You are currently viewing a new version of our website. To view the old version click .
Mathematics
  • Article
  • Open Access

25 September 2025

A Dynamics and Control Study of the New H1N1 Influenza with Two Roots of Infection: The Impact of Optimal Vaccination and Treatment

,
,
and
1
Department of Mathematics, K. L. S. College in Nawada, Magadh University, Bodh Gaya 805110, Bihar, India
2
Department of Mathematics, Asansol Girls’ College, Asansol 713304, West Bengal, India
3
Department of Mathematics, Faculty of Science, King Khalid University, Abha 62529, Saudi Arabia
*
Author to whom correspondence should be addressed.
This article belongs to the Section C1: Difference and Differential Equations
  • Editorial Note: Due to an editorial processing error, this article was incorrectly included within the Special Issue Advances in Dynamical Systems, Differential Equations, and Their Applications upon publication. This article was removed from this Special Issue’s webpage on 16 October 2025 but remains within the regular issue in which it was originally published. The editorial office confirms that this article adhered to MDPI's standard editorial process (https://www.mdpi.com/editorial_process).

Abstract

H1N1 influenza, also known as swine flu, is a subtype of the influenza A virus that can infect humans, pigs, and birds. Sensitivity analysis and optimal control studies play a crucial role in understanding the dynamics of H1N1 influenza. In this study, we have derived a mathematical model incorporating both symptomatic and asymptomatic infections, as well as vaccination, to assess the impact of key parameters on disease transmission. Also, we have assumed a density-dependent infection transmission in the modeling process of H1N1 dynamics. We determine the basic reproduction number using the next-generation matrix method and found that the disease-free equilibrium is stable when the basic reproduction number R 0 < 1 and the endemic equilibrium exists and is stable globally when R 0 > 1 . By performing sensitivity analysis, the most influential factors affecting infection spread are identified, aiding in targeted intervention strategies. Optimal control techniques are then applied to determine the best approaches to minimize infections while considering resource constraints. The findings provide valuable insights for public health policies, offering effective strategies for mitigating H1N1 outbreaks and enhancing disease management efforts using optimal vaccination.

1. Introduction

The H1N1 virus exhibits symptoms similar to other influenza strains and belongs to type A, which along with type B primarily infects humans [1]. Types C and D cause mild illness, mainly in animals. Seasonal influenza affects one in six people annually, resulting in 3–5 million severe cases and up to 650,000 respiratory deaths globally [2,3]. H1N1 spreads via respiratory droplets, contact, and contaminated surfaces, with symptoms such as fever, cough, sore throat, and gastrointestinal issues, especially in children [1,4]. The WHO declared the H1N1 pandemic on 11 June 2009, attributing 284,400 deaths to the virus that year [5]. A list of past pandemic sizes is shown in Table 1. The pandemic was declared over in August 2010, though H1N1 remains a seasonal flu strain. Transmission is heightened in crowded settings; preventive measures include hand hygiene and respiratory etiquette [6].
Vaccination is the primary defense; however, producing vaccines takes at least six months, and shortages frequently occur [7]. Non-pharmaceutical interventions—such as school closures, airport screenings, and face mask use—were employed during the 2009 pandemic [8,9]. Face mask adoption was notable during the 2003 SARS outbreak, with 76% usage reported in Hong Kong [10]. The WHO advises vaccination prior to peak influenza periods, beginning in April or October [11]. It coordinates global efforts in vaccine development, distribution, and regulation, holding biannual consultations to recommend strains for seasonal vaccines [12]. Vaccination not only reduces disease burden but also mitigates societal and economic impacts [13,14,15]. Mathematical models assist in evaluating such measures.
Mathematical modeling is a helpful tool for investigating transmission patterns and assessing the outcomes of intervention initiatives. The mathematical models of influenza outbreaks have been studied and evaluated by several academics (since influenza is an airborne disease) [16,17]. Tracht et al. [18] studied the effectiveness of face masks in controlling the spread of the H1N1 influenza virus. Tchuenche et al. [19] studied the public views and reactions to infectious illnesses and the impact of media coverage. A study of H1N1 virus disease dynamics and sensitivity was performed by Krishnapriya et al. [20]. Kanyiri et al. [21] studied a mathematical analysis of influenza transmission and viral control drug resistance. The development of an age-dependent vaccination strategy for the 2009 A/H1N1 influenza epidemic in the Republic of Korea was studied by Kim et al. [22]. Dalal et al. [23] evaluated the process of creating the genosensor and its effectiveness in identifying the H1N1 virus. Ratre et al. [24] studied the role of children in the spread of the influenza pandemic and the importance of immunization in reducing the occurrence of influenza. Baba et al. [25] established a mathematical model that analyzes the coexistence of two influenza strains and examines their method of transmission, as well as treatment options. Alharbi et al. [26] studied the transmission dynamics of influenza strains among pilgrims from different hemispheres and the effectiveness of vaccination in preventing infections. Ackerman et al. [27] investigated mathematical models to identify the differences in immune processes between infections caused by different strains of the virus.
The study [28] examines the impact of contact with symptomatic and asymptomatic individuals on infectious disease spread using the SEIR model. It reveals that relative infectiousness and asymptomatic cases significantly influence disease transmission, which reinforces the importance of isolation measures. Ref. [29] involves studying the spread of swine flu, differentiating between symptomatic and asymptomatic individuals, and applying optimal control strategies to manage the infection effectively. It typically involves mathematical modeling, using differential equations to analyze disease dynamics and control interventions. Another study explores bifurcation analysis, examining stability conditions and control measures like vaccination and treatment [30]. These methods help policymakers design effective interventions to mitigate outbreaks [31]. Recent research [30] explores the bifurcation analysis of influenza A (H1N1) models with treatment and vaccination models, using numerical simulations and mathematical theories. They investigate transcritical, Hopf, and backward bifurcations to understand disease transmission dynamics and the basic reproduction number’s role in disease persistence or death. One study focuses on the mathematical modeling of H1N1 transmission and control, using real-world data from Mexico, Italy, and South Africa to determine critical illness factors and forecast trends [32]. Another research paper introduces a susceptible–exposed–infectious–quarantined–recovered (SEIQR) model, incorporating quarantine as a key intervention and applying optimal control theory to balance epidemiological impact with cost-effectiveness [33]. Ref. [34] examines an influenza model with vaccination and treatment, applying Pontryagin’s maximum principle to identify the best strategies for disease control. Here, we propose an SEIVR (susceptible–exposed–infected–vaccinated–recovered)-type mathematical model for H1N1 dynamics with a view of optimally controlling the infection using vaccination and treatment. The infected population is divided into symptomatic ( I S ) and asymptomatic individuals ( I A ). Also, we assumed that vaccinated humans may lose immunity and become susceptible again.
Sensitivity analysis is a crucial tool in disease modeling, assessing how variations in model parameters affect predictions [35]. It helps identify key factors affecting disease spread and control strategies, improves model accuracy, enhances decision-making, optimizes resource allocation, and supports uncertainty quantification [36]. It is widely used in infectious disease modeling, epidemiology, and biomedical research to refine strategies and minimize risks. Sensitivity analysis is particularly useful for evaluating the impact of different assumptions on disease forecasts, improving preparedness [35]. In the case of the H1N1 dynamics study, sensitivity analysis helps identify which parameters most influence the model outcomes, allowing researchers to refine predictions and optimize control strategies. Studies have used techniques like the partial rank correlation coefficient (PRCC) [37] and Latin hypercube sampling to assess the impact of different variables on disease transmission [33]. One approach involves analyzing the basic reproduction number to determine how changes in parameters affect the spread of the virus. Here, our focus is on achieving a disease-free system. We analyze the sensitivity of model parameters with respect to the basic reproduction number.
In this research, as a result, we derived an epidemiological population model for H1N1 transmission dynamics. To achieve this, we first calculate the disease-free and endemic steady states. By finding the Jacobian matrix, we studied the stability of the equilibrium points in terms of the basic reproduction number of the system under consideration. Finally, we applied the optimal control theory and formulated an optimal control problem. The optimal control problem is solved using the Hamiltonian function and numerically solved using bvp4c solver in Matlab version R2016a. We determined the optimal vaccination and self-monitoring activities to minimize the disease.
The structure of the article is as follows: we develop the mathematical model in Section 2. Section 3 contains an analysis of fundamental qualities such as non-negativity, boundedness, etc. In Section 4, equilibrium and stability analysis are covered. The optimum control issue is presented in Section 5. We present the numerical simulations in Section 7. Finally, the discussion in Section 8 brings the article to an end.
Table 1. List of recent influenza pandemics throughout the past century [21,38,39].
Table 1. List of recent influenza pandemics throughout the past century [21,38,39].
PandemicYearStrainNo. of Deaths
Spanish flu1918–1920H1N140–100 million
Asian flu1957–1958H2N21–2 million
Hong Kong flu1968–1970H3N20.5–2 million
Swine flu2009–2010H1N1Up to 575,000

