Next Article in Journal
A Series Expansion of a Logarithmic Expression and a Decreasing Property of the Ratio of Two Logarithmic Expressions Containing Sine
Next Article in Special Issue
New Physical–Mathematical Analysis of Cardiac Dynamics and Temperature for the Diagnosis of Infectious Disease
Previous Article in Journal
Multiscale Model Reduction with Local Online Correction for Polymer Flooding Process in Heterogeneous Porous Media
Previous Article in Special Issue
Mathematical Physics of Time Dilation through Curved Trajectories with Applications
 
 
Font Type:
Arial Georgia Verdana
Font Size:
Aa Aa Aa
Line Spacing:
Column Width:
Background:
Article

Eigenvalue Problem for a Reduced Dynamo Model in Thick Astrophysical Discs

by
Evgeny Mikhailov
1,2,3,* and
Maria Pashentseva
1
1
Faculty of Physics, M. V. Lomonosov Moscow State University, 119991 Moscow, Russia
2
P. N. Lebedev Physical Institute, 119991 Moscow, Russia
3
Center for Advanced Studies, Skolkovo Institute of Science and Technology, 121205 Moscow, Russia
*
Author to whom correspondence should be addressed.
Mathematics 2023, 11(14), 3106; https://doi.org/10.3390/math11143106
Submission received: 13 June 2023 / Revised: 10 July 2023 / Accepted: 12 July 2023 / Published: 14 July 2023

Abstract

Magnetic fields of different astrophysical objects are generated by the dynamo mechanism. Dynamo is based on the alpha-effect and differential rotation, which are described using a system of parabolic equations. Their solution is an important problem in magnetohydrodynamics and mathematical physics. They can be solved assuming exponential growth of the solution, which leads to an eigenvalue problem for a differential operator connected with spatial coordinates. Here, we describe a system of equations connected with the generation of magnetic field in discs, which are associated with galaxies and binary systems. For an ideal case of an infinitely thin disc, the eigenvalue problem can be precisely solved. If we take into account the finite thickness of the disc, the problem becomes more difficult. The solution can be found using asymptotical methods based on perturbations of the eigenvalues. Here, we present two different models which describe field evolution for different cases. For the first, we find eigenvalues taking into account linear and quadratic terms for the perturbations in the eigenvalue problem. For the second, we find eigenvalues using only linear terms; this is quite sufficient. Results were verified through numerical modeling, and basic computational tests show proper correspondence between different methods.

1. Introduction

Magnetic fields of different astrophysical objects play an important role in astronomy. They have been studied for a long time, beginning with research regarding sunspots, which are the basic tracers of magnetic fields of the Sun [1]. It has been shown that the generation of such fields is described by the dynamo mechanism [2]. Dynamo is an important process in magnetohydrodynamics, which is based on the helicity of turbulent motions and non-uniform rotation of the medium (differential rotation) [3,4,5]. Such mechanisms take place not only on the Sun; similar processes also describe magnetic fields in other celestial bodies, such as stars [6], galaxies [7,8,9], accretion discs [10,11], planets [12], etc. Usually, three-dimensional equations for magnetic fields are reduced to simpler problems based on the properties of symmetry. One of the most important cases is connected with objects that have the shape of a disc [13,14,15]. Such models are connected with spiral galaxies and accretion discs surrounding compact astrophysical objects (black holes, neutron stars and white dwarfs) in binary systems.
First models for the dynamo process in discs were devoted to the thin objects and connected with so-called no-z approximation, constructed first by Mestel, Brandenburg [13] and Moss [14]. Such models used a specific law for the z-dependence of the magnetic field and assumed that the vertical component of magnetic field could be neglected. Thickness of the disc could be taken as a small parameter, and described the dissipation of magnetic fields and generation of contrast structures in the disc. Basic results in the framework of this approach have been obtained using both theoretical and numerical studies [16,17,18]. Such models are useful and yield proper results for different examples of galaxies. Recent works also showed that no-z approximation can describe field evolution for some accretion discs [11]. However, there are different objects for which thickness is quite important and should be taken into account. In galaxies such as NGC4150, the vertical scale height is comparable with the radial one [19]. Also, simulations for accretion discs show [20] that their half-thickness can be larger than was assumed in works using no-z approximation (for example, in [10], it is stated that half-thickness is two orders smaller than the radius).
Evolution of the field regarding thick discs can be described using the so-called rz-model, which takes into account the z-dependence of the field. First approaches using the rz-model were connected with outer rings of galaxies for which radial length scales were comparable with vertical scales, and no-z approximation was difficult to apply in principal. It was shown [21] that different terms describe vertical flows and the transition of the field; its evolution was strictly different from infinitely thin discs. For example, in this case we can obtain not only the quadrupolar field; there are dipolar fields, too. However, most of the research has been carried out using numerical modeling; it is necessary to find solutions for the fields using basic theoretical approaches.
From the mathematical point of view, the generation of a magnetic field is described using a system of parabolic equations (in some cases it can be reduced to a single equation). It is useful to find the time dependence of a field using exponential law, so the study leads us to an eigenvalue problem for the spatial differential operator [22,23]. Eigenfunctions show the typical spatial structure of the field, and eigenvalues show the principal evolution for the field, corresponding to the growth rate. The real value of the eigenvalue is that it shows if it is possible to generate the field or if it will only decay.
The eigenvalue problem can be precisely solved only for an ideal case with zero vertical transition, which can be associated with an infinitely thin disc. Finite thickness can be taken into account using the corresponding operator as a small perturbation of the basic one. So, results for eigenvalues and eigenfunctions can be found using asymptotical methods.
Here, we address two different types of eigenvalue problems for dynamo in thin discs. First, we use the model which takes an operator in the space of scalar functions. We find the precise solution for infinitely small thickness, and take another part as a small supplement. After that, we find the eigenvalues using linear terms in the perturbations theory. The results are verified using numerical modeling. It can be shown that for practically important cases, the linear model does not provide sufficient accuracy, so we should use terms of higher order. First, we find asymptotical corrections for the eigenfunctions, and calculate the second term for the eigenvalues. The results correspond to the numerical modeling, and we can study the behavior of the system. Here, we use a simple finite difference method, which allows us to solve equations with satisfactory accuracy. However, as for more complicated problems, we should use methods of highest orders [24,25]. We study conditions of the field generation and find critical values of the dynamo number.
Another problem is connected with a system of equations. Here, we also find the solution for eigenvalues in an ideal case and find linear perturbations of it. The numerical verification shows that it is quite sufficient to find the values of magnetic field growth rate.

