull regression method gave a poor fit, and the partial likelihood method even did not fit to the data. Specifically, for this dataset, the “coxph(.)” failed to converge since Cox’s partial likelihood is maximized at the infinity . These findings underscore the proposed method’s ability and flexibility to analyze a variety of survival data, including those that are difficult to analyze by existing models.
The 13 candidate shape models for the baseline hazard function include the constant hazard model. For a given dataset, if the proposed model selection method results in the constant hazard model, the exponential distribution should be considered for fitting the data. While the exponential distribution is often criticized for its overly simple form, it has been used in a number of recent articles for their studies on survival data [50,51,52].
While the proposed method offers notable advantages, it has limitations. First, the method may underperform in approximating highly complex baseline hazard shapes requiring more than five parameters. One might wish to solve this issue by simply increasing the number of parameters or the number of shape models. However, the estimation efficiency and computational simplicity will be reduced. Thus, the idea of increasing the model’s degree of freedom is not a panacea and should be executed carefully. Second, the proposed R package is limited to the analysis of right-censored data. The package should be extended so that it can allow interval censoring, left-truncation, or double-truncation.
In the life test data analysis, we observe some potential trade-offs between computational simplicity and the model’s goodness-of-fit for the proposed method. That is, the proposed method did not result in a better fit (lower log-likelihood value in Table 4) than the penalized likelihood method. This is the consequence of simplifying the five parameter models to a single scale parameter with a finite number of shape models. The potential solution for improving model’s fit is to expand the candidate models (e.g., by including the bimodal hazard). However, we always face computational inefficiency when the number of candidate models increase.
For constructing the CI for model parameters, we adopted the asymptotic normality of the MLE under the assumption that the correct shape model is specified. Here, we ignored the randomness of model selection process in the proposed two-stage method. Therefore, we investigated the uncertainty of model selection via simulations. Interestingly, the uncertainty due to model selection is small: some under-coverage of the 95% CI (yet mostly above 0.90) and a small probability for an erroneous estimate for the true baseline hazard function. For these reasons, we suspect that the model selection uncertainty can be negligible for large sample sizes. Some researchers simply ignore the model selection uncertainty [47] for this small effect. However, more extensive studies on the model uncertainty are mandated [53].
Supplementary Materials
The following supporting information can be downloaded at: https://www.mdpi.com/article/10.3390/math13040616/s1, the R code for simulations and data analyses.
Author Contributions
Conceptualization, R.T. and T.E.; methodology, R.T. and T.E.; software, R.T.; resources, T.E. and K.F.; writing—original draft, R.T. and T.E; visualization, R.T.; supervision, T.E. and K.F.; and funding acquisition, T.E. and K.F. All authors have read and agreed to the published version of the manuscript.
Funding
Emura T was supported financially by JSPS KAKENHI (22K11948; 20H04147).
Data Availability Statement
As all data used in Section 5 are publicly available data, written informed consent was not required.
Acknowledgments
We thank Jia-Han Shih for his helpful comments and discussions regarding this paper. We also thank the four reviewers for their helpful comments that greatly improved the paper. Teranishi R is benefitted from the intensive course on “Multivariate survival data analysis” in 2023 and the consulting advices in 2024 given by the Research Center for Medical and Health Data Science at the Institute of Statistical Mathematics.
Conflicts of Interest
The authors declare no conflicts of interest.
Appendix A. M-Spline Function and I-Spline Function
The forms of the five M-spline and I-spline base functions that are used in this paper were originally derived by Emura et al. [39] for purpose of modeling their joint frailty-copula model [41,42]. They defined the basis functions on the support , where the value is the lower limit, is the upper limit, and is the midpoint. In addition, let and for 1, 2, and 3. Given data, one can set and . The forms of the M-spline basis functions are as follows:
By integrations, the I-spline basis functions are as follows:
Figure A1 displays the graphs of and , , for 1. The M-spline basis gives a decreasing, increasing, or unimodal shape. The I-spline basis is increasing from on 1. In fact, the I-spline function is a cumulative distribution function.
Figure A1.
