Next Article in Journal
Voiceprint Recognition under Cross-Scenario Conditions Using Perceptual Wavelet Packet Entropy-Guided Efficient-Channel-Attention–Res2Net–Time-Delay-Neural-Network Model
Next Article in Special Issue
Simulation Cognitive Modeling Approach to the Regional Sustainable Complex System Development for Improving Quality of Life
Previous Article in Journal
Research on Short-Term Passenger Flow Prediction of LSTM Rail Transit Based on Wavelet Denoising
Previous Article in Special Issue
Influences of Talent Cultivation and Utilization on the National Human Resource Development System Performance: An International Study Using a Two-Stage Data Envelopment Analysis Model
 
 
Font Type:
Arial Georgia Verdana
Font Size:
Aa Aa Aa
Line Spacing:
Column Width:
Background:
Article

Methodology for Assessing the Risks of Regional Competitiveness Based on the Kolmogorov–Chapman Equations

1
Faculty of Computer Science and Information Technologies, Saratov State University, 83, Astrakhanskaya Str., 410600 Saratov, Russia
2
Faculty of Economics, Saratov State University, 83, Astrakhanskaya Str., 410600 Saratov, Russia
3
Institute of Management in Economic, Environmental and Social Systems, Southern Federal University, 105/42, Bolshaya Sadovaya Str., 344006 Rostov-on-Don, Russia
4
Faculty of Psychology, Pedagogies and Defectology, Don State Technical University, 1, Gagarin Sq., 344000 Rostov-on-Don, Russia
*
Author to whom correspondence should be addressed.
Mathematics 2023, 11(19), 4206; https://doi.org/10.3390/math11194206
Submission received: 29 August 2023 / Revised: 26 September 2023 / Accepted: 7 October 2023 / Published: 9 October 2023

Abstract

The relevance of research on competitiveness at the meso level is related to the contemporary views of a region as an essential element of the economic space. The development of forecasting and analytical methods at the regional level of the economy is a key task in the process of strategic decision making. This article proposes a method of quantitative assessment of the risks of regional competitiveness. The novelty of this approach is based on both a fixed-point risk assessment and scenario-based predictive analysis. A hierarchical structure of indicators of competitiveness of regions is offered. A method based on the Kolmogorov–Chapman equations was used for the predictive estimation of risks of regional competitiveness. The integrated risk assessment is performed using the modified fuzzy ELECTRE II method. A web application has been implemented to assess the risks of competitiveness of Russian regions. The functionality of this application provides the use of multi-criteria decision-making methods based on a fuzzy logic approach to estimate risks at a specified time, calculating the probability of risk events and their combinations in the following periods and visualizing the results. Approbation of the technique was carried out for 78 Russian regions for various scenarios. The analysis of the results obtained provides an opportunity to identify the riskiest factors of regional competitiveness and to distinguish regions with different risk levels.

