Blockchain-Based Unbalanced PSI with Public Verification and Financial Security
Abstract
1. Introduction
- On-chain anchoring of key data and generation of publicly verifiable proofs—in case of disputes over the final intersection, the client can readily generate publicly verifiable proofs based on tamper-proof Merkle roots of key data on the blockchain to accuse the server of dishonest behavior, thereby exerting a deterrent effect on the server.
- Smart contract-based automatic verification and financial security—proofs are validated over smart contracts, and corresponding economic rewards or penalties are automatically executed to achieve financial security based on the verification result. Meanwhile, all the verification results about a server in history have been permanently recorded on the blockchain and can be publicly accessed by anyone, which further enhances the deterrent effect on the server.
- Integration of Cuckoo filters—clients’ storage overhead and final query time are reduced, and Cuckoo filters have inherent support for deletion, facilitating dynamic updates of data stored on the client to avoid redundant transmissions.
- Implementation and experimentation—the proposed unbalanced PSI protocol and associated smart contracts are realized, and experimental results demonstrate linear dependence of online communication based on clients’ dataset size. Moreover, the transaction cost of executing verification on smart contracts is very low.
2. Related Work
3. Preliminaries
3.1. Summary of Notations
- are the server’s and client’s input sets, with sizes and , respectively.
- is the number of elements sampled and validated by the client.
- indicates r was sampled from S with uniform distribution.
- are the computational and statistical security parameters, respectively.
- denote an RSA key pair, where constitutes the public key, and constitutes the private key. It is required that , , and , where represents Euler’s totient function of n.
- are hash functions modeled as random oracles, where l is the length of ’s output.
- correspond to Merkle roots that are separately uploaded to the blockchain by the client and the server, respectively.
- denote, respectively, deadlines for the server to upload and the client to submit the proof, subject to the condition that .
3.2. Blockchain and Smart Contract
3.3. RSA Blind Signature
- The key-generation algorithm takes as input a security parameter and outputs a pair of keys .
- The blind signing algorithm is an interactive protocol between and . is given a message m and a public key , and is given a secret key . At the end of this protocol, outputs either , a signature on m, or ⊥ if the interaction is not successful.
- The verification algorithm is deterministic and takes as input a public key , a message m, and a signature . It outputs 1 if is valid on m under and 0 otherwise.
- .
- . If or , then let .
- .
- .
- .
- Let event be: .
4. Protocol
4.1. The Basic Protocol
4.2. Optimizations
4.2.1. Reduce Storage
4.2.2. Improve Security
- The elements and that do not satisfy Equation (4);
- The index of in set B (or in set );
- The paths and for in the Merkle trees with roots and , respectively.
- Verify whether the element is located at index t in the Merkle tree with root according to . If the verification succeeds, proceed to the next step; otherwise, return False.
- Verify whether the element is located at index t in the Merkle tree with root according to . If the verification succeeds, proceed to the next step; otherwise, return False.
- Verify whether the equality holds using the server’s public key . If it does, return False; otherwise, return True.
4.3. Full Protocol
- Setup is used to perform some pre-processes and prepare for subsequent calculations.
- (a)
- The server publishes the public key on the blockchain and stakes the required deposit.
- (b)
- For each , the server computes and . It then generates a Cuckoo filter that inserts set .
- (c)
- The client generates w or more random numbers and encrypts them using the server’s public key to obtain .
- (d)
- The client pledges a certain amount of deposit to the smart contract under the contract requirements. Once the deposit meets the requirements, the blockchain emits a request event to the server.
- (e)
- Upon listening to the request event, the server can authorize the client to communicate with it.
- Computing is the main process, whereby the client obtains blind signatures on its set through a single interaction with the server.
- (a)
- The client blinds set Y to obtain set , where .
- (b)
- The client uploads the Merkle root of B to the blockchain and sends B to the server.
- (c)
- The server verifies whether the Merkle root of received data is consistent on the blockchain, and it exits the protocol if they do not match.
