Research on Short-Term Passenger Flow Prediction of LSTM Rail Transit Based on Wavelet Denoising
Abstract
:1. Introduction
2. Research Methods
2.1. Wavelet Denoising Analysis
2.1.1. Principle of Wavelet Denoising Analysis
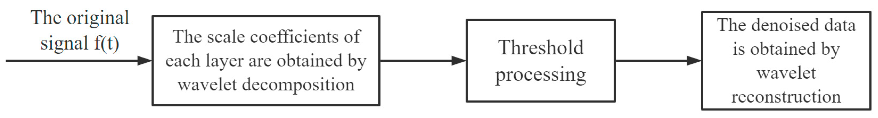
2.1.2. Wavelet Denoising Process
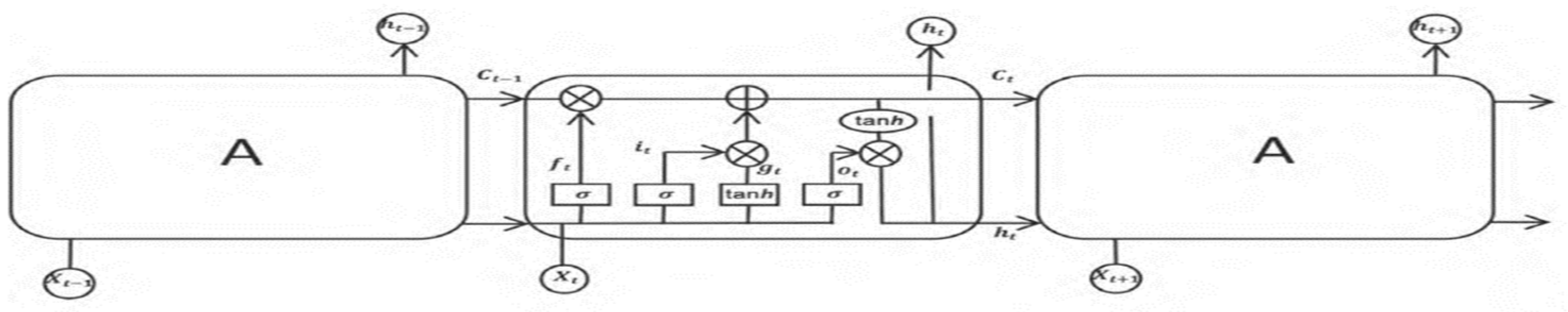
2.2. Basic Principles of Long Term Memory Networks
2.2.1. LSTM Process
2.2.2. Calculation of LSTM Forward Propagation
2.2.3. Reverse Calculation of LSTM
2.3. Principles of Support Vector Machine Regression
2.4. Principles of Artificial Neural Networks
- (1)
- Forward propagation processThe output value of the input layer is denoted as O. The connection weights between the input layer and the hidden layer are represented as . The output value of the input layer is multiplied by the corresponding weights . The resulting values are then passed through an activation function, typically the sigmoid function, to obtain the output values of the hidden layer. This process is repeated for each subsequent layer until the output layer is reached [31].
- (2)
- Backward propagation processThe backward propagation process involves adjusting the parameters of the artificial neural network model to optimize its performance. The connection weights and cell thresholds are then modified accordingly to minimize the error. This adjustment is performed iteratively to refine the model’s performance.
- (3)
- Training termination conditionsThe training process can be terminated based on certain conditions. Once these conditions are met, the training process is concluded.
2.5. Basic Principles of Time Series Model
- (1)
- Autoregressive Model (AR)The autoregressive model utilizes historical data to construct a predictive model for its own data. It is important to note that the autoregressive model assumes the data to be stationary. The formula for a p-order autoregressive model is as follows:: The current value of the variable: Constant term: Order: Autocorrelation coefficient: Residual
- (2)
- Moving Average Model (MA)The moving average model utilizes the past values of the residual to represent the linear relationship, aiming to observe the magnitude of its fluctuations. The formula for a p-order moving average model is as follows:
- (3)
- Auto-Regression and Moving Average Model (ARMA)The ARMA model combines the autoregressive (AR) model and the moving average (MA) model. It expresses the relationship between the current value and both past values and past residuals. The formula for the ARMA model is as follows:
- (4)
- Integrated (I)Before determining the parameters p and q in the ARIMA model, it is necessary to conduct a stationarity test on the data. If the data fails the test, differencing is performed. After differencing, the data should meet the stationarity condition.