The graphs of the M-spline basis and I-spline basis , .
Figure A1.
The graphs of the M-spline basis and I-spline basis , .

Appendix B. Conditions of a Shape in Five-Parameter Spline Models
Shih and Emura [44] provided a theorem that classifies the parameter spaces according to distinct shapes of the spline hazard functions. However, we propose a new version of the theorem by slightly modifying and (defined below) by including the conditions of and (defined below). The main purpose of the modified version, Theorem A1, is to avoid confusions by users who encounter the case of or .
Theorem A1 (a modification of the theorem in Shih and Emura [44]).
Define two subspaces, as follows:
Then, for all ,, thefive-parameter spline model yields the following shapes of hazard functions:
(a)
Increasing hazard if and only if
(b)
Decreasing hazard if and only if
(c)
Convex hazard if and only if
(d)
Concave hazard if and only if
(e)
Constant hazard if and only if
Note that (a)–(e) are not all the possible shapes for the five-parameter spline model. The five-parameter spline model can give “bathtub-shaped”, “unimodal”, “bimodal”, and other types of hazard functions, which do not belong to (a)–(e).
When or , the term or is zero. This implies that if , then the inequality in (a) holds (because ). Similarly, if , then the inequality in (a) holds.
We examine if the conditions of Theorem A1 are satisfied for our suggested models , , and . For , the parameters satisfy , which fulfills the condition for a constant hazard as described in (e). To evaluate the estimation performance of the baseline hazard function, which is a key advantage of the proposed method, we conducted a simulation study. The results are presented in Table A1. Based on the standard error and confidence interval formulas derived in Section 3.2, we calculated the mean estimate (Mean), standard deviation (SD), standard error (SE), and 95% coverage probability (CP) at two time points in the simulation data.
For , the parameters satisfy as described in (a). We notice that due to , that due to , and
Then, the first and second inequality conditions in (a) hold. Thus, fulfills the conditions of (a). In a similar fashion, the conditions (b) for can be verified.
Appendix C. Simulation Results for the Baseline Hazard Function
To evaluate the performance of the estimator of the baseline hazard function defined in Section 3.2. We conducted a simulation study under Design 2. Table A1 shows the estimation results under and Figure A2 and Figure A3 display the estimated hazard functions for . According to Figure A2 and Figure A3, the estimated baseline hazard functions show a good agreement with the true hazard model. In majority of replications, both the model selection and scale estimation work excellently. In some exceptional cases, a deviation of the estimated baseline hazard from the true function occurred, possibly due to the model misspecification. Nonetheless, the percentage of this occurrence is quite small and reduces as the sample size increases. On the other hand, the CPs of the 95%CIs are below the nominal value of 0.95 in some cases. This is due to the ignorance of the model selection process into the asymptotic variance.
Table A1.
Simulation results for estimating using “splineCox.reg2(.)” (Design 2, ).
Table A1.
Simulation results for estimating using “splineCox.reg2(.)” (Design 2, ).