1. Introduction

One of the core problems of socio-economic development in large federal states in the modern world is the increasing scale of spatial socio-economic differentiation.
In theoretical and practical studies dealing with issues of assessing the competitiveness of regions for the purposes of public administration and economic development regulation, significant attention is paid today to the balance of regional economic systems and the equalization of regional socio-economic conditions.
Spatial aspects of the development of Russian regions are represented by the totality of constituent entities that make up the territory of Russia, differing in terms of natural conditions, the availability of raw materials and minerals, population density, the quality of labor resources, production structures, the state of the social sphere and the financial infrastructure, as well as distance from highly developed industrial and cultural centers, constituting various relations between the center and the periphery.
At the same time, at the current level of economic development, it is impossible to equalize all regions, since the influence of internal and external environmental factors is not amenable to government regulation. It is impossible to analyze the dynamics of a country’s economic development if we consider regions to be homogeneous units that have the same impact on the economy and that require the same managerial influences and financing according to the same algorithms.
The unevenness and heterogeneity, in particular, of Russian regions are due to the large-scale, complex nature of the geographical space and natural and climatic resources, as well as the historically established territorial locations of economic growth points (industry and mining) in the central regions and in the Urals, agriculture in the south of the country, and mineral deposits in the north.
In this context, the problem of assessing the competitiveness of regions requires a detailed analysis to take into account all these factors by government authorities when forming economic policy.
The competitiveness of regions is seen not only as a way to identify relative differences in the pace of socio-economic development but also as an opportunity to shape the trajectories of regions’ economic development.
The concept of competitiveness at the meso level suggests different approaches to measuring regional competitiveness, allowing it to be related to the factors underlying regional development [1,2,3]. A common method for quantifying the competitiveness of regions is rating based on a certain set of factors [4]. Based on this approach, international [5,6,7] and domestic ratings of regions [8] are formed.
However, the use of mathematical modeling and relevant intellectual methods for the quantitative assessment of competitiveness risks at the regional level remains a debatable issue. To form an integral assessment of complex regional systems, the frequently used methods of weighted summation are not enough. In this case, it is necessary to take into account the complex dynamic nature of the interaction of competitiveness factors.
Traditional risk analysis consists of quantitative and qualitative analysis methods. An important advantage of quantitative analysis methods is increasing the objectivity of the risk assessment process in complex multifactor systems. The main methods of quantitative risk assessment include scenario analysis, decision tree risk analysis, sensitivity analysis, and the Monte Carlo method. However, the use of these methods is focused on the relative cost of the consequences of risks and requires preliminary probabilistic risk assessments.
The authors propose the use of a hybrid technique using a complex structure similar to Fault Tree Analysis (FTA) for interrelated risk factors of various types. This will make it possible to perform a predictive analysis of the risk impact on the competitiveness of regions. In this methodology, fuzzy models provide the ability to use qualitative assessments of risk factors under uncertainty.
The notion of competitiveness at the country level dominates the studies in the context of the Porter thesis [9] that countries, like companies, compete in international markets for their fair share. The concept is based on studies from ten countries and argues that the key to national wealth and competitive advantage is the collective productivity of enterprises. National and regional environments support this performance. The Diamond Framework combines horizontal and vertical integration. The horizontal aspect is formed by the threat of substituting products or services, the threat of established competitors, and the threat of new entrants. Crossing the vertical occurs through the forces of suppliers and customers who can achieve a change in the business environment in their favor.
There are two principal approaches: the management school, which supports the notion of country-level competitiveness, and the economic school, which ignores Porter’s notion of country-level competitiveness. Representatives of the management school believe that Porter’s work, structured by the concept of competitiveness, explained the international competitiveness of countries for the first time and made it possible to create a multi-level theory that connects enterprises, industries, and nations [10]. Some authors claim that Porter’s theory looks very plausible but believe that this theory has never been thoroughly tested [11].
Representatives of this approach put forward the statement that it is necessary to create a partnership between the government and businesses to develop a competitive advantage for a country. Based on early works proving that the products produced in a country are of decisive importance for competitiveness [12], the authors of several works [13,14,15] show that the manufacturing sector is the engine of a country’s competitiveness growth.
Researchers are actively looking for new approaches, which are mostly based on well-known models, such as, for example, the Leontiev model [16], a system of meso levels and integral indicators [17], data analysis by classical statistical methods [18], the development of neural network models [19], the Cobb–Douglas model [20], and methods for assessing innovation potential as the sum of the average values of the statistical values of monitored indicators [21]. To predict the integral indicator of regional competitiveness, models based on the logistic equation are used [22]. Fuzzy logic methods are also used for the development of an economic and mathematical model for assessing the level of food security, taking into account import substitution [23].
Analysis of competitiveness studies based on the system dynamics model shows that this methodology is used as a unifying approach to show how several theories about the productivity of territories developed over the past 20 years can be integrated [24]. The study in [25] brings together ideas of knowledge management, strategic management, as well as theories of social networks, social identity, and social exchange, to provide a comprehensive understanding of socio-political dynamics. In particular, it is argued that the competitiveness of regional clusters may be threatened by the development of heterogeneous macrocultures, unequal social identities, power imbalances, market rationalization, lack of non-trade interdependencies, and overwhelming negative externalities. However, the study lacks methods of mathematical modeling and forecasting; it is of a controversial nature. The model links the development of market shares at home and abroad with three sets of factors: the ability to compete in technology, the ability to compete in the supply (capacity), and the ability to compete in terms of prices [26]. In this work, a system of differential equations is built, and the main factors of competitiveness are technology and logistics. The study in [27] focuses on national competitiveness and the sustainable integration of catching-up economies. The authors argue that for catching-up economies with limited economic and technological capabilities, internationalization plays a particularly important role in developing long-term competitiveness. Different methods of analysis are used, e.g., a generalized double diamond model or a game theory approach.
Most often, the Kolmogorov–Chapman equations are used to solve practical problems of analyzing the states of technical systems. However, Markov models are used for dynamic modeling in the fields of economics and finance. Numerical solutions based on the Kolmogorov–Chapman equations allow us to obtain an effective solution in many cases. To analyze changes in the price of an asset, it is proposed to use statistical dynamics methods.
The change in the price of an asset as a stochastic process can be represented by the Kolmogorov–Chapman integral equation, assuming that the process is Markovian [28].
To assess the risks associated with securities, a numerical solution is used with the Kolmogorov–Chapman equations [29]. An alternative model for assessing credit and financial risk using two-state Markov chains applies stochastic processes to account for uncertainty in market conditions [30]. Aggregative models using hidden Markov chains are used to dynamically assess the business climate and industry characteristics [31].
For example, Markov chains have been applied to the analysis of socio-economic processes to model refugee crises, with a focus on the local migration of people at the regional level [32].
The theory of Markov processes is applied in the literature on economic income forecasting but imposes limitations on the process of data generation. The study in [33], based on an analysis of incomes in 48 bordering states of the U.S. from 1929 to 2000, shows that the process is not a Markov one. However, this is too long a period to match the mathematical model to real objects. Obvious social upheavals, such as the Second World War, cannot be factored into such a model. It is believed that the application of Markov models is possible for relatively short periods of stable development of the socio-economic system.
An empirical analysis of the development of Italian regions for the period of 1952–1995 was carried out using the Markov chain approach [34]. Approaches, methods, and algorithms using the concept of Markov models for assessing the risks of loss of competitiveness with various scenarios in the example of Russian regions have been further developed [35,36,37].
The purpose of this study is to systematize the research results accumulated by the authors and to develop methods and algorithms for assessing the dynamics of regional competitiveness, taking into account a complex of social and economic factors. The practical significance of the study is to provide diagnostics of the level of risks of competitiveness of socio-economic systems in the example of Russian regions.
The novelty of the proposed technique consists of constructing a mathematical model based on the resulting causal graph of indicators and its minimal cut set. As a result, it is possible to perform a scenario analysis of the impact of various risk factors on the competitiveness of regions, to identify reference objects, and to analyze the sustainability of the development of the region from the point of view of its competitiveness.
The practical results of the proposed methodology should include the use of competitiveness risk assessment based on a hierarchical system of indicators for analyzing and forecasting the development of the region. A quantitative assessment of competitiveness risks will significantly improve the efficiency and quality of regional competitiveness management. Thus, the information basis will be provided for the development of an intelligent information system for scenario assessment of the risks of the region’s competitiveness. The developed application can be effectively used in strategic planning and the substantiation of decisions to improve the competitiveness of the region and will allow for monitoring and assessing the level of regional competitiveness over time and in comparison with other regions. On this basis, proposals can be formed to improve the management of socio-economic activities of the regions, aimed at modernizing and diversifying the regional economy.
The present article is organized as follows. The introduction presents a theoretical review of the literature and the main objectives of the study. Section 2 describes the main models and methods used in the competitiveness risk assessment methodology. Section 3 contains a description of the data and the empirical results of the modeling steps. Section 4 presents a discussion of the results.

2. Materials and Methods

2.1. Applications of Kolmogorov–Chapman Equations

The information and analytical base of the study is formed based on available open sources of information, the collection of additional information to identify possible strategies to increase the competitiveness of regions, and the identification of risks associated with maintaining and developing regional competitiveness [35,36]. Data from open [38,39] and commercial sources [40] were used.
Solving the problem of mathematical modeling of the dynamics of the competitiveness risks of the region presents significant difficulties due to the presence of a large number of factors and complex causal relationships between them. Therefore, a new approach is used to solve the problem. Based on the decomposition of separate key factors in the current conditions, it allows us to obtain the required solution [41,42].
In the process of modeling for the construction of a causal graph for the evaluation of competitiveness risks, a set of indicators of socio-economic development has been proposed, which are actively used in studies of regional competitiveness. The root level of the tree corresponds to an integral assessment of regional competitiveness. At the next level of the hierarchy, two categories of indicators are distinguished, namely, transaction and transformation factors. Allocation of the category of transaction and transformational indicators for the identification of competitiveness risk factors is a distinctive feature of the study of regional competitiveness.
The applied method of forming the event tree makes it possible to identify semantically connected groups of indicators. An assessment of the development of the transactional sector is necessary for a systemic analysis of regional competitiveness, without which the long-term progress of the region is difficult. As transformational indicators at the next level of the event tree, technical, social, and natural resource risk indicators are specified. The category of transaction indicators includes institution, information, and innovation indicators of competitiveness risks. Leaf vertices of graphs correspond to risk factors of regional competitiveness.
Based on the statistical analysis of the initial data obtained from open and commercial information systems, causal tree graphs were formed. Such graphs model the scheme of interconnections of structural elements and events.
Individual risk factors for regional competitiveness in the tree of causal relationships represent types of impacts. The identified factors associated with the failures of individual system elements form a path (scenario variant) graph from the prerequisites of the undesirable event. The tree uses elementary blocks (logic operations and event symbols) that link individual events. The groups of interrelated indicators are combined by logical operations of conjunction and disjunction into synthetic indicators of consequences.
Tree analysis involves finding minimal cuts of events that determine the possibility of failure of the system as a whole. For the graph, possible combinations of critical events are identified that form fragments of the graph for the implementation of the root event (loss of competitiveness of the region).
The minimal cut is the set of leaf vertices of the causal graph, united on the basis of binary relations, and forming a subgraph of the causal graph, leading to the implementation of the root event. For each minimal cut, the states of the regional socio-economic system are identified, corresponding to various combinations of critical events that determine the risks of the region’s competitiveness. Then, a network structure of possible transitions between these states is built. For the resulting structure of possible states, the corresponding system of Kolmogorov–Chapman differential equations is determined [35]. As a result of solving the system of differential equations by numerical methods, it is possible to determine the probabilities of risk realization in the nodes of the state graph at given points in time.
For a minimal cut of dimension m, the set S of system states contains s = 2m − 1 elements. In matrix form, the corresponding system of equations has the following form:
d P i ( t ) d t = G · P 0 t P 1 t P s t ,
where P i ( t ) is the probability that system elements are in state i at time t, and G = { g i j } is an infinitesimal transition matrix whose size is ( s + 1 ) × ( s + 1 ) . The matrix G is formed on the basis of the state graph.
For each i-th state, i = 0, …, s, it is necessary to compose a differential equation:
d P i ( t ) d t = k = 0 s g k i P k t k = 0 s g i k P i ( t ) ,
where the elements gij of the matrix G correspond to the probabilities of transition from state i to state j. The diagonal element is   g i i = k , k i g i k , i = 0, …, s.
In the given study, the transition matrix G is formed on the basis of the Poisson parameters for the implementation of events corresponding to the elements of the minimal cut: dr is the level of risks, lr is the level of control impact for individual indicators, r = 1, …, m.
For example, for the minimal cut with 5 elements, the system of Kolmogorov–Chapman equations is:
d P r 0 ( t ) d t = ( l 1 l 2 l 3 l 4 l 5 ) P r 0 ( t ) + d 1 P r 1 ( t ) + d 2 P r 2 ( t ) + d 3 P r 3 ( t ) + d 4 P r 4 ( t ) + d 5 P r 5 ( t )
d P r 1 ( t ) d t = l 1 P r 0 t + d 1 d 2 d 3 d 4 d 5 P r 1 t + d 2 P r 6 t + d 3 P r 7 t + d 4 P r 8 t + d 5 P r 9 t
d P r 2 ( t ) d t = l 2 P r 0 ( t ) + d 3 P r 10 ( t ) + d 4 P r 11 ( t ) + d 5 P r 12 ( t ) + ( d 2 l 1 l 3 l 4 l 5 ) P r 2 ( t ) + d 1 P r 6 ( t )
d P r 31 ( t ) d t = l 5 P r 26 t + l 4 P r 27 t + l 3 P r 28 t + l 2 P r 29 t + l 1 P r 30 t + d 1 d 2 d 3 d 4 d 5 P r 31 t
This method reduces the size of the equation system and reduces the time for numerical solutions for different combinations of loss risks of competitiveness.

