Next Article in Journal
Left (Right) Regular and Transposition Regular Semigroups and Their Structures
Previous Article in Journal
Optimal Time-Consistent Investment and Premium Control Strategies for Insurers with Constraint under the Heston Model
 
 
Font Type:
Arial Georgia Verdana
Font Size:
Aa Aa Aa
Line Spacing:
Column Width:
Background:
Article

Characterizing One-Sided Formal Concept Analysis by Multi-Adjoint Concept Lattices

by
María José Benítez-Caballero
*,†,
Jesús Medina
and
Eloísa Ramírez-Poussa
Department of Mathematics, University of Cádiz, 11510 Cádiz, Spain
*
Author to whom correspondence should be addressed.
These authors contributed equally to this work.
Mathematics 2022, 10(7), 1020; https://doi.org/10.3390/math10071020
Submission received: 4 February 2022 / Revised: 3 March 2022 / Accepted: 14 March 2022 / Published: 22 March 2022
(This article belongs to the Section D2: Operations Research and Fuzzy Decision Making)

Abstract

Managing and extracting information from databases is one of the main goals in several fields, as in Formal Concept Analysis (FCA). One-sided concept lattices and multi-adjoint concept lattices are two frameworks in FCA that have been developed in parallel. This paper shows that one-sided concept lattices are particular cases of multi-adjoint concept lattices. As a first consequence of this characterization, a new attribute reduction mechanism has been introduced in the one-side framework.

1. Introduction

One of the most important targets in several research fields, related to the analysis of databases, is to manage information and to reduce the size of data keeping the collected knowledge. Formal Concept Analysis (FCA) [1] is one of these fields, in which the databases are presented as a set of objects, a set of attributes and a relation between them. The information is collected as pairs of subsets, called concepts, and composed of a subset of objects and a subset of attributes, which are each characterized by the other. Moreover, a hierarchy among the concepts is used in order to create the concept lattice. There are several approaches to build concepts in fuzzy environments. One philosophy is to consider fuzzy subsets of attributes and objects [2,3,4,5,6], which is the most usual approach, and another one is called (generalized) one-sided formal concept analysis [7,8,9], where only the set of objects or the set attributes is fuzzy, while the other one is crisp, originally studied by Krajči in [10]. In this paper, we will focus on generalized one-sided and multi-adjoint formal concept analysis, although similar results could be introduced in a general framework, allowing the definition of adjoint triples, such as in generalized heterogeneous formal contexts [11].
Multi-adjoint formal concept analysis [5] arose as a generalization of diverse fuzzy FCA frameworks [2,3,4,6], in which several adjoint-triples [12,13,14] are considered in order to build the forming-concept operators. As a consequence, different degrees of preference can be established over the set of objects and/or attributes.
One important goal in FCA is to reduce the complexity to manage the information collected in databases, which is associated with the notion of reducts. Reducts are minimal sets of attributes from which the stored information remains unaltered. The reduction mechanisms and, specifically, the notion of reducts are well-studied issues in FCA [6,15,16,17,18,19,20,21].
In this paper, we present a specific adjoint triple, which will be called the left-sided adjoint triple, such that the generalized one-sided formal concept analysis can be described as a particular case of a multi-adjoint concept lattice considering such a triple. However, this result cannot be obtained in other fuzzy frameworks, such as the ones considering left-continuous t-norms [2,3,4,6]. As a consequence of this fact, all of the theory developed in multi-adjoint concept lattice can be applied to the one-sided framework, such as the attribute reduction mechanism and algorithms developed in the multi-adjoint framework [22]. On this note, in order to show this fact, we will translate some notions and results related to the reduction mechanisms given in the multi-adjoint concept lattice framework into the one-sided framework. Furthermore, we will compare this new reduction mechanism with other procedures described in the generalized one-sided FCA framework [9,23,24]. These results will be illustrated through several examples.
The paper is organized as follows: First of all, some preliminary notions and results of the approaches of FCA will be recalled in Section 2. Then, in Section 3, the left-sided adjoint triple will be defined, as well as the characterization of one-sided concept lattice. Once these notions and results will be presented, they will be applied in Section 4 to attribute reduction. Section 5 will show the introduced notions and results using an example. Finally, conclusions and future works are included in Section 6.

2. Preliminaries

First of all, we will recall the basic notions and results of formal concept analysis and its generalizations: multi-adjoint and generalized one-sided formal concept analysis.

2.1. Multi-Adjoint Formal Concept Analysis

The concept-forming operators are defined by means of the adjoint triples. These operators generalize a triangular norm and its residuated implication [25].
Definition 1.
Let ( P 1 , 1 ) , ( P 2 , 2 ) , ( P 3 , 3 ) be posets and & : P 1 × P 2 P 3 , : P 3 × P 2 P 1 and : P 3 × P 1 P 2 be mappings; then, ( & , , ) is an adjoint triple with respect to P 1 , P 2 , P 3 if the following double equivalence holds:
x 1 z y iff x & y 3 z iff y 2 z x
for all x P 1 , y P 2 and z P 3 . This double equivalence is called an adjoint property.
As it was described in [5], the posets ( P 1 , 1 ) and ( P 2 , 2 ) must be complete lattices when a multi-adjoint concept lattice environment is considered.
Definition 2.
A multi-adjoint frame L is a tuple:
( L 1 , L 2 , P , 1 , 2 , , & 1 , 1 , 1 , , & n , n , n )
where ( L 1 , 1 ) and ( L 2 , 2 ) are complete lattices, ( P , ) is a poset and, for all { i = 1 , , n } , ( & i , i , i ) is an adjoint triple with respect to L 1 , L 2 , P .
Multi-adjoint frames are denoted as ( L 1 , L 2 , P , & 1 , , & n ) .
The operators of an adjoint triple verify some boundaries’ properties, which are recalled in the following result.
Proposition 1.
Given an adjoint triple ( & , , ) with respect to the bounded posets ( P 1 , 1 , 1 , 1 ) , ( P 2 , 2 , 2 , 2 ) and ( P 3 , 3 , 3 , 3 ) , the following boundary conditions are held:
1.
1 & y = 3 y x & 2 = 3 , for all x P 1 , y P 2 ;
2.
z 1 = 2 y z 2 = 1 , for all z P 3 ;
3.
3 x = 2 y 3 y = 1 , for all x P 1 , y P 2 .
In [12], the proof of the following result connecting boundary conditions is presented.
Proposition 2
([12]). Let us consider an adjoint triple ( & , , ) with respect to the posets ( P 1 , 1 , 1 , 1 ) , ( P 2 , 2 , 2 , 2 ) and ( P 3 , 3 , 3 , 3 ) . If P 1 = P 3 , we have that the following equivalence is satisfied:
z 2 = z , f o r a l l z P 3 i f a n d o n l y i f x & 2 = x , f o r a l l x P 1
Specifically, in this paper, we will need the adjoint conjunctors & i , for all i { 1 , , n } , satisfy the boundary condition with the top element:
i & i x = x
Considering a frame, a context is defined as usual, adding a function which designates an adjoint triple to each pair of objects and attributes. This notion is formalized in the following definition.
Definition 3.
Let us consider ( L 1 , L 2 , P , & 1 , , & n ) a multi-adjoint frame: A context is a tuple ( O , P , R , σ ) , where P is the set of objects and O is the set of attributes, both non-empty sets; R is a P-fuzzy relation R : O × P P ; and σ : O × P { 1 , , n } is a mapping which associates a specific adjoint triple in the frame with any element in O × P .
Now, we will reformulate the concept-forming operators when a multi-adjoint frame and a context for that frame are considered. Let L 1 O and L 2 P be a set of fuzzy subsets g : O L 1 and f : P L 2 , respectively. The concept-forming operators, σ : L 1 O L 2 P and σ : L 2 P L 1 O are defined, for all g L 1 O , f L 2 P and a P , x O , as:
g σ ( a ) = inf { R ( x , a ) σ ( x , a ) g ( x ) x O }
f σ ( x ) = inf { R ( x , a ) σ ( x , a ) f ( a ) a P }
The defined operators form a Galois connection [5]. Hence, the definition of a concept is as usual: A pair g , f is called a multi-adjoint concept if g L 1 O , f L 2 P and if equalities g σ = f and f σ = g with ( σ , σ ) holds. The set g is the extent of the concept; meanwhile, the set f is the intent.
Given g L 1 O (resp. f L 2 P ), the concept generated by g (resp. f) is defined as the concept g σ σ , g σ (resp. f σ , f σ σ ).
Definition 4.
The multi-adjoint concept lattice associated with a multi-adjoint frame ( L 1 , L 2 , P , & 1 , , & n ) and a context ( O , P , R , σ ) is the set:
M ( O , P , R , σ ) = { g , f g L 1 O , f L 2 P a n d g σ = f , f σ = g }
in which the ordering is defined by g 1 , f 1 g 2 , f 2 i f a n d only i f g 1 2 g 2 (equivalently f 2 1 f 1 ).
The ordering just defined above provides M ( O , P , R , σ ) with the structure of a complete lattice [5].
Henceforth, a multi-adjoint concept lattice, together with the considered ordering, will be denoted as ( M , ) , when no confusion with the context exists.
Hereinafter, with a view to simplify the notation, we are writing and as an alternative of σ and σ , respectively.