| γ | Model | Mean | SD | SE | CP | |
|---|---|---|---|---|---|---|
| 0.5 | Increase | 0.04 | 2.962 | 0.793 | 0.787 | 0.954 |
| 0.06 | 4.142 | 1.149 | 1.100 | 0.948 | ||
| Constant | 0.04 | 5.186 | 1.289 | 1.118 | 0.922 | |
| 0.06 | 5.278 | 1.341 | 1.137 | 0.910 | ||
| Decrease | 0.04 | 4.065 | 0.908 | 0.762 | 0.916 | |
| 0.06 | 2.790 | 1.023 | 0.524 | 0.748 | ||
| Unimodal1 | 0.04 | 8.711 | 2.128 | 1.909 | 0.906 | |
| 0.06 | 9.062 | 2.190 | 1.987 | 0.920 | ||
| Unimodal2 | 0.04 | 8.056 | 1.595 | 1.563 | 0.946 | |
| 0.06 | 3.965 | 1.302 | 0.769 | 0.918 | ||
| Unimodal3 | 0.04 | 4.003 | 1.110 | 1.018 | 0.932 | |
| 0.06 | 8.092 | 2.225 | 2.056 | 0.940 | ||
| Unimodal4 | 0.04 | 7.609 | 1.779 | 1.559 | 0.913 | |
| 0.06 | 6.787 | 1.495 | 1.391 | 0.937 | ||
| Unimodal5 | 0.04 | 7.076 | 1.910 | 1.647 | 0.917 | |
| 0.06 | 8.138 | 2.071 | 1.897 | 0.937 | ||
| Bathtub1 | 0.04 | 2.496 | 0.641 | 0.532 | 0.874 | |
| 0.06 | 2.388 | 0.977 | 0.509 | 0.763 | ||
| Bathtub2 | 0.04 | 1.887 | 0.483 | 0.430 | 0.919 | |
| 0.06 | 3.461 | 1.119 | 0.787 | 0.812 | ||
| Bathtub3 | 0.04 | 3.288 | 0.820 | 0.669 | 0.901 | |
| 0.06 | 2.013 | 0.784 | 0.410 | 0.816 | ||
| Bathtub4 | 0.04 | 1.697 | 0.488 | 0.424 | 0.925 | |
| 0.06 | 3.377 | 0.988 | 0.842 | 0.894 | ||
| Bathtub5 | 0.04 | 3.660 | 0.802 | 0.705 | 0.910 | |
| 0.06 | 2.196 | 0.771 | 0.423 | 0.726 | ||
| 0.1 | Increase | 0.04 | 6.053 | 1.281 | 1.202 | 0.936 |
| 0.06 | 8.450 | 1.913 | 1.677 | 0.908 | ||
| Constant | 0.04 | 10.492 | 2.340 | 1.726 | 0.885 | |
| 0.06 | 10.668 | 2.519 | 1.754 | 0.878 | ||
| Decrease | 0.04 | 8.188 | 1.833 | 1.183 | 0.871 | |
| 0.06 | 5.598 | 2.322 | 0.808 | 0.637 | ||
| Unimodal1 | 0.04 | 17.947 | 3.153 | 3.017 | 0.942 | |
| 0.06 | 18.237 | 3.448 | 3.066 | 0.928 | ||
| Unimodal2 | 0.04 | 15.916 | 2.427 | 2.392 | 0.941 | |
| 0.06 | 7.590 | 2.410 | 1.141 | 0.919 | ||
| Unimodal3 | 0.04 | 7.862 | 1.673 | 1.538 | 0.932 | |
| 0.06 | 16.158 | 3.484 | 3.158 | 0.915 | ||
| Unimodal4 | 0.04 | 15.479 | 2.902 | 2.437 | 0.888 | |
| 0.06 | 13.597 | 2.688 | 2.140 | 0.918 | ||
| Unimodal5 | 0.04 | 13.895 | 2.692 | 2.493 | 0.912 | |
| 0.06 | 15.771 | 3.557 | 2.827 | 0.915 | ||
| Bathtub1 | 0.04 | 5.020 | 1.099 | 0.813 | 0.846 | |
| 0.06 | 4.901 | 2.164 | 0.792 | 0.640 | ||
| Bathtub2 | 0.04 | 3.912 | 0.760 | 0.668 | 0.922 | |
| 0.06 | 7.240 | 2.041 | 1.237 | 0.773 | ||
| Bathtub3 | 0.04 | 6.671 | 1.618 | 1.032 | 0.845 | |
| 0.06 | 4.161 | 1.840 | 0.644 | 0.753 | ||
| Bathtub4 | 0.04 | 3.416 | 0.724 | 0.637 | 0.911 | |
| 0.06 | 6.839 | 1.720 | 1.275 | 0.848 | ||
| Bathtub5 | 0.04 | 7.423 | 1.368 | 1.092 | 0.884 | |
| 0.06 | 4.537 | 1.589 | 0.668 | 0.626 |
Figure A2.
The 50 replications for estimating (Design 2, ).
Figure A2.
The 50 replications for estimating (Design 2, ).

Figure A3.
The 50 replications for estimating (Design 2, ).