2. One-Dimensional Model

The magnetic field in the astrophysical disc contains two main parts. The first one is connected with the toroidal component and the second one is associated with the poloidal field. In the simplest case, we can assume that the field is mainly toroidal ( B = B e φ ). We can use cylindrical coordinates r , φ , z , and we should solve equations for values 0 < r < R ,   h < z < h and 0 φ < 2 π , where R is the radius of the disc and h is its half-thickness [23]. It is useful to assume axial symmetry, so the field can be found as B = B r , z , t .
In magnetohydrodynamics, dimensionless parameters are usually used. Here we measure distances in units of R , and introduce the ratio λ = h R , so we will rescale our area to 0 < r < 1 ,   λ < z < λ .
Field evolution can be described by the equation [23]:
B t = D 1 / 2 B + χ D 1 / 2 z B z + λ 2 2 B z 2 + 2 B r 2 + 1 r B r B r 2
B 0 , z , t = B 1 , z , t = B r , λ , t = B r , λ , t = 0
where χ 1 is the empirical parameter which describes the role of vertical flows in the disc. (More detailed description of the equations is given in Appendix A) As for models with thin discs, there is no term connected with the z-derivative. If we follow models taking into account vertical structure of the field and flows that are perpendicular to the disc [26,27], it should be included. There are different ways to introduce the vertical transition, but we propose to describe it using coefficient χ   , which can be taken in accordance with better fitting of observational data. Also, different values of this parameter are interesting from the mathematical point of view. Smaller values show the opportunities of linear perturbation theory, and larger values are described using nonlinear terms. The boundary conditions show that the field does not concentrate on the inner or outer boundary of a disc. Also, the fields at the top and bottom of a disc are so small that they can be neglected. The coefficient D is called the dynamo number, and is connected with main kinematic parameters of the disc as D ~ h 2 Ω 2 υ 2 ( Ω is angular velocity of the disc rotation, and υ is the typical turbulent velocity). Physically, it characterizes the joint efficiency of the alpha-effect and differential rotation.
Equations (1) and (2) are written only for the azimuthal component of a magnetic field. However, numerical modeling shows that in linear cases the toroidal part is proportional to the azimuthal component, so the main qualitative features of the problem can be described using this equation. Of course, a full two-dimensional problem is more interesting, but its main effects are more difficult to study, and can be fully described only numerically. One of the main aims of this paper is connected with the application of methods of perturbation theory, so it is important to find principal mechanisms for this reduced problem.
From the point of dynamo theory, time dependence is usually assumed to be exponential; B r , z , t = Q r , z exp γ t . As for γ and Q r , z , we obtain the following eigenvalue problem (after that, the full solution can be found as a linear combination of eigenfunctions):
γ Q = D 1 / 2 Q + χ D 1 / 2 z Q z + λ 2 2 Q z 2 + 2 Q r 2 + 1 r Q r Q r 2
Q 0 , z = Q 1 , z = Q r , λ = Q r , λ = 0
The field can grow if at least the eldest eigenvalue has a positive real part.
Eigenfunction can be found using the method of separation of variables [28]:
Q r , z = ρ r Z ( z )
where
ρ 0 = ρ 1 = Z λ = Z λ = 0 .
As for the radial part, we can use the Bessel function:
ρ m r = J 1 μ m r
and μ m are its zeros:
J 1 μ m = 0 .
The problem is rewritten for the z-part:
γ Z = H ^ Z + χ V ^ Z ,
where we introduce the operators:
H ^ = D 1 / 2 λ 2 μ m 2 + d 2 d z 2 ;
V ^ = D 1 / 2 z d d z .
First, we find a solution to the system without any external influences, using only the operator H ; ^ and then we introduce a small perturbation using the operator V ^ . The unperturbed problem looks like this:
γ n 0 Z = H ^ Z .
Its eigenvalues and eigenfunctions normalized in L 2 [ λ , + λ ] are exactly calculated using:
γ n 0 = D 1 / 2 π 2 n 2 4 ,
Z n 0 z = λ 1 / 2 sin π n z + λ 2 λ .
Now we consider the perturbed, original spectral Equation (9). According to perturbation theory [29], eigenfunctions and eigenvalues decompose into a series as follows:
γ n = γ n 0 + χ δ γ n 1 + χ 2 δ γ n 2 + . . . , Z n = Z n 0 + χ δ Z n 1 + χ 2 δ Z n 2 + . . .
We find a linear correction to the eigenvalue.
γ n 0 + χ δ γ n 1 Z n 0 + χ δ Z n 1 = H ^ + χ V ^ Z n 0 + χ δ Z n 1 ;
γ n 0 Z n 0 + χ δ γ n 1 Z n 0 + χ γ n 0 δ Z n 1 = H ^ Z n 0 + χ H ^ δ Z n 1 + χ V ^ Z n 0 .
Taking into account that δ Z n 1 = n m C n m Z n 0 and multiplying both parts of (17) on Z n 0 ,  we obtain:
χ δ γ n 1 Z n 0 , Z n 0 = χ Z n 0 , V ^ Z n 0
δ γ n 1 = Z n 0 , V ^ Z n 0 ;
It is necessary to emphasize that (19) is correct only if | | Z n 0 | | = 1 ; this is guaranteed by (14).
Finally, we obtain linear correction to the eigenvalue of the unperturbed problem according to perturbation theory [23]:
δ γ n 1 = Z n 0 , V ^ Z n 0 = D 1 / 2 2
Next, we consider Equation (9) in the linear approximation. Taking the eigenfunction in the form Z n = Z n 0 + χ δ Z n 1 , we obtain
γ n 0 + χ δ γ n 1 Z n 0 + χ δ Z n 1 = H ^ + χ V ^ Z n 0 + χ δ Z n 1 + o χ .
After some transformations, we obtain the following equation:
χ γ n 0 δ Z n 1 + χ δ γ n 1 Z n 0 = χ H ^ δ Z n 1 + χ V ^ Z n 0
Let us represent our eigenfunction function using the form:
δ Z n 1 = m c n m Z n 0 .
We substitute the eigenfunction in this form, scalarly multiply by the eigenfunction of the unperturbed problem, and leave only non-zero terms:
γ n 0 n c n m Z k 0 , Z m 0 = Z k 0 , H ^ m c n m Z m 0 + Z k 0 , V ^ Z m 0 .
Equations (18) and (19) imply:
m c n m γ n 0 γ m 0 Z k 0 , Z m 0 = Z k 0 , V ^ Z n 0 .
Considering only terms for which k=m, then we obtain an expression for the coefficients:
c n k = Z k 0 , V ^ Z n 0 γ n 0 γ k 0 Z k 0 , Z k 0 .
Let us find a correction to the highest eigenfunction:
c 1 k = Z k 0 , V ^ Z 1 0 γ 1 0 γ k 0 Z k 0 , Z k 0 ,
where
V ^ Z 1 0 = D z z s i n π z + λ 2 λ = D z π 2 λ cos π z + λ 2 λ ;
Z k 0 , V ^ Z 1 0 = λ λ sin π k z + λ 2 λ D z π 2 λ cos π z + λ 2 λ d z = D λ k 1 k 1 k 2 1 .
γ 1 0 γ k 0 = D π 2 4 D + π 2 k 2 4 = π 2 4 k 2 1 .
Equations (26) and (27) imply:
c 1 k = Z k 0 , V ^ Z 1 0 γ 1 0 γ k 0 Z k 0 , Z k 0 = 4 D k 1 k 1 π 2 k 2 1 2 .
In addition, we numerically calculated our original problem and found the form of the eigenfunction in this case. The results are presented in Figure 1.
Let us now find the quadratic correction to eigenvalue using the perturbation theory well known in quantum mechanics. Decomposing the functions and eigenvalues to the second orders of magnitude, we obtain:
γ n 0 + χ δ γ n 1 + χ δ γ n 2 Z n 0 + χ δ Z n 1 + χ 2 δ Z n 2 = H ^ + χ V ^ Z n 0 + χ δ Z n 1 + χ 2 δ Z n 2 ;
γ n 0 Z n 0 + χ δ Z n 1 + χ 2 γ n 0 δ Z n 2 + χ δ γ n 1 Z n 0 + + χ 2 δ γ n 1 δ Z n 1 + χ δ γ n 2 Z n 0 + χ 2 δ γ n 2 δ Z n 1 = H ^ Z n 0 + χ H ^ δ Z n 1 + χ 2 H ^ δ Z n 2 + χ V ^ Z n 0 + χ 2 V ^ δ Z n 1 ;
χ δ Z n 1 + χ 2 γ n 0 δ Z n 2 + χ δ γ n 1 Z n 0 + χ δ Z n 1 + χ δ γ n 2 Z n 0 + χ δ Z n 1 = χ H ^ δ Z n 1 + χ 2 H ^ δ Z n 2 + χ V ^ Z n 0 + χ 2 V ^ δ Z n 2 .
Scalar multiplication by the eigenvector yields:
χ Z n 0 δ Z n 1 + χ 2 γ n 0 Z n 0 , δ Z n 2 + χ δ γ n 1 Z n 0 , Z n 0 + χ 2 δ γ n 1 Z n 0 δ Z n 1 + χ δ γ n 2 Z n 0 , Z n 0 + χ 2 δ γ n 2 Z n 0 , δ Z n 1 = χ Z n 0 , H ^ δ Z n 1 + χ 2 Z n 0 , H ^ δ Z n 2 + χ Z n 0 , V ^ Z n 0 + χ 2 Z n 0 , V ^ δ Z n n .
After some simplifications, we obtain:
χ 2 γ n 0 Z n 0 , δ Z n 2 + χ δ γ n 1 + χ 2 δ γ n 2 = χ Z n 0 , H ^ δ Z n 1 + χ 2 Z n 0 , H ^ δ Z n 2 + χ Z n 0 , V ^ Z n 0 + χ 2 Z n 0 , V ^ δ Z n 1 .