2.2. Applying Multi-Criteria Evaluation Method Fuzzy ELECTRE II

Multi-criteria decision methods (MMDM) are methods whose purpose is to rank different decision options. Ultimately, it is necessary to identify and prioritize the available solutions. Analysis in some algorithms includes the modification of a matrix of comparisons of decision options and criteria. Decision options should be ranked taking into account the significance of the criteria.
Multi-criteria decision-making methods are actively evolving and are widely used in various application areas. AHP, ANP, SMART, MACBETH, TOPSIS, ELECTRE, PROMETHEE, NAIADE, ORESTE, REGIME, ARGUS, TACTIC, MELCHIOR, and PAMSSEM methods provide a variety of approaches to selecting effective alternatives. This is especially noticeable in economic research [43]. For a long time, the focus has been on methods based on the relational concept, taking into account outranking relations. Such methods traditionally include ELECTRE. A significant feature of the methods from the ELECTRE group is that they are not based on classical utility theory; they use relative valuations of alternatives. Binary relations of dominance are built on a multitude of alternatives. The ELECTRE II method uses consistency and inconsistency indices, and there are several levels for these indices. This method ranks alternatives based on threshold levels of consistency and inconsistency.
The mathematical theory of optimization has created a set of methods that help, with computer support, to effectively make decisions with fixed and known parameters that characterize the process under study, as well as in the case when the parameters are random variables. However, the main difficulties arise when the parameters turn out to be indeterminate, and when, at the same time, they strongly influence the results of the solution. Approximate—but at the same time, effective—ways of analyzing complex, poorly formalized systems that cannot be accurately described quantitatively rely on the use of linguistic variables and fuzzy algorithms (fuzzy AHP, fuzzy ELECTRE, fuzzy VIKOR, fuzzy MACBETH, fuzzy TOPSIS, fuzzy PROMETHEE, and their various modifications) [44].
The fuzzy ELECTRE II method allows for using not only quantitative but also qualitative criteria values, using fuzzy numbers to make accurate and consistent decisions to reduce the subjectivity of the assessment [45,46]. The standard fuzzy ELECTRE II algorithm uses one metric when evaluating alternatives, such as Euclidean distance or Hamming distance. The choice of metric when ranking alternatives is essential to this approach. The proposed ranking algorithm uses various metrics (Euclidean, Hamming, Manhattan, Hausdorff, Bray–Curtis, Tanimoto–Jaccard, Zhuravlev) [37]. The final rating is based on the results obtained for individual metrics.

2.3. Development of an Application for the Implementation of a Comprehensive Methodology of the Risk Assessment Methodology

A systemic multifactorial assessment of competitiveness risks takes into account the specifics of regional statistics open data. The functional capabilities of the application include working with two models: an algorithm based on multi-criteria decision-making methods (MMDM) and a method based on the Kolmogorov–Chapman equations. The implemented approach is shown in Figure 1.
For the first model, the functionality includes generating a list of regions and evaluation criteria, ranking regions using the modified fuzzy ELECTRE II method, and presenting the result as a ranked list of regions. For the second method, the minimal cut set of the causal graph is selected. The implementation of the leaf vertices is guaranteed to lead to the occurrence of an event that is the vertex of the graph—the loss of competitiveness of the region. Then, the levels of risks and control actions are introduced for the synthetic vertices of the cause-and-effect graph. These vertices are introduced to create a systemic hierarchical structure that is being investigated. The time interval is set to be limited to scenario modeling of the probability of risks for individual indicators. The solution for the resulting system of differential equations is carried out by numerical methods, namely, the Runge–Kutta method with automatic step adjustment. The application allows for displaying probability graphs for critical events and their combinations over a specified period.
The web application was developed on the Python platform with an extended set of libraries (Itertools, Matplotlib, PyPlot, Math, NumPy, SciPy, Tkinter). The Python programming language was chosen since there is a wide range of tools, including modules for implementing various mathematical models and methods, as well as visualization tools. The object-relational database management system PostgreSQL was used. PostgreSQL has a rich ecosystem of tools available, allowing it to be used in a variety of scenarios. The Django framework was used to implement a scalable web application, and the Bootstrap framework was chosen for front-end development.