Figure A3.
The 50 replications for estimating (Design 2, ).

Appendix D. Simulation Under Model Misspecification: Evaluation with Non-Candidate Baseline Hazard Functions
We assess the estimation performance of the proposed method under model misspecification, where the true baseline hazard function does not agree with any of the 13 candidate models. We consider the four true baseline hazard function as follows:
Table A2 shows the simulation results for evaluating the estimation performance of the proposed method using “splineCox.reg2(.)”. In addition, Table A3 compares the proposed method with the partial likelihood method using “coxph(.)”. Finally, we present the estimation performance of the baseline hazard function (Table A4, Figure A4).
Figure A4.
The graphs of the non-candidate baseline hazard function.
Figure A4.
The graphs of the non-candidate baseline hazard function.

Figure A5 clearly illustrates the influence of model misspecification; the candidate models do not fully capture the true baseline model. Nonetheless, according to Table A2, the proposed method still successfully estimates without excessive bias. However, the CP falls below 95% for all models, with a particularly noticeable decrease when . Furthermore, as shown in Table A3, the mean squared error (MSE) is comparable to that of the Cox proportional hazards model. Particularly, in the small sample setting (), the proposed method demonstrates superior performance.
Table A2.
Simulation results for estimating using “splineCox.reg2(.)” under misspecification.
Table A2.
Simulation results for estimating using “splineCox.reg2(.)” under misspecification.
| γ | Model | CEN% | Mean | Bias | SD | SE | CP | |
|---|---|---|---|---|---|---|---|---|
| 0.5 | Bimodal | 100 | 53.8% | 2.038 | 0.038 | 0.403 | 0.359 | 0.928 |
| 200 | 54.0% | 1.990 | −0.010 | 0.274 | 0.252 | 0.938 | ||
| Irregular | 100 | 53.6% | 2.066 | 0.066 | 0.410 | 0.369 | 0.942 | |
| 200 | 53.8% | 2.048 | 0.048 | 0.287 | 0.258 | 0.930 | ||
| Right skewed | 100 | 58.8% | 2.027 | 0.027 | 0.423 | 0.390 | 0.948 | |
| 200 | 58.6% | 2.008 | 0.008 | 0.286 | 0.271 | 0.948 | ||
| Left skewed | 100 | 48.7% | 2.111 | 0.111 | 0.363 | 0.334 | 0.932 | |
| 200 | 48.8% | 2.081 | 0.081 | 0.256 | 0.235 | 0.929 | ||
| 1 | Bimodal | 100 | 40.4% | 2.031 | 0.031 | 0.424 | 0.284 | 0.885 |
| 200 | 40.3% | 1.953 | −0.047 | 0.256 | 0.200 | 0.901 | ||
| Irregular | 100 | 39.4% | 2.032 | 0.032 | 0.341 | 0.288 | 0.895 | |
| 200 | 39.0% | 1.996 | −0.004 | 0.261 | 0.201 | 0.867 | ||
| Right skewed | 100 | 44.9% | 1.973 | −0.027 | 0.337 | 0.303 | 0.925 | |
| 200 | 45.2% | 1.968 | −0.032 | 0.236 | 0.213 | 0.916 | ||
| Left skewed | 100 | 35.0% | 2.131 | 0.131 | 0.328 | 0.269 | 0.870 | |
| 200 | 34.6% | 2.076 | 0.076 | 0.237 | 0.189 | 0.864 |
Figure A5.
The 50 replications for estimating ().
Figure A5.
The 50 replications for estimating ().

Table A3.
MSE comparison between “coxph(.)” (Cox regression) and “splineCox.reg2(.)” (the proposed method) under a misspecification situation.
Table A3.
