Application of LADMM and As-LADMM for a High-Dimensional Partially Linear Model
Abstract
:1. Introduction
2. -Penalty Estimation for High-Dimensional Partially Linear Model
3. LADMM Algorithms of -Penalty Estimation for High-Dimensional Partially Linear Model
3.1. Solution of -Penalty Estimation for High-Dimensional Partially Linear Model Using LADMM
3.2. LADMM Algorithm Design for -Penalty Estimation High-Dimensional Partially Linear Model
| Algorithm 1 Iterative Scheme of LADMM for LIPLM |
| Step 1: Input X, Y, B. Given the initial variables . |
| Choose penalty parametric Let be iteration; |
| Step 2: Update , , by Equation (12); |
| Step 3: If the algorithm does not meet the termination criteria at N-th iteration, |
| let go to Step 2; otherwise, go to the next step; |
| Step4: Output is the approximate solution of . |
4. As-LADMM Algorithm for -Penalty Estimation in High-Dimensional Partially Linear Model
4.1. The Solution of -Penalty Estimation for High-Dimensional Partially Linear Model by As-LADMM
4.2. As-LADMM Algorithm Design for -Penalty Estimation in High-Dimensional Partial Linear Model
| Algorithm 2 Iterative Scheme of As-LADMM for LIPLM |
| Step 1: Input X, Y, B and . Given the initial variables , |
| choose Let ; |
| Step 2: Update , , by Equation (17); |
| Step 3: If the algorithm meets the termination criteria at N-th iteration, go to the next step. |
| Otherwise, let go to Step 2; |
| Step 4: Output . It is the approximate solution of . |
5. Numerical Simulation
5.1. Parameter Setting
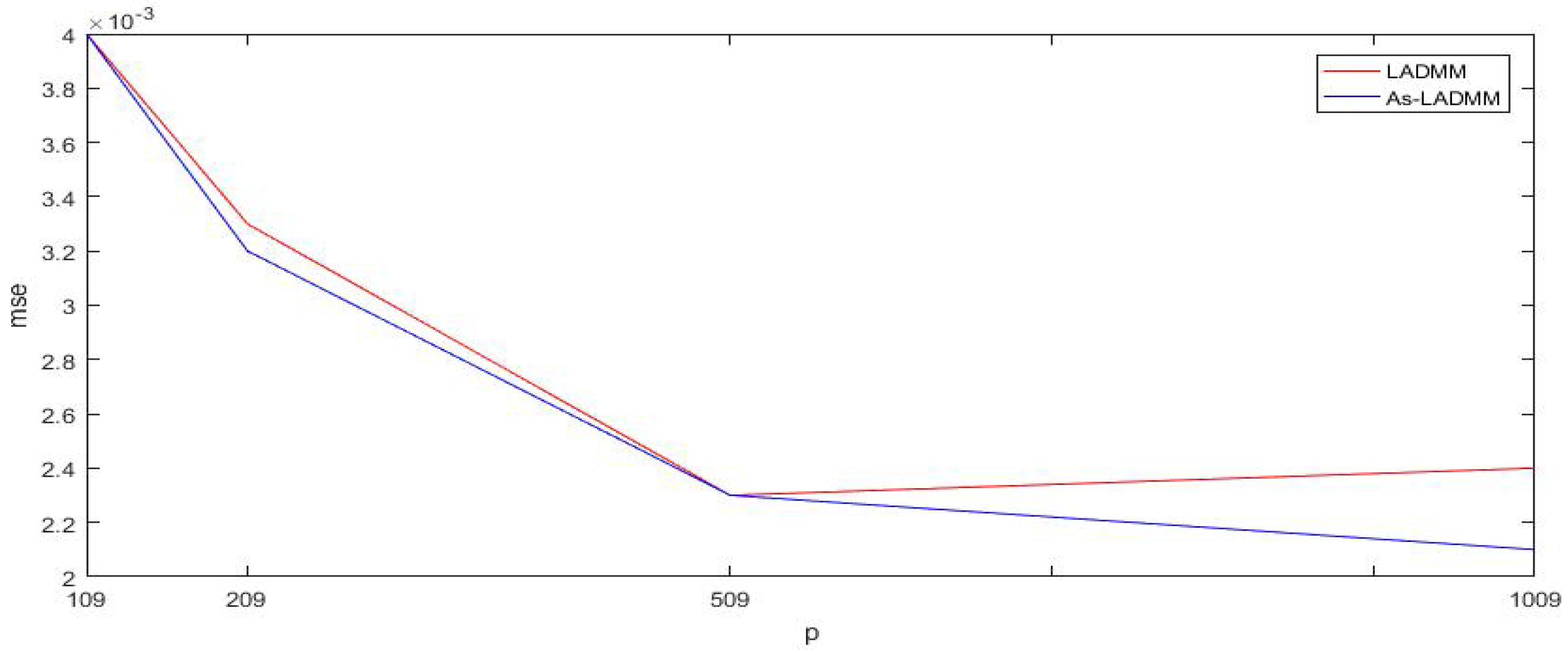
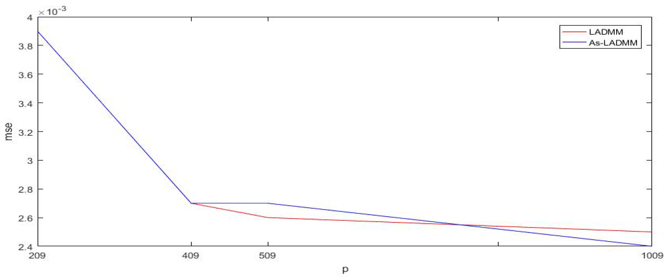
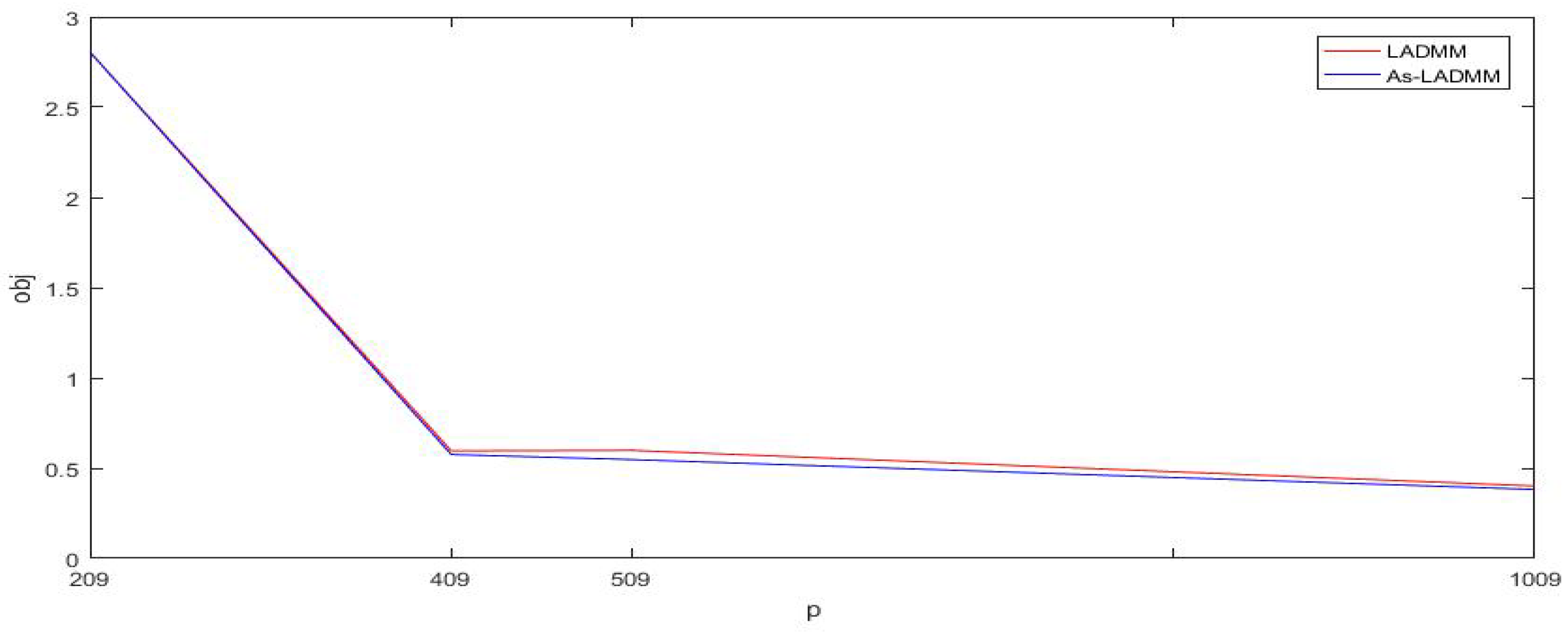
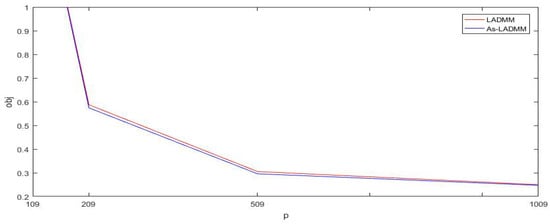
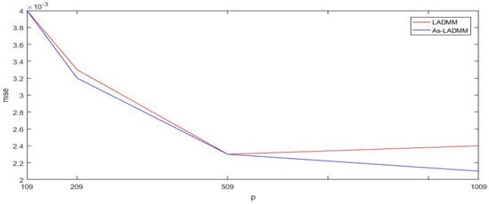
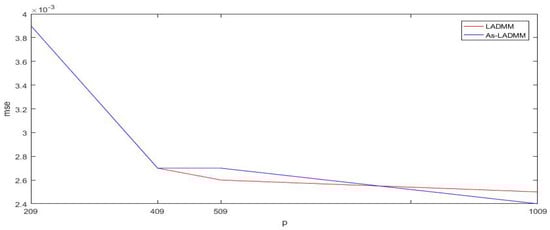
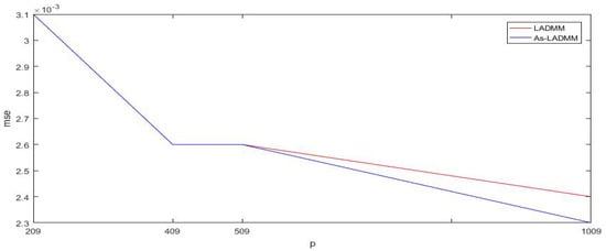
5.2. Simulation Results
6. Application: Boston Housing Price Data Analysis
7. Conclusions
Author Contributions
Funding
Data Availability Statement
Acknowledgments
Conflicts of Interest
References