3. Results

3.1. Data Collection

The choice of factors for assessing the dynamics of competitiveness risks involves the inclusion of a large number of different socio-economic indicators of competitiveness that allow for the comprehensive coverage of such a complex object as a region. At the same time, it was necessary to take into account the availability of relevant statistical data in open sources. Based on the analysis of existing works on regional competitiveness, a set of indicators was proposed that relates to all aspects of regional competitiveness, taking into account the specifics of national statistics [36]. Our indicators correspond to those of other existing studies but differ in hierarchical structure. This made it possible to take into account the complex interrelation of risk factors affecting the competitiveness of regions. This provides a more complete and accurate system and allows for a broader and more complex analysis of current and future situations.
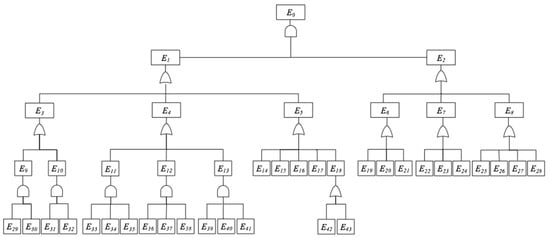
For a systematic analysis of competitiveness risks at the regional level, such a hierarchical structure of factors is proposed (Figure 2): regional competitiveness (E0); transformational (E1), transactional (E2), technical (E3), and social factors (E4); natural resources (E5); institutional (E6), informational (E7), and innovative factors (E8). At the next level, an extended set of indicators is applied: the use of fixed assets (E9); the development of transport infrastructure (E10); population income level (E11); demographics (E12); quality of life (E13); mining (E14); the area of agricultural land (E15); endowment with forest resources (E16); electricity generation (E17); environmental issues (E18); the share of unprofitable organizations (E19); the level of taxation (E20); unfair competition (E21); the number of personal computers (E22); use of the Internet in organizations (E23); the use of electronic document management systems in organizations (E24); research and development personnel (E25); internal spending on research and development (E26); the costs of innovative activities of organizations (E27); the volume of innovative goods (E28); the cost of fixed assets (E29); the degree of depreciation of fixed assets (E30); railway track density (E31); the density of paved roads (E32); per capita cash income (E33); population with incomes below the subsistence level (E34); the number of officially unemployed (E35); life expectancy (E36); the coefficient of natural population growth (E37); the migration gain coefficient (E38); improvement of living conditions of the population (E39); the number of physicians per 10,000 people (E40); the number of reported crimes (E41); the emissions of polluting products (E42); the discharge of polluted wastewater into water bodies (E43).
To construct the model, the study proposes an extended set of 29 indicators of regional statistics, providing a systemic multifactorial assessment of competitiveness risks of Russian regions.
In the process of testing the developed application for assessing regional competitiveness, minimal cuts s 1 and s 2 were considered: E 19 E 20 E 21 E 28 E 30 , E 25 E 26 E 27 E 29 E 30 . Minimal cut E 19 E 20 E 21 E 28 E 30 includes material and technical risk factors: the share of unprofitable organizations ( E 19 ); the level of taxation ( E 20 ); unfair competition ( E 21 ); the volume of innovative goods ( E 28 ); the degree of depreciation of fixed assets ( E 30 ). Minimal cut E 25 E 26 E 27 E 29 E 30   allows for evaluating economic risk factors such as the number of personnel involved in research and development ( E 25 ); internal costs for research and development ( E 26 ); costs of innovative activities of organizations ( E 27 ); and the degree of depreciation of fixed assets ( E 30 ).
The values of the indicators are available in the open regional statistics [38,39] for 2020. The data standardization procedure was carried out as part of the risk analysis, taking into account the direction of the factor (an increase in the value of the indicator increases the risk of competitiveness or helps to reduce the associated risks). For quantitative inputs, the data were normalized using the minimax method. In the process of applying the multi-criteria method, the values of indicators of the competitiveness risk of regions were discretized.

3.2. Estimation Based on the Kolmogorov–Chapman Equations

As a result of the application of the developed application modules, the probabilities of critical combinations of risk events for Russian regions were estimated using a model based on the Kolmogorov–Chapman equations. As an example, consider the results of modeling the dynamics of competitiveness risks for four regions (Republic of Adygea, Republic of Bashkortostan, Nizhny Novgorod Region, Tomsk Region).
For scenario modeling, in this case, we proposed the minimal cuts E 19 E 20 E 21 E 28 E 30 and E 25 E 26 E 27 E 29 E 30 . For the indicated five-element cuts, the probabilities P r i t , i = 0 , , 31 for t 2 were calculated. The studied scenarios correspond to significantly different combinations of sets of crisis impacts and corresponding risk countermeasures. In this case, for E 19 E 20 E 21 E 28 E 30 , the following values of the algorithm parameters based on the Kolmogorov–Chapman equations were used: l 1 = 0.004 ;   l 2 = 0.04 ;   l 3 = 0.06 ;   l 4 = 0.2 ;   l 5 = 0.001 ; d 1 = 0.8 ;   d 2 = 0.5 ;   d 3 = 0.6 ;   d 4 = 0.7 ;   d 5 = 0.7 . Such a scenario corresponds to a low intensity of crisis impacts and a high intensity of parrying impacts on these risk factors.
For the minimal cut E 25 E 26 E 27 E 29 E 30 , the following parameter values are applied: l 1 = 0.1 ;   l 2 = 0.3 ;   l 3 = 0.2 ;   l 4 = 0.2 ;   l 5 = 0.001 ; d 1 = 0.03 ;   d 2 = 0.5 ;   d 3 = 0.5 ;   d 4 = 0.3 ;   d 5 = 0.6 . Such a scenario corresponds to a low intensity of crisis impacts and an average intensity of parrying impacts on these risk factors.
In the first case, critical events are associated with the risks of worsening indicators E 19 ,   E 20 ,     E 21 ,     E 28 ,   E 30 ; possibility value P r 0 t   corresponds the situation when none of the specified events occurs; P r 1 t ,     P r 2 t ,   P r 3 t ,   P r 4 t ,   P r 5 ( t ) are the possibilities of events related to the deterioration of indicators E 19 ,   E 20 ,     E 21 ,     E 28 ,   E 30 , respectively; P r 6 t ,     P r 7 t ,   ,   P r 24 ( t ) are the possibilities of events occurring that are related to the deterioration of pairs of various indicators; P r 26 t ,   P r 27 t ,   ,   P r 30 ( t ) are the possibilities of events occurring that are related to the deterioration of combinations of three different indicators; P r 31 ( t ) is the possibility of the event that occurs with the deterioration of all indicators E 19 ,   E 20 ,     E 21 ,     E 28 ,   E 30 . The visualization of the constructed dynamic model is presented below (Figure 3). The diagram shows the values P r i t ,   i = 0 , , 5 for the four regions under study.
In the second case, for the minimal cut E 25 E 26 E 27 E 29 E 30 , critical events are associated with the risks of deterioration in indicators E 25 ,   E 26 ,   E 27 ,   E 29 ,   E 30 .  Pr0(t) corresponds to individual states of the regional system—none of these events occurs. P r 1 t ,   P r 2 t ,   P r 3 t ,   P r 4 t ,   P r 5 ( t ) are the possibilities of events related to the deterioration of indicators E 25 ,   E 26 ,   E 27 ,   E 29 ,   E 30 , respectively; P r 6 t ,   P r 7 t ,   ,   P r 24 ( t ) are the possibilities of events occurring that are related to the deterioration of pairs of various indicators; P r 26 t ,     P r 27 t ,   ,   P r 30 ( t ) are the possibilities of events occurring that are related to the deterioration of combinations of three different indicators; P r 31 ( t ) is the possibility that an event is associated with the deterioration of all indicators E 25 ,   E 26 ,   E 27 ,   E 29 ,   E 30 . For the minimal cut E 25 E 26 E 27 E 29 E 30 , the diagram shows the values P r i t ,   i = 0 , , 5 for the four indicated regions (Figure 4).
The study examined 78 regions of the Russian Federation, taking into account the available data on selected sets of indicators. In addition, Moscow is not included in the list of regions, because this subject of the Russian Federation, according to most of these indicators, is a clear outlier.
For a comprehensive risk assessment of the regions, the average values M and the standard error SE according to the calculated data for individual competitiveness factors are used. As an example, the estimates obtained for the risk factors included in the section E 19 E 20 E 21 E 28 E 30 (Figure 5) and E 25 E 26 E 27 E 29 E 30 (Figure 6) are presented.
Analysis of the scenario per the factors from the minimal cut E 19 E 20 E 21 E 28 E 30 allows us to identify E 28 as the riskiest factor. In the case of a predictive assessment of competitiveness risk factors by the minimal cut E 25 E 26 E 27 E 29 E 30 , the large value of E 25 indicates that the greatest risks of regional competitiveness are associated with this factor.