MSE comparison between “coxph(.)” (Cox regression) and “splineCox.reg2(.)” (the proposed method) under a misspecification situation.
| n = 50 | |||||||
|---|---|---|---|---|---|---|---|
| Model | coxph | Proposed | coxph | Proposed | coxph | Proposed | |
| 0.5 | Bimodal | 3.031 | 0.868 | 0.148 | 0.164 | 0.075 | 0.075 |
| Irregular | 3.380 | 1.176 | 0.169 | 0.172 | 0.080 | 0.085 | |
| Right skewed | 6.191 | 0.911 | 0.194 | 0.179 | 0.084 | 0.082 | |
| Left skewed | 1.813 | 0.355 | 0.123 | 0.144 | 0.062 | 0.072 | |
| 1 | Bimodal | 1.426 | 0.357 | 0.118 | 0.181 | 0.056 | 0.068 |
| Irregular | 1.048 | 0.279 | 0.104 | 0.117 | 0.053 | 0.068 | |
| Right skewed | 2.201 | 0.381 | 0.144 | 0.114 | 0.064 | 0.057 | |
| Left skewed | 0.268 | 0.250 | 0.101 | 0.125 | 0.050 | 0.062 | |
Table A4.
Simulation results for estimating using “splineCox.reg2(.)” ().
Table A4.
Simulation results for estimating using “splineCox.reg2(.)” ().
| γ | Model | Time | Mean | Bias | SD | SE | CP |
|---|---|---|---|---|---|---|---|
| 0.5 | Bimodal | 0.04 | 5.922 | 0.472 | 1.521 | 1.286 | 0.897 |
| 0.06 | 4.653 | −0.883 | 2.110 | 1.009 | 0.486 | ||
| Irregular | 0.04 | 3.520 | −0.580 | 1.467 | 0.786 | 0.558 | |
| 0.06 | 4.249 | −0.417 | 1.542 | 0.948 | 0.761 | ||
| Right skewed | 0.04 | 4.522 | −0.452 | 1.293 | 1.062 | 0.876 | |
| 0.06 | 5.440 | −0.745 | 1.498 | 1.274 | 0.871 | ||
| Left skewed | 0.04 | 6.170 | 0.062 | 1.570 | 1.247 | 0.899 | |
| 0.06 | 5.995 | 1.128 | 1.530 | 1.211 | 0.787 | ||
| 1 | Bimodal | 0.04 | 12.018 | 1.063 | 2.410 | 1.990 | 0.866 |
| 0.06 | 8.824 | −2.491 | 4.947 | 1.457 | 0.313 | ||
| Irregular | 0.04 | 6.770 | −1.557 | 2.607 | 1.139 | 0.372 | |
| 0.06 | 8.391 | −1.023 | 3.003 | 1.410 | 0.699 | ||
| Right skewed | 0.04 | 9.190 | −0.921 | 2.235 | 1.640 | 0.809 | |
| 0.06 | 10.805 | −1.740 | 2.563 | 1.926 | 0.782 | ||
| Left skewed | 0.04 | 12.857 | 0.558 | 3.258 | 1.988 | 0.806 | |
| 0.06 | 12.332 | 2.604 | 3.108 | 1.907 | 0.636 |
References
- Cox, D.R. Regression models and life tables. J. R. Stat. Soc. Ser. B 1972, 34, 187–202. [Google Scholar] [CrossRef]
- Farzana, W.; Basree, M.M.; Diawara, N.; Shboul, Z.A.; Dubey, S.; Lockhart, M.M.; Hamza, M.; Palmer, J.D.; Iftekharuddin, K.M. Prediction of Rapid Early Progression and Survival Risk with Pre-Radiation MRI in WHO Grade 4 Glioma Patients. Cancers 2023, 15, 4636. [Google Scholar] [CrossRef] [PubMed]
- Chen, W.; Liao, C.; Xiang, X.; Li, H.; Wu, Q.; Li, W.; Ma, Q.; Chen, N.; Chen, B.; Li, G. A novel tumor mutation-related long non-coding RNA signature for predicting overall survival and immunotherapy response in lung adenocarcinoma. Heliyon 2024, 10, e28670. [Google Scholar] [CrossRef] [PubMed]
- Chai, Y.; Ma, Y.; Feng, W.; Xiang, H.; Lu, H.; Jin, L. Identification and validation of a 4-extracellular matrix gene signature associated with prognosis and immune infiltration in lung adenocarcinoma. Heliyon 2024, 10, e24162. [Google Scholar] [CrossRef]
- Zhang, X.; Wu, L.; Zhang, X.; Xu, Y. Identifying the tumor-associated macrophage of lung adenocarcinoma reveals immune landscape through omics data integration. Heliyon 2024, 10, e27586. [Google Scholar] [CrossRef]