2.2. Attribute Classification in Multi-Adjoint Concept Lattices

The theory for attribute reduction in multi-adjoint concept lattices will be recalled in this section [15,16]. From now on, a multi-adjoint frame ( L 1 , L 2 , P , & 1 , , & n ) and a context ( O , P , R , σ ) will be fixed.
The following definition presents the most natural extension of a consistent set in the multi-adjoint framework. We will denote the restriction of R and σ to a subset of attributes Y P and to a subset O × Y O × P as R Y and σ O × P , respectively.
Definition 5.
An arbitrary subset of attributes Y P is called a consistent set of ( O , P , R , σ ) if M ( O , Y , R Y , σ O × Y ) E M ( O , P , R , σ ) , where E denotes an isomorphism preserving extents. This is equivalent to stating that, for all g , f M ( O , P , R , σ ) , there exists a concept g , f M ( O , Y , R Y , σ O × Y ) , such that g = g .
Moreover, if M ( O , Y \ { a } , R Y \ { a } , σ O × Y \ { a } ) ¬ E M ( O , P , R , σ ) , for all a Y , then Y is called a reduct of ( O , P , R , σ ) .
The core of ( O , P , R , σ ) is the intersection of all the reducts of ( O , P , R , σ ) .
Considering the definition of reducts, three types of attributes arise.
Definition 6.
Given a multi-adjoint formal context ( O , P , R , σ ) and the set Y = { Y P Y i s a r e d u c t } of all the reducts of ( O , P , R , σ ) , the set of attributes P is split into the following three parts:
1.
Absolutely necessary attributes (core attribute) C f = Y Y Y ;
2.
Relatively necessary attributes K f = ( Y Y Y ) \ ( Y Y Y ) ;
3.
Absolutely unnecessary attributes I f = P \ ( Y Y Y ) .
The main idea in attribute reduction in formal concept analysis is to classify the attributes from the irreducible elements in the concept lattice. Therefore, the definition of the irreducible element of a lattice will be introduced.
Definition 7.
Given a lattice ( L , ) , such that , are the meet and the join operators, respectively, an element x L verifies the following:
1.
If L has a top element , then x .
2.
If x = y z , then x = y or x = z for all y , z L .
This is called the meet-irreducible (∧-irreducible) element of L.
A join-irreducible (∨-irreducible) element of L is defined dually.
Note that we have that x is a ∧-irreducible element if it cannot be represented as the infimum of strictly greater elements. Then, Condition ( 2 ) is equivalent to the following:
2′.
If x < y and x < z , then x < y z , for all y , z L .
In order to recall a characterization of the meet-irreducible elements of a multi-adjoint concept lattice, we need to consider a multi-adjoint concept lattice ( M , ) associated with a multi-adjoint frame ( L 1 , L 2 , P , & 1 , , & n ) , a context ( O , P , R , σ ) , where L 1 , L 2 , P, P and O are finite and the following specific family of fuzzy subsets of L 2 P are held.
Definition 8.
For each a P , the fuzzy subsets of attributes ϕ a , β L 2 P are defined, for all β L 2 , as:
ϕ a , β ( a ) = β i f   a = a 0 i f   a a
and will be called fuzzy-attributes. The set of all fuzzy-attributes will be denoted as Φ = { ϕ a , β a P , β L 2 } .
Now, we can recall a characterization of the meet-irreducible elements of a multi-adjoint concept lattice [15]. A similar result can be given to the join-irreducible elements.
Theorem 1
([15]). The set of ∧-irreducible elements of M , M F ( O , P , R , σ ) , is:
ϕ a , β , ϕ a , β ϕ a , β { ϕ a i , β i ϕ a i , β i Φ , ϕ a , β 2 ϕ a i , β i } a n d ϕ a , β g
where is the maximum element in L 1 , and g : O L 1 is the fuzzy subset defined as g ( x ) = for all x O .
As a way to simplify notation, we will denote M F ( P ) instead of M F ( O , P , R , σ ) .
In order to present the attribute classification theorems in this fuzzy framework, we need to recall the definition of the set formed by the attributes that generate a given concept.
Definition 9.
Given a multi-adjoint frame ( L 1 , L 2 , P , & 1 , , & n ) , a context ( O , P , R , σ ) associated with the concept lattice ( M , ) and a concept C of ( M , ) , the set of attributes generating C is the following set:
A t g ( C ) = { a P t h e r e e x i s t s β L 2 s u c h t h a t ϕ a , β , ϕ a , β = C }
The following result characterizes the absolutely necessary attributes.
Theorem 2
([16]). Given an attribute a P , then a C f if and only if there exists a meet-irreducible concept C of ( M , ) satisfying that a A t g ( C ) and c a r d ( A t g ( C ) ) = 1 .
The characterization of the relatively necessary attributes is given as follows:
Theorem 3
([16]). Given an attribute a P , then a K f if and only if a C f and there exists C M F ( P ) with a A t g ( C ) and c a r d ( A t g ( C ) ) > 1 , satisfying that P \ A t g ( C ) { a } is a consistent set.
In addition, we will need a characterization of the set of absolutely unnecessary attributes when the attributes generating a concept are considered. This idea is recalled in the following proposition.
Theorem 4
([16]). Given an attribute a P , then a I f if and only if, for any C M F ( P ) , a A t g ( C ) , or if a A t g ( C ) , then P \ A t g ( C ) { a } is not a consistent set.