Next, we take into account in the calculations that δ γ n 1 = χ Z n 0 , V ^ Z n 0 and:
Z n 0 , H ^ δ Z n 2 = H ^ Z n 0 , δ Z n 2 = γ n 0 Z n 0 , δ Z n 2 .
χ 2 γ n 0 Z n 0 , δ Z n 2 + χ 2 δ γ n 2 = χ Z n 0 , H ^ δ Z n 1 + χ 2 γ n 0 Z n 0 , δ Z n 2 + χ 2 Z n 0 , V ^ δ Z n 1
We can represent our eigenfunction function in the form:
δ Z n 1 = n m c n m Z m 0 .
H ^ δ Z n 1 = n m c n m H ^ Z m 0 = n m c n m γ n 0 Z m 0 .
Z n 0 , H ^ δ Z n 1 = Z n 0 , n m c n m γ n 0 Z m 0 = 0 .
So, finally we obtain:
χ 2 δ γ n 2 = χ 2 Z n 0 , V ^ δ Z n 1
δ γ n 2 = Z n 0 , V ^ δ Z n 1 ;
δ γ n 2 = Z n 0 , V ^ n m c n m Z m 0 ;
c n m = Z m 0 , V ^ Z n 0 γ 0 n γ 0 m
δ γ n 2 = n m Z m 0 , V ^ Z n 0 γ 0 n γ 0 m Z n 0 , V ^ Z m 0 .
Let us find a correction to the highest eigenvalue.
γ 1 2 = γ 1 0 + Δ γ 2 .
δ γ 1 2 = k = 2 V k 1 ^ 2 γ 1 0 γ k 0 = k = 2 Z k 0 , V ^ Z 1 0 2 Z k 0 , V ^ Z k 0 2 γ 1 0 γ k 0
= k = 2 D λ 2 k 2 1 k 1 2 k 2 1 2 λ 2 k 2 1 π 2 4 = k = 2 4 D k 2 1 k 1 2 π 2 k 2 1 3 0.033 D .
Let us now compare the obtained analytical estimates using numerical calculations. This can provide the opportunity to check if the perturbation method yields satisfactory results.
We have an unperturbed problem that can be solved exactly; its eigenvalue is γ 1 0 . We numerically solve our original problem:
Z t = H ^ Z + V ^ Z .
The numerical estimate for the highest eigenvalue is expressed as follows:
γ 1 n u m = lim t Z t Z .
Next, the numerical correction is expressed as follows:
Δ γ n u m = γ 1 n u m γ 1 0 .
Δ γ 1 = γ 1 1 γ 1 0 ,
Δ γ 2 = γ 1 2 γ 1 0 .
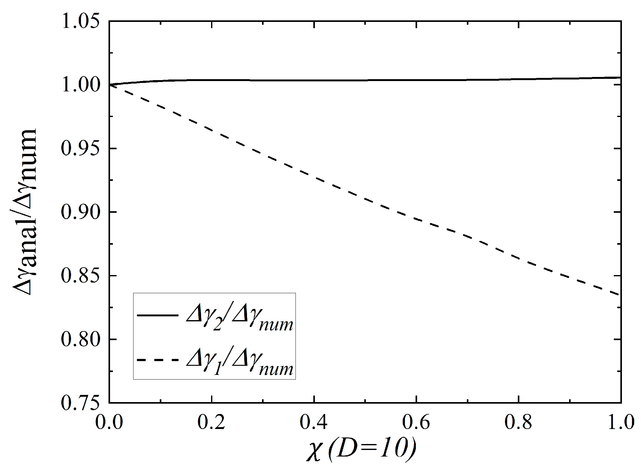
We solved equations using the implicit finite difference scheme and compared the results. As can be seen from the graphs (Figure 2), the ratio of the theoretical correction to the numerical correction, taking into account the second correction term of perturbation theory, was close to unity. However, the ratio of the theoretical correction term to the numerical term, taking into account only the first term of the perturbation theory, increased with increasing perturbation. Finally, we could conclude that taking into account both the first and second corrections of perturbation theory provides more accurate results.
It is obvious that the dynamo is the threshold mechanism. Magnetic field can grow exponentially if the dynamo number is greater than a certain critical value D c r . Thus, the field increases for D > D c r and decays for D < D c r . As for the eigenvalues, we have γ 1 > γ 2 > . . . , so the possibility of the field growth is described by the eldest eigenvalue γ 1 .
We found the critical dynamo number for the perturbed problem. To do this, we took our approximate value for the growth rate and composed an equation, the root of which was D c r :
γ 1 = γ 1 ( 0 ) + χ δ γ 1 ( 1 ) + χ 2 δ γ 1 ( 2 ) = 0 ,
π 2 4 + D c r χ D c r 2 + 0.033 χ 2 D c r = 0 .
This equation takes into account the first and second order terms connected with the perturbation, which describes the role of vertical flows in the generation of the magnetic field. The dynamo number depends on the smallness of the perturbation χ . We obtain a quadratic equation for D c r . This equation has two roots: D c r , at which the field growth begins, and D m a x , at which the field growth should stop. The second case has a specific interest (which is not closely connected with this paper), so we should take the smaller one:
D c r = 1 χ 2 ± 1 χ 2 2 + 0.033 π 2 χ 2 0.066 χ 2 2
For different χ we show critical values of the dynamo number in Table 1. The possibility of using these values was checked numerically. It is shown in Figure 2 that even for χ = 0.9 , the second term provides satisfactory results for the growth rate; so, it can be used to estimate the critical dynamo number.
It can be seen that for small values of χ the critical dynamo value is close to that of the thin disc case D c r 7 , and for higher ones it enlarges.