2. Derivation of the Mathematical Model

The assumptions of the mathematical model are discussed here to derive the mathematical model. To capture the transmission dynamics of the influenza virus, the total human population at any time t, denoted by N ( t ) , is stratified into six epidemiological compartments, each representing a distinct health status or disease progression phase:
(i)
Susceptible population ( S ( t ) ): Individuals who have not yet contracted the virus and are at risk of infection through contact with infectious persons.
(ii)
Exposed population ( E ( t ) ): Individuals who have been exposed to the virus and are in the incubation period. Although they do not show symptoms, they remain capable of transmitting the virus, thus contributing to its spread in the population.
(iii)
Symptomatic infected population ( I S ( t ) ): Individuals who have developed clinical symptoms of influenza and are actively contagious. This group represents the primary source of detectable and severe transmission cases.
(iv)
Asymptomatic infected population ( I A ( t ) ): Individuals who are infected but do not exhibit clinical symptoms. Despite their asymptomatic status, they play a critical role in the silent transmission of the virus.
(v)
Recovered population ( R ( t ) ): Individuals who have overcome the infection and have acquired immunity. They no longer participate in the transmission chain.
(vi)
Vaccinated population ( V ( t ) ): Individuals who have received a vaccine and possess varying levels of protection depending on vaccine efficacy.
It is important to note that the exposed ( E ( t ) ), symptomatic infected ( I S ( t ) ), and asymptomatic infected ( I A ( t ) ) compartments collectively represent the infected individuals, differentiated based on the presence or absence of clinical symptoms and the stage of infection. This stratification allows for a more nuanced depiction of viral transmission, particularly in accounting for asymptomatic carriers and pre-symptomatic transmission—a key challenge in managing influenza outbreaks.
To describe the progression and spread of influenza within the stratified population and to incorporate the influence of media-driven public health interventions, we introduce a deterministic system of nonlinear ordinary differential equations. This system models the time-dependent interactions among the compartments under the influence of media awareness, which can alter behavioral patterns such as adherence to preventive measures, the rate of vaccination, or a reduction in contact frequency with infected individuals. We proposed the following model:
d S d t = λ β S ( I S + I A ) N ( μ + a ) S + θ V , d E d t = β S ( I S + I A ) N ( κ + μ ) E , d I S d t = ρ κ E + b I A ( σ 2 + μ ) I S , d I A d t = ( 1 ρ ) κ E ( b + σ 1 + μ ) I A , d V d t = a S ( θ + δ + μ ) V , d R d t = δ V + σ 1 I A + σ 2 I S μ R ,
with the initial values
S ( 0 ) > 0 , I S ( 0 ) > 0 , I A ( 0 ) > 0 , V ( 0 ) > 0 , R ( 0 ) > 0 .
In the formulation of the epidemiological model described by Equation (1) and schematic diagram in Figure 1, each parameter carries specific biological significance. These parameters, which collectively define the dynamics of population transitions under viral infection and vaccination strategies, are elucidated as follows:
Figure 1. Diagrammatic representation of the model (1).
  • λ denotes the constant production rate of viral agents within the infected host population. This parameter captures the continual generation of infectious particles that contribute to disease propagation.
  • β represents the infection transmission rate, quantifying the probability of successful disease spread upon contact between susceptible and infectious individuals.
  • The natural death rate of individuals within the model is denoted by μ , encompassing mortality unrelated to the disease or vaccination process.
  • The parameter a characterizes the rate of vaccination administration across the population, effectively indicating the proportion of susceptible individuals receiving immunization over time.
  • Vaccination efficacy is described by θ , which is assumed to be low; this reflects the limited protective effect conferred by the vaccine, potentially due to weak immune response or pathogen resistance.
  • The rate of progression from the exposed class to the infectious class is captured by κ , indicating the transition speed from latent infection to active disease.
  • ρ corresponds to the proportion of the population subject to disease transmission and progression, influencing the overall dynamics of the epidemic spread.
  • The parameters σ 1 and σ 2 represent distinct recovery rates from infection, potentially differentiating recovery outcomes based on treatment status or disease severity.
  • The recovery rate of vaccinated individuals who may still undergo infection is denoted by δ , incorporating post-vaccination outcomes within the model framework.
  • b is the rate at which an asymptomatic infected human joins the symptomatic infected population.
The numerical values and descriptions of these parameters are comprehensively listed in Table 2, which supports the analytical and simulation aspects of the model.
Table 2. List of parameters of model (1) with short description and values [18,25,40].

3. Preliminary Knowledge

It is not hard to show that the solutions exist for the system (1) and it is unique for the initial condition (2) [41]. We show that the solutions are non-negative for the positive initial values as in (2).
For the purpose of analyzing the behavior of the influenza virus model (1), we present the characteristics below. We have the following theorem on the non-negativity of solutions:

3.1. Positive Invariance

Theorem 1.
Given the initial conditions in (2), all solutions to system (1) for all t > 0 are non-negative.
Proof. 
Let
T 1 = sup { t > 0 : S ( t ) > 0 , E ( t ) > 0 , I S ( t ) > 0 , I A ( t ) > 0 , V ( t ) > 0 , R ( t ) > 0 } .
Using the initial condition (2), we have T 1 0 . For T 1 < , one of S , E , I S , I A , V , and R is equal to zero at T 1 .
Now, from the first equation of (1), we can write
d S d t = λ β S ( I S + I A ) N ( μ + a ) S + θ V ,
that is,
d S d t + β ( I S + I A ) N + ( μ + a ) S = ( λ + θ V )
Thus,
d d t S ( t ) exp 0 t β ( I S + I A ) N + ( μ + a ) d u = ( λ + θ V ) exp 0 t β ( I S + I A ) N + ( μ + a ) d u .
Hence,
S ( T 1 ) exp 0 t β ( I S + I A ) N + ( μ + a ) d u = S ( 0 ) + 0 t ( λ + θ V ) exp 0 t β ( I S + I A ) N + ( μ + a ) d u d z .
So that
S ( T 1 ) = S ( 0 ) exp 0 t β ( I S + I A ) N + ( μ + a ) d u + exp 0 t β ( I S + I A ) N + ( μ + a ) d u × 0 t ( λ + θ V ) e x p β ( I S + I A ) N + ( μ + a ) d u d z > 0 .
Again, from system (1), we get
d E d t = β S ( I S + I A ) N ( κ + μ ) E ,
that is,
d E d t + ( κ + μ ) E = β S ( I S + I A ) N
Thus,
d d t E ( t ) exp 0 t ( κ + μ ) d u = β S ( I S + I A ) N exp 0 t ( κ + μ ) d u .
Hence,
E ( T 1 ) exp 0 t ( κ + μ ) d u E ( 0 ) = 0 t β S ( I S + I A ) N exp 0 t ( κ + μ ) d u d z .
So that
E ( T 1 ) = E ( 0 ) exp 0 t ( κ + μ ) d u + exp 0 t ( κ + μ ) d u × 0 t β S ( I S + I A ) N exp 0 t ( κ + μ ) d u d z > 0 .
Similarly, from (1), we get
I S ( T 1 ) = I S ( 0 ) exp [ 0 t ( σ 2 + μ ) d u ] + exp [ 0 t ( σ 2 + μ ) d u ] × 0 t { ( ρ κ E + b I A ) exp [ 0 t ( σ 2 + μ ) d u ] } d z > 0 ,
I A ( T 1 ) = I A ( 0 ) exp 0 t ( b + σ 1 + μ ) d u + exp 0 t ( b + σ 1 + μ ) d u × 0 t ( 1 ρ ) κ E exp ( b + σ 1 + μ ) d u d z > 0 ,
V ( T 1 ) = V ( 0 ) exp 0 t ( θ + δ + μ ) d u + exp [ 0 t ( θ + δ + μ ) d u ] × 0 t a S exp 0 t ( θ + δ + μ ) d u d z > 0 ,
and
R ( T 1 ) = R ( 0 ) exp 0 t ( μ R ) d u × 0 t ( δ V + σ 1 I A + σ 2 I S ) exp 0 t ( μ R ) d u d z > 0 .
Using the same procedure as above, we can show that for all t > 0 , S ( t ) > 0 , E ( t ) > 0 , I S ( t ) > 0 , I A ( t ) > 0 , V ( t ) > 0 and R ( t ) > 0 . Thus, we conclude that all trajectories of system (1) remain non-negative in R + 6 for any all t > 0 . Hence, the proof is completed. □