3. Empirical Study
3.1. Data Preprocessing
3.2. LSTM Model Construction and Prediction Analysis
3.3. LSTM Model Construction and Prediction Analysis of Wavelet Denoising
3.3.1. Steps of Model Construction and Prediction
- Perform a 3-level discrete wavelet transform on the time series data using the db6 wavelet.
- Decompose the signal into low- and high-frequency components.
- Apply soft thresholding denoising to the three high-frequency signals.
- Reconstruct the denoised signal.
- Split the data into training and test sets.
- Train the LSTM model on denoised training data.
- Validate model performance on denoised test data.
3.3.2. Predictive Analysis
3.4. SVR Model Construction and Prediction Analysis
3.4.1. Steps of SVR Model Construction and Prediction
- Separate the data into training (1–27 July) and test sets (28–29 July).
- Train support vector machines (SVMs) with different kernels, selecting RBF based on best fit.
- Initialize hyperparameter values for penalty factors C and gamma.
- Refine hyperparameters via grid search cross-validation to minimize MSE.
- Assess the model on test data.
3.4.2. Predictive Analysis
3.5. ANN Model Construction and Prediction Analysis
3.6. ARIMA Model Construction and Prediction Analysis
3.6.1. Steps of ARIMA Model Construction and Prediction
3.6.2. Predictive Analysis
3.7. Comparison of Results
4. Conclusions
Author Contributions
Funding
Data Availability Statement
Conflicts of Interest
References
- Li, H.; Wang, Y.; Xu, X.; Qin, L.; Zhang, H. Short-term passenger flow prediction under passenger flow control using a dynamic radial basis function network. Appl. Soft Comput. 2019, 83, 105620. [Google Scholar] [CrossRef]
- Wang, J.S.; Ou, X.W.; Chen, J.Y. Short-time passenger flow classification prediction of urban rail stations based on Combined model. J. Railw. Sci. Eng. 2023, 20, 2004–2012. [Google Scholar]
- Lei, J.; He, M.; Shuai, C. A comparison study of short-term passenger flow forecast model of rail transit. In Proceedings of the 19th COTA International Conference of Transportation Professionals (CICTP 2019), Nanjing, China, 6–8 July 2019; pp. 1776–1787. [Google Scholar]
- Ni, M.; He, Q.; Gao, J. Forecasting the Subway Passenger Flow under Event Occurrences with Social Media. IEEE Trans. Intell. Transp. Syst. 2016, 18, 1623–1632. [Google Scholar] [CrossRef]
- Roos, J.; Bonnevay, S.; Gavin, G. Short-term rail passenger flow forecasting: A Dynamic Bayesian network approach. In Proceedings of the 15th IEEE International Conference on Machine Learning and Application, Anaheim, CA, USA, 18–20 December 2016. [Google Scholar]
- Zhao, Y.T.; Yang, X.F.; Yang, K. Subway passenger flow prediction based on support vector Machine. Urban Rapid Transit 2014, 27, 35–38. (In Chinese) [Google Scholar]
- Anl, U.; Sema, K.K. New deep learning-based passenger flow prediction model. Transp. Res. Rec. J. Transp. Res. Board 2023, 2677, 1–17. [Google Scholar]
- Tan, Y.; Liu, H.; Pu, Y.; Wu, X.; Jiao, Y. Passenger Flow Prediction of Integrated Passenger Terminal Based on K-Means–GRNN. J. Adv. Transp. 2021, 2021, 1055910. [Google Scholar] [CrossRef]
- Pekel, E.; Kara, S.S. Passenger flow prediction based on newly adopted algorithms. Appl. Artif. Intell. 2017, 31, 64–79. [Google Scholar]