2.3. Generalized One-Sided Concept Lattices

In this section, we are going to consider the notions and results of the generalized one-sided concept lattices presented in [9]. In this framework, we consider the direct product i I L i of a family of lattices L i for i L i defined as the set of all functions f : I i I L i verifying that f ( i ) L i , for all i I when the componentwise order is considered, which means f g if f ( i ) g ( i ) , for all i I . If L i = L for all i I , we obtain a representation of the L-fuzzy subsets over the considered universe.
A generalized one-side formal context is defined as a four-tuple ( O , P , L , R ) , where O and P are non-empty sets, usually play the role of objects and attributes, respectively; L is a mapping that assigns a complete lattice to each attribute a P ; and R : O × P i I L i is a generalized incidence relation. That is, R ( x , a ) is the degree of the structure L ( a ) if the object x has the attribute a. Note that, traditionally, the contexts in the multi-adjoint concept lattice framework are denoted as ( P , O , R , σ ) , the set of attributes appearing first. Since the main purpose of this paper is to show that the generalized one-sided concept lattice can be seen as a particular case of the multi-adjoint concept lattice, in order to make a simpler reading of the paper, we will write multi-adjoint concept lattice starting from the object set, unlike in [5].
Considering the definition of the direct product and the description of generalized one-side formal context, the definition of the concept-forming operators is rewritten in this environment as the two mappings : 2 O a P L ( a ) and : a P L ( a ) 2 O , for all X O and f a P L ( a ) :
X ( a ) = x X R ( x , a )
( f ) = { x O for all a P , f ( a ) R ( x , a ) }
which form a Galois connection [9].
As it is described in [24], given a generalized one-sided formal context ( O , P , L , R ) , a generalized one-sided concept of ( O , P , L , R ) is a pair ( X , g ) 2 O × a P L ( a ) verifying X = ( g ) and X = g . Therefore, the set of all generalized one-sided concepts of ( O , P , L , R ) is denoted as C O ( O , P , L , R ) . A generalized one-sided concept lattice is the set C O ( O , P , L , R ) equipped with the partial order ≤.
In order to simplify the notation, we will consider that L ( a ) = L for all a P , obtaining the one-sided formal context with incidence relation R : O × P L and L-fuzzy subsets of attributes L P . Notice that this assumption is only a simplification, and the notions and results presented in this paper are easily translated into the generalized one-sided framework. Indeed, the last example given in Section 5 is developed in a generalized one-sided framework.