3.2. Boundedness

We now begin with the theorem that guarantees that the solutions of the system (1) are constrained to have non-negative beginning values.
Theorem 2.
All solutions of system (1) are bounded in the region Ψ, defined by
Ψ = ( S , E , I S , I A , V , R ) R 5 : 0 S + E + I S + I A + V + R λ μ .
Proof. 
Here, N = S + E + I S + I A + V + R . Thus, using system (1), we can write
d N d t = d S d t + d E d t + d I S d t + d I A d t + d V d t + d R d t λ μ N .
This gives d N d t + μ N λ .
We use the theory of functional differential equation, N ( t ) λ μ ( 1 e μ t ) + N 0 e μ t .
Thus, we have
lim sup t 0 N ( t ) = λ μ .
That means Ψ is an invariant set for system (1) and each solution that starts in Ψ always remains in Ψ . □

4. Basic Reproduction Number, Equilibria, and Stability Analysis

This section contains the derivation of the basic reproduction number, the existence of steady states, and their stability analysis.

4.1. The Basic Reproduction Number

To calculate R 0 , we use the next-generation method [42]. We consider two vectors F and G defined for system (1).
F = β S ( I S + I A ) N 0 0 , G = ( κ + μ ) E ρ κ E b I A + ( μ + σ 2 ) I S ( 1 ρ ) κ E + ( b + σ 1 + μ ) I A .
Next, we ensure that the entry-wise non-negative new infection matrix is F, and G is the non-singular Metzler matrix [43] that defines the transitions of influenza infection between the infection compartments and the matrices, which are given as follows:
F = 0 β S N β S N 0 0 0 0 0 0 , G = ( κ + μ ) 0 0 ρ κ ( μ + σ 2 ) b ( ρ 1 ) κ 0 ( b + σ 1 + μ ) ,
G 1 = 1 ( κ + μ ) 0 0 κ ( ρ σ 1 + μ ρ + b ) ( κ + μ ) ( μ + σ 2 ) ( b + σ 1 + μ ) 1 ( μ + σ 2 ) b ( μ + σ 2 ) ( b + σ 1 + μ ) ( 1 ρ ) κ ( κ + μ ) ( b + σ 1 + μ ) 0 1 ( b + σ 1 + μ ) .
Therefore, we have
F G 1 = 0 β S N β S N 0 0 0 0 0 0 × 1 ( κ + μ ) 0 0 κ ( ρ σ 1 + μ ρ + b ) ( κ + μ ) ( μ + σ 2 ) ( b + σ 1 + μ ) 1 ( μ + σ 2 ) b ( μ + σ 2 ) ( b + σ 1 + μ ) ( 1 ρ ) κ ( κ + μ ) ( b + σ 1 + μ ) 0 1 ( b + σ 1 + μ ) , = β S 0 κ [ ( b + μ + σ 2 ) + ρ ( σ 1 σ 2 ) ] N ( κ + μ ) ( μ + σ 2 ) ( b + σ 1 + μ ) β S 0 N ( μ + σ 2 ) β S 0 ( b + σ 2 + μ ) N ( μ + σ 2 ) ( b + σ 1 + μ ) 0 0 0 0 0 0 .
With the help of the next-generation matrix, we have R 0 , the largest eigenvalue of F G 1 at E 0 ( S 0 , 0 , 0 , 0 , V 0 , R 0 )
R 0 = β S 0 κ [ b + μ + ρ σ 1 + σ 2 1 ρ ] N 0 ( κ + μ ) ( μ + σ 2 ) ( b + σ 1 + μ ) ,
where S 0 = λ ( θ + δ + μ ) ( μ + a ) ( ( θ + δ + μ ) a θ ) and N 0 = λ ( θ + δ + μ ) + λ a + a δ λ ( μ + a ) ( ( θ + δ + μ ) a θ ) . Clearly, R 0 > 0 .
Theorem 3.
Model (1) has a basic reproduction number given in (6) at E 0 . For R 0 > 1 , system (1) switches to an endemic state.

4.2. Equilibrium Points

There are two equilibria of the system:
(i).
The infection-free equilibrium is
E 0 λ ( θ + δ + μ ) ( μ + a ) ( ( θ + δ + μ ) a θ ) , 0 , 0 , 0 , λ a ( μ + a ) ( ( θ + δ + μ ) a θ ) , a δ λ μ ( ( θ + δ + μ ) a θ ) .
The disease-free equilibrium E 0 is always feasible, as θ + δ + μ > a θ always holds.
(ii).
The endemic equilibrium is E 1 ( S * , E * , I S * , I A * , V * , R * ) , where
S * = ( κ + μ ) ( σ 2 + μ ) ( b + μ + σ 1 ) N [ ( b + σ 2 ) + μ ( 1 + σ ) + ρ ( σ 1 σ 2 μ ) ] β κ , I S * = ( b + ρ σ 1 + ρ μ ) κ E * ( σ 2 + μ ) ( b + μ + σ 1 ) , I A * = ( 1 ρ ) κ E * ( b + μ + σ 1 ) , V * = ( κ + μ ) ( σ 2 + μ ) ( b + μ + σ 1 ) N a ( θ + δ + μ ) [ ( b + σ 2 ) + μ ( 1 + σ ) + ρ ( σ 1 σ 2 μ ) ] β κ , R * = [ ( κ + μ ) ( μ + σ 2 ) 2 ( b + μ + σ 1 ) 2 δ N a ] + [ ( 1 ρ ) ( σ 2 + μ ) ( b + μ + σ 2 + ρ σ 1 ρ σ 2 ) β σ 1 κ E * ] ( b + μ + σ 2 + ρ σ 1 ρ σ 2 ) ( b + σ 1 + μ ) ( σ 2 + μ ) β + [ b + ρ σ 1 + ρ μ ) ( b + μ + σ 2 + ρ σ 1 ρ σ 2 ) β ] κ σ 2 E * ( b + μ + σ 2 + ρ σ 1 ρ σ 2 ) ( b + σ 1 + μ ) ( σ 2 + μ ) β ,
and E * is the positive root of the following equation:
λ N β S * ( I S * + I A * ) ( μ + a ) S * N + θ V * N = 0 .
Remark 1.
The calculation of determining E * from (7) is completed. Thus, we determine the positive value of E * using numerical calculations. Detailed numerical simulations show that the endemic equilibrium E 1 exists when the basic reproduction number R 0 > 1 .