- Liu, Y.; Zhang, S.; Ma, S.; Zhang, Q. Tests for regression coefficients in high dimensional partially linear models. Stat. Probab. Lett. 2020, 163, 108772. [Google Scholar] [CrossRef] [PubMed]
- Zhao, F.; Lin, N.; Zhang, B. A new test for high-dimensional regression coefficients in partially linear models. Can. J. Stat. 2023, 51, 5–18. [Google Scholar] [CrossRef]
- Engle, R.F.; Granger, C.W.; Rice, J.; Weiss, A. Semiparametric estimates of the relation between weather and electricity sales. J. Am. Stat. Assoc. 1986, 81, 310–320. [Google Scholar] [CrossRef]
- Heckman, N.E. Spline smoothing in a partly linear model. J. R. Stat. Soc. Ser. B Stat. Methodol. 1986, 48, 244–248. [Google Scholar] [CrossRef]
- Härdle, W.; Liang, H.; Gao, J. Partially Linear Models; Springer Science & Business Media: Berlin/Heidelberg, Germany, 2000. [Google Scholar]
- Xie, H.; Huang, J. SCAD-penalized regression in high-dimensional partially linear models. Ann. Stat. 2009, 37, 673–696. [Google Scholar] [CrossRef]
- Tibshirani, R. Regression shrinkage and selection via the lasso: A retrospective. J. R. Stat. Soc. Ser. B Stat. Methodol. 2011, 73, 268–288. [Google Scholar] [CrossRef]
- He, K.; Wang, Y.; Zhou, X.; Xu, H.; Huang, C. An improved variable selection procedure for adaptive Lasso in high-dimensional survival analysis. Lifetime Data Anal. 2019, 25, 569–585. [Google Scholar] [CrossRef]
- Ma, C.; Huang, J. Asymptotic properties of lasso in high-dimensional partially linear models. Sci. China Math. 2016, 59, 769–788. [Google Scholar] [CrossRef]
- Chuanhua, W.; Xizhi, W. Profile Lagrange multiplier test for partially linear varying-coefficient regression models. J. Syst. Sci. Math. Sci. 2008, 28, 416. [Google Scholar]
- Wang, X.; Zhao, S.; Wang, M. Restricted profile estimation for partially linear models with large-dimensional covariates. Stat. Probab. Lett. 2017, 128, 71–76. [Google Scholar] [CrossRef]
- Feng, A.; Chang, X.; Shang, Y.; Fan, J. Application of the ADMM Algorithm for a High-Dimensional Partially Linear Model. Mathematics 2022, 10, 4767. [Google Scholar] [CrossRef]