3. Comparison with One-Sided Concept Lattices

This section will study the relationship of one-sided concept lattices with the multi-adjoint concept lattices. As we commented in the introduction, this comparison can be performed on any concept lattice framework in which adjoint triples can be defined, such as in generalized heterogeneous formal contexts [11]. This also shows the possibility of translating the results given in these general approaches into the one-side concept lattice framework. Specifically, we will show that the one-sided concept lattices are particular cases of the multi-adjoint concept lattices in which only an explicit adjoint triple is considered.
Theorem 5.
Let us consider two posets, ( P , P , P , P ) and ( Q , Q , Q , Q ) . The mappings & l : P × Q P , l : P × P Q and l : P × Q P are defined as follows:
z l x = Q i f x P z Q o t h e r w i s e
z l y = P i f y = Q z i f y Q
x & l y = x i f y Q P i f y = Q
for all x , z P , y Q , forming an adjoint triple. This triple ( & l , l , l ) is called a left-sided adjoint triple.
Proof. 
We will prove if the following adjoint property is satisfied:
x P z l y iff x & l y P z iff y Q z l x .
First of all, we are going to prove the first equivalence, x P z l y iff x & l y P z , for all x , z P , y Q . Given x , z P , y Q , if we assume the inequality x P z l y , by the definition of the mapping & l provided in Expression (9), we have that if y = Q , then x & l y = x & l Q = P . Therefore, we obtain that x & l y = P P z . Then, we have that x & l y P z , if y = Q .
On the other hand, if y Q , then z l y = z , by Expression (8). Moreover, by the definition of the conjunctor & l given in Expression (9), we obtain that x & l y = x . Therefore, the equality x & l y = x P z holds for all y Q .
In order to prove the converse implication, we follow an analogous reasoning. That is, we consider that the inequality x & l y P z is satisfied: (1) If y = Q , then x P P = z l y ; (2) otherwise, if y Q , then x = x & l y P z = z l y .
Now, we will prove the second equivalence of the adjoint property (that is, x & l y P z iff y Q z l x for all x , z P , y Q ). Given x , z P , y Q , first of all, we are taking into account that the inequality x & l y P z holds. If y Q , then by Expression (9), we have that x = x & y P z , and so, by definition of mapping l given in Expression (7), we obtain y Q Q = z l x . Now, if y = Q , we straightforwardly have that y = Q Q z l x .
Now, we will prove the converse. Hence, we assume now that the inequality y Q z l x holds. If x P z , then by Expression (7), we have that x & l y P x P z . Otherwise, y Q z l x = Q , and so x & l y = x & l Q = P P z is satisfied.
Hence, the adjoint property is fulfilled for the defined triple ( & l , l , l ) . □
The terminology ‘left-side’ arises because of the defined conjunctor only takes into account the first argument in non-trivial cases (left side of the expression x & l y ). Analogously, the right-sided adjoint triple can be defined when the second argument of the conjuntor operator is considered. Notice that these operators cannot define a residuated lattice, and so concept lattices defined on this structure cannot be taken into account.
From now on, we will consider the left-sided adjoint triple as the only adjoint triple into the multi-adjoint frame, and we will simply call it an adjoint frame. As a consequence, the mapping σ will constantly assign the left-sided adjoint triple, and so it will not be included in this context.
The following result shows that the generalized one-sided formal concept is a particular case of the multi-adjoint concept lattice.
Theorem 6.
Given an adjoint context ( O , P , R ) and the adjoint frame ( L , { 0 , 1 } , L , & l , l , l ) , we obtain that ( O , P , R ) is a one-sided formal context and the associated concept-forming operators verify the following equalities:
X ( a ) = χ X ( a ) χ ( f ) = f
for all X O , a P , where χ X and χ ( f ) are the characteristic mappings of X and ( f ) , respectively, and f L 1 P .
Proof. 
First of all, we will prove that the concept-forming operators considered in the one-sided framework are equivalent to the ones obtained when a left-sided adjoint triple is considered. By definition of the concept-forming operator presented in Expression (3), we have for every attribute a P that:
χ X ( a ) = inf { R ( x , a ) l χ X ( x ) x O }
Since χ X is the characteristic mapping of the set X and we are considering the left-sided adjoint-triple (Expression (8)), we obtain that:
R ( x , a ) l χ X ( x ) = if x X c R ( x , a ) if x X
Therefore, taking this into account, we have that:
χ X ( a ) = inf { inf { R ( x , a ) x X } , inf { x X c } } = inf { R ( x , a ) x X } = X ( a )
Now, taking into account the definition of the concept-forming operator described in Expression (4), we have that:
f ( x ) = inf { R ( x , a ) l f ( a ) a P }
for all objects x O . As the mapping l is defined in Expression (7), we have that:
R ( x , a ) l f ( a ) = if f ( a ) R ( x , a ) otherwise
Therefore, if there exists an attribute a P verifying that f ( a ) R ( x , a ) , we obtain that f ( x ) = . As a consequence:
f ( x ) = if f ( a ) R ( x , a ) , for all a P otherwise = χ ( f ) ( x )
That is: χ ( f ) = f . □
Notice that the theorem above can also be proved in the framework of the generalized one-side concept lattice framework [9], considering the set a P L ( a ) (one lattice for each attribute) instead of only L 1 . Hence, in this case, the list f a P L ( a ) can clearly be interpreted as a mapping f : P a P L ( a ) , where ⊎ represents the disjoint union of sets.
Therefore, the (generalized) one-sided concept lattice framework can be seen as a particular case of the multi-adjoint case and, as a consequence, the theory developed in the last one can be applied to the former one. However, due to & l not being a t-norm, a similar relationship with a residuated lattice cannot be given. Recall that a t-norm is a binary operation verifying the commutative, associative, monotonicity properties and the boundary condition; as & l does not fulfill the commutative property, & l is not a t-norm [26].
In the following example, we are going to apply the left-sided adjoint triple in order to compute the concepts of a given context. In addition, we are going to compare these concepts and the ones obtained in the one-sided framework [24].
Example 1.
We will consider the one-sided formal context ( P , O , L , R ) , where P = { a , b , c , d } is the set of attributes; O = { x 1 , x 2 , x 3 , x 4 } is the set of objects; L is the 3-element chain, shown on the left of Figure 1; L ( a i ) = L for all a i P ; and R is the relation presented on the right of Figure 1.
Now, we consider the subset of objects X = { x 2 , x 3 } . Given the attribute a, we take into account the one-sided concept forming operator and we have that:
X ( a ) = x X R ( x , a ) = { 3 , 1 } = 1
Performing the same computation for the rest of attributes, we obtain that:
X = ( 1 , 2 , 1 , 2 ) L ( a ) × L ( b ) × L ( c ) × L ( d ) = L 4
Afterwards, for the same subset of objects, we will consider the left-sided adjoint triple in order to compute χ X , where:
χ X ( x ) = 3 i f x X 1 i f x X c
By the definition of the concept-forming operator presented in Expression (3) and the left-sided adjoint triple described in Theorem 5, we have for the attribute a that:
χ X ( a ) = inf { R ( x i , a ) l χ X ( x i ) x i O } = inf { 2 l 1 , 3 l 3 , 1 l 3 , 3 l 1 } = inf { 3 , 3 , 1 , 3 } = 1
We follow the same procedure for the rest of attributes, obtaining:
χ X = { 1 / a , 2 / b , 1 / c , 2 / d }
In order to simplify expressions, the attribute with the bottom element as truth-value will be removed from the set. Hence, for example, we will write in the expression above { 2 / b , 2 / d } instead of { 1 / a , 2 / b , 1 / c , 2 / d } . In addition, when the truth-value of the attribute is the top element, we will write the attribute without this value. Notice that the notation used in fuzzy FCA is different from the one used in one-sided FCA. Nevertheless, the same information over the attributes is represented in both sets. Therefore, we have that X = χ X , as Theorem 6 asserts.
On the other hand, we will compare the other concept-forming operator. In this case, we are going to consider, for example, the values f = ( 1 , 2 , 1 , 2 ) L 4 . Considering the definition presented in Expression (5), we have that:
χ ( f ) = { x O for all a P , f ( a ) R ( x , a ) } = { x 2 , x 3 , x 4 }
Considering now the usual definition of concept-forming operator presented in Expression (4) and the left-sided adjoint triple presented in Theorem 5, we obtain that:
f ( x 1 ) = inf { R ( x 1 , a ) l f ( a ) a P } = inf { 2 l 1 , 1 l 2 , 1 l 1 , 1 l 2 } = inf { 3 , 1 , 3 , 1 } = 1
If we apply this operator to the rest of the objects, we obtain the following (as we previously commented, when the truth-value of the attribute is the top element, we will not include this value; this is why, for instance, we write x 2 instead of 3 / x 2 ):
f = { x 2 , x 3 , x 4 }
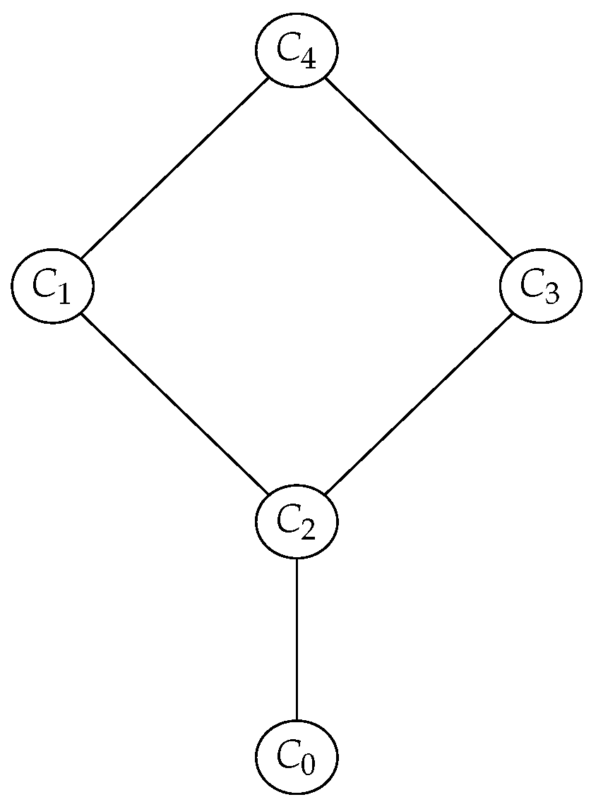
Taking advantage of the relationship given by Theorem 6 and the algorithms of the multi-adjoint framework, we can compute and display all the concepts from the given formal context. In Table 1, the concepts of the lattice are listed, as well as the fuzzy attributes generating each concept. Considering the ordering defined on the set of concepts (inclusion in the subsets of objects), we obtain the lattice shown in Figure 2.
Now, we introduce the notion of concept lattice in this framework as usual.
Definition 10.
The left-sided concept lattice associated with an adjoint frame ( L 1 , L 2 , P , & l , l , l ) and a context ( O , P , R ) is the set:
M l ( O , P , R ) = { X , f X O , f L 1 P a n d X = f , f = X }
in which the ordering is defined by X , f 1 l X , f 2 i f a n d o n l y i f X X (equivalently, f 2 1 f 1 ).
In the rest of the paper, an adjoint formal context ( O , P , R ) and an adjoint frame ( L 1 , L 2 , P , & l , l , l ) will be fixed. The associated concept lattice will be denoted as ( M l , l ) .