4.3. Local Stability

Theorem 4.
The system is stable at E 0 when R 0 < 1 and unstable when R 0 > 1 .
Proof. 
At E 0 , we have
J E 0 = [ a i j ] = ( μ + θ ) 0 β S 0 N β S 0 N θ 0 0 ( κ + μ ) β S 0 N β S 0 N 0 0 0 ρ κ ( μ + σ 2 ) b 0 0 0 ( 1 ρ ) κ 0 ( b + σ 1 + μ ) 0 0 a 0 0 0 ( θ + δ + μ ) 0 0 0 σ 1 σ 2 δ μ .
Here the eigenvalues are ξ = μ and the other five eigenvalues are calculated from
( μ + θ ) ξ 0 β S 0 N β S 0 N θ 0 ( κ + μ ) ξ β S 0 N β S 0 N 0 0 ρ κ ( μ + σ 2 ) ξ b 0 0 ( 1 ρ ) κ 0 ( b + σ 1 + μ ) ξ 0 a 0 0 0 ( θ + δ + μ ) ξ = 0 ,
and the characteristic equation at E 0 is
x 2 + B 1 x + B 2 × x 3 + B 3 x 2 + B 4 x + B 5 = 0 ,
where
B 1 = a 11 a 55 , B 2 = a 11 a 55 a 15 a 51 , B 3 = a 22 a 33 a 44 , B 4 = a 23 a 32 + a 22 a 33 a 24 a 42 + a 22 a 44 + a 33 a 44 , B 5 = a 24 a 33 a 42 a 23 a 34 a 42 + a 23 a 32 a 44 a 22 a 33 a 44 ,
and
a 22 = ( κ + μ ) , a 33 = ( μ + σ 2 ) , a 44 = ( b + σ 1 + μ ) , a 24 = a 23 = β S 0 N 0 , a 42 = ( 1 ρ ) κ , a 32 = ρ κ , a 34 = b , a 51 = a , a 55 = ( θ + δ + μ ) .
If B i > 0 , i = 1 , 2 , . . . , 5 , then all the roots must be negative. For B 2 > 0 , we obtain the threshold condition for the stability of E 0 . We get the stability condition as β S 0 κ [ b + μ + ρ σ 1 + σ 2 1 ρ ] N 0 ( κ + μ ) ( μ + σ 2 ) ( b + σ 1 + μ ) < 0 , which implies that R 0 < 1 , resulting in the removal of infection. □

4.4. Local Equilibrium Stability of the Endemic System

At E * , we have the charismatic equation
| J E * ξ | = Y 11 ξ 0 Y 13 Y 14 Y 15 Y 21 Y 22 ξ Y 23 Y 24 0 0 Y 32 Y 33 ξ Y 34 0 0 Y 42 0 Y 44 ξ 0 Y 51 0 0 0 Y 55 ξ ,
where,
Y 11 = β ( I S + I A ) N ( μ + θ ) , Y 13 = β S ( N ) , Y 14 = β S ( N ) , Y 15 = θ , Y 21 = β ( I S + I A ) N , Y 22 = ( κ + μ ) , Y 23 = β S N , Y 24 = β S N , Y 32 = ρ κ , Y 33 = ( μ + σ 2 ) , Y 34 = b , Y 42 = ( 1 ρ ) κ , Y 44 = ( b + σ 1 + μ ) , Y 51 = a , Y 55 = ( θ + δ + μ ) .
At E 1 , the characteristic equation is
ξ 5 + Φ 1 ξ 4 + Φ 2 ξ 3 + Φ 3 ξ 2 + Φ 4 ξ + Φ 5 ξ = 0 ,
where
Φ 1 = ( Y 11 + Y 22 + Y 33 + Y 44 + Y 55 ) , Φ 2 = Y 23 Y 32 + Y 22 Y 33 Y 24 Y 42 + Y 22 Y 44 + Y 33 Y 44 Y 15 Y 51 + Y 22 Y 55 + Y 33 Y 55 + Y 44 Y 55 + Y 11 ( Y 22 + Y 33 + Y 44 + Y 55 ) , Φ 3 = Y 11 ( Y 13 Y 32 Y 23 Y 32 + Y 22 Y 33 + Y 14 Y 42 Y 24 Y 42 + Y 22 Y 44 + Y 33 Y 44 + Y 22 Y 55 + Y 33 Y 55 + Y 44 Y 55 ) ( Y 23 Y 34 Y 42 Y 23 Y 32 Y 44 ( Y 23 Y 34 Y 42 Y 23 Y 32 Y 44 + Y 22 Y 33 Y 44 Y 15 Y 22 Y 51 Y 15 Y 33 Y 51 Y 15 Y 44 Y 51 Y 23 Y 32 Y 55 + Y 22 Y 33 Y 55 + Y 22 Y 44 Y 55 + Y 33 Y 44 Y 55 Y 24 Y 42 ( Y 33 + Y 55 ) ) , Φ 4 = Y 15 ( Y 23 Y 32 + Y 24 Y 42 Y 33 Y 44 Y 22 ( Y 33 + Y 44 ) ) Y 51 + ( Y 24 Y 33 Y 42 + Y 23 Y 34 Y 42 Y 23 Y 32 Y 44 + Y 22 Y 33 Y 44 ) Y 55 + Y 11 ( Y 13 Y 34 Y 42 + Y 23 Y 34 Y 42 + Y 13 Y 32 Y 44 Y 23 Y 32 Y 44 + Y 22 Y 33 Y 44 + Y 13 Y 32 Y 55 Y 23 Y 32 Y 55 + Y 22 Y 33 Y 55 + Y 22 Y 44 Y 55 + Y 33 Y 44 Y 55 + Y 14 Y 42 ( Y 33 + Y 55 ) Y 24 Y 42 ( Y 33 + Y 55 ) ) , Φ 5 = Y 51 Y 15 ( Y 24 Y 33 Y 42 Y 23 Y 34 Y 42 + Y 23 Y 32 Y 44 Y 22 Y 33 Y 44 ) Y 11 ( Y 14 Y 33 Y 42 Y 24 Y 33 Y 42 Y 13 Y 34 Y 42 + Y 23 Y 34 Y 42 + Y 13 Y 32 Y 44 Y 23 Y 32 Y 44 + Y 22 Y 33 Y 44 ) Y 55 .
According to Routh–Hurwitz conditions, the characteristic Equation (10) has roots with negative real parts if the conditions
i . Φ 5 > 0 , Φ 1 Φ 2 Φ 3 > 0 , i i . Φ 3 ( Φ 1 Φ 2 Φ 3 ) Φ 1 ( Φ 1 Φ 4 Φ 5 ) > 0 , i i i . Φ 4 Φ 3 ( Φ 1 Φ 2 Φ 3 ) Φ 1 ( Φ 1 Φ 4 Φ 5 ) Φ 5 Φ 2 ( Φ 1 Φ 2 Φ 3 ) ( Φ 1 Φ 4 Φ 5 ) > 0 ,
are satisfied.

5. Optimal Control Problem Formulation

In this section, we have considered two controls, namely the awareness through governance and self-learning and vaccination to control the disease. Here, our main focus is to minimize the number of infected and exposed people. For this purpose, we have introduced the following control strategies ( u v , u i ) :
  • The control function u v ( t ) represents the role of vaccination.
  • The control u i ( t ) plays the role in controlling the infected class.
Thus, our state system of the optimal control problem becomes
d S d t = λ β S ( I S + I A ) N ( μ + u v a ) S + θ V , d E d t = β S ( I S + I A ) N ( u i κ + μ ) E , d I S d t = u i ρ κ E + b I A ( σ 2 + μ ) I S , d I A d t = u i ( 1 ρ ) κ E ( b + σ 1 + μ ) I A , d V d t = u v a S ( θ + δ + μ ) V , d R d t = δ V + σ 1 I A + σ 2 I S μ R .
We propose the objective functional as
J ( u v , u i ) = 0 T [ P 1 E + P 2 I S + P 3 I A + Q 1 u v 2 + Q 2 u i 2 ] d t .
In the objective function, 0 T P 1 E d t represents the cost induced by the exposed class, 0 T P 2 I S d t represents the cost induced by the infected class, 0 T P 3 I A d t is the cost induced by any phase of the infected class, 0 T Q 1 u v 2 d t is the cost induced by the optimal stage, and 0 T Q 2 u i 2 d t is the cost at the stage.
Here the optimal controls are u v * , u i * U , where
J ( u v * , u i * ) = m i n J ( u v , u i ) ,
and U = { ( u v , u i ) | u v , u i are Lebesgue measurable on [ 0 , T ] with 0 u v 1 , 0 u i 1 }.