3.3. Results of Applying the Method ELECTRE II

The application of MMDM fuzzy ELECTRE II with the help of the presented application ensures the ranking of regions by the level of risks of competitiveness for 2020. Two examples of scenarios for analyzing the risks of regional competitiveness following the minimal cut are considered: E 19 E 20 E 21 E 28 E 30 and E 25 E 26 E 27 E 29 E 30 . Table 1 shows the results of assessing the models for the quantitative risk assessment of regional competitiveness at a fixed point in time (2020).
The leaders of the rating (Table 1), such as the Moscow Region, Samara Region, Novosibirsk Region, St. Petersburg, Rostov Region, the Republic of Tatarstan, Irkutsk Region, Vladimir Region, etc., are stable leading regions with the most efficient regional economies formed in the largest agglomerations, with leading research and innovation centers. These are large financial and industrial centers, as well as regions of raw materials. Historically, these regions have had geographical and administrative advantages, and as a result, they are territorial locations of industrial production, they have developed research clusters, and they also have an innovative infrastructure. Being large donor regions, these regions consolidate significant financial resources that are invested in innovations and technological developments.
The outsider regions of the list, such as the Republic of Adygea, the Republic of Kalmykia, Kurgan Region, Nenets Autonomous Territory, the Republic of Khakassia, the Republic of Mari El, and the Republic of Ingushetia, are geographically small regions with a low degree of industrialization and a predominance of the agricultural sector.
The distribution of regions based on the MMDM by the risk level is presented for the cut set E 19 E 20 E 21 E 28 E 30 (Figure 7) and the cut set E 25 E 26 E 27 E 29 E 30 (Figure 8). For the studied list of regions, the analysis of risk factors E 19 ,   E 20 ,   E 21 ,   E 28 ,   E 30 shows that 32% of regions have a high level of competitiveness risks.
For risk factors E 25 ,   E 26 ,   E 27 ,   E 29 ,   E 30 , 40% of regions have a low level of competitiveness risks.
Thus, the analysis of the totality of regions shows that the set of indicators E 25 ,   E 26 ,   E 27 ,   E 29 , E 30 , associated with innovative factors, represents more probable risks of regional competitiveness than E 19 ,   E 20 ,   E 21 ,   E 28 ,   E 30 .
As a result of the analysis of the obtained quantitative estimates, an idea is formed about the level of risks for individual factors of competitiveness at the regional level; regions with different levels of risks are identified to support strategic decision making.

4. Discussion and Conclusions

There are no generally accepted methods for assessing competitiveness risks for complex socio-economic systems at the regional level. Many researchers present methods for systematizing empirical data and analyzing their dynamics using the Kolmogorov–Chapman equations [47,48]. However, this approach has been used to assess risks in technical systems.
This article proposes an integrated approach for assessing and predicting the risks of complex socio-economic systems at the regional level based on the Kolmogorov–Chapman equations. The causal graph of competitiveness risk indicators has leaf vertices obtained from statistical data [5,6,38,39,49]. When systematizing the data, technical, social, natural resource, institutional, informational, and innovative synthetic nodes for groups of indicators were introduced. Higher levels of data systematization in the analysis include synthetic nodes of logical links for groups of transactional and transformational indicators. To reduce the high dimensionality of the state graph, minimal cut sets are used, representing groups of events, the confluence of which leads to the implementation of the root integral vertex, corresponding to the risk of losing the competitiveness of the region.
For the actual task of ranking regions according to the level of competitiveness, it is proposed to apply multi-criteria decision-making methods based on fuzzy logic. The modified fuzzy ELECTRE II method is proposed as a toolkit. The following metrics were used in the evaluation process: Euclidean, Hamming, Hausdorff, Tonimoto–Jaccard, Zhuravlev, Manhattan, and Bray–Curtis. The final rating was based on the results obtained for individual metrics. An integrated assessment of competitiveness factors with the help of MMDM provides the calculation of an integral indicator for various periods, ranking regions, and analysis of the dynamics of regional competitiveness.
The assessment of the competitive potential of regions and the application of appropriate control actions require relevant methods that increase the objectivity of decisions made under conditions of risk and uncertainty. The use of MMDM provides for both quantitative and qualitative assessment of the studied risk factors. Possible combinations of various risks and countermeasures are associated with the consideration of a significant number of different scenarios, which leads to the need to use special software.
To implement the ability to calculate an integrated assessment of the innovative competitiveness of regions, using the example of the regions of the Russian Federation, a set of problem-oriented programs has been developed. The development was carried out on the Python 3.8.3 platform using the PostgreSQL database management system. The software product implements the methodology presented in this research.
For comparison, 78 regions of the Russian Federation were used, for which data for 2020 are presented in open sources. The resulting final scores and the dynamics of competitiveness make it possible to identify the leading regions in terms of selected risk factors.
The applied significance of the study consists of the possibility to use a modern assessment of the dynamics and the potential of regional development to determine the priorities of public administration in order to increase the competitiveness of regional entities.
This article presents models for analyzing scenarios for the dynamics of regional competitiveness risks based on the Kolmogorov–Chapman system of equations. Analysis of socio-economic systems based on these equations is possible only on a limited time scale. The applied models cannot take into account the possibility of the cross-influence of indicators on each other. At the same time, the demand for the development of principles for managing complex systems is high [50].
Further development of methods for assessing the risks of regional competitiveness based on mathematical modeling using statistical data is permissible by developing models taking into account the mutual influence of indicators. In subsequent works, it is intended that each indicator obtained on the basis of the results of official statistics be presented as a node in a network of interrelated indicators. Then, it is possible to create structures such as the quantum-like states described in [30].
Such methods of processing statistical data will make it possible to obtain results of the modeling of economic processes that are qualitatively different from those used in modern research, taking into account both internal interactions and the ability to study non-stationary changes in socio-economic processes.
As a direction for further research, it is necessary to indicate the expansion of the information base of the study by including current time periods, taking into account the possibility of obtaining additional initial data necessary for assessing various aspects of regional competitiveness. In addition, various scenarios should be considered within the framework of dynamic modeling of regional development risks from the point of view of their competitiveness, which will increase the objectivity and efficiency of strategic decision making to increase competitiveness.

Author Contributions

Conceptualization, G.C. and I.V.; Methodology, G.C. and I.V.; Software, G.C.; Validation, G.C., A.F., E.L.M. and E.A.M.; Formal analysis, G.C., I.V., A.F. and E.L.M.; Investigation, G.C., I.V., A.F. and E.L.M.; Resources, G.C., A.F. and E.L.M.; Data curation, A.F. and E.L.M.; Writing—original draft preparation, G.C. and I.V.; Writing—review and editing, G.C., I.V. and E.A.M.; Visualization, G.C., A.F., E.L.M. and E.A.M.; Supervision, G.C.; Project administration, G.C. and I.V.; Funding acquisition, I.V. All authors have read and agreed to the published version of the manuscript.

