Rapid Deterioration of Convergence in Taylor Expansions of Linearizing Maps of Hénon Maps at Hyperbolic Fixed Points
Abstract
1. Introduction
2. Main Results
2.1. Rapid Deterioration of Convergence in Taylor Expansions
2.2. Discussion: Beyond Taylor Series
3. Proofs of Theorems 2 and 3
4. Proof of Lemma 1
5. Lower Bounds to Absolute Values of Coefficients ’s
5.1. Growth of at Infinity
5.2. Proof of Lemma 2
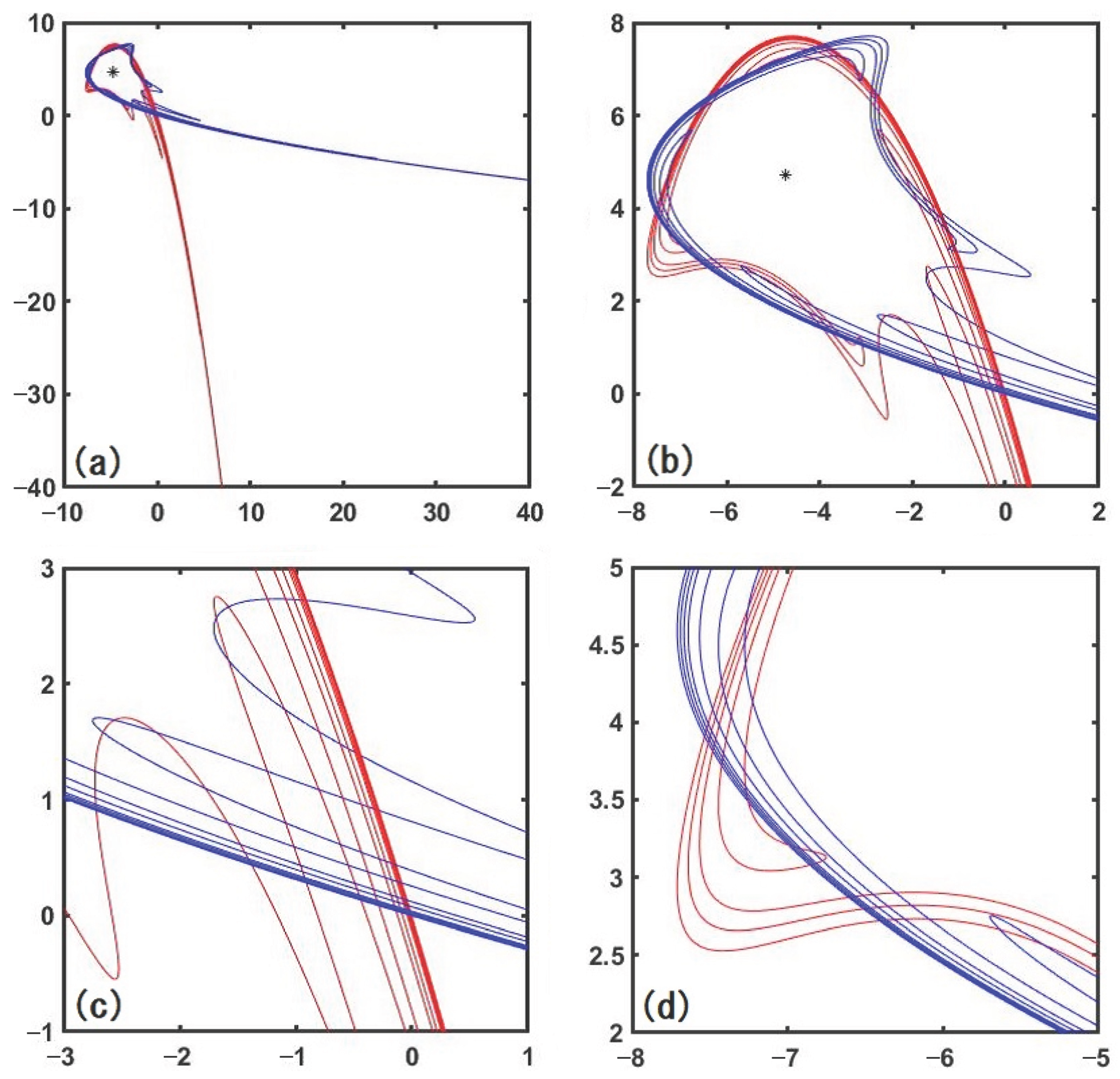
6. Concluding Remarks
Author Contributions
Funding
Data Availability Statement
Acknowledgments
Conflicts of Interest
References
- Hénon, M. A two-dimensional mapping with a strange attractor. Commun. Math. Phys. 1976, 50, 69–77. [Google Scholar] [CrossRef]
- Morosawa, S.; Nishimura, Y.; Taniguchi, M.; Ueda, T. Holomorphic Dynamics; Cambridge Studies in Advanced Mathematics, 66; Cambridge University Press: Cambridge, UK, 2000. [Google Scholar]
- Poincaré, H. Sur une classe nouvelle de transcendantes uniformes. J. Math. 1890, 6, 313–365. [Google Scholar]
- Franceschini, V.; Russo, L. Stable and unstable manifolds of the Hénon mapping. J. Stat. Phys. 1981, 25, 757–769. [Google Scholar] [CrossRef]
- Fornaess, J.E.; Gavosto, E.A. Existence of generic homoclinic tangencies for Hénon mappings. J. Geom. Anal. 1992, 2, 429–444. [Google Scholar] [CrossRef]
- Fornaess, J.E.; Gavosto, E.A. Tangencies for real and complex Hénon maps: An analytic method. Exp. Math. 1999, 8, 253–260. [Google Scholar] [CrossRef]
- Cabré, X.; Fontich, E.; de la Llave, R. The parameterization method for invariant manifolds I. Manifolds associated to non-resonant subspaces. Indiana Univ. Math. J. 2003, 52, 283–328. [Google Scholar] [CrossRef]
- Cabré, X.; Fontich, E.; de la Llave, R. The parameterization method for invariant manifolds II. Regularity with respect to parameters. Indiana Univ. Math. J. 2003, 52, 329–360. [Google Scholar] [CrossRef]
- Cabré, X.; Fontich, E.; de la Llave, R. The parameterization method for invariant manifolds III. Overview and applications. J. Diff. Eqs. 2005, 218, 444–515. [Google Scholar] [CrossRef]
- Anastassiou, S.; Bountis, T.; Bäcker, A. Homoclinic points of 2D and 4D maps via the parametrization method. Nonlinearity 2017, 30, 3799–3820. [Google Scholar] [CrossRef]