5.1. Existence of an Optimal Control

We will determine the existence of the optimal control model (11).
Theorem 5.
U = ( u v , u i ) and M = ( S , E , I S , I A , V , R ) exist for the state initial value problem (11), and the functional (12) attains its minimum J ( u v , u i ) over U .
Proof. 
To verify the existence condition, we use the study of Fleming–Rishel’s theorem under certain conditions:
i.
Systems (11) and (12) with the control fraction V admit at least one non-empty solution set.
ii.
The state system should be a linear function dependent on time and time state variables.
iii.
The integral J in (12) is convex on U and α > 1 , and there exist positive constants χ , c 1 , and c 2 such that
J ( t , M , u ) c 1 | u v , u i | χ c 2 .
For every admissible control U , there is a unique solution satisfying the Lipsehiiz condition. Also, we know that the total population is bounded, and it belongs to δ μ . Also, all the state variables are bounded. Thus, we have a partial derivation of the state system (11) with respect to the state variable system bondedness, which satisfies condition ( i ) . We can also verify condition ( i i ) by checking the linear dependence of the state equation and control ( u v , u i ) for verification of the function condition (iii). We note that linear and quarantine functions are convex [44]. To prove the bondedness on J, we have Q 1 u v 2 Q 1 , Q 2 u i 2 Q 2 , 0 u v 1 , and 0 u i 1 . As such,
J ( t , M , u ) = P 1 E + P 2 I S + P 3 I A + Q 1 u v 2 + Q 2 u i 2 ( Q 1 u v 2 + Q 2 u 1 2 u 1 2 ) ,
from (13), we get
J ( t , M , u ) m i n ( Q 1 , Q 2 ) ( u v 2 + u i 2 ) u i = m i n ( Q 1 Q 2 ) | | u v , u i | | 2 u i .
Thus,
J ( t , M , u ) c 1 | | ( u v , u i ) | | χ c 2 ,
where c 1 = m i n ( u v , u i ) , c 2 = u i , and χ = 2 . □

5.2. Characterization of the Optimal Control Pair

Let u * ( t ) represent the amount of medicine as the control input. The essential criteria for an optimum control and related states to meet Pontryagin’s maximum principle are represented by the cost function (12) for system (11). We employ Pontryagin’s maximal principle [45] to choose the best controls for u v * ( t ) and u i * ( t ) . By using this technique, we create the Hamiltonian function L with regard to ( u v ( t ) , u i ( t ) ) , which transforms system (11) along with (12).
According to the control system provided by (11), we determine the optimal control pair for the optimality of the system. To define the Hamiltonian ( H ) associated with the optimal control problem, the Lagrangian ( L ) as generated below is also included:
L ( u v , u i ) = P 1 E + P 2 I S + P 3 I A + Q 1 u v 2 + Q 2 u i 2 .
The Hamiltonian is built by combining the state variables and adjoint variables as follows:
H = L ( u v , u i ) + ξ 1 λ β S ( I S + I A ) N ( μ + u v a ) S + θ V + ξ 2 β S ( I S + I A ) N ( u i κ + μ ) E + ξ 3 u i ρ κ E + b I A ( σ 2 + μ ) I S + ξ 4 u i ( 1 ρ ) κ E ( b + σ 1 + μ ) I A + ξ 5 u v a S ( θ + δ + μ ) V + ξ 6 δ V + σ 1 I A + σ 2 I S μ R .
Here, ξ i , i = 1 , 2 , 3 , 4 , 5 , 6 are adjoint variables. According to the maximum principle, we have
H S = ξ 1 β ( I S + I A ) N + ( μ + u v a ) + ξ 2 β ( I S + I A ) N + ξ 5 u v a , H E = P 1 ξ 2 ( u i κ + μ ) + ξ 3 u i ρ κ + ξ 4 u i κ ( 1 ρ ) , H I S = P 2 ξ 1 β S N + ξ 2 β S N ξ 3 ( σ 2 + μ ) + ξ 6 σ 2 , H I A = P 3 ξ 1 β S N + ξ 2 β S N + ξ 3 b ξ 4 b + σ 1 + μ + ξ 6 σ 1 , H V = ξ 1 θ ξ 5 ( θ + δ + μ ) + ξ 6 δ , H R = ξ 6 μ , H u v = 2 Q 1 u v a S ( ξ 1 ξ 5 ) , H u i = 2 Q 2 u i ξ 2 κ E + ξ 3 ρ κ E + ξ 4 κ E ( 1 ρ ) .
The adjoint system to be estimated for the control input ( u v ( t ) , u i ( t ) ) associated with the model state variables S , E , I S , I A , V , and R is represented as ( u v ( t ) , u i ( t ) ) for the control input, along with S , E , I S , I A , V , R , which is represented as
d ξ 1 d t = ξ 1 β ( I S + I A ) N + ( μ + u v a ) + ξ 2 β ( I S + I A ) N + ξ 5 u v a , d ξ 2 d t = P 1 ξ 2 ( u i κ + μ ) + ξ 3 u i ρ κ + ξ 4 κ u i ( 1 ρ ) , d ξ 3 d t = P 2 ξ 1 β S N + ξ 2 β S N ξ 3 ( σ 2 + μ ) + ξ 6 σ 2 , d ξ 4 d t = P 3 ξ 1 β S N + ξ 2 β S N + ξ 3 b ξ 4 b + σ 1 + μ + ξ 6 σ 1 , d ξ 5 d t = ξ 1 θ ξ 5 ( θ + δ + μ ) + ξ 6 δ , d ξ 6 d t = ξ 6 μ .
Here, the transversality conditions are ξ i ( T ) = 0 , i = 1 , 2 , . . . 6 . Pontryagin’s maximum principle [45] has allowed us to ascertain
H u * ( t ) = 0 .
Then,
H u v = 2 Q 1 u v a S ( ξ 1 ξ 5 ) , H u i = 2 Q 2 u i ξ 2 κ E + ξ 3 ρ κ E + ξ 4 κ E ( 1 ρ ) .
Solving (20) for u v * ( t ) and u i * ( t ) ,
u v * ( t ) = a S ( ξ 1 ξ 5 ) 2 Q 1 , u i * ( t ) = κ E [ ξ 2 ξ 3 ρ ξ 4 ( 1 ρ ) ] 2 Q 2 .
The standard form is
u v * ( t ) = 0 , a S ( ξ 1 ξ 5 ) 2 Q 1 < 0 , a S ( ξ 1 ξ 5 ) 2 Q 1 , 0 < a S ( ξ 1 ξ 5 ) 2 Q 1 < 1 , 1 , a S ( ξ 1 ξ 5 ) 2 Q 1 > 1 ,
u i * ( t ) = 0 , κ E [ ξ 2 ξ 3 ρ ξ 4 ( 1 ρ ) ] 2 Q 2 < 0 , κ E [ ξ 2 ξ 3 ρ ξ 4 ( 1 ρ ) ] 2 Q 2 , 0 < κ E [ ξ 2 ξ 3 ρ ξ 4 ( 1 ρ ) ] 2 Q 2 < 1 , 1 , κ E [ ξ 2 ξ 3 ρ ξ 4 ( 1 ρ ) ] 2 Q 2 > 1 .
Thus, we can write u v * ( t ) as
u v * ( t ) = m a x m i n 1 , a S ( ξ 1 ξ 5 ) 2 Q 1 , 0 .
u i * ( t ) = m a x m i n 1 , κ E [ ξ 2 ξ 3 ρ ξ 4 ( 1 ρ ) ] 2 Q 2 , 0 .
Thus, the optimal system becomes
d S d t = λ β S ( I S + I A ) N ( μ + u v a ) S + θ V , d E d t = β S ( I S + I A ) N ( u i κ + μ ) E , d I S d t = u i ρ κ E + b I A ( σ 2 + μ ) I S , d I A d t = u i ( 1 ρ ) κ E ( b + σ 1 + μ ) I A , d V d t = u v a S ( θ + δ + μ ) V , d R d t = δ V + σ 1 I A + σ 2 I S μ R , d ξ 1 d t = ξ 1 β ( I S + I A ) N + ( μ + u v a ) + ξ 2 β ( I S + I A ) N + ξ 5 u v a , d ξ 2 d t = P 1 ξ 2 ( u i κ + μ ) + ξ 3 u i ρ κ + ξ 4 u i κ ( 1 ρ ) , d ξ 3 d t = P 2 ξ 1 β S N + ξ 2 β S N ξ 3 ( σ 2 + μ ) + ξ 6 σ 2 , d ξ 4 d t = P 3 ξ 1 β S N + ξ 2 β S N + ξ 3 b ξ 4 b + σ 1 + μ + ξ 6 σ 1 , d ξ 5 d t = ξ 1 θ ξ 5 ( θ + δ + μ ) + ξ 6 δ , d ξ 6 d t = ξ 6 μ ,
along with the transversality conditions ξ i ( T ) = 0 , i = 1 , 2 , . . . , 6 .