- Alghamdi, D.; Basulaiman, K.; Rajgopal, J. Multi-stage deep probabilistic prediction for travel demand. Appl. Intell. 2022, 52, 11214–11231. [Google Scholar] [CrossRef]
- Jiang, X.M.; Adeli, H.; Asce, H. Dynamic wavelet neural network model for traffic flow forecasting. J. Transp. Eng. 2005, 131, 771–779. [Google Scholar] [CrossRef]
- Nagaraj, N.; Gururaj, H.L.; Swathi, B.H.; Hu, Y.C. Passenger flow prediction in bus transportation system using deep learning. Multimed. Tools Appl. 2022, 81, 12519–12542. [Google Scholar] [CrossRef]
- Ermagun, A.; Levinson, D. Spatiotemporal short-term traffic forecasting using the network weight matrix and systematic detrending. Transp. Res. Part C Emerg. Technol. 2019, 104, 38–52. [Google Scholar] [CrossRef]
- Dong, S.W. Research on Short-Term Passenger Flow Prediction Method of Rail Transit Based on Improved BP Neural Network. Master’s Thesis, Beijing Jiaotong University, Beijing, China, 2013. (In Chinese). [Google Scholar]
- Mirzahossein, H.; Gholampour, I.; Sajadi, S.R.; Zamani, A.H. A hybrid deep and machine learning model for short-term traffic volume forecasting of adjacent intersections. IET Intell. Transp. Syst. 2022, 16, 1648–1663. [Google Scholar] [CrossRef]
- Liu, Y.; Liu, Z.Y.; Ruo, J. DeepPF: A deep learning based architecture for metro passenger flow prediction. Transp. Res. Part C Emerg. Technol. 2019, 101, 18–34. [Google Scholar] [CrossRef]
- Chi, D. Research on electricity consumption forecasting model based on wavelet transform and multi-layer LSTM model. Energy Rep. 2022, 8, 220–228. [Google Scholar] [CrossRef]
- Chi, Y.; Cai, C.; Ren, J.; Xue, Y.; Zhang, N. Damage location diagnosis of frame structure based on wavelet denoising and convolution neural network implanted with Inception module and LSTM. Struct. Health Monit. 2023, 14759217231163777. [Google Scholar] [CrossRef]
- Peng, S.; Chen, R.; Yu, B.; Xiang, M.; Lin, X.; Liu, E. Daily natural gas load forecasting based on the combination of long short term memory, local mean decomposition, and wavelet threshold denoising algorithm. J. Nat. Gas Sci. Eng. 2021, 95, 104175. [Google Scholar] [CrossRef]
- Goyal, B.; Dogra, A.; Agrawal, S.; Sohi, B.S.; Sharma, A. Image denoising review: From classical to state-of-the-art approaches. Inf. Fusion 2020, 55, 220–244. [Google Scholar] [CrossRef]
- Gilles, J. Empirical wavelet transform. IEEE Trans. Signal Process. 2013, 61, 3999–4010. [Google Scholar] [CrossRef]
- Sardy, S.; Tseng, P.; Bruce, A. Robust wavelet denoising. IEEE Trans. Signal Process. 2001, 49, 1146–1152. [Google Scholar] [CrossRef]
- Houdt, G.V.; Mosquera, C.; Gonzalo, N. A review on the long short-term memory model. Artif. Intell. Rev. 2020, 53, 5929–5955. [Google Scholar] [CrossRef]
- Al-Musaylh, M.S.; Deo, R.C.; Adamowski, J.F.; Li, Y. Short-term electricity demand forecasting with MARS, SVR and ARIMA models using aggregated demand data in Queensland, Australia. Adv. Eng. Inform. 2018, 35, 1–16. [Google Scholar] [CrossRef]
- Ceperic, E.; Ceperic, V.; Baric, A. A strategy for short-term load forecasting by support vector regression Machines. IEEE Trans. Power Syst. 2013, 28, 4356–4364. [Google Scholar] [CrossRef]
- Nguyen, H.; Vu, T.; Vo, T.P.; Thai, H.T. Efficient machine learning models for prediction of concrete strengths. Constr. Build. Mater. 2021, 266, 120950. [Google Scholar] [CrossRef]