Funding

The research was funded by RFBR, grant number 20-010-00465.

Data Availability Statement

Conflicts of Interest

The authors declare no conflict of interest.

References

  1. Bristow, G. Critical Reflections on Regional Competitiveness: Theory, Policy, Practice; Routledge: London, UK, 2010; Volume 31. [Google Scholar]
  2. Camagni, R. On the concept of territorial competitiveness: Sound or misleading? In Seminal Studies in Regional and Urban Economics: Contributions from an Impressive Mind; Springer: Cham, Switzerland, 2017; pp. 93–113. [Google Scholar]
  3. Huggins, R.; Izushi, H.; Thompson, P. Regional competitiveness: Theories and methodologies for empirical analysis. J. CENTRUM Cathedra Bus. Econ. Res. J. 2013, 6, 155–172. [Google Scholar] [CrossRef]
  4. Grinchel, B.M.; Nazarova, E.A. Methods for Assessing the Competitive Attractiveness of Regions: Monograph; GUAP: St. Petersburg, Russia, 2014; 244p. [Google Scholar]
  5. Regional Competitiveness Index. Available online: https://cohesiondata.ec.europa.eu/stories/s/Regional-Competitiveness-Index-2019/363v-4uq6 (accessed on 20 March 2022).
  6. Global Sustainable Competitiveness Index. Available online: https://solability.com/global-sustainable-competitiveness-index/the-global-sustainable-competitiveness-index-2021 (accessed on 20 March 2022).
  7. Huggins, R.; Izushi, H.; Prokop, D.; Thompson, P. The Global Competitiveness of Regions; Routledge: London, UK, 2014; 244p. [Google Scholar]
  8. AV RCI-2020. Available online: http://lc-av.ru/wp-content/uploads/2020/05/AV-RCI-2020-alfa-200219.pdf (accessed on 20 March 2022).
  9. Porter, M.E. The Competitive Advantage of Nations; Free Press, MacMillan: New York, NY, USA, 1990. [Google Scholar]
  10. Peng, M.W. Global Business. 2022. Available online: https://books.google.ru/books?hl=ru&lr=&id=GhldEAAAQBAJ&oi=fnd&pg=PP1&dq=Peng,+2009.+Global+Business.+&ots=YtkeTGqwse&sig=6O-rXHgTqzLdGG-7VEa2LyIq9rk&redir_esc=y#v=onepage&q=Peng%2C%202009.%20Global%20Business.&f=false (accessed on 20 May 2023).
  11. Hill, C.W.L. International Business: Competing in the Global Market Place; McGraw-Hill Irwin: New York, NY, USA, 2009. [Google Scholar]
  12. List, F. Das Nationale System der Politischen Ökonomie; Baden-Baden 2008 Monographien der List Gesellschaft e.V., Neue Folge; Nomos: Glashütte, Germany, 2008; Volume 25, p. 394. [Google Scholar]
  13. Prebisch, R. El desarrollo económico de la América Latina y algunos de sus principales problemas. Desarro. Econ. 1986, 26, 479–502. [Google Scholar] [CrossRef]
  14. Hirschman, A.O. The Strategy of Economic Development; Yale University Press: New Haven, CT, USA, 1958. [Google Scholar]
  15. Szirmai, A. Industrialisation as an engine of growth in developing countries, 1950–2005. Struct. Chang. Econ. Dyn. 2012, 23, 406–420. [Google Scholar] [CrossRef]
  16. Butrova, E.V.; Medennikov, V.I. The System of Evaluation Principles for the Economic Effects of Earth Remote Sensing Data Application for Solution of the Problems in Various Economy Branches. J. Environ. Manag. Tour. 2019, 10, 1105–1111. [Google Scholar] [CrossRef]
  17. Alekseeva, V. Integral multi-criteria evaluation of construction sector competitiveness. Econ. Ann.-XXI 2016, 157, 109–111. [Google Scholar] [CrossRef]
  18. Bludova, T.; Savchuk, N. Modelling the Economic Security of Regional External Trade Flows. Balt. J. Econ. Stud. 2017, 3, 19–24. [Google Scholar] [CrossRef][Green Version]
  19. Antipov, S.K.; Bocharov, A.A.; Kobicheva, A.; Krasnozhenova, E.E. Assessment of Region Economic Development on the Basis of Neural Network Model. IOP Conf. Ser. Earth Environ. Sci. 2019, 302, 012094. [Google Scholar] [CrossRef]
  20. Bondarenko, Y.V.; Sviridova, T.A.; Averina, T.A. Aggregated multi-criteria model of enterprise management engineering, taking into account the social priorities of the region. IOP Conf. Ser. Mater. Sci. Eng. 2019, 537, 042045. [Google Scholar] [CrossRef]
  21. Rudskaya, I.A.; Rodionov, D.G. Comprehensive evaluation of Russian regional innovation system performance using a two-stage econometric model. Rev. Espac. 2018, 39, 40. [Google Scholar]
  22. Gagarina, G.Y.; Moiseev, N.A.; Ryzhakova, A.V.; Ryzhakov, G.V. Estimation and forecast of regional competitiveness level. Ekon. Reg. 2016, 12, 1040–1049. [Google Scholar] [CrossRef]
  23. Rogachev, A. Economic and Mathematical Modeling of Food Security Level in View of Import Substitution. Asian Soc. Sci. 2015, 11, 178. [Google Scholar] [CrossRef]
  24. Fratesi, U.; Balducci, R.; Crivellini, M.; Gallegati, M.; Niccoli, A.; Zazzaro, A. Regional Economies, Innovation and Competitiveness in a System Dynamics Representation; Universita degli Studi di Ancona, Dipartimento di Economia: Ancona, Italy, 2004. [Google Scholar]
  25. Lang, J.C. Cluster Competitiveness: The Six Negative Forces. J. Bus. Manag. 2009, 15, 73–93. [Google Scholar]
  26. Fagerberg, J. International competitiveness. Econ. J. 1988, 98, 355–374. [Google Scholar] [CrossRef]
  27. Czarny, E.; Folfas, P.; Molendowski, E. A lengyel export technológiai igényessége—Változások a 2004–2017 közötti időszakban. In Társadalmi és Gazdasági Folyamatok Elemzésének Kérdései a XXI. Században; Szegedi Tudományegyetem Gazdaságtudományi Kar: Szeged, Hungary, 2020; pp. 34–45. [Google Scholar]
  28. Richmond, P.; Mimkes, J.; Hutzler, S. Econophysics and Physical Economics; OUP Catalog, Oxford University Press: New York, NY, USA, 2013; 243p. [Google Scholar]
  29. Branislav, R. Chapman–Kolmogorov equations for multi-period equity-linked note with conditional coupons. Int. J. Financ. Eng. (IJFE) 2017, 4, 1750009. [Google Scholar]
  30. Desogus, M. The stochastic dynamics of business evaluations using Markov models. Int. J. Contemp. Math. Sci. 2020, 15, 53–60. [Google Scholar] [CrossRef]
  31. Hölzl, W.; Kaniovski, S.; Kaniovski, Y. Exploring the dynamics of business survey data using Markov models. Comput. Manag. Sci. 2019, 16, 621–649. [Google Scholar] [CrossRef]
  32. Huang, V.; Unwin, J. Markov chain models of refugee migration data. IMA J. Appl. Math. 2020, 85, 892–912. [Google Scholar] [CrossRef]
  33. Bickenbach, F.; Bode, E. Markov or Not Markov—This Should Be a Question; Kiel Working Paper; Kiel Institute of World Economics (IfW): Kiel, Germany, 2001; p. 1086. [Google Scholar]
  34. Pellegrini, G. Analysing Economic Growth Using Panel Data and Markov Chains. Bull. Int. Stat. Inst. 1999. Available online: https://www.researchgate.net/publication/255558381_Analysing_Economic_Growth_Using_Panel_Data_and_Markov_Chains/citations#fullTextFileContent (accessed on 24 April 2023).
  35. Veshneva, I.; Chernyshova, G.; Bolshakov, A. Regional competitiveness research based on digital models Kolmogorov–Chapman equations. In Society 5.0: Cyberspace for Advanced Human-Centered Society; Kravets, A.G., Bolshakov, A.A., Shcherbakov, M., Eds.; Series Title: Studies in Systems, Decision and Control; Springer International Publishing: Cham, Switzerland, 2021; Volume 333, pp. 141–154. [Google Scholar]
  36. Veshneva, I.; Chernyshova, G. The scenario modeling of regional competitiveness risks based on the Chapman–Kolmogorov equations. J. Phys. Conf. Ser. 2021, 1784, 012008. [Google Scholar] [CrossRef]
  37. Chernyshova, G.; Veshneva, I.; Piunova, E. Analysis of Russian Regions Innovative Competitiveness Dynamics Using Fuzzy Methods. In Society 5.0: Human-Centered Society Challenges and Solutions; Springer: Cham, Switzerland, 2022; pp. 115–128. [Google Scholar]
  38. Rossijskij Statisticheskij Ezhegodnik (Russian Statistical Yearbook); Rosstat: Moskow, Russia, 2019; 708p.
  39. Regiony Rossii. Social’no-Ekonomicheskie Pokazateli (Regions of Russia. Socio-Economic Indicators 2019). 2019. Available online: https://gks.ru/bgd/regl/b19_14p/Main.htm (accessed on 24 April 2020).
  40. Information and Analytical System “FIRA PRO”. Available online: https://fira.ru/ (accessed on 5 November 2020).
  41. Klyuev, V.V.; Rezchikov, A.F.; Kushnikov, V.A.; Tverdohlebov, V.A.; Ivashchenko, V.A.; Bogomolov, A.S.; Filimonuk, L. Analysis of critical situations caused by unfavorable circumstances. Control. Diagn. 2014, 7, 12–16. [Google Scholar]
  42. Yandybaeva, N.; Rezchikov, A.; Kushnikov, V.; Ivaschenko, V.; Kushnikov, O.; Tsvirkun, A. Mathematical Models, Algorithms and Software Package for the National Security State of Russia. In International Conference on Information Technologies; Springer International Publishing: Cham, Switzerland, 2019; pp. 646–659. [Google Scholar]