- Newhouse, S.; Berz, M.; Grote, J.; Makino, K. On the estimation of topological entropy on surfaces. Geometric and probabilistic structures in dynamics. Contemp. Math. 2008, 469, 243–270. [Google Scholar]
- Ishii, Y. Dynamics of polynomial diffeomorphisms of ℂ2: Combinatorial and topological aspects. Arnold Math J. 2017, 3, 119–173. [Google Scholar] [CrossRef]
- Matsuoka, C.; Hiraide, K. Detecting homoclinic points in nonlinear discrete dynamical systems via resurgent analysis. AppliedMath 2025, 5, 123. [Google Scholar] [CrossRef]
- Belhenniche, A.; Chertovskih, R.; Gonçalves, R. Convergence analysis of reinforcement learning algorithms using generalized weak contraction mappings. Symmetry 2025, 17, 750. [Google Scholar] [CrossRef]
- Tovbis, A. Asymptotics beyond all orders and analytic properties of inverse Laplace transforms of solutions. Commun. Math. Phys. 1994, 163, 245–255. [Google Scholar] [CrossRef]
- Lazutkin, V.F.; Schachmannski, I.G.; Tabanov, M.B. Splitting of separatrices for standard and semistandard mappings. Phys. D 1989, 40, 235–248. [Google Scholar] [CrossRef]
- Gelfreich, V.; Sauzin, D. Borel summation and splitting of separatrices for the Hénon map. Ann. Inst. Fourier 2001, 51, 513–567. [Google Scholar] [CrossRef]
- Hakkim, V.; Mallick, K. Exponentially small splitting of separatrices, matching in the complex plane and Borel summation. Nonlinearity 1993, 6, 57–70. [Google Scholar] [CrossRef]
- Segur, H.; Tanveer, S.; Levine, H. Asymptotics Beyond All Orders; Plenum: New York, NY, USA, 1991. [Google Scholar]
- Écalle, J. Les Fonctions Résurgence; Publications Mathématique d’Orsay: Paris, France, 1981; Volume 1. [Google Scholar]
- Écalle, J. Les Fonctions Résurgence; Publications Mathématique d’Orsay: Paris, France, 1981; Volume 2. [Google Scholar]
- Écalle, J. Les Fonctions Résurgence; Publications Mathématique d’Orsay: Paris, France, 1985; Volume 3. [Google Scholar]
- Sternin, B.Y.; Shatalov, V.E. Borel–Laplace Transform and Asymptotic Theory; CRC Press: Boca Raton, FL, USA, 1996. [Google Scholar]
- Voros, A. The return of quartic oscillator: The complex WKB method. Ann. Inst. H. Poincaré 1983, 39, 211–338. [Google Scholar]
- Matsuoka, C.; Hiraide, K. Special functions created by Borel–Laplace transform of Hénon map. Electron. Res. Ann. Math. Sci. 2011, 18, 1–11. [Google Scholar]