- Barbu, T. CNN-based temporal video segmentation using a nonlinear hyperbolic PDE-based multi-scale analysis. Mathematics 2023, 11, 245. [Google Scholar] [CrossRef]
- Mohiddin, M.B.; Mallikarjuna, P.; Dandagala, S. Applications of Artificial Neural Network for Streamflow Forecasting—A Review. Artif. Intell. Syst. Mach. Learn. 2018, 10, 25–29. [Google Scholar]
- Rehman, K.U.; Shatanawi, W.; Çolak, A.B. Computational Analysis on Magnetized and Non-Magnetized Boundary Layer Flow of Casson Fluid Past a Cylindrical Surface by Using Artificial Neural Networking. Mathematics 2023, 11, 326. [Google Scholar] [CrossRef]
- Abiodun, O.I.; Jantan, A.; Omolara, A.E.; Dada, K.V.; Umar, A.M.; Linus, O.U.; Arshad, H.; Kazaure, A.A.; Gana, U.; Kiru, M.U. Comprehensive review of artificial neural network applications to pattern recognition. IEEE Access 2019, 7, 158820–158846. [Google Scholar] [CrossRef]
- Wu, W.Y.; Dandy, G.C.; Maier, H.R. Protocol for developing ANN models and its application to the assessment of the quality of the ANN model development process in drinking water quality modelling. Environ. Model. Softw. 2014, 54, 108–127. [Google Scholar] [CrossRef]
- Kumar, S.V.; Vanajakshi, L. Short-term traffic flow prediction using seasonal ARIMA model with limited input data. Eur. Transp. Res. Rev. 2015, 7, 21. [Google Scholar] [CrossRef]
- Singh, S.N.; Mohapatra, A. Repeated wavelet transform based ARIMA model for very short-term wind speed forecasting. Renew. Energy 2019, 136, 758–768. [Google Scholar]
- Jandoc, R.; Burden, A.M.; Mamdani, M.; Lévesque, L.E.; Cadarette, S.M. Interrupted time series analysis in drug utilization research is increasing: Systematic review and recommendations. J. Clin. Epidemiol. 2015, 68, 950–956. [Google Scholar] [CrossRef] [PubMed]
- Azam, M.; Khan, A.Q.; Zafeiriou, E.; Arabatzis, G. Socio-economic determinants of energy consumption: An empirical survey for Greece. Renew. Sustain. Energy Rev. 2016, 57, 1556–1567. [Google Scholar] [CrossRef]
- Wang, X.Q.; Su, C.W.; Tao, R.; Lobonţ, O.R. When will food price bubbles burst? A review. Agric. Econ. (Zemědělská Ekon.) 2018, 64, 566–573. [Google Scholar] [CrossRef]
- Sakai, H.M.; Ken-Ichi, N.; Korenberg, M.J. White-noise analysis in visual neuroscience. Vis. Neurosci. 1988, 1, 287–296. [Google Scholar] [CrossRef] [PubMed]
- Riedy, S.M.; Smith, M.G.; Rocha, S.; Basner, M. Noise as a sleep aid: A systematic review. Sleep Med. Rev. 2021, 55, 101385. [Google Scholar] [CrossRef] [PubMed]
- Rescorla, M. Bayesian modeling of the mind: From norms to neurons. Wiley Interdiscip. Rev. Cogn. Sci. 2021, 12, e1540. [Google Scholar] [CrossRef] [PubMed]
- Stephens, M. The Bayesian lens and Bayesian blinkers. Philos. Trans. R. Soc. A 2023, 381, 20220144. [Google Scholar] [CrossRef]
- Symonds, M.R.E.; Moussalli, A. A brief guide to model selection, multimodel inference and model averaging in behavioural ecology using Akaike’s information criterion. Behav. Ecol. Sociobiol. 2011, 65, 13–21. [Google Scholar] [CrossRef]
- Guzmán-Santiago, J.C.; Aguirre-Calderón, O.A.; Vargas-Larreta, B. Forest volume estimation techniques with special emphasis on the tropics. Rev. Chapingo Ser. Cienc. For. Y Del Ambiente 2020, 26, 291–306. [Google Scholar] [CrossRef]
- Tong, H. A personal journey through time series in Biometrika. Biometrika 2001, 88, 195–218. [Google Scholar] [CrossRef]