- Lian, H. Variable selection in high-dimensional partly linear additive models. J. Nonparametr. Stat. 2012, 24, 825–839. [Google Scholar] [CrossRef]
- Lian, H.; Liang, H.; Ruppert, D. Separation of covariates into nonparametric and parametric parts in high-dimensional partially linear additive models. Stat. Sin. 2015, 25, 591–607. [Google Scholar]
- Guo, J.; Tang, M.; Tian, M.; Zhu, K. Variable selection in high-dimensional partially linear additive models for composite quantile regression. Comput. Stat. Data Anal. 2013, 65, 56–67. [Google Scholar] [CrossRef]
- Wu, Q.; Zhao, H.; Zhu, L.; Sun, J. Variable selection for high-dimensional partly linear additive Cox model with application to Alzheimer’s disease. Stat. Med. 2020, 39, 3120–3134. [Google Scholar] [CrossRef]
- Xu, H.X.; Chen, Z.L.; Wang, J.F.; Fan, G.L. Quantile regression and variable selection for partially linear model with randomly truncated data. Stat. Pap. 2019, 60, 1137–1160. [Google Scholar] [CrossRef]
- Chen, W. Polynomial-based smoothing estimation for a semiparametric accelerated failure time partial linear model. Open Access Libr. J. 2020, 7, 1. [Google Scholar] [CrossRef]
- Auerbach, E. Identification and estimation of a partially linear regression model using network data. Econometrica 2022, 90, 347–365. [Google Scholar] [CrossRef]
- Liu, Y.; Yin, J. Spline estimation of partially linear regression models for time series with correlated errors. Commun. Stat.-Simul. Comput. 2021, 1–15. [Google Scholar] [CrossRef]
- Powell, M.J. A method for nonlinear constraints in minimization problems. In Optimization; Academic Press: New York, NY, USA, 1969; pp. 283–298. [Google Scholar]
- Wahlberg, B.; Boyd, S.; Annergren, M.; Wang, Y. An ADMM algorithm for a class of total variation regularized estimation problems. IFAC Proc. Vol. 2012, 45, 83–88. [Google Scholar] [CrossRef]