- (d)
- The server signs every element in B to generate set using the private key , where . It then uploads the Merkle root of to the blockchain and sends set and the Cuckoo filter to the client.
- (e)
- The client verifies whether the Merkle root of received data is consistent on the blockchain, and it exits the protocol if they do not match.
- (f)
- If the client fails to upload or the server fails to upload to the blockchain before time , both parties’ deposits will be unlocked and the protocol will be terminated.
- Verifying aims to verify whether the blind signatures received from the server are valid.
- (a)
- The client randomly samples elements from , where the number of samples depends on the expected deterrence factor. It then checks whether the sample point satisfies . If all samples satisfy this equation, it proceeds to the output phase; otherwise, it generates a proof .
- (b)
- The client submits to the blockchain and invokes the verification function within the smart contract to verify whether is valid. If the proof is valid, the smart contract automatically deducts the server’s deposit as a penalty and refunds the client’s deposit. Then, the protocol ends.
- (c)
- If the smart contract does not receive any valid proofs prior to time , the server’s deposit will be refunded. A portion of the client’s deposit may be transferred to the server’s account as a reward (subject to the specific business rules), while the remaining portion (if any) will be refunded to the client’s account. Then, the protocol terminates.
- Output is the last process and is responsible for calculating the final intersection.
- (a)
- The client recovers each element in using the random values used during blinding to obtain signatures of the original elements and hash values .
- (b)
- The client initializes the final intersection I as empty. It then looks up in the Cuckoo filter , and the corresponding original element is added to I if exists in .
- (c)
- At last, the client outputs the final intersection I.
4.4. Theoretical Analysis
4.4.1. Security Analysis
- Accountability: If Equation (4) does not hold, an honest client will always be able to produce a valid proof causing the output of the verification algorithm to be True. Given that both element and its corresponding reside in Merkle trees with roots and , the client can provide effective paths and to pass the first two steps of the verification algorithm. Therefore, as long as there exists an element satisfying , the output of the verification algorithm will be True.
- Defamation-Free: If the server is honest, the probability that a client generates a proof such that the output of the verification algorithm is True is negligible. Since the server is honest, every satisfies except for a negligible probability. Additionally, the Merkle roots of B and have been recorded on the blockchain. Due to the tamper-evident nature of the blockchain, the client cannot modify and . Consequently, if the client attempts to tamper with either or such that they do not satisfy Equation (4), the integrity of the Merkle tree renders it impossible for the client to provide valid Merkle paths for the altered elements.