6. Parameter Sensitivity Analysis

Sensitivity and identifiability studies were conducted by computing the derivative of the clinical score Ω = [ S , E , I S , I A , V , R ] T with respect to the vector parameter at each data point. The sensitivities are dimensionless because of their scaling with respect to the values of the variables and parameters. The following is a representation of system (1) sensitivity functions with respect to any parameter p:
Ω i , ω = Ω i ( t ) ω , i = 1 , 2 , . . . 6
Due to these sensitivities, the least important parameter for model output may be found and changed without being used for calibration. The sensitivity functions of DDEs can be found using a variety of techniques [20,46]. However, to determine the sensitivity functions of system (1), we shall employ the so-called direct technique because of its simplicity.

7. Numerical Simulations

In this section, we analyze our model’s behavior and the optimal system dynamics graphically using Matlab version R2016a simulations. All the parameters are taken from Table 2, and some parameters are varied to study their impacts on the system dynamics.
As analyzed in Section 6, we plot the sensitivity of model parameters in Figure 2a,b and also in Table 3. All parameters are sensitive to the study of the H1N1 dynamics. Some parameters, namely λ , β , κ , etc., are positively sensitive, and some parameters are negatively sensitive. Negatively sensitive parameters can reduce the value of R 0 ; thus, these parameters can minimize the infection.
Figure 2. Sensitivity of the model parameters with respect to R 0 .
Table 3. Sensitivity indices of the parameters.
Figure 3a–f show that when R 0 < 1 , the system attains its disease-free state. Also, when R 0 > 1 , the system moves to a stable endemic steady state. Figure 4a–c shows the forward bifurcation at the basic reproduction R 0 . We varied the infection rate β , and it is observed that when R 0 < 1 , the system becomes disease-free, and it shows its stability around E 0 . It switches to an endemic state when R 0 > 1 and the system attains stability around E * .
Figure 3. (af) Simulation of model variables when R 0 < 1 (red lines) and parameter values are taken from Table 2.
Figure 4. (ac) Forward bifurcation plot showing the steady stable values of exposed symptomatic infected population and asymptomatic infected population with respect to R 0 . Except parameter β , the parameter values are kept same as in Table 2.
Figure 5 shows the stability region for the disease-free state and endemic state with respect to parameters β and κ . From this figure, we reveal that with the increasing values of β and κ , the system switches its stability from E 0 to E * , that is, from a disease-free state to an endemic state. Nonlinear stability of the endemic system is shown in Figure 6. All phase trajectories converge to the same endemic steady state E * , showing the global stability of E * .
Figure 5. Region of stability of disease-free equilibrium in (a) a β and (b) a κ parameter planes. Color code denotes the value of R 0 .
Figure 6. Nonlinear stability: phase trajectories are plotted when R 0 > 1 for three different initial values.
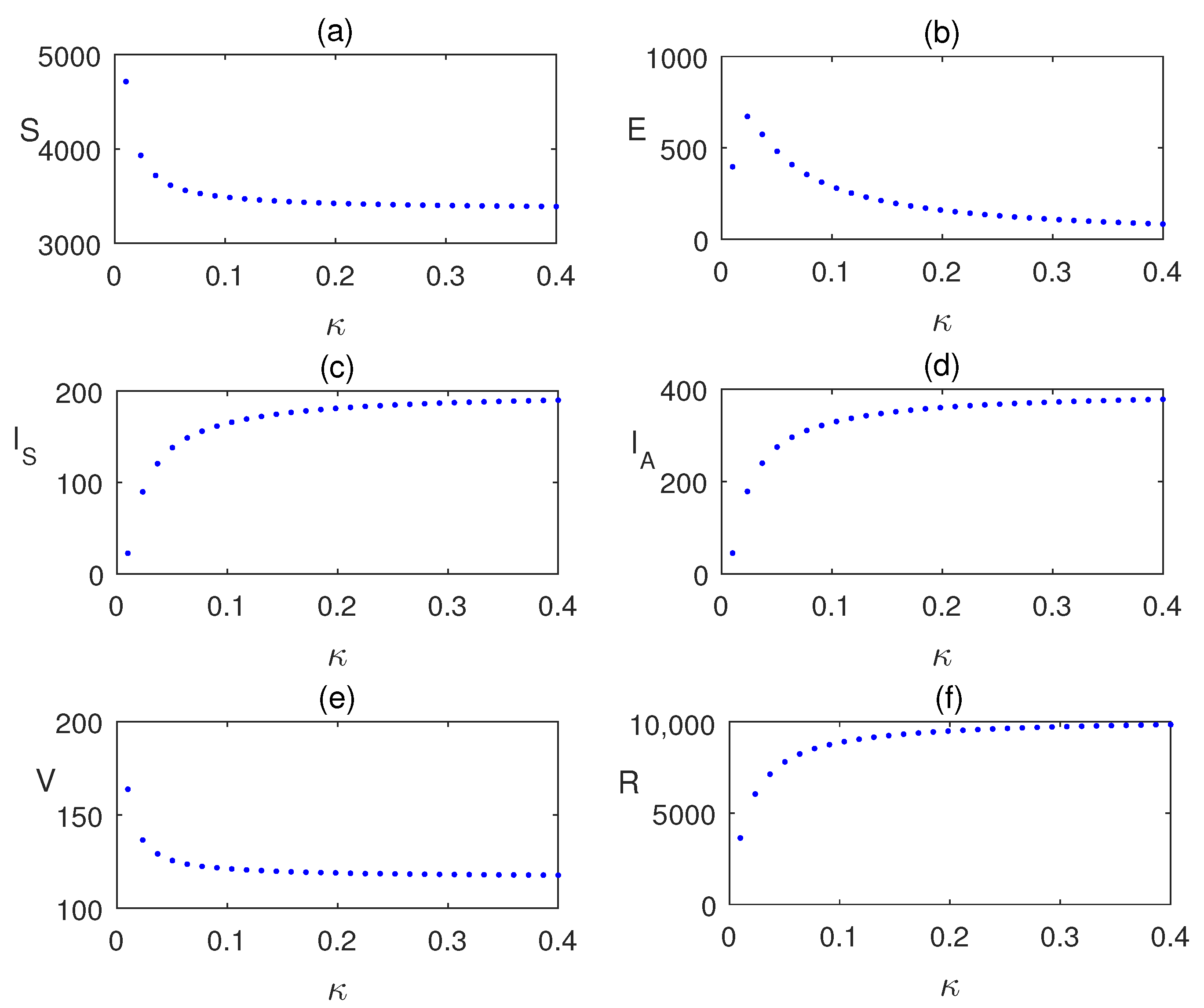
The impact of κ is analyzed using Figure 7a–f by plotting the equilibrium values of the model population with respect to κ . Similarly, in Figure 8, the impact of vaccination is shown. Infection is reduced as the vaccinated population increases.
Figure 7. (af) Equilibrium values of the model populations plotted with respect to parameter κ . Other values of the parameters are the same as given in Table 2.
Figure 8. (af): Equilibrium values of the model populations plotted with respect to parameter a. Other values of the parameters are the same as in Figure 7.
Also, we consider the control system with control inputs u v ( t ) and u i ( t ) for systems (11) and (12). The time-dependent control functions, along with the state system and adjoint system, are analyzed numerically. Here, the optimal control problem is bounded by [ 0 , T ] . Here, we consider T = 60 , at which the treatment is stopped. The optimal system is plotted in Figure 9. This figure shows the impacts of controls on the disease. In Figure 10a,b, the optimal trajectories show the effective role of control strategies. Also, we have clearly observed that a low weight factor gives a better result in increasing the susceptible population along with class improvement.
Figure 9. (af) Model simulation in the presence of optimal control input for P 1 = 1 , P 2 = 1 , P 3 = 1 , P 4 = 0.01 , and Q 1 = 1 , Q 1 = 1 . The rest of the parameters are taken from Table 2.
Figure 10. (a,b) Optimal control pair plotted for parameter values as in Figure 9.