3. Two-Dimensional Model

The models presented in the previous paragraph describe magnetic field evolution using the simplest case, in which the toroidal magnetic field is much larger than the poloidal one. The main results for this case have been discussed in [22], so here we provide a short review and some new numerical tests. More precisely, the field is described by the toroidal component itself and the poloidal field, which can be obtained using the azimuthal part of the vector potential of the field:
B = B e φ + × A e φ
Using the same dimensionless units, the problem can be rewritten as [22]:
A t = R α z B + λ 2 2 A z 2 + 2 A r 2 + 1 r A r A r 2 ;
B t = R ω A z + λ 2 2 B z 2 + 2 B r 2 + 1 r B r B r 2 ;
where λ represents the parameter characterizing the relationship between the vertical and radial scales of the disk, R α characterizes the alpha effect, and R ω characterizes the differential rotation. More details can be found in Appendix A.
We assume that A r , z , t and B r , z , t  grow exponentially; then, the solution of the problem should be sought in the following form:
A r , z , t = A ~ r , z exp γ t ;
B r , z , t = B ~ r , z exp γ t .
Let us make the substitution Q = A / z R α / R ω 1 / 2 ; in this case, the eigenvalue problem, taking the same assumptions and boundary conditions as in the previous part, are reduced to the form ( D = R α R ω ) :
γ Q = D 1 / 2 B + χ D 1 / 2 z B z + λ 2 2 Q z 2 + 2 Q r 2 + 1 r Q r Q r 2 ;
γ B = D 1 / 2 Q + λ 2 2 B z 2 + 2 B r 2 + 1 r B r B r 2 ;
Q   r = 0 = Q   r = 1 = Q   z = λ = Q   z = + λ = 0 ;
B   r = 0 = B   r = 1 = B   z = λ = B   z = + λ = 0 .
We look for the eigenfunctions in the form:
Q n m r , z = q n m z J 1 r μ n ;
B n m r , z = b n m z J 1 r μ n .
It is convenient to rewrite the system in operator form:
γ n m u n m = D 1 / 2 A ^ u n m + χ D 1 / 2 V ^ u n m + λ 2 d 2 d z 2 u n m μ n 2 u n m ;
where u n m = q n m , b n m T ,   A ^ = 1 0 0 1 ,   V ^ = 0 z d d z 0 0 .
As for zero approximation, we have γ n m ( 0 ) = π 2 m 2 4 λ 2 μ n 2   ( μ n is the zero of the Bessel function), and correction to the eigenvalue in accordance with the perturbation theory is expressed as follows [22]:
δ γ n m ( 1 ) = u n m , V ^ u n m u n m , u n m = D 1 / 2 4 .
Thus, we calculated the first term of the eigenvalue in the case of a two-dimensional problem. The resulting eigenfunctions are shown in Figure 3 and Figure 4 for different values of the small parameter χ .
Additionally, numerical and analytical calculations of the highest eigenvalue were carried out, the results of which are presented in Table 2.
We can find the critical dynamo number for the perturbed problem in the case of a two-dimensional problem. To do this, we composed an equation, the root of which is D c r :
γ 11 ( 1 ) = γ 11 ( 0 ) + χ δ γ 11 ( 1 ) = 0 ,
D c r = π 2 4 λ 2 μ 1 2 1 χ 4 2
It can be seen that the critical dynamo number is close to the value D c r 7 for small values of χ .