- Privacy: Apart from a negligible probability, the proof generated by the client does not disclose its private information. In the proof , t, , and are known to the server during the intersection process. The Merkle paths and can also be independently calculated by the server. Therefore, the proof does not reveal any additional information to the server, which preserves the client’s privacy against the server and others.
4.4.2. Efficiency Analysis
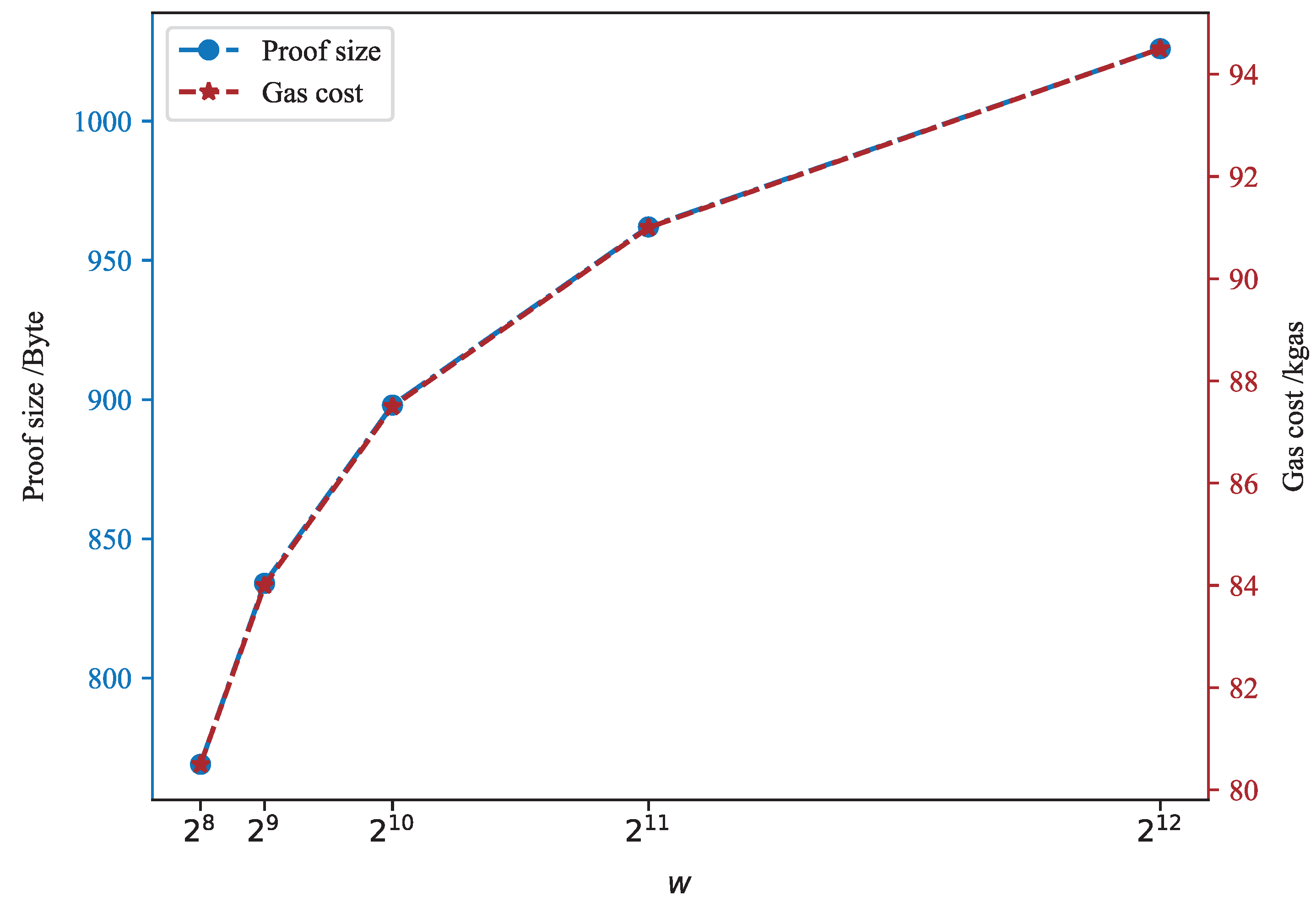
5. Experiments
6. Conclusions
Author Contributions
Funding
Data Availability Statement
Conflicts of Interest
References
- Chen, H.; Laine, K.; Rindal, P. Fast Private Set Intersection from Homomorphic Encryption. In Proceedings of the 24th ACM-SIGSAC Conference on Computer and Communications Security (ACM CCS), Dallas, TX, USA, 30 October–3 November 2017; pp. 1243–1255. [Google Scholar] [CrossRef]
- Zhou, Q.; Zeng, Z.; Wang, K.; Chen, M. Privacy Protection Scheme for the Internet of Vehicles Based on Private Set Intersection. Cryptography 2022, 6, 64. [Google Scholar] [CrossRef]
- Mezzour, G.; Perrig, A.; Gligor, V.; Papadimitratos, P. Privacy-Preserving Relationship Path Discovery in Social Networks. In Proceedings of the 8th International Conference on Cryptology and Network Security, Kanazawa, Japan, 12–14 December 2009; Volume 5888, pp. 189–208. [Google Scholar]
- Li, J.; Liu, Y.M.; Wu, S. Pipa: Privacy-preserving Password Checkup via Homomorphic Encryption. In Proceedings of the 16th ACM ASIA Conference on Computer and Communications Security (ACM ASIACCS), Virtual Event, Hong Kong, 7–11 June 2021; pp. 242–251. [Google Scholar] [CrossRef]
- Pinkas, B.; Schneider, T.; Zohner, M.; Assoc, U. Faster Private Set Intersection based on OT Extension. In Proceedings of the 23rd USENIX Security Symposium, San Diego, CA, USA, 20–22 August 2014; pp. 797–812. [Google Scholar]
- Kolesnikov, V.; Kumaresan, R.; Rosulek, M.; Trieu, N. Efficient Batched Oblivious PRF with Applications to Private Set Intersection. In Proceedings of the 23rd ACM Conference on Computer and Communications Security (CCS), Vienna, Austria, 24–28 October 2016; pp. 818–829. [Google Scholar] [CrossRef]
- Orrù, M.; Orsini, E.; Scholl, P. Actively Secure 1-out-of-N OT Extension with Application to Private Set Intersection. In Proceedings of the RSA Conference on Cryptographer’s Track (CT-RSA), San Francisco, CA, USA, 14–17 February 2017; Volume 10159, pp. 381–396. [Google Scholar] [CrossRef]
- Pinkas, B.; Schneider, T.; Zohner, M. Scalable Private Set Intersection Based on OT Extension. Acm Trans. Priv. Secur. 2018, 21, 7. [Google Scholar] [CrossRef]
- Pinkas, B.; Schneider, T.; Segev, G.; Zohner, M.; Assoc, U. Phasing: Private Set Intersection using Permutation-based Hashing. In Proceedings of the 24th USENIX Security Symposium, Washington, DC, USA, 12–14 August 2015; pp. 515–530. [Google Scholar]