  43. Basílio, M.P.; Pereira, V.; Costa, H.G.; Santos, M.; Ghosh, A. A Systematic Review of the Applications of Multi-Criteria Decision Aid Methods (1977–2022). Electronics 2022, 11, 1720. [Google Scholar] [CrossRef]
  44. Liu, H.; Deng, X.; Jiang, W. Risk evaluation in failure mode and effects analysis using fuzzy measure and fuzzy integral. Symmetry 2017, 9, 162. Available online: https://www.mdpi.com/2073-8994/9/8/162 (accessed on 24 April 2020). [CrossRef]
  45. Roy, B.; Bertier, P. La Methode ELECTRE II: Une Method de Classement en Presence de Critteres Multiples; SEMA (Metra International), Direction Scientifique, Note de Travail: Paris, France, 1971; 142p. [Google Scholar]
  46. Sevkli, M. An application of fuzzy ELECTRE method for supplier selection. Int. J. Prod. Res. 2010, 48, 3393–3405. [Google Scholar] [CrossRef]
  47. Bobalo, Y.; Yakovyna, V.; Seniv, M.; Symets, I. Techniques of Automated Processing of Kolmogorov–Chapman Differential Equation System for Reliability Analysis of Technical Systems. In Proceedings of the 2019 IEEE 15th International Conference on the Experience of Designing and Application of CAD Systems (CADSM), Polyana, Ukraine, 26 February–2 March 2019; pp. 1–5. [Google Scholar]
  48. Volochiy, B.; Ozirkovskyy, L. Method of developing unified model for estimating safety and reliability of complex systems for critical application. In Proceedings of the 2018 14th International Conference on Advanced Trends in Radioelecrtronics, Telecommunications and Computer Engineering (TCSET), Lviv-Slavske, Ukraine, 20–24 February 2018; pp. 801–804. [Google Scholar]
  49. Operativnaya Statistika. Available online: http://bi.gks.ru/biportal/ (accessed on 20 March 2023).
  50. Liu, Y.-Y.; Barabási, A.-L. Control principles of complex systems. Rev. Mod. Phys. 2016, 88, 035006. [Google Scholar] [CrossRef]
Figure 1. Structural scheme of the methodology for assessing risks of the region’s competitiveness.
Figure 1. Structural scheme of the methodology for assessing risks of the region’s competitiveness.
Mathematics 11 04206 g001
Figure 2. The structure of risk indicators for regional competitiveness.
Figure 2. The structure of risk indicators for regional competitiveness.
Mathematics 11 04206 g002
Figure 3. The probabilities of risks for competitiveness factors from the minimal cut E 19 E 20 E 21 E 28 E 30 for regions: (a) the Republic of Adygea; (b) the Republic of Bashkortostan; (c) Nizhny Novgorod Region; (d) Tomsk Region.
Figure 3. The probabilities of risks for competitiveness factors from the minimal cut E 19 E 20 E 21 E 28 E 30 for regions: (a) the Republic of Adygea; (b) the Republic of Bashkortostan; (c) Nizhny Novgorod Region; (d) Tomsk Region.
Mathematics 11 04206 g003
Figure 4. The probabilities of risks for competitiveness factors from the minimal cut E 25 E 26 E 27 E 29 E 30   for regions: (a) the Republic of Adygea; (b) the Republic of Bashkortostan; (c) Nizhny Novgorod Region; (d) Tomsk Region.
Figure 4. The probabilities of risks for competitiveness factors from the minimal cut E 25 E 26 E 27 E 29 E 30   for regions: (a) the Republic of Adygea; (b) the Republic of Bashkortostan; (c) Nizhny Novgorod Region; (d) Tomsk Region.
Mathematics 11 04206 g004
Figure 5. Descriptive risk statistics of regional competitiveness for the minimal cut set E 19 E 20 E 21 E 28 E 30 .
Figure 5. Descriptive risk statistics of regional competitiveness for the minimal cut set E 19 E 20 E 21 E 28 E 30 .
Mathematics 11 04206 g005
Figure 6. Descriptive risk statistics of regional competitiveness for the minimal cut set E 25 E 26 E 27 E 29 E 30 .
Figure 6. Descriptive risk statistics of regional competitiveness for the minimal cut set E 25 E 26 E 27 E 29 E 30 .
Mathematics 11 04206 g006
Figure 7. The distribution of regions following the risks of competitiveness for the sections E 19 E 20 E 21 E 28 E 30 .
Figure 7. The distribution of regions following the risks of competitiveness for the sections E 19 E 20 E 21 E 28 E 30 .
Mathematics 11 04206 g007
Figure 8. The distribution of regions following the risks of competitiveness for the sections E 25 E 26 E 27 E 29 E 30 .
Figure 8. The distribution of regions following the risks of competitiveness for the sections E 25 E 26 E 27 E 29 E 30 .
Mathematics 11 04206 g008
Table 1. Assessment of regional competitiveness risks using models based on the Kolmogorov–Chapman equations and MMDM.
Table 1. Assessment of regional competitiveness risks using models based on the Kolmogorov–Chapman equations and MMDM.
Region Model   for   the   Minimal   Cut   Set   E 19 E 20 E 21 E 28 E 30 , P0(t) Model   for   the   Minimal   Cut   Set   E 25 E 26 E 27 E 29 E 30 , P0(t) MMDM   Model   for   the   Minimal   Cut   Set   E 19 E 20 E 21 E 28 E 30 MMDM   Model   for   the   Minimal   Cut   Set   E 25 E 26 E 27 E 29 E 30
Moscow Region0.08750.28420.1130.121
Samara Region0.06300.33960.1050.158
Novosibirsk Region0.19170.67300.1390.147
St. Petersburg0.15930.64980.1890.100
Rostov Region0.15870.64310.1590.133
Republic of Tatarstan0.21810.65680.1620.130
Irkutsk Region0.14760.54000.1380.165
Vladimir Region0.17870.66290.120.195
Leningrad Region0.24330.44170.190.156
Voronezh Region0.06260.41300.2140.136
Tula Region0.03310.02460.1830.172
Tomsk Region0.06810.64970.1220.236
Khabarovsk Territory0.11100.63950.1880.174
Primorye Territory0.11030.66290.20.170
Volgograd Region0.06960.35980.1170.253
Krasnodar Region0.17650.68360.2390.138
Republic of Bashkortostan0.01560.05220.210.171
Tyumen Region0.13840.47940.2340.161
Chelyabinsk Region0.17920.64210.2510.154
Sverdlovsk Region0.06070.58490.2610.149
Altai Territory0.11220.64880.1320.282
Kaluga Region0.19570.62740.2530.166
Stavropol Territory0.25420.72960.1440.276
Kemerovo Region0.08800.31860.1950.230
Republic of Sakha (Yakutia)0.16620.54620.2220.207
Kaliningrad Region0.18120.40620.1920.240
Komi Republic0.04560.31750.1730.272
Tver Region0.28980.96590.1790.278
Kamchatka Territory0.25050.66580.2110.254
Vologda Region0.16200.62450.1180.352
Novgorod Region0.17950.69980.1330.340
Murmansk Region0.11050.44400.2410.241
Udmurt Republic0.06630.19210.1350.348
Orenburg Region0.12110.43350.1210.365
Krasnoyarsk Territory0.10120.57040.3670.127
Belgorod Region0.16800.49740.2590.237
Yamalo-Nenets Autonomous Area0.05550.34700.1150.390
Nizhny Novgorod Region0.14800.64410.3640.144
Amur Region0.15070.85860.2130.296
Saratov Region0.07000.44980.2850.232
Orel Region0.24380.82530.1410.380
Kabardino-Balkarian Republic0.12360.81520.1540.378
Republic of North Ossetia-Alania0.14510.66720.1740.381
Karachay-Cherkess Republic0.12150.37780.1450.410
Bryansk Region0.07620.36390.2210.335
Penza Region0.19180.62570.3180.242
Perm Territory0.04940.36120.3930.169
Sakhalin Region0.06420.60390.2460.321
Yaroslavl Region0.20660.71630.330.252
Omsk Region0.14820.80850.3980.200
Smolensk Region0.04670.48540.2660.347
Kirov Region0.18010.65000.3210.305
Kursk Region0.04270.31270.3160.313
Lipetsk Region0.12210.48910.3140.316
Tambov Region0.13960.59840.2670.368
Chuvash Republic0.05000.31220.2690.370
Arkhangelsk Region0.19210.59940.3390.300
Republic of Buryatia0.02510.27620.3810.260
Ryazan Oblast0.08480.69820.3130.342
Magadan Region0.07070.54050.3020.357
Trans-Baikal Territory0.14440.51220.3580.301
Republic of Tuva0.16730.87190.2750.385
Ulyanovsk Region0.27860.80130.3870.281
Pskov Region0.04130.40560.1160.564
Altai Territory0.13280.47910.180.500
Republic of Karelia0.04820.41800.3520.341
Republic of Dagestan0.20990.60560.3260.367
Astrakhan Region0.12020.54500.3710.334
Republic of Mordovia0.12280.82010.3320.380
Kostroma Region0.20490.67750.2030.552
Ivanovo Region0.11860.53170.3950.376
Republic of Adygea0.09020.91930.2320.570
Republic of Kalmykia0.17390.68860.2290.582
Kurgan Region0.18010.66480.3270.490
Nenets Autonomous Territory0.15590.43840.310.578
Republic of Khakassia0.28860.74660.3840.510
Mari El Republic0.28380.74630.3470.589
Republic of Ingushetia0.11030.57110.3690.579
Disclaimer/Publisher’s Note: The statements, opinions and data contained in all publications are solely those of the individual author(s) and contributor(s) and not of MDPI and/or the editor(s). MDPI and/or the editor(s) disclaim responsibility for any injury to people or property resulting from any ideas, methods, instructions or products referred to in the content.