4. Reducing Left-Sided Concept Lattices

This section will introduce a first application of the previous characterization on attribute reduction. Specifically, we will apply the attribute reduction results given in the multi-adjoint framework [15,16,27] to the one-sided framework. Hence, we will reformulate the notions and results needed to compute the reduction of a formal context (attributes or objects), when the left-sided adjoint triple is considered. First of all, we will rewrite the notions of consistent set and reduct on the set of objects.
Definition 11.
An arbitrary set of objects B O is called an object consistent set of ( O , P , R ) if M l ( B , P , R B ) E M l ( O , P , R ) . This is equivalent to say that, for all X , f M l ( P , O , R ) , there exists a concept X , f M l ( B , P , R B ) such that X = X .
Moreover, if M l ( B \ { x } , P , R B \ { x } ) E M l ( O , P , R ) , for all b B , then B is called an object reduct of ( O , P , R ) . The core of ( O , P , R ) is the intersection of all the object reducts of ( O , P , R ) .
The following result presents how the objects can be sorted into three groups, as Definition 6 did with the set of attributes.
Definition 12.
Let us consider a multi-adjoint formal context ( O , P , R , σ ) and the set X = { X O X i s a n o b j e c ct r e d u c t } of all the object reducts of ( O , P , R , σ ) , the set of objects O is split into the following three parts:
1.
Absolutely necessary objects (core object) C O = X X X ;
2.
Relatively necessary objects K O = ( X X X ) \ ( X X X ) ;
3.
Absolutely unnecessary objects I O = P \ ( X X X ) .
As we are going to run the reduction mechanism in a left-sided context, we express the characterization of the meet-irreducible elements given in [15] and recalled in Theorem 1 to the one-side framework.
Theorem 7.
The set of ∧-irreducible elements of M l , denoted as M F ( P ) is:
ϕ a , α , ϕ a , α ϕ a , α { ϕ a i , α i ϕ a i , α i Φ , ϕ a , α ϕ a i , α i } a n d ϕ a , α O
Proof. 
The proof follows from Theorems 6 and 1. □
As a consequence, classification Theorems 2–4 (originally introduced in [16]) can be directly applied to the one-side concept lattice framework. In the following example, we apply these theorems to the left-sided context presented in Example 1.
Example 2.
We will continue with the context presented in Example 1. In this case, as it is a one-sided formal context, we will consider the caracterization of the meet-irreducible elements presented in Theorem 7 in order to compute their meet-irreducible concepts.
Hence, we obtain that the concepts C 0 , C 1 and C 3 are meet-irreducible elements of the lattice. Now, taking into account the classification theorems, the following classification over the attributes is obtained:
C f = { a , b } I f = { c , d }
Hence, only one reduct D = { a , b } is obtained.
In the same way that we have done with meet-irreducible elements, we are going to introduce the characterization of join-irreducible elements in a left-sided concept lattice framework. Hence, in this case, we are going to use objects to generate the concepts instead of fuzzy attributes.
Proposition 3.
The set of ∨-irreducible elements of M l is:
J F ( O ) = ( x , x ) x { x i x x i } a n d x f
where is the least element in L 2 and f : P L 1 is the fuzzy subset defined as f ( a ) = , for all a P .
Proof. 
The proof holds considering the dual result of Theorem 1 on join-irreducible elements and Theorem 6. □
In the following definition, we introduce a specific notation to the set of objects that generates a concept. This notion is needed in order to reformulate the classification theorems.
Definition 13.
A context ( P , O , R ) associated with the concept lattice ( M l , ) and a concept C of ( M l , ) , the set of objects generating C is defined as the set:
O b g ( C ) = { x O s u c h t h a t x , x = C }
Now, we will write the classification theorems from the point-of-view of the objects. In this case, the classification is carried out by means of the join-irreducible elements. First of all, the characterization of the objects of the core is presented.
Theorem 8.
Given an object x O , we have that x C O if and only if there exists a join-irreducible concept C of ( M l , ) satisfying that x O b g ( C ) and c a r d ( O b g ( C ) ) = 1 .
Proof. 
The result is straightly obtained by duality from Theorem 2 and Proposition 3. □
The following result rewrites the characterization of the relatively necessary objects, in terms of left-sided concept lattices.
Theorem 9.
Given an object x O , then x K g if and only if x C g and there exists C J F ( O ) with x O b g ( C ) and c a r d ( O b g ( C ) ) > 1 , satisfying that O \ O b g ( C ) { x } is an object consistent set.
Proof. 
This result is straightly obtained by duality from Theorem 3 and Proposition 3. □
In this case, this translation considers redundant information because the extents are crisp sets and each object can generate only one concept. Therefore, the assumption that x C f is not needed and the sentence “ O \ O b g ( C ) { x } is a consistent set” are also redundant. As a consequence, we obtain the following corollary, which coincides with the classification relatively necessary objects in classical FCA, as it was expected.
Corollary 1.
Given an object x O , then x K g if and only if there exists C J F ( O ) with x O b g ( C ) and c a r d ( O b g ( C ) ) > 1 .
Finally, the next proposition shows the characterization of the absolutely unnecessary objects considering the objects generating a concept.
Theorem 10.
Given an object x O , then x I g if and only if, for any C J F ( O ) , x O b g ( C ) , or if x O b g ( C ) , then O \ O b g ( C ) { x } is not an object-consistent set.
Proof. 
The results are straightly obtained by duality from Theorem 4 and Proposition 3. □
As previously mentioned, an object can generate only one concept. Therefore, if x O b g ( C ) with C J F ( O ) , by Theorem 8 or Theorem 9, the object will be classified as an absolutely or relatively necessary object. Consequently, the sentence “ O \ O b g ( C ) { x } is not an object consistent set” can be erased for the theorem, obtaining the following result.
Corollary 2.
Given an object x O , then x I g if and only if, for any C J F ( O ) , x O b g ( C ) .
This characterization of the absolutely unnecessary elements is equivalent to the one presented in classical FCA. These results will also be taken into account in the following section.