8. Discussion and Conclusions

The H1N1 virus is a major contributor to influenza infections, primarily affecting the upper respiratory tract. Severe manifestations are typically observed in individuals with underlying chronic conditions. To better understand and mitigate the spread of this virus, a mathematical model has been developed and extended to incorporate time-dependent control inputs. The model framework includes the establishment of existence conditions and a thorough stability analysis based on the basic reproduction number R 0 .
A comprehensive sensitivity analysis reveals that all model parameters significantly influence the dynamics of H1N1 transmission. Notably, parameters such as the transmission rate ( β ), recruitment rate ( λ ), and contact rate ( κ ) exhibit positive sensitivity, indicating that increases in these parameters tend to amplify the spread of infection (Figure 2).
We illustrated the critical role of the basic reproduction number R 0 in determining system behavior (Figure 3). When R 0 < 1 , the model stabilizes at a disease-free equilibrium ( E 0 ), whereas R 0 > 1 leads to a stable endemic equilibrium ( E * ). This transition is further substantiated by the forward bifurcation (Figure 4), which highlights a distinct shift in system dynamics as R 0 crosses the threshold value of unity. We have noticed that when the endemic system is feasible, it is globally stable (Figure 6). The impact of the contact rate κ is examined, which shows that higher values of κ correspond to increased equilibrium infection levels (Figure 7). This finding emphasizes the importance of managing contact rates to control disease spread. Additionally, the positive effect of vaccination is studied, where an increase in vaccinated individuals leads to a marked reduction in infection prevalence (Figure 8).
For the analysis of the control model, Pontryagin’s maximum principle has been employed. The corresponding Hamiltonian function has been constructed, and the adjoint equations, along with the optimal control variables u 1 * and u 2 * , have been derived. To enhance disease mitigation, the model incorporates a control system governed by time-dependent inputs u v ( t ) (vaccination) and u i ( t ) (treatment), analyzed over a finite time horizon T = 60 . We have seen that the optimal control strategies are effective. The simulations reveal that control interventions significantly reduce infection levels. Moreover, a lower weight factor in the cost function yields improved outcomes, including an increase in the susceptible population and enhanced class dynamics, suggesting that more aggressive control measures are beneficial (Figure 9 and Figure 10).
In conclusion, this study presents a rigorous analysis of the H1N1 transmission model, integrating sensitivity analysis, bifurcation theory, and optimal control strategies. The basic reproduction number R 0 serves as a pivotal threshold for system stability. Parameters such as β , λ , and κ play critical roles in shaping disease dynamics. Vaccination and contact reduction are effective in curbing the spread. Optimal control strategies, particularly those with lower cost weights, substantially improve population health outcomes. Thus, the results underscore the importance of targeted interventions and strategic parameter management in controlling H1N1 infection. The integration of mathematical modeling and optimal control provides a valuable framework for public health decision-making and epidemic response planning.

Author Contributions

Conceptualization, A.N.C.; methodology, A.N.C., S.K.S. and F.A.B.; software, A.N.C. and F.A.B.; validation, A.N.C. and F.A.B.; formal analysis, F.A.B., A.A.R. and S.K.S.; writing—original draft, A.N.C., S.K.S., A.A.R. and F.A.B.; writing—review and editing, F.A.B. and A.A.R. All authors have read and agreed to the published version of the manuscript.

Funding

This research was funded by Deanship of Research and Graduate Studies at King Khalid University, Abha, Saudi Arabia, under grant number (RGP. 1/68/45).

Data Availability Statement

The original contributions presented in this study are included in the article. Further inquiries can be directed to the corresponding author.

Acknowledgments

The authors extend their appreciation to the Deanship of Scientific Research at King Khalid University for funding this work through Small Groups Project under grant number (68/45).

Conflicts of Interest

The authors declare no conflicts of interest.