- Matsuoka, C.; Hiraide, K. Entropy estimation of the Hénon attractor. Chaos Solitons Fractals 2012, 45, 805–809. [Google Scholar] [CrossRef]
- Matsuoka, C.; Hiraide, K. Computation of entropy and Lyapunov exponent by a shift transform. Chaos 2015, 25, 103110. [Google Scholar] [CrossRef]
- Levin, B.J. Distribution of Zeros of Entire f Functions; AMS: Providence, RI, USA, 1972. [Google Scholar]
- Markushevich, A.I. Theory of Functions of a Complex Variables; Prentice-Hall, Inc.: Englewood Cliffis, NJ, USA, 1965; Volume 2. [Google Scholar]
- Iwasaki, K. On solutions of the Poincaré equation. Proc. Japan Acad. Ser. A Math. Sci. 1991, 67, 211–214. [Google Scholar] [CrossRef]

Disclaimer/Publisher’s Note: The statements, opinions and data contained in all publications are solely those of the individual author(s) and contributor(s) and not of MDPI and/or the editor(s). MDPI and/or the editor(s) disclaim responsibility for any injury to people or property resulting from any ideas, methods, instructions or products referred to in the content. |
© 2025 by the authors. Licensee MDPI, Basel, Switzerland. This article is an open access article distributed under the terms and conditions of the Creative Commons Attribution (CC BY) license (https://creativecommons.org/licenses/by/4.0/).
Share and Cite
Hiraide, K.; Matsuoka, C. Rapid Deterioration of Convergence in Taylor Expansions of Linearizing Maps of Hénon Maps at Hyperbolic Fixed Points. Mathematics 2025, 13, 3526. https://doi.org/10.3390/math13213526
Hiraide K, Matsuoka C. Rapid Deterioration of Convergence in Taylor Expansions of Linearizing Maps of Hénon Maps at Hyperbolic Fixed Points. Mathematics. 2025; 13(21):3526. https://doi.org/10.3390/math13213526
Chicago/Turabian StyleHiraide, Koichi, and Chihiro Matsuoka. 2025. "Rapid Deterioration of Convergence in Taylor Expansions of Linearizing Maps of Hénon Maps at Hyperbolic Fixed Points" Mathematics 13, no. 21: 3526. https://doi.org/10.3390/math13213526
APA StyleHiraide, K., & Matsuoka, C. (2025). Rapid Deterioration of Convergence in Taylor Expansions of Linearizing Maps of Hénon Maps at Hyperbolic Fixed Points. Mathematics, 13(21), 3526. https://doi.org/10.3390/math13213526