4. Conclusions

In this work, we investigated the question of generation of magnetic fields in thick disks. It was shown that parabolic equations of the mean field dynamo theory, which describe its evolution, are reduced to an eigenvalue problem for the differentiation operator with respect to spatial coordinates. These eigenvalues, on the one hand, characterize the rate of exponential growth of the magnetic field; on the other hand, they show the fundamental possibility of generating a magnetic field. Thus, the growth of the field is admissible in cases when the eigenvalue is larger than zero (or, if it turned out to be complex, this would correspond to the positive real part).
In the case of thin disks, the spectral problem of magnetic field generation is exactly solvable. Eigenfunctions are first-order Bessel functions, and their zeros allow expressing eigenvalues and exponential growth rates. In this case, it is possible to obtain a critical dynamo number D c r 7. However, such a model is simplified and does not take into account the vertical structure of the magnetic field. In the event that we consider the problem for a single component of the magnetic field, then the differential operator is divided into two parts. The first part has a fundamental similarity to what was obtained in the case of the thin disc model. The second part describes vertical flows and can only be taken into account approximately. To do this, we constructed an approximation that was linear in the magnitude of the perturbation; it did not provide an acceptable accuracy for the solution. In order to obtain sufficient accuracy of the results, it was necessary to take into account a correction that is quadratic in the perturbation. In this case, the solution corresponded to the results of numerical simulation, even for sufficiently large perturbation values. The value of the critical dynamo number, which characterizes the possibility of generating a magnetic field, was obtained; it was shown to be higher (reaching values up to D c r 10 . . 12 ) than that of the dynamo model of a thin disk. Thus, it was shown that vertical flows can complicate the conditions for field generation, although they provide alpha-effect, which is necessary for the dynamo. So, we should have some balance between different factors.
We also considered the problem of generating a magnetic field within the framework of a model that takes into account a more complex structure of the field. In this case, it was necessary to solve the eigenvalue problem for an operator acting in the space of two-dimensional functions. In this case, a linear approximation was constructed. Note that quadratic approximation is extremely cumbersome. In addition, numerical simulations show that linear approximation provides much more accurate results than the case of a one-dimensional model does. Note that in this case, taking vertical fluxes into account also led to an increase in the generation threshold of the magnetic field.
This approach is not the only possible way to describe magnetic field generation. First, we should take into account the model for axially-symmetric galactic dynamos developed by Henriksen and colleagues [30,31,32]. There are exact solutions for some cases for alpha–alpha dynamo and classical dynamo with zero and non-zero diffusion. These results correspond to modern observational data connected with edge-on galaxies [33]. Mathematically, this work describes cases when equations cannot be solved exactly, but we can take into account special effects using perturbation theory.
Thus, it can be summarized that in the case of thick disks, the process of generating a magnetic field is significantly complicated. This is due to the presence of vertical flows. This result was confirmed by solving the eigenvalue problem in various approximations. In addition, it agrees with numerical simulation data.

Author Contributions

Conceptualization, E.M.; methodology, E.M.; investigation, M.P.; numerical results, M.P.; writing, E.M. and M.P. All authors have read and agreed to the published version of the manuscript.

Funding

The research of E.M. was funded by the Russian Science Foundation, grant number 19-72-30028. The research of M.P. was funded by the Theoretical Physics and Mathematics Advancement Foundation «BASIS», grant number 21-1-1-4-4.

Data Availability Statement

Data is contained within the article.

Conflicts of Interest

The authors declare no conflict of interest.

Appendix A

Here we describe the main stages of the derivation of equations for the magnetic field, based on approaches described in [21]. First, we use the Steenbeck–Krause–Raedler equation [3]:
B t = × V × B + × α B + η Δ B
where V is the regular velocity, α = τ 3 υ υ is the alpha-effect coefficient, and η is the turbulent velocity coefficient. As for velocity, we can introduce the law V = r Ω e φ , and for the alpha-effect α = α 0 z h , where α 0 is the typical value and h is the half-thickness.
If we introduce the field in Equation (57), the equation will be:
B t e φ + × A t e φ = × r Ω × A e φ + × α B e φ + η Δ B e φ + η Δ A e φ
We can divide this equation in two parts [21]. The first part corresponds to φ -component, and the second part is included into curl. If we measure the distances in units of radius of the disc and time in units of h 2 η we obtain Equations (58) and (59).
Numerical modeling shows that for linear problems A z R α R ω 1 / 2 B . So, we can rewrite the system (58)–(59) in Equation (1) and solve the equation, which describes the primary features of the problem.