- Jin, M.; Ni, D.; Cai, J.; Yang, J. Identification and Validation of Immunity-and Disulfidptosis-related Genes Signature for Predicting Prognosis in Ovarian Cancer. Heliyon 2024, 10, e32273. [Google Scholar] [CrossRef]
- Bryson, M.C.; Johnson, M.E. The incidence of monotone likelihood in the Cox model. Technometrics 1981, 23, 381–383. [Google Scholar] [CrossRef]
- Loughin, T.M. On the bootstrap and monotone likelihood in the Cox proportional hazards regression model. Lifetime Data Anal. 1998, 4, 393–403. [Google Scholar] [CrossRef]
- Wichitsa-Nguan, K.; Läuter, H.; Liero, H. Estimability in Cox models. Stat. Pap. 2016, 57, 1121–1140. [Google Scholar] [CrossRef]
- Anzures-Cabrera, J.; Hutton, J.L. Competing risks, left truncation and late entry effect in A-bomb survivors cohort. J. Appl. Stat. 2010, 37, 821–831. [Google Scholar] [CrossRef][Green Version]
- Balakrishnan, N.; Mitra, D. Left truncated and right censored Weibull data and likelihood inference with an illustration. Comput. Stat. Data Anal. 2012, 56, 4011–4025. [Google Scholar] [CrossRef]
- de Freitas Costa, E.; Schneider, S.; Carlotto, G.B.; Cabalheiro, T.; de Oliveira Júnior, M.R. Zero-inflated-censored Weibull and gamma regression models to estimate wild boar population dispersal distance. Jpn. J. Stat. Data Sci. 2021, 4, 1133–1155. [Google Scholar] [CrossRef]
- Huang, X.W.; Wang, W.; Emura, T. A copula-based Markov chain model for serially dependent event times with a dependent terminal event. Jpn. J. Stat. Data Sci. 2021, 4, 917–951. [Google Scholar] [CrossRef]
- Gottselig, M.; Schneider, S.; Demarqui, F. Cure rate regression models for dependent censoring under a copula-based approach. Jpn. J. Stat. Data Sci. 2025, in press. [Google Scholar] [CrossRef]
- Schneider, S.; Demarqui, F.N.; Colosimo, E.A.; Mayrink, V.D. An approach to model clustered survival data with dependent censoring. Biom. J. 2020, 62, 157–174. [Google Scholar] [CrossRef] [PubMed]
- Schneider, S.; Demarqui, F.; de Freitas Costa, E. Free-ranging dogs’ lifetime estimated by an approach for long-term survival data with dependent censoring. Environ. Ecol. Stat. 2022, 29, 869–911. [Google Scholar] [CrossRef]
- Rouzbahani, M.; Akhoond, M.R.; Chinipardaz, R. A new bivariate survival model with a cured fraction: A mixed Poisson frailty–copula approach. Jpn. J. Stat. Data Sci. 2024. [Google Scholar] [CrossRef]
- Klein, J.P.; Moeschberger, M.L. Survival Analysis Techniques for Censored and Truncated Data; Springer: New York, NY, USA, 2003. [Google Scholar]
- Lipowski, C.; Lo, S.M.; Shi, S.; Wilke, R.A. Competing risks regression with dependent multiple spells: Monte Carlo evidence and an application to maternity leave. Jpn. J. Stat. Data Sci. 2021, 4, 953–981. [Google Scholar] [CrossRef]
- Das, S.; Bhattacharya, R.; Shome, M. A multi-treatment two stage allocation design for survival outcomes with nonrandom censoring: A copula-based approach. Seq. Anal. 2024, 43, 461–476. [Google Scholar] [CrossRef]
- Gares, V.; Hudson, M.; Manuguerra, M.; Gebski, V. Effect of a correlated competing risk on marginal survival estimation in an accelerated failure time model. Commun. Stat.-Simul. Comput. 2024. [Google Scholar] [CrossRef]
- Ko, N.G.; Gwen, D.; Ha, I.D. Likelihood-Based Inference of Log-Logistic Accelerated Hazards Regression Models for Cross Hazards Data. Meas. Interdiscip. Res. Perspect. 2024. [Google Scholar] [CrossRef]