- Jiang, Z.; Guo, X.; Yu, T.; Zhou, H.; Wen, J.; Wu, Z. Private Set Intersection Based on Lightweight Oblivious Key-Value Storage Structure. Symmetry 2023, 15, 2083. [Google Scholar] [CrossRef]
- Raghuraman, S.; Rindal, P. Blazing Fast PSI from Improved OKVS and Subfield VOLE. In Proceedings of the Proceedings of the 2022 ACM SIGSAC Conference on Computer and Communications Security, Los Angeles, CA, USA, 7–11 November 2022; pp. 2505–2517. [CrossRef]
- Ishai, Y.; Kilian, J.; Nissim, K.; Petrank, E. Extending oblivious transfers efficiently. In Proceedings of the Annual International Cryptology Conference, Santa Barbara, CA, USA, 17–21 August 2003; pp. 145–161. [Google Scholar]
- Jarecki, S.; Liu, X.M. Fast Secure Computation of Set Intersection. In Proceedings of the 7th Conference on Security and Cryptography for Networks, Amalfi, Italy, 13–15 September 2010; Volume 6280, pp. 418–435. [Google Scholar]
- Resende, A.C.D.; Aranha, D.F. Faster Unbalanced Private Set Intersection. In Proceedings of the 22nd International Conference on Financial Cryptography and Data Security (FC), Nieuwpoort, Curaçao, 26 February–2 March 2018; Volume 10957, pp. 203–221. [Google Scholar] [CrossRef]
- Cristofaro, E.D.; Tsudik, G. Practical private set intersection protocols with linear complexity. In Proceedings of the 14th Practical Private Set Intersection Protocols with Linear Complexity, Tenerife, Canary Islands, 25–28 January 2010. [Google Scholar] [CrossRef]
- Chen, H.; Huang, Z.C.; Laine, K.; Rindal, P. Labeled PSI from Fully Homomorphic Encryption with Malicious Security. In Proceedings of the ACM SIGSAC Conference on Computer and Communications Security (CCS), Toronto, ON, Canada, 15–19 October 2018; pp. 1223–1237. [Google Scholar] [CrossRef]
- Zhao, Q.; Jiang, B.; Zhang, Y.; Wang, H.; Mao, Y.; Zhong, S. Unbalanced private set intersection with linear communication complexity. Sci. China Inf. Sci. 2024, 67, 132105. [Google Scholar] [CrossRef]
- Ning, J.; Tan, Z.; Zhang, K.; Ye, W. Low Communication-Cost PSI Protocol for Unbalanced Two-Party Private Sets. IET Inf. Secur. 2024, 2024, 6052651. [Google Scholar] [CrossRef]
- Hazay, C.; Lindell, Y. Efficient Protocols for Set Intersection and Pattern Matching with Security Against Malicious and Covert Adversaries. J. Cryptol. 2010, 23, 422–456. [Google Scholar] [CrossRef]
- Asharov, G.; Orlandi, C. Calling Out Cheaters: Covert Security with Public Verifiability. In Proceedings of the 18th International Conference on Theory and Application of Cryptology and Information Security (ASIACRYPT), Beijing, China, 2–6 December 2012; Volume 7658, pp. 681–698. [Google Scholar]
- Hong, C.; Katz, J.; Kolesnikov, V.; Lu, W.j.; Wang, X. Covert Security with Public Verifiability: Faster, Leaner, and Simpler. In Proceedings of the Advances in Cryptology—EUROCRYPT 2019, Darmstadt, Germany, 19–23 May 2019; pp. 97–121. [Google Scholar]