Comparison with Other Mechanisms

In this section, we will take into consideration the attribute reduction presented by Butka et al. in [9]. This mechanism reduces the values taken by the attributes, not the attributes themselves. The authors consider the usual transformation of a many-valued formal context into a classical one. Therefore, a classification of the original attributes is not performed. The following example will compare the attribute classification proposed in [9] with the one presented in this paper, that is, the classification in a one-sided concept lattice framework from the multi-adjoint approach.
Example 3.
We are going to continue with the context presented in Example 1. In this example, we will apply the attribute reduction mechanism presented in [9]. In this case, the relation R is transformed into a crisp relation R c defined in Table 2.
Now, taking into account the classical attribute reduction theorems presented in Definition 6, the following classification of the set of attributes is obtained:
C f = { a 2 , b 3 } K f = { b 2 , d 2 } I f = { a 1 , a 3 , b 1 , c 1 , c 2 , c 3 , d 1 , d 3 }
Therefore, we obtain two reducts:
D 1 = { a 2 , b 2 , b 3 } D 2 = { a 2 , b 3 , d 2 }
As we can see, the attribute corresponding to the bottom value of each original attribute is an absolutely unnecessary attribute. Comparing with the reduct computed in Example 2, we naturally obtain a different classification. In this case, the classification is based on the values of the attributes and the one obtained from the multi-adjoint concept lattice framework is directly focused on the set of attributes, which really allows an attribute reduction.
Notice that attribute d is unnecessary because, although the fuzzy attributes ϕ d , 2 and ϕ b , 2 generate the meet-irreducible concept C 3 , as it is shown in Table 1, due to attribute b with the truth value 3 being the only attribute generating a meet-irreducible concept, b is absolutely necessary ( b C f ). Thus, d is not necessary to generate C 3 .
In this small example, the relationship between b 2 and d 2 is clear, since they generate the same concept. However, in bigger examples, we do not have a relationship among the attributes in K f . Hence, in general, it is not possible to give a direct attribute classification in the one-side framework from the classical one.
Now, we will extend this section with the comparison with an interesting attribute reduction mechanism proposed in [24], and given to a setting dual to FCA. This procedure can be seen as an improvement of the one given in [28]. In order to build the relation used in the reduction mechanism proposed in [24], the authors consider the set of upper-close neighbours. Due to there being considerably less join-irreducible elements in upper-close neighbours sets (the definition of upper-close neighbours set is recalled in Example 4), the consideration of the join-irreducible elements of a context is better, in general, when the reduction mechanism is computed in a big context.
Example 4.
We consider the concept lattice shown in Figure 2 of Example 1. The set of extents is E = { { x 4 } , { x 2 , x 4 } , { x 1 , x 2 , x 4 } , { x 2 , x 3 , x 4 } , U } } . Given a partially ordered set, and two concepts such that C i < C j , then, C i is a lower-close neighbour of C j if there is no concept C k M verifying that C i < C k < C j . The set of all the lower-close neighbours of C i is denoted as β ( C i ) . Computing the lower-close neighbours of each extent, we have that:
β ( C 0 ) = β ( C 2 ) = C 0 β ( C 1 ) = C 2 β ( C 3 ) = C 2 β ( C 4 ) = C 1 , C 3
We will use the discernibility relation between extents presented in [24], for all pair of concepts C i , C j M ( O , P , R ) , whose corresponding extents are X i and X j , respectively, we have that:
D ( X i , X j ) = { a P X i ( a ) X j ( a ) } , i f C j β ( C i ) , o t h e r w i s e
For example, due to β ( C 0 ) = , we have that D ( { x 4 } , X j ) = for all X j E . Now, if we consider the concept C 2 , the concept C 0 is the only lower-close neighbour of C 2 . Comparing the intent, we have that the only attribute with a different value is the attribute b. Following this reasoning, the discernibility matrix in this case will be:
{ a , b , c , d } { b } { a , c , d } { a } { b , d }
Therefore, the discernibility function is:
τ = { a b c d } { b } { a c d } { a } { b d }
Applying the laws of the conjunctors from classic logic, we have that the reduced disjunctive normal form is:
τ = { a b }
Then, we obtain one reduct D = { a , b } . In this case, the reduction obtained is the same as the one previously obtained in Example 2. However, it requires a more complex computation.
This particular context was also considered in [23], obtaining similar results. However, it needs a boolean transformation of the fuzzy relation, and it also requires the computation of the reduced disjunctive normal form from a conjunctive normal form before giving the attribute classification, unlike the procedure considered. In the future, the relationship between these reductions will be studied in depth.
Note that the same result can be achieved on this last framework from the mechanism given in [23]. In the future, we will study this procedure in depth and show whether this is related to the attribute reduction procedure given to the general fuzzy concept lattice framework in [15,16].

5. An Illustrative Example

As we mentioned above, the presented results can be used into the generalized one-sided formal concept lattice framework. In this example, we consider the generalized one-sided formal context ( P , O , L , R ) , where P = { a 1 , a 2 , a 3 , a 4 , a 5 } is the set of attributes, and O = { x 1 , x 2 , x 3 , x 4 , x 5 , x 6 , x 7 , x 8 } is the set of objects. The complete lattices considered for each attribute is depicted in Figure 3 and the relationship between the set of attributes and objects is presented in Table 3.
As we consider the left-sided concept lattice framework, we obtain the left-sided complete lattice shown in Figure 4. Note that the complete lattice can be obtained using a fast algorithm [29] or from the top element ( O , O ) together with the intersection of all combinations of the meet-irreducible concepts, which have been listed in Table 4.
Taking into account the classification theorem of the absolutely necessary attributes presented in Theorem 2, the only attribute belonging to the core is the attribute a 2 , due to this attribute generating at least a meet-irreducible concept ( C 4 , C 5 and C 14 ). On the other hand, the rest of the meet-irreducible concepts are generated by more than one attribute, as we can see in Table 4. Then, by classification theorem of the absolutely relatively attributes described in Theorem 3 and adapted to this case, we obtain the following classification over the set of attributes:
C f = { a 2 } K f = { a 1 , a 3 , a 4 , a 5 }
Therefore, we have four reducts:
D 1 = { a 1 , a 2 , a 3 } D 2 = { a 2 , a 3 , a 4 } D 3 = { a 1 , a 2 , a 5 } D 4 = { a 2 , a 4 , a 5 }
Thanks to the obtained characterization, these sets can be computed in bigger real datasets using, for example, the algorithms developed in the multi-adjoint concept lattice framework [22].
Now, we are going to consider the reduction over the set of objects. In this case, we are going to consider the join-irreducible elements and the objects generating that concepts, which are displayed in Table 5. Considering Theorem 8 and Corollary 2, we have the following classification over the objects:
C O = { x 1 , x 3 , x 4 , x 5 , x 7 , x 8 } I O = { x 2 , x 6 }
Hence, we obtain one reduct, which is X = { x 1 , x 3 , x 4 , x 5 , x 7 , x 8 } .
This example shows how any generalized one-sided context can be described as a context in multi-adjoint formal concept analysis by means of the left-sided adjoint triple. As a consequence, a direct attribute and object reduction over the original one-sided context is performed following the multi-adjoint concept lattice mechanisms.

6. Conclusions and Future Work

In this paper, we have focused on the study of one-sided formal concept lattices as a particular case of a multi-adjoint formal concept lattices. We have defined an adjoint triple in order to show the connection between the concept-forming operators in both theories. We have also presented the reduction mechanism in one-sided formal concept analysis considering the multi-adjoint philosophy. The classification theorems over the set of attributes and the set of objects have also been introduced. Furthermore, we have compared this reduction procedure with other mechanisms previously studied in the one-sided framework. In addition, all the presented notions and results have been illustrated throughout examples.
In the future, we will perform a similar study when property-oriented concept lattices and object-oriented concept lattices [27] are considered. Moreover, we will consider a one-sided concept lattice in order to reduce an information system given in RST [30,31].

Author Contributions

Writing—original draft, M.J.B.-C., J.M. and E.R.-P. All authors read and agreed to the published version of the manuscript.

Funding

This research was partially supported by the 2014–2020 ERDF Operational Programme in collaboration with the State Research Agency (AEI) in Project PID2019-108991GB-I00 and with the Department of Economy, Knowledge, Business and University of the Regional Government of Andalusia in Project FEDER-UCA18-108612 and by the European Cooperation in Science & Technology (COST) Action CA17124.