- Burr, I.W. Cumulative frequency functions. Ann. Math. Stat. 1942, 13, 215–232. [Google Scholar] [CrossRef]
- Shao, Q. Notes on maximum likelihood estimation for the three-parameter Burr XII distribution. Comput. Stat. Data Anal. 2004, 45, 675–687. [Google Scholar] [CrossRef]
- Balakrishnan, N.; Pal, S. An EM algorithm for the estimation of parameters of a flexible cure rate model with generalized gamma lifetime and model discrimination using likelihood- and information-based methods. Comput. Stat. 2015, 30, 151–189. [Google Scholar] [CrossRef]
- Azimi, R.; Esmailian, M.; Gallardo, D.I. The inverted exponentiated Chen distribution with application to cancer data. Jpn. J. Stat. Data Sci. 2023, 6, 213–241. [Google Scholar] [CrossRef]
- Barriga, G.D.; Louzada-Neto, F.; Cancho, V.G. The complementary exponential power lifetime model. Comput. Stat. Data Anal. 2011, 55, 1250–1259. [Google Scholar] [CrossRef]
- Olkin, I. Life distributions: A brief discussion. Commun. Stat.-Simul. Comput. 2016, 45, 1489–1498. [Google Scholar] [CrossRef]
- Shama, M.S.; El Ktaibi, F.; Al Abbasi, J.N.; Chesneau, C.; Afify, A.Z. Complete study of an original power-exponential transformation approach for generalizing probability distributions. Axioms 2023, 12, 67. [Google Scholar] [CrossRef]
- Azimi, R.; Esmailian, M.; Mazucheli, J.; Nasiri, P. Mixture and non-mixture cure models with GeTNH distribution for the application to cancer data. Jpn. J. Stat. Data Sci. 2024. [Google Scholar] [CrossRef]
- Bakouch, H.S.; Abba, B.; Jónás, T.; Muhammad, M. A two-parameter parsimonious bathtub model for the analysis of system failure times with illustrations to reliability data. Qual. Reliab. Eng. Int. 2024, 40, 899–924. [Google Scholar] [CrossRef]
- Klotz, J. Spline smooth estimates of survival. In Survival Analysis. Lect. Notes-Monogr. Ser. 1982, 2, 14–25. [Google Scholar]
- Jarjoura, D. Smoothing hazard rates with cubic splines. Commun. Stat. Simul. Comput. 1988, 17, 377–392. [Google Scholar] [CrossRef]
- O’Sullivan, F. Fast computation of fully automated log-density and log-hazard estimation. SIAM J. Sci. Stat. Comput. 1988, 9, 363–379. [Google Scholar] [CrossRef]
- Xin, H.; Hsieh, W.J.; Lio, Y.; Tsai, T.R. Nonlinear profile monitoring using spline functions. Mathematics 2020, 8, 1588. [Google Scholar] [CrossRef]
- Rondeau, V.; Commenges, D.; Joly, P. Maximum penalized likelihood estimation in a gamma-frailty model. Lifetime Data Anal. 2003, 9, 139–153. [Google Scholar] [CrossRef]
- Kwon, S.; Ha, I.D.; Shih, J.H.; Emura, T. Flexible parametric copula modeling approaches for clustered survival data. Pharm. Stat. 2022, 21, 69–88. [Google Scholar] [CrossRef]
- Rondeau, V.; Pignon, J.P.; Michiels, S.; Mach-NC Collaborative Group. A joint model for the dependence between clustered times to tumour progression and deaths: A meta-analysis of chemotherapy in head and neck cancer. Stat. Methods Med. Res. 2015, 24, 711–729. [Google Scholar] [CrossRef]
- Emura, T.; Nakatochi, M.; Murotani, K.; Rondeau, V. A joint frailty-copula model between tumour progression and death for meta-analysis. Stat. Methods Med. Res. 2017, 26, 2649–2666. [Google Scholar] [CrossRef]