- Glowinski, R.; Song, Y.; Yuan, X.; Yue, H. Application of the alternating direction method of multipliers to control constrained parabolic optimal control problems and beyond. Ann. Appl. Math. 2022, 38, 115–158. [Google Scholar] [CrossRef]
- Li, X.; Mo, L.; Yuan, X.; Zhang, J. Linearized alternating direction method of multipliers for sparse group and fused LASSO models. Comput. Stat. Data Anal. 2014, 79, 203–221. [Google Scholar] [CrossRef]
- Nesterov, Y. Introductory Lectures on Convex Optimization: A Basic Course; Springer Science & Business Media: Berlin/Heidelberg, Germany, 2003; Volume 87. [Google Scholar]
- Nesterov, Y. Smooth minimization of non-smooth functions. Math. Program. 2005, 103, 127–152. [Google Scholar] [CrossRef]
- Lin, Z.; Li, H.; Fang, C. Accelerated Optimization for Machine Learning; Springer: Singapore, 2020. [Google Scholar]
- Ouyang, Y.; Chen, Y.; Lan, G.; Pasiliao, E., Jr. An accelerated linearized alternating direction method of multipliers. SIAM J. Imaging Sci. 2015, 8, 644–681. [Google Scholar] [CrossRef]
- He, B.; Ma, F.; Yuan, X. Convergence study on the symmetric version of ADMM with larger step sizes. SIAM J. Imaging Sci. 2016, 9, 1467–1501. [Google Scholar] [CrossRef]
- Bai, J.; Hager, W.W.; Zhang, H. An inexact accelerated stochastic ADMM for separable convex optimization. Comput. Optim. Appl. 2022, 81, 479–518. [Google Scholar] [CrossRef]
- Berndt, E.R. The Practice of Econometrics: Classic and Contemporary; Addison-Wesley Pub. Co.: San Francisco, CA, USA, 1991. [Google Scholar]
- Harrison, D., Jr.; Rubinfeld, D.L. Hedonic housing prices and the demand for clean air. J. Environ. Econ. Manag. 1978, 5, 81–102. [Google Scholar] [CrossRef]












| n | p | mse | obj | Iter | Time | |
|---|---|---|---|---|---|---|
| 100 | 109 | 0.5 | 0.0028 | 0.9912 | 189 | 0.023358 |
| 209 | 0.0026 | 0.4000 | 71 | 0.017601 | ||
| 509 | 0.0022 | 0.1675 | 24 | 0.010753 | ||
| 1009 | 0.0021 | 0.1444 | 18 | 0.011368 | ||
| 200 | 209 | 0.0031 | 1.2943 | 262 | 0.032774 | |
| 409 | 0.0026 | 0.3700 | 46 | 0.014811 | ||
| 509 | 0.0026 | 0.3205 | 34 | 0.011893 | ||