- Li, R.Z.; Fang, K.T.; Zhu, L.X. Some QQ probability plots to test spherical and elliptical symmetry. J. Comput. Graph. Stat. 1997, 6, 435–450. [Google Scholar]











| Time | Station | Monday | Tuesday | Wednesday | Thursday | Friday | Saturday | Sunday |
|---|---|---|---|---|---|---|---|---|
| 5:00:00 | Shantang Street | 4 | 2 | 4 | 12 | 3 | 9 | 10 |
| 6:00:00 | Shantang Street | 220 | 235 | 203 | 250 | 237 | 198 | 133 |
| 7:00:00 | Shantang Street | 472 | 471 | 495 | 470 | 471 | 432 | 410 |
| 8:00:00 | Shantang Street | 519 | 491 | 467 | 543 | 491 | 601 | 513 |
| 9:00:00 | Shantang Street | 497 | 525 | 595 | 596 | 552 | 655 | 572 |
| 10:00:00 | Shantang Street | 461 | 538 | 537 | 531 | 516 | 583 | 656 |
| 18:00:00 | Shantang Street | 415 | 360 | 317 | 382 | 409 | 527 | 621 |
| 19:00:00 | Shantang Street | 391 | 396 | 400 | 425 | 466 | 640 | 636 |
| 20:00:00 | Shantang Street | 407 | 479 | 536 | 497 | 494 | 845 | 772 |
| 21:00:00 | Shantang Street | 306 | 365 | 371 | 431 | 463 | 703 | 551 |
| 22:00:00 | Shantang Street | 77 | 81 | 129 | 94 | 149 | 100 | 171 |
| Model | ACF | PACF |
|---|---|---|
| AR | After decay approaches 0 | p-order truncation (after a value greater than a rapid approach to 0) |
| MA | q order back truncated | After decay approaches 0 |
| ARMA | Attenuation tends to 0 after order q | Attenuation tends to 0 after order p |
| Method | Index | Monday (29 July) | Sunday (28 July) |
|---|---|---|---|
| LSTM | RMSE | 12.86 | 19.78 |
| MAE | 10.27 | 15.35 | |
| MAPE | 18% | 31% | |
| The wavelet + LSTM | RMSE | 8.94 | 12.32 |
| MAE | 7.22 | 9.88 | |
| MAPE | 12% | 19% | |
| SVR | RMSE | 14.15 | 19.25 |
| MAE | 11.78 | 14.72 | |
| MAPE | 21% | 38% | |
| ANN | RMSE | 15.29 | 20.82 |
| MAE | 12.40 | 16.62 | |
| MAPE | 22% | 29% | |
| ARIMA | RMSE | 14.04 | 17.68 |
| MAE | 10.92 | 13.52 | |
| MAPE | 18% | 24% |
Disclaimer/Publisher’s Note: The statements, opinions and data contained in all publications are solely those of the individual author(s) and contributor(s) and not of MDPI and/or the editor(s). MDPI and/or the editor(s) disclaim responsibility for any injury to people or property resulting from any ideas, methods, instructions or products referred to in the content. |
© 2023 by the authors. Licensee MDPI, Basel, Switzerland. This article is an open access article distributed under the terms and conditions of the Creative Commons Attribution (CC BY) license (https://creativecommons.org/licenses/by/4.0/).
Share and Cite
Zhao, Q.; Feng, X.; Zhang, L.; Wang, Y. Research on Short-Term Passenger Flow Prediction of LSTM Rail Transit Based on Wavelet Denoising. Mathematics 2023, 11, 4204. https://doi.org/10.3390/math11194204
Zhao Q, Feng X, Zhang L, Wang Y. Research on Short-Term Passenger Flow Prediction of LSTM Rail Transit Based on Wavelet Denoising. Mathematics. 2023; 11(19):4204. https://doi.org/10.3390/math11194204
Chicago/Turabian StyleZhao, Qingliang, Xiaobin Feng, Liwen Zhang, and Yiduo Wang. 2023. "Research on Short-Term Passenger Flow Prediction of LSTM Rail Transit Based on Wavelet Denoising" Mathematics 11, no. 19: 4204. https://doi.org/10.3390/math11194204
APA StyleZhao, Q., Feng, X., Zhang, L., & Wang, Y. (2023). Research on Short-Term Passenger Flow Prediction of LSTM Rail Transit Based on Wavelet Denoising. Mathematics, 11(19), 4204. https://doi.org/10.3390/math11194204