Institutional Review Board Statement

Not applicable.

Informed Consent Statement

Not applicable.

Data Availability Statement

Not applicable.

Acknowledgments

The author would like to thank the three anonymous referees for their careful reading of the paper and many useful suggestions to clarify this work.

Conflicts of Interest

The authors declare no conflict of interest.

References

  1. Wille, R. Restructuring lattice theory: An approach based on hierarchies of concepts. In Ordered Sets; Rival, I., Ed.; Reidel: Dordrecht, The Netherlands, 1982; pp. 445–470. [Google Scholar]
  2. Bělohlávek, R.; Dvořák, J.; Outrata, J. Fast factorization by similarity in formal concept analysis of data with fuzzy attributes. J. Comput. Syst. Sci. 2007, 73, 1012–1022. [Google Scholar] [CrossRef][Green Version]
  3. Bělohlávek, R.; Vychodil, V. Attribute implications in a fuzzy setting. In Proceedings of the 4th International Conference on Formal Concept Analysis, ICFCA’06, Dresden, Germany, 13–17 February 2006; Springer: Berlin/Heidelberg, Germany, 2006; pp. 45–60. [Google Scholar]
  4. Konecny, J.; Krupka, M. Complete relations on fuzzy complete lattices. Fuzzy Sets Syst. 2017, 320, 64–80. [Google Scholar] [CrossRef][Green Version]
  5. Medina, J.; Ojeda-Aciego, M.; Ruiz-Calvi no, J. Formal concept analysis via multi-adjoint concept lattices. Fuzzy Sets Syst. 2009, 160, 130–144. [Google Scholar] [CrossRef]
  6. Shao, M.-W.; Liu, M.; Zhang, W.-X. Set approximations in fuzzy formal concept analysis. Fuzzy Sets Syst. 2007, 158, 2627–2640. [Google Scholar] [CrossRef]
  7. Antoni, L.; Krajci, S.; Kridlo, O. On stability of fuzzy formal concepts over randomized one-sided formal context. Fuzzy Sets Syst. 2018, 333, 36–53. [Google Scholar] [CrossRef]
  8. Butka, P.; Pócs, J. Generalization of one-sided concept lattices. Comput. Inform. 2013, 32, 355–370. [Google Scholar]
  9. Butka, P.; Pócs, J.; Pósová, J. On equivalence of conceptual scaling and generalized one-sided concept lattices. Inf. Sci. 2014, 259, 57–70. [Google Scholar] [CrossRef]
  10. Krajči, S. Cluster based efficient generation of fuzzy concepts. Neural Netw. World 2003, 13, 521–530. [Google Scholar]
  11. Antoni, L.; Krajci, S.; Kridlo, O.; Macek, B.; Pisková, L. On heterogeneous formal contexts. Fuzzy Sets Syst. 2014, 234, 22–33. [Google Scholar] [CrossRef]
  12. Cornejo, M.E.; Medina, J.; Ramírez-Poussa, E. A comparative study of adjoint triples. Fuzzy Sets Syst. 2013, 211, 1–14. [Google Scholar] [CrossRef]
  13. Cornejo, M.E.; Medina, J.; Ramírez-Poussa, E. Algebraic structure and characterization of adjoint triples. Fuzzy Sets Syst. 2021, 425, 117–139. [Google Scholar] [CrossRef]
  14. Cornejo, M.E.; Medina, J.; Ramírez-Poussa, E. Implication operators generating pairs of weak negations and their algebraic structure. Fuzzy Sets Syst. 2021, 405, 18–39. [Google Scholar] [CrossRef]
  15. Cornejo, M.E.; Medina, J.; Ramírez-Poussa, E. Attribute reduction in multi-adjoint concept lattices. Inf. Sci. 2015, 294, 41–56. [Google Scholar] [CrossRef]
  16. Cornejo, M.E.; Medina, J.; Ramírez-Poussa, E. Characterizing reducts in multi-adjoint concept lattices. Inf. Sci. 2018, 422, 364–376. [Google Scholar] [CrossRef]
  17. Dias, S.; Vieira, N. Reducing the size of concept lattices: The JBOS approach. In Proceedings of the 7th International Conference on Concept Lattices and Their Applications (CLA 2010), Sevilla, Spain, 19–21 October 2010; Volume 672, pp. 80–91. [Google Scholar]
  18. Elloumi, S.; Jaam, J.; Hasnah, A.; Jaoua, A.; Nafkha, I. A multi-level conceptual data reduction approach based on the lukasiewicz implication. Inf. Sci. 2004, 163, 253–262. [Google Scholar] [CrossRef]
  19. Ganter, B.; Wille, R. Formal Concept Analysis: Mathematical Foundation; Springer: Berlin/Heidelberg, Germany, 1999. [Google Scholar]
  20. Li, J.; Kumar, C.A.; Mei, C.; Wang, X. Comparison of reduction in formal decision contexts. Int. J. Approx. Reason. 2017, 80, 100–122. [Google Scholar] [CrossRef]
  21. Li, M.; Wang, G. Approximate concept construction with three-way decisions and attribute reduction in incomplete contexts. Knowl.-Based Syst. 2016, 91, 165–178. [Google Scholar] [CrossRef]
  22. Antoni, L.; Cornejo, M.E.; Medina, J.; Ramírez-Poussa, E. Attribute classification and reduct computation in multi-adjoint concept lattices. IEEE Trans. Fuzzy Syst. 2021, 29, 1121–1132. [Google Scholar] [CrossRef]
  23. Konecny, J. On attribute reduction in concept lattices: Methods based on discernibility matrix are outperformed by basic clarification and reduction. Inf. Sci. 2017, 415, 199–212. [Google Scholar] [CrossRef]
  24. Shao, M.-W.; Li, K.-W. Attribute reduction in generalized one-sided formal contexts. Inf. Sci. 2017, 378, 317–327. [Google Scholar] [CrossRef]
  25. Hájek, P. Metamathematics of Fuzzy Logic; Trends in Logic; Kluwer Academic: Dordrecht, The Netherlands, 1998. [Google Scholar]
  26. Klement, E.; Mesiar, R.; Pap, E. Triangular Norms; Kluwer Academic: Dordrecht, The Netherlands, 2000. [Google Scholar]
  27. Medina, J. Multi-adjoint property-oriented and object-oriented concept lattices. Inf. Sci. 2012, 190, 95–106. [Google Scholar] [CrossRef]
  28. Zhang, W.; Wei, L.; Qi, J. Attribute reduction in concept lattice based on discernibility matrix. Lect. Notes Comput. Sci. 2005, 3642, 157–165. [Google Scholar]
  29. Bělohlávek, R. Reduction and a simple proof of characterization of fuzzy concept lattices. Fundam. Inform. 2001, 46, 277–285. Available online: http://iospress.metapress.com/openurl.asp?genre=article&issn=0169-2968&volume=46&issue=4&spage=277 (accessed on 3 February 2022).
  30. Benítez-Caballero, M.J.; Medina, J.; Ramírez-Poussa, E. FCA attribute reduction in information systems. In Information Processing and Management of Uncertainty in Knowledge-Based Systems. Theory and Foundations; Medina, J., Ojeda-Aciego, M., Verdegay, J.L., Pelta, D.A., Cabrera, I.P., Bouchon-Meunier, B., Yager, R.R., Eds.; Springer International Publishing: Cham, Switzerland, 2018; pp. 549–561. [Google Scholar]
  31. Benítez-Caballero, M.J.; Medina, J.; Ramírez-Poussa, E.; Ślȩzak, D. Bireducts with tolerance relations. Inf. Sci. 2018, 435, 26–39. [Google Scholar] [CrossRef]
Figure 1. Complete lattice L (left) and one-sided formal context (right) of Example 1.
Figure 1. Complete lattice L (left) and one-sided formal context (right) of Example 1.
Mathematics 10 01020 g001
Figure 2. Concept lattice for the one-sided formal context of Example 1.
Figure 2. Concept lattice for the one-sided formal context of Example 1.
Mathematics 10 01020 g002
Figure 3. Complete lattice assigned to attribute a 1 (left), to attribute a 2 (center) and to attribute a 3 (right).
Figure 3. Complete lattice assigned to attribute a 1 (left), to attribute a 2 (center) and to attribute a 3 (right).
Mathematics 10 01020 g003
Figure 4. Left-sided complete lattice.
Figure 4. Left-sided complete lattice.
Mathematics 10 01020 g004
Table 1. Concepts of the one-sided formal context of Example 1 and their generating fuzzy attributes.
Table 1. Concepts of the one-sided formal context of Example 1 and their generating fuzzy attributes.
C i Ext ( C i ) Int ( C i ) Generated by
C 0 { x 4 } { a , b , c , d } ϕ b , 3
C 1 { x 1 , x 2 , x 4 } { 2 / a } ϕ a , 2
C 2 { x 2 , x 4 } { a , 2 / b , c , d } ϕ a , 3 , ϕ c , 2 , ϕ c , 3 , ϕ d , 3
C 3 { x 2 , x 3 , x 4 } { 2 / b , 2 / d } ϕ b , 2 , ϕ d , 2
C 4 { x 1 , x 2 , x 3 , x 4 } { }
Table 2. Crisp relation associated with the context of Example 1.
Table 2. Crisp relation associated with the context of Example 1.
R c a 1 a 2 a 3 b 1 b 2 b 3 c 1 c 2 c 3 d 1 d 2 d 3
x 1 110100100100
x 2 111110111111
x 3 100110100110
x 4 111111111111
Table 3. Relation of formal context ( P , O , L , R ) .
Table 3. Relation of formal context ( P , O , L , R ) .
R a 1 a 2 a 3 a 4 a 5
x 1 d3ubv
x 2 O1uOv
x 3 c3xcy
x 4 b1ydx
x 5 d2ubv
x 6 O1vOu
x 7 b0xdy
x 8 d1vbu
Table 4. Meet-irreducible elements of left-sided context and their generated attributes.
Table 4. Meet-irreducible elements of left-sided context and their generated attributes.
C i ConceptGenerated Attribute
C 1 ( { x 4 , x 7 } , { b / a 1 , 0 / a 2 , z / a 3 , d / a 4 , z / a 5 } ) ϕ a 1 , b , ϕ a 4 , d
C 3 ( { x 1 , x 5 , x 8 } , { d / a 1 , 1 / a 2 , o / a 3 , b / a 4 , o / a 5 } ) ϕ a 1 , d , ϕ a 4 , b
C 4 ( { x 1 , x 2 , x 3 , x 4 , x 5 , x 6 , x 8 } , { O / a 1 , 1 / a 2 , o / a 3 , O / a 4 , o / a 5 } ) ϕ a 2 , 1
C 5 ( { x 1 , x 3 , x 5 } , { O / a 1 , 2 / a 2 , u / a 3 , O / a 4 , v / a 5 } ) ϕ a 2 , 2
C 7 ( { x 1 , x 2 , x 3 , x 4 , x 5 , x 7 } , { O / a 1 , 0 / a 2 , u / a 3 , O / a 4 , v / a 5 } ) ϕ a 3 , u , ϕ a 5 , v
C 8 ( { x 3 , x 4 , x 6 , x 7 , x 8 } , { O / a 1 , 0 / a 2 , v / a 3 , O / a 4 , u / a 5 } ) ϕ a 3 , v , ϕ a 5 , u
C 12 ( { x 3 , x 7 } , { O / a 1 , 0 / a 2 , x / a 3 , O / a 4 , y / a 5 } ) ϕ a 3 , x , ϕ a 5 , y
C 14 ( { x 1 , x 3 } , { O / a 1 , 3 / a 2 , u / a 3 , O / a 4 , v / a 5 } ) ϕ a 2 , 3
Table 5. Join-irreducible elements of left-sided context and their generated objects.
Table 5. Join-irreducible elements of left-sided context and their generated objects.
C i ConceptGenerated Object
C 2 ( { x 3 } , { c / a 1 , 3 / a 2 , x / a 3 , c / a 4 , y / a 5 } ) x 3
C 6 ( { x 1 } , { d / a 1 , 3 / a 2 , u / a 3 , b / a 4 , v / a 5 } ) x 1
C 10 ( { x 7 } , { b / a 1 , 0 / a 2 , x / a 3 , d / a 4 , y / a 5 } ) x 7
C 11 ( { x 4 } , { b / a 1 , 1 / a 2 , y / a 3 , d / a 4 , x / a 5 } ) x 4
C 15 ( { x 1 , x 5 } , { d / a 1 , 2 / a 2 , u / a 3 , b / a 4 , v / a 5 } ) x 5
C 16 ( { x 8 } , { d / a 1 , 1 / a 2 , v / a 3 , b / a 4 , u / a 5 } ) x 8
Publisher’s Note: MDPI stays neutral with regard to jurisdictional claims in published maps and institutional affiliations.