- Zhu, R.Y.; Ding, C.C.; Huang, Y. Efficient Publicly Verifiable 2PC over a Blockchain with Applications to Financially-Secure Computations. In Proceedings of the ACM SIGSAC Conference on Computer and Communications Security (CCS), London, UK, 11–15 November 2019; pp. 633–650. [Google Scholar] [CrossRef]
- Freedman, M.J.; Nissim, K.; Pinkas, B. Efficient Private Matching and Set Intersection. In Proceedings of the Advances in Cryptology—EUROCRYPT 2004, Interlaken, Switzerland, 2–6 May 2004; pp. 1–19. [Google Scholar]
- Morales, D.; Agudo, I.; Lopez, J. Private set intersection: A systematic literature review. Comput. Sci. Rev. 2023, 49, 100567. [Google Scholar] [CrossRef]
- Pinkas, B.; Rosulek, M.; Trieu, N.; Yanai, A. PSI from PaXoS: Fast, Malicious Private Set Intersection. In Proceedings of the 39th Annual International Conference on the Theory and Applications of Cryptographic Techniques (EUROCRYPT), Zagreb, Croatia, 10–14 May 2020; Volume 12106, pp. 739–767. [Google Scholar] [CrossRef]
- Fan, C.; Jia, P.; Lin, M.; Wei, L.; Guo, P.; Zhao, X.; Liu, X. Cloud-Assisted Private Set Intersection via Multi-Key Fully Homomorphic Encryption. Mathematics 2023, 11, 1784. [Google Scholar] [CrossRef]
- Abadi, A.; Dong, C.; Murdoch, S.J.; Terzis, S. Multi-party Updatable Delegated Private Set Intersection. In Proceedings of the 26th International Conference on Financial Cryptography and Data Security, Grenada, 2–6 May 2022. [Google Scholar] [CrossRef]
- Huang, Y.; Evans, D.; Katz, J.; Malka, L. Faster secure two-party computation using garbled circuits. In Proceedings of the 20th USENIX Conference on Security, San Francisco, CA, USA, 8–12 August 2011. [Google Scholar]
- Ciampi, M.; Orlandi, C. Combining Private Set-Intersection with Secure Two-Party Computation. In Proceedings of the 11th International Conference on Security and Cryptography for Networks (SCN), Amalfi, Italy, 5–7 September 2018; Volume 11035, pp. 464–482. [Google Scholar] [CrossRef]
- Meadows, C. A More Efficient Cryptographic Matchmaking Protocol for Use in the Absence of a Continuously Available Third Party. In Proceedings of the 1986 IEEE Symposium on Security and Privacy, Oakland, CA, USA, 7–9 April 1986; p. 134. [Google Scholar] [CrossRef]
- Huberman, B.A.; Franklin, M.; Hogg, T. Enhancing privacy and trust in electronic communities. In Proceedings of the 1st ACM Conference on Electronic Commerce, Denver, CO, USA, 3–5 November 1999. [Google Scholar] [CrossRef]
- Jiang, Y.; Wei, J.; Pan, J. Publicly Verifiable Private Set Intersection from Homomorphic Encryption. In Proceedings of the Security and Privacy in Social Networks and Big Data, Xi’an, China, 16–18 October 2022; pp. 117–137. [Google Scholar]
- Aumann, Y.; Lindell, Y. Security Against Covert Adversaries: Efficient Protocols for Realistic Adversaries. J. Cryptol. 2010, 23, 281–343. [Google Scholar] [CrossRef]
- Nakamoto, S. Bitcoin: A Peer-to-Peer Electronic Cash System. 2008. Available online: https://bitcoin.org/bitcoin.pdf (accessed on 18 February 2024).