References

  1. Zeldovich, Y.B.; Ruzmaikin, A.A.; Sokoloff, D.D. Magnetic Fields in Astrophysics; Gordon & Breach: New York, NY, USA, 1983. [Google Scholar]
  2. Parker, E.N. Hydromagnetic dynamo models. Astrophys. J. 1955, 122, 293–314. [Google Scholar] [CrossRef]
  3. Steenbeck, M.; Krause, F.; Radler, K.-H. A Calculation of the Mean Electromotive Force in an Electrically Conducting Fluid in Turbulent Motion, under the Influence of Coriolis Forces. Z. Für Nat. 1966, 21A, 369–376. [Google Scholar] [CrossRef]
  4. Ponomarenko, Y.B. Theory of the hydromagnetic generator. J. Appl. Mech. Tech. Phys. 1973, 14, 775–778. [Google Scholar] [CrossRef]
  5. Moffatt, H.K. Magnetic Field Generation in Electrically Conducting Fluids; Cambridge University Press: Cambridge, UK, 1978. [Google Scholar]
  6. Glatzmaier, G.A. Numerical simulations of stellar convective dynamos. I. The model and method. J. Comput. Phys. 1984, 55, 461–484. [Google Scholar] [CrossRef]
  7. Stix, M. The galactic dynamo. Astron. Astrophys. 1975, 42, 85–89. [Google Scholar]
  8. Parker, E.N. Fast Dynamos, Cosmic Rays, and the Galactic Magnetic Field. Astrophys. J. 1992, 401, 137–145. [Google Scholar] [CrossRef]
  9. Mestel, L.; Subramanian, K. Galactic dynamos and density wave theory. Mon. Not. R. Astron. Soc. 1991, 248, 677–688. [Google Scholar] [CrossRef][Green Version]
  10. Moss, D.; Sokoloff, D.; Suleimanov, V. Dynamo generated magnetic configurations in accretion discs and the nature of quasi-periodic oscillations in accreting binary systems. Astron. Astrophys. 2016, 588, A18. [Google Scholar] [CrossRef]
  11. Boneva, D.V.; Mikhailov, E.A.; Pashentseva, M.V.; Sokoloff, D.D. Magnetic fields in the accretion disks for various inner boundary conditions. Astron. Astrophys. 2021, 652, A38. [Google Scholar] [CrossRef]
  12. Steenbeck, M.; Krause, F. On the Dynamo Theory of Stellar and Planetary Magnetic Fields. I. AC Dynamos of Solar Type. Astron. Nachr. 1969, 291, 49–84. [Google Scholar] [CrossRef]
  13. Subramanian, K.; Mestel, L. Galactic dynamos and density wave theory—II. an alternative treatment for strong non-axisymmetry. Mon. Not. R. Astron. Soc. 1993, 265, 649–654. [Google Scholar] [CrossRef]
  14. Moss, D. On the generation of bisymmetric magnetic field structures in spiral galaxies by tidal interactions. Mothly Not. R. Astron. Soc. 1995, 275, 191–194. [Google Scholar] [CrossRef]
  15. Phillips, A. A comparison of the asymptotic and no-z approximations for galactic dynamos. Geophys. Astrophys. Fluid Dyn. 2001, 94, 135–150. [Google Scholar] [CrossRef]
  16. Moss, D.; Beck, R.; Sokoloff, D.; Stepanov, R.; Krause, M.; Arshakian, T.G. The relation between magnetic and material arms in models for spiral galaxies. Astron. Astrophys. 2013, 556, A147. [Google Scholar] [CrossRef]
  17. Chamandy, L.; Subramanian, K.; Shukurov, A. Galactic spiral patterns and dynamo action. In Solar and Astrophysical Dynamos and Magnetic Activity, Proceedings of the International Astronomical Union, IAU Symposium; Cambridge University Press: Cambridge, UK, 2013; pp. 249–250. [Google Scholar]
  18. Moss, D. Modelling magnetic fields in spiral galaxies. Astron. Geophys. 2012, 53, 5.23–5.28. [Google Scholar] [CrossRef]
  19. Zasov, A.V.; Moiseev, A.V.; Khoperskov, A.V.; Sidorova, E.A. Early-type disk galaxies: Structure and kinematics. Astron. Rep. 2008, 52, 79–93. [Google Scholar] [CrossRef]
  20. Abolmasov, P.; Chashkina, A. On the Eddington limit for relativistic accretion discs. Mon. Not. R. Astron. Soc. 2015, 454, 3432–3444. [Google Scholar] [CrossRef][Green Version]
  21. Mikhailov, E.A. A dynamo in a torus as an explanation of magnetic fields in the outer rings of galaxies. Astron. Rep. 2017, 61, 739–746. [Google Scholar] [CrossRef]
  22. Mikhailov, E.A.; Pashentseva, M.V. The Eigenvalue Problem for a Dynamo in a Thick Disk and the Threshold of Magnetic Field Generation. Mosc. Univ. Phys. Bull. 2022, 77, 741–746. [Google Scholar] [CrossRef]
  23. Mikhailov, E.A. Magnetic Field Growth Rate in Galactic Disks for Different One-Dimensional Approximations. Bull. Lebedev Phys. Inst. 2023, 50, 39–44. [Google Scholar] [CrossRef]
  24. Yang, X.; Wu, L.; Zhang, H. A space-time spectral order sinc-collocation method for the fourth-order nonlocal heat model arising in viscoelasticity. Appl. Math. Comput. 2023, 457, 128192. [Google Scholar] [CrossRef]