Share and Cite

MDPI and ACS Style

Benítez-Caballero, M.J.; Medina, J.; Ramírez-Poussa, E. Characterizing One-Sided Formal Concept Analysis by Multi-Adjoint Concept Lattices. Mathematics 2022, 10, 1020. https://doi.org/10.3390/math10071020

AMA Style

Benítez-Caballero MJ, Medina J, Ramírez-Poussa E. Characterizing One-Sided Formal Concept Analysis by Multi-Adjoint Concept Lattices. Mathematics. 2022; 10(7):1020. https://doi.org/10.3390/math10071020

Chicago/Turabian Style

Benítez-Caballero, María José, Jesús Medina, and Eloísa Ramírez-Poussa. 2022. "Characterizing One-Sided Formal Concept Analysis by Multi-Adjoint Concept Lattices" Mathematics 10, no. 7: 1020. https://doi.org/10.3390/math10071020

APA Style

Benítez-Caballero, M. J., Medina, J., & Ramírez-Poussa, E. (2022). Characterizing One-Sided Formal Concept Analysis by Multi-Adjoint Concept Lattices. Mathematics, 10(7), 1020. https://doi.org/10.3390/math10071020

Note that from the first issue of 2016, this journal uses article numbers instead of page numbers. See further details here.

Article Metrics

Back to TopTop