| 1009 | 0.0024 | 0.2101 | 22 | 0.011691 | ||
| 100 | 109 | 1 | 0.0030 | 1.1306 | 230 | 0.026888 |
| 209 | 0.0028 | 0.4549 | 76 | 0.015361 | ||
| 509 | 0.0020 | 0.2015 | 25 | 0.010161 | ||
| 1009 | 0.0020 | 0.1735 | 18 | 0.010081 | ||
| 200 | 209 | 0.0039 | 1.6863 | 329 | 0.041064 | |
| 409 | 0.0027 | 0.4233 | 50 | 0.014497 | ||
| 509 | 0.0026 | 0.4001 | 40 | 0.012453 | ||
| 1009 | 0.0025 | 0.2704 | 23 | 0.012234 | ||
| 100 | 109 | 2 | 0.0040 | 1.6747 | 196 | 0.028308 |
| 209 | 0.0033 | 0.5872 | 86 | 0.014744 | ||
| 509 | 0.0023 | 0.3052 | 26 | 0.013412 | ||
| 1009 | 0.0024 | 0.2498 | 20 | 0.010456 | ||
| 200 | 209 | 0.0062 | 2.8058 | 372 | 0.044700 | |
| 409 | 0.0031 | 0.5956 | 56 | 0.015718 | ||
| 509 | 0.0030 | 0.5985 | 46 | 0.012268 | ||
| 1009 | 0.0027 | 0.4011 | 26 | 0.012453 |
| n | p | mse | obj | Iter | Time | |
|---|---|---|---|---|---|---|
| 100 | 109 | 0.5 | 0.0028 | 0.9879 | 189 | 0.020590 |
| 209 | 0.0026 | 0.3958 | 72 | 0.014416 | ||
| 509 | 0.0019 | 0.1626 | 26 | 0.014585 | ||
| 1009 | 0.0019 | 0.1435 | 17 | 0.011211 | ||
| 200 | 209 | 0.0031 | 1.2944 | 262 | 0.035734 | |
| 409 | 0.0026 | 0.3708 | 46 | 0.018151 | ||
| 509 | 0.0026 | 0.3216 | 34 | 0.015442 | ||
| 1009 | 0.0023 | 0.2097 | 19 | 0.012723 | ||
| 100 | 109 | 1 | 0.0030 | 1.1288 | 230 | 0.023713 |
| 209 | 0.0028 | 0.4502 | 77 | 0.014860 | ||
| 509 | 0.0020 | 0.2013 | 24 | 0.013338 | ||
| 1009 | 0.0017 | 0.1718 | 16 | 0.010901 | ||
| 200 | 209 | 0.0039 | 1.6853 | 329 | 0.037359 | |
| 409 | 0.0027 | 0.4133 | 50 | 0.015312 | ||
| 509 | 0.0027 | 0.3881 | 40 | 0.015518 | ||
| 1009 | 0.0024 | 0.2635 | 25 | 0.012891 | ||
| 100 | 109 | 2 | 0.0040 | 1.6727 | 296 | 0.026368 |
| 209 | 0.0032 | 0.5740 | 86 | 0.015204 | ||
| 509 | 0.0023 | 0.2957 | 26 | 0.012608 | ||
| 1009 | 0.0021 | 0.2470 | 19 | 0.011138 | ||
| 200 | 209 | 0.0062 | 2.8041 | 372 | 0.042947 | |
| 409 | 0.0032 | 0.5755 | 56 | 0.016475 | ||
| 509 | 0.0032 | 0.5474 | 53 | 0.015811 | ||
| 1009 | 0.0022 | 0.3819 | 30 | 0.013330 |
| Variable | LADMM | AS-LADMM | ||