- Martínez, V.G.; Hernández-Álvarez, L.; Encinas, L.H. Analysis of the Cryptographic Tools for Blockchain and Bitcoin. Mathematics 2020, 8, 131. [Google Scholar] [CrossRef]
- Chaum, D. Blind Signature System. In Advances in Cryptology: Proceedings of Crypto 83; Springer: Boston, MA, USA, 1984; p. 153. [Google Scholar] [CrossRef]
- Bellare, M.; Namprempre, C.; Pointcheval, D.; Semanko, M. The one-more-RSA-inversion problems and the security of Chaum’s blind signature scheme. J. Cryptol. 2003, 16, 185–215. [Google Scholar] [CrossRef]
- Fan, B.; Andersen, D.G.; Kaminsky, M.; Mitzenrnacher, M.D. Cuckoo Filter: Practically Better Than Bloom. In Proceedings of the 10th ACM International Conference on Emerging Networking Experiments and Technologies (ACM CoNEXT), Sydney, Australia, 2–5 December 2014; pp. 75–87. [Google Scholar] [CrossRef]
- Pagh, R.; Rodler, F.F. Cuckoo hashing. J. Algorithms 2004, 51, 122–144. [Google Scholar] [CrossRef]
- Etherscan. Available online: https://etherscan.io/ (accessed on 25 March 2024).






| Protocol | Correctness | Number of Rounds | Communication Complexity | Computation of Server | Computation of Client |
|---|---|---|---|---|---|
| Chen [16] | ✘ | 2 | |||
| Jiang [32] | ✔ | 2 | |||
| Pinkas [25] | ✔ | 3 | |||
| Ours | ✔ | 1 |
| v | Basic Protocol | Our Protocol |
|---|---|---|
| 0.56 | 0.19 | |
| 9.88 | 3 | |
| 174 | 48 | |
| 3040 | 768 |
Disclaimer/Publisher’s Note: The statements, opinions and data contained in all publications are solely those of the individual author(s) and contributor(s) and not of MDPI and/or the editor(s). MDPI and/or the editor(s) disclaim responsibility for any injury to people or property resulting from any ideas, methods, instructions or products referred to in the content. |
© 2024 by the authors. Licensee MDPI, Basel, Switzerland. This article is an open access article distributed under the terms and conditions of the Creative Commons Attribution (CC BY) license (https://creativecommons.org/licenses/by/4.0/).
Share and Cite
Wang, Z.; Ma, X. Blockchain-Based Unbalanced PSI with Public Verification and Financial Security. Mathematics 2024, 12, 1544. https://doi.org/10.3390/math12101544
Wang Z, Ma X. Blockchain-Based Unbalanced PSI with Public Verification and Financial Security. Mathematics. 2024; 12(10):1544. https://doi.org/10.3390/math12101544
Chicago/Turabian StyleWang, Zhanshan, and Xiaofeng Ma. 2024. "Blockchain-Based Unbalanced PSI with Public Verification and Financial Security" Mathematics 12, no. 10: 1544. https://doi.org/10.3390/math12101544
APA StyleWang, Z., & Ma, X. (2024). Blockchain-Based Unbalanced PSI with Public Verification and Financial Security. Mathematics, 12(10), 1544. https://doi.org/10.3390/math12101544