- Emura, T.; Nakatochi, M.; Matsui, S.; Michimae, H.; Rondeau, V. Personalized dynamic prediction of death according to tumour progression and high-dimensional genetic factors: Meta-analysis with a joint model. Stat. Methods Med. Res. 2018, 27, 2842–2858. [Google Scholar] [CrossRef]
- Emura, T.; Matsui, S.; Rondeau, V. Survival Analysis with Correlated Endpoints: Joint Frailty-Copula Models; Springer: Singapore, 2019. [Google Scholar]
- Emura, T.; Sofeu, C.L.; Rondeau, V. Conditional copula models for correlated survival endpoints: Individual patient data meta-analysis of randomized controlled trials. Stat. Methods Med. Res. 2021, 30, 2634–2650. [Google Scholar] [CrossRef]
- Touraine, C.; Gerds, T.A.; Joly, P. SmoothHazard: An R package for fitting regression models to interval-censored observations of illness-death models. J. Stat. Softw. 2017, 79, 1–22. [Google Scholar] [CrossRef]
- Shih, J.H.; Emura, T. Penalized Cox regression with a five-parameter spline model. Commun. Stat.-Theory Methods 2021, 50, 3749–3768. [Google Scholar] [CrossRef]
- Ramsay, J. O Monotone regression splines in action. Stat. Sci. 1988, 3, 425–441. [Google Scholar] [CrossRef]
- Emura, T.; Shiu, S.K. Estimation and model selection for left-truncated and right-censored lifetime data with application to electric power transformers analysis. Commun. Stat.-Simul. Comput. 2016, 45, 3171–3189. [Google Scholar] [CrossRef]
- Mitra, D.; Kundu, D.; Balakrishnan, N. Likelihood analysis and stochastic EM algorithm for left truncated right censored data and associated model selection from the Lehmann family of life distributions. Jpn. J. Stat. Data Sci. 2021, 4, 1019–1048. [Google Scholar] [CrossRef]
- Basu, S.; Ng, H.K.T. A density power divergence measure to discriminate between generalized exponential and Weibull distributions. Stat. Pap. 2025, 66, 6. [Google Scholar] [CrossRef]
- Nelson, W.B. Accelerated Testing: Statistical Models, Test Plans, and Data Analysis; Wiley: New York, NY, USA, 2004. [Google Scholar]
- Weißbach, R.; Wied, D. Truncating the exponential with a uniform distribution. Stat. Pap. 2022, 63, 1247–1270. [Google Scholar] [CrossRef]
- Liu, Y.; Gao, C.; Liu, X.; Luo, P.; Ren, J. A Comparison of MLE for Some Index Distributions Based on Censored Samples. Mathematics 2024, 12, 3264. [Google Scholar] [CrossRef]
- Toparkus, A.M.; Weißbach, R. Testing truncation dependence: The Gumbel–Barnett copula. J. Stat. Plan. Inference 2025, 234, 106194. [Google Scholar] [CrossRef]
- Zhao, Q.; Upretee, S.; Yu, D. Model Uncertainty and Selection of Risk Models for Left-Truncated and Right-Censored Loss Data. Risks 2023, 11, 188. [Google Scholar] [CrossRef]
Disclaimer/Publisher’s Note: The statements, opinions and data contained in all publications are solely those of the individual author(s) and contributor(s) and not of MDPI and/or the editor(s). MDPI and/or the editor(s) disclaim responsibility for any injury to people or property resulting from any ideas, methods, instructions or products referred to in the content. |
© 2025 by the authors. Licensee MDPI, Basel, Switzerland. This article is an open access article distributed under the terms and conditions of the Creative Commons Attribution (CC BY) license (https://creativecommons.org/licenses/by/4.0/).