|---|---|---|---|---|
| MAE | SE | MAE | SE | |
| CRIM | 1.4785 | 0.0748 | 0.972 | 0.0504 |
| ZN | 1.4809 | 0.0752 | 0.9717 | 0.0549 |
| INDUS | 1.48 | 0.0782 | 0.9712 | 0.0544 |
| CHAS | 1.4474 | 0.0748 | 0.9726 | 0.0563 |
| NOX | 1.5046 | 0.0787 | 0.9612 | 0.0535 |
| RM | 1.5063 | 0.0776 | 0.977 | 0.0549 |
| AGE | 1.4715 | 0.0775 | 0.9649 | 0.0466 |
| DIS | 1.45596 | 0.0748 | 0.97 | 0.0523 |
| RAD | 1.4776 | 0.0746 | 0.9708 | 0.0538 |
| TAX | 1.4552 | 0.0747 | 0.9712 | 0.0524 |
| B | 1.4848 | 0.0752 | 0.9727 | 0.0513 |
| LSTAT | 1.2362 | 0.0598 | 0.8972 | 0.0323 |
Disclaimer/Publisher’s Note: The statements, opinions and data contained in all publications are solely those of the individual author(s) and contributor(s) and not of MDPI and/or the editor(s). MDPI and/or the editor(s) disclaim responsibility for any injury to people or property resulting from any ideas, methods, instructions or products referred to in the content. |
© 2023 by the authors. Licensee MDPI, Basel, Switzerland. This article is an open access article distributed under the terms and conditions of the Creative Commons Attribution (CC BY) license (https://creativecommons.org/licenses/by/4.0/).
Share and Cite
Feng, A.; Chang, X.; Fan, J.; Jin, Z. Application of LADMM and As-LADMM for a High-Dimensional Partially Linear Model. Mathematics 2023, 11, 4220. https://doi.org/10.3390/math11194220
Feng A, Chang X, Fan J, Jin Z. Application of LADMM and As-LADMM for a High-Dimensional Partially Linear Model. Mathematics. 2023; 11(19):4220. https://doi.org/10.3390/math11194220
Chicago/Turabian StyleFeng, Aifen, Xiaogai Chang, Jingya Fan, and Zhengfen Jin. 2023. "Application of LADMM and As-LADMM for a High-Dimensional Partially Linear Model" Mathematics 11, no. 19: 4220. https://doi.org/10.3390/math11194220
APA StyleFeng, A., Chang, X., Fan, J., & Jin, Z. (2023). Application of LADMM and As-LADMM for a High-Dimensional Partially Linear Model. Mathematics, 11(19), 4220. https://doi.org/10.3390/math11194220