References

  1. Javanian, M.; Barary, M.; Ghebrehewet, S.; Koppolu, V.; Vasigala, V.; Ebrahimpour, S. A brief review of influenza virus infection. J. Med Virol. 2021, 93, 4638–4646. [Google Scholar] [CrossRef]
  2. Muthukutty, P.; MacDonald, J.; Yoo, S.Y. Combating Emerging Respiratory Viruses: Lessons and Future Antiviral Strategies. Vaccines 2024, 12, 1220. [Google Scholar] [CrossRef] [PubMed]
  3. Fallani, E. Public Health Impact of Influenza Vaccination in Italy: Barriers, Benefits and Interventions in the Field of Prevention. Ph.D. Thesis, Università di Siena, Siena, Italy, 2023. [Google Scholar]
  4. Stephens, B.; Azimi, P.; Thoemmes, M.S.; Heidarinejad, M.; Allen, J.G.; Gilbert, J.A. Microbial exchange via fomites and implications for human health. Curr. Pollut. Rep. 2019, 5, 198–213. [Google Scholar] [CrossRef]
  5. Kakoullis, L.; Steffen, R.; Osterhaus, A.; Goeijenbier, M.; Rao, S.R.; Koiso, S.; Hyle, E.P.; Ryan, E.T.; LaRocque, R.C.; Chen, L.H. Influenza: Seasonality and travel-related considerations. J. Travel Med. 2023, 30, taad102. [Google Scholar] [CrossRef]
  6. Li, Y.; Wang, X.; Msosa, T.; de Wit, F.; Murdock, J.; Nair, H. The impact of the 2009 influenza pandemic on the seasonality of human respiratory syncytial virus: A systematic analysis. Influenza Other Respir. Viruses 2021, 15, 804–812. [Google Scholar] [CrossRef]
  7. Germann, T.C.; Kadau, K.; Longini, I.M., Jr.; Macken, C.A. Mitigation strategies for pandemic influenza in the United States. Proc. Natl. Acad. Sci. USA 2006, 103, 5935–5940. [Google Scholar] [CrossRef]
  8. Belshe, R.B.; Edwards, K.M.; Vesikari, T.; Black, S.V.; Walker, R.E.; Hultquist, M.; Kemble, G.; Connor, E.M. Live attenuated versus inactivated influenza vaccine in infants and young children. N. Engl. J. Med. 2007, 356, 685–696. [Google Scholar] [CrossRef]
  9. Pawaiya, R.; Dhama, K.; Mahendran, M.; Tripathi, B. Swine flu and the current influenza A (H1N1) pandemic in humans: A review. Indian J. Vet. Pathol. 2009, 33, 1–17. [Google Scholar]
  10. Lo, J.Y.; Tsang, T.H.; Leung, Y.H.; Yeung, E.Y.; Wu, T.; Lim, W.W. Respiratory infections during SARS outbreak, Hong Kong, 2003. Emerg. Infect. Dis. 2005, 11, 1738. [Google Scholar] [CrossRef]
  11. Andre, F.E.; Booy, R.; Bock, H.L.; Clemens, J.; Datta, S.K.; John, T.J.; Lee, B.W.; Lolekha, S.; Peltola, H.; Ruff, T.; et al. Vaccination greatly reduces disease, disability, death and inequity worldwide. Bull. World Health Organ. 2008, 86, 140–146. [Google Scholar] [CrossRef]
  12. Ziegler, T.; Mamahit, A.; Cox, N.J. 65 years of influenza surveillance by a World Health Organization-coordinated global network. Influenza Other Respir. Viruses 2018, 12, 558–565. [Google Scholar] [CrossRef]
  13. Zanobini, P.; Bonaccorsi, G.; Lorini, C.; Haag, M.; McGovern, I.; Paget, J.; Caini, S. Global patterns of seasonal influenza activity, duration of activity and virus (sub) type circulation from 2010 to 2020. Influenza Other Respir. Viruses 2022, 16, 696–706. [Google Scholar] [CrossRef] [PubMed]
  14. Nypaver, C.; Dehlinger, C.; Carter, C. Influenza and influenza vaccine: A review. J. Midwifery Women’s Health 2021, 66, 45–53. [Google Scholar] [CrossRef] [PubMed]
  15. Ampofo, W.K.; Azziz-Baumgartner, E.; Bashir, U.; Cox, N.J.; Fasce, R.; Giovanni, M.; Grohmann, G.; Huang, S.; Katz, J.; Mironenko, A.; et al. Strengthening the influenza vaccine virus selection and development process: Report of the 3rd WHO Informal Consultation for Improving Influenza Vaccine Virus Selection held at WHO headquarters, Geneva, Switzerland, 1–3 April 2014. Vaccine 2015, 33, 4368–4382. [Google Scholar] [CrossRef] [PubMed]
  16. Satar, H.A.; Naji, R.K. A mathematical study for the transmission of coronavirus disease. Mathematics 2023, 11, 2330. [Google Scholar] [CrossRef]
  17. Tan, Y.; Yao, R. Dynamics of an influenza epidemic model incorporating immune boosting and Ornstein–Uhlenbeck process. Chaos Solitons Fractals 2024, 188, 115446. [Google Scholar] [CrossRef]
  18. Tracht, S.M.; Del Valle, S.Y.; Hyman, J.M. Mathematical modeling of the effectiveness of facemasks in reducing the spread of novel influenza A (H1N1). PLoS ONE 2010, 5, e9018. [Google Scholar] [CrossRef]
  19. Tchuenche, J.M.; Dube, N.; Bhunu, C.P.; Smith, R.J.; Bauch, C.T. The impact of media coverage on the transmission dynamics of human influenza. BMC Public Health 2011, 11, S5. [Google Scholar] [CrossRef]
  20. Krishnapriya, P.; Pitchaimani, M.; Witten, T.M. Mathematical analysis of an influenza A epidemic model with discrete delay. J. Comput. Appl. Math. 2017, 324, 155–172. [Google Scholar] [CrossRef]
  21. Kanyiri, C.W.; Mark, K.; Luboobi, L. Mathematical analysis of influenza A dynamics in the emergence of drug resistance. Comput. Math. Methods Med. 2018, 2018, 2434560. [Google Scholar] [CrossRef]
  22. Kim, S.; Jung, E. Prioritization of vaccine strategy using an age-dependent mathematical model for 2009 A/H1N1 influenza in the Republic of Korea. J. Theor. Biol. 2019, 479, 97–105. [Google Scholar] [CrossRef]
  23. Dalal, A.; Gill, P.S.; Narang, J.; Prasad, M.; Mohan, H. Genosensor for rapid, sensitive, specific point-of-care detection of H1N1 influenza (swine flu). Process Biochem. 2020, 98, 262–268. [Google Scholar]
  24. Ratre, Y.K.; Vishvakarma, N.K.; Bhaskar, L.; Verma, H.K. Dynamic propagation and impact of pandemic influenza A (2009 H1N1) in children: A detailed review. Curr. Microbiol. 2020, 77, 3809–3820. [Google Scholar] [CrossRef] [PubMed]
  25. Baba, I.A.; Ahmad, H.; Alsulami, M.; Abualnaja, K.M.; Altanji, M. A mathematical model to study resistance and non-resistance strains of influenza. Results Phys. 2021, 26, 104390. [Google Scholar] [CrossRef]
  26. Alharbi, M.H.; Kribs, C.M. A mathematical modeling study: Assessing impact of mismatch between influenza vaccine strains and circulating strains in hajj. Bull. Math. Biol. 2021, 83, 7. [Google Scholar] [CrossRef] [PubMed]
  27. Ackerman, E.E.; Weaver, J.J.; Shoemaker, J.E. Mathematical Modeling Finds Disparate Interferon Production Rates Drive Strain-Specific Immunodynamics during Deadly Influenza Infection. Viruses 2022, 14, 906. [Google Scholar] [CrossRef]
  28. Chebotaeva, V.; Srinivasan, A.; Vasquez, P.A. Differentiating Contact with Symptomatic and Asymptomatic Infectious Individuals in a SEIR Epidemic Model. Bull. Math. Biol. 2025, 87, 38. [Google Scholar] [CrossRef]
  29. Srivastav, A.K.; Ghosh, M. Modeling and analysis of the symptomatic and asymptomatic infections of swine flu with optimal control. Model. Earth Syst. Environ. 2016, 2, 1–9. [Google Scholar] [CrossRef]
  30. Mohammad, K.M.; Akhi, A.A.; Kamrujjaman, M. Bifurcation analysis of an influenza A (H1N1) model with treatment and vaccination. PLoS ONE 2025, 20, e0315280. [Google Scholar] [CrossRef]
  31. Khan, A.; Waleed, M.; Imran, M. Mathematical analysis of an influenza epidemic model, formulation of different controlling strategies using optimal control and estimation of basic reproduction number. Math. Comput. Model. Dyn. Syst. 2015, 21, 432–459. [Google Scholar] [CrossRef]
  32. Tchuenche, J.; Khamis, S.; Agusto, F.; Mpeshe, S. Optimal control and sensitivity analysis of an influenza model with treatment and vaccination. Acta Biotheor. 2011, 59, 1–28. [Google Scholar] [CrossRef]
  33. Kamrujjaman, M.; Mohammad, K.M. Modeling H1N1 Influenza Transmission and Control: Epidemic Theory Insights Across Mexico, Italy, and South Africa. arXiv 2024, arXiv:2412.00039. [Google Scholar]
  34. Lamwong, J.; Pongsumpun, P. Optimal control and stability analysis of influenza transmission dynamics with quarantine interventions. Model. Earth Syst. Environ. 2025, 11, 233. [Google Scholar] [CrossRef]
  35. Wu, J.; Dhingra, R.; Gambhir, M.; Remais, J.V. Sensitivity analysis of infectious disease models: Methods, advances and their application. J. R. Soc. Interface 2013, 10, 20121018. [Google Scholar] [CrossRef] [PubMed]
  36. Arriola, L.; Hyman, J.M. Sensitivity analysis for uncertainty quantification in mathematical models. In Mathematical and Statistical Estimation Approaches in Epidemiology; Springer: Berlin/Heidelberg, Germany, 2009; pp. 195–247. [Google Scholar]
  37. Pedro, S.; Rwezaura, H.; Tchuenche, J. Time-varying sensitivity analysis of an influenza model with interventions. Int. J. Biomath. 2022, 15, 2150098. [Google Scholar] [CrossRef]
  38. Cheng, K.; Leung, P. What happened in China during the 1918 influenza pandemic? Int. J. Infect. Dis. 2007, 11, 360–364. [Google Scholar] [CrossRef]
  39. Saunders-Hastings, P.R.; Krewski, D. Reviewing the history of pandemic influenza: Understanding patterns of emergence and transmission. Pathogens 2016, 5, 66. [Google Scholar] [CrossRef]
  40. e Souza, P.A.C.A.; Dias, C.M.; de Arruda, E.F. Optimal Control Model for Vaccination Against H1N1 Flu Modelo com Controle Ótimo para a Vacinação contra a Gripe H1N1. Ciênc. Exatas Tecnol. Londrina 2020, 41, 105–114. [Google Scholar] [CrossRef]
  41. Teschl, G. Ordinary Differential Equations and Dynamical Systems; American Mathematical Society: Providence, RI, USA, 2012; Volume 140. [Google Scholar]
  42. Van den Driessche, P.; Watmough, J. Reproduction numbers and sub-threshold endemic equilibria for compartmental models of disease transmission. Math. Biosci. 2002, 180, 29–48. [Google Scholar] [CrossRef]
  43. Narendra, K.S.; Shorten, R. Hurwitz Stability of Metzler Matrices. IEEE Trans. Autom. Control 2010, 55, 1484–1487. [Google Scholar] [CrossRef]
  44. Fleming, W.H.; Rishel, R.W. Deterministic and Stochastic Optimal Control; Springer Science & Business Media: Berlin/Heidelberg, Germany, 2012; Volume 1. [Google Scholar]
  45. Pontryagin, L.S. Mathematical Theory of Optimal Processes; CRC Press: Boca Raton, FL, USA, 1987. [Google Scholar]
  46. Rihan, F.A. Sensitivity analysis for dynamic systems with time-lags. J. Comput. Appl. Math. 2003, 151, 445–462. [Google Scholar] [CrossRef]
Disclaimer/Publisher’s Note: The statements, opinions and data contained in all publications are solely those of the individual author(s) and contributor(s) and not of MDPI and/or the editor(s). MDPI and/or the editor(s) disclaim responsibility for any injury to people or property resulting from any ideas, methods, instructions or products referred to in the content.

Article Metrics

Citations

Article Access Statistics

Multiple requests from the same IP address are counted as one view.