Share and Cite

MDPI and ACS Style

Chernyshova, G.; Veshneva, I.; Firsova, A.; Makarova, E.L.; Makarova, E.A. Methodology for Assessing the Risks of Regional Competitiveness Based on the Kolmogorov–Chapman Equations. Mathematics 2023, 11, 4206. https://doi.org/10.3390/math11194206

AMA Style

Chernyshova G, Veshneva I, Firsova A, Makarova EL, Makarova EA. Methodology for Assessing the Risks of Regional Competitiveness Based on the Kolmogorov–Chapman Equations. Mathematics. 2023; 11(19):4206. https://doi.org/10.3390/math11194206

Chicago/Turabian Style

Chernyshova, Galina, Irina Veshneva, Anna Firsova, Elena L. Makarova, and Elena A. Makarova. 2023. "Methodology for Assessing the Risks of Regional Competitiveness Based on the Kolmogorov–Chapman Equations" Mathematics 11, no. 19: 4206. https://doi.org/10.3390/math11194206

APA Style

Chernyshova, G., Veshneva, I., Firsova, A., Makarova, E. L., & Makarova, E. A. (2023). Methodology for Assessing the Risks of Regional Competitiveness Based on the Kolmogorov–Chapman Equations. Mathematics, 11(19), 4206. https://doi.org/10.3390/math11194206

Note that from the first issue of 2016, this journal uses article numbers instead of page numbers. See further details here.

Article Metrics

Back to TopTop