  25. Zhang, H.; Yang, X.; Xu, D. A high-order numerical method for solving the 2D fourth-order reaction-diffusion equation. Numer. Algorythms 2019, 80, 849–877. [Google Scholar] [CrossRef]
  26. Sur, S.; Shukurov, A.; Subramanian, K. Galactic dynamos supported by magnetic helicity fluxes. Mothly Not. R. Astron. Soc. 2007, 377, 874–882. [Google Scholar] [CrossRef]
  27. Deinzer, W.; Grosser, H.; Schmitt, D. Torus dynamos for galaxies and accretion disks. I. The axisymmetric alpha omega-dynamo embedded into vacuum. Astron. Astrophys. 1993, 273, 405–414. [Google Scholar]
  28. Tikhonov, A.N.; Samarasky, A.A. Equations of Mathematical Physics; Dover Publications: New York, NY, USA, 1990. [Google Scholar]
  29. Landau, L.D.; Lifshitz, E.M. Theoretical Physics. Quantum Mechanics (Non-Relativistic Theory); Pergamon Press: Oxford, UK, 1977. [Google Scholar]
  30. Henriksen, R.N. Magnetic spiral arms in galaxy haloes. Mon. Not. R. Astron. Soc. 2017, 469, 4806–4830. [Google Scholar] [CrossRef]
  31. Henriksen, R.N.; Woodfinden, A.; Irwin, J.A. Exact axially symmetric galactic dynamos. Mon. Not. R. Astron. Soc. 2018, 476, 635–645. [Google Scholar] [CrossRef]
  32. West, J.L.; Henriksen, R.N.; Ferriere, K.; Woodfinden, A.; Jaffe, T.; Gaensler, B.M.; Irwin, J.A. Helicity in the large-scale Galactic magnetic field. Mon. Not. R. Astron. Soc. 2020, 499, 3673–3689. [Google Scholar] [CrossRef]
  33. Irwin, J.; Damas-Segovia, A.; Krause, M.; Miskolczi, A.; Li, J.; Stein, Y.; English, J.; Henriksen, R.; Beck, R.; Wiegert, T.; et al. CHANG-ES: XVIII—The CHANG-ES Survey and Selected Results. Galaxies 2019, 7, 42. [Google Scholar] [CrossRef]
Figure 1. Dependence of the function Q1 on the z-coordinate.
Figure 1. Dependence of the function Q1 on the z-coordinate.
Mathematics 11 03106 g001
Figure 2. Dependence of the ratio of the theoretical correction to the numerical correction on the smallness of perturbation.
Figure 2. Dependence of the ratio of the theoretical correction to the numerical correction on the smallness of perturbation.
Mathematics 11 03106 g002
Figure 3. Dependence of functions Q and B on distance to the center for χ = 0.5 .
Figure 3. Dependence of functions Q and B on distance to the center for χ = 0.5 .
Mathematics 11 03106 g003
Figure 4. Dependence of functions Q and B on distance to the center for χ = 0.3 .
Figure 4. Dependence of functions Q and B on distance to the center for χ = 0.3 .
Mathematics 11 03106 g004
Table 1. Values of critical dynamo numbers for different values of the small parameter in a one-dimensional model.
Table 1. Values of critical dynamo numbers for different values of the small parameter in a one-dimensional model.
χ D c r
0.16.75
0.27.58
0.38.6
0.49.92
0.511.6
0.614.17
0.718.01
0.824.88
0.943.68
Table 2. Dependence of the growth rate on the dynamo number D.
Table 2. Dependence of the growth rate on the dynamo number D.
D χ = 0 χ = 0.5
Analytical
Solution
Numerical
Solution
Analytical
Solution
Numerical
Solution
6−0.03−0.02−0.34−0.35
120.980.990.550.53
181.761.771.231.20
Disclaimer/Publisher’s Note: The statements, opinions and data contained in all publications are solely those of the individual author(s) and contributor(s) and not of MDPI and/or the editor(s). MDPI and/or the editor(s) disclaim responsibility for any injury to people or property resulting from any ideas, methods, instructions or products referred to in the content.

Share and Cite

MDPI and ACS Style

Mikhailov, E.; Pashentseva, M. Eigenvalue Problem for a Reduced Dynamo Model in Thick Astrophysical Discs. Mathematics 2023, 11, 3106. https://doi.org/10.3390/math11143106

AMA Style

Mikhailov E, Pashentseva M. Eigenvalue Problem for a Reduced Dynamo Model in Thick Astrophysical Discs. Mathematics. 2023; 11(14):3106. https://doi.org/10.3390/math11143106

Chicago/Turabian Style

Mikhailov, Evgeny, and Maria Pashentseva. 2023. "Eigenvalue Problem for a Reduced Dynamo Model in Thick Astrophysical Discs" Mathematics 11, no. 14: 3106. https://doi.org/10.3390/math11143106

APA Style

Mikhailov, E., & Pashentseva, M. (2023). Eigenvalue Problem for a Reduced Dynamo Model in Thick Astrophysical Discs. Mathematics, 11(14), 3106. https://doi.org/10.3390/math11143106

Note that from the first issue of 2016, this journal uses article numbers instead of page numbers. See further details here.

Article Metrics

Back to TopTop