Next Article in Journal
Robust Switching Regressions Using the Laplace Distribution
Previous Article in Journal
Robust Tracking Control of Dual-Active-Bridge DC–DC Converters with Parameter Uncertainties and Input Saturation
Previous Article in Special Issue
Model Predictive Paradigm with Low Computational Burden Based on Dandelion Optimizer for Autonomous Vehicle Considering Vision System Uncertainty
 
 
Font Type:
Arial Georgia Verdana
Font Size:
Aa Aa Aa
Line Spacing:
Column Width:
Background:
Article

Optimal Design of Water Distribution Systems Considering Topological Characteristics and Residual Chlorine Concentration

Department of Civil and Infrastructure Engineering, Gyeongsang National University, Jinju 52725, Republic of Korea
*
Author to whom correspondence should be addressed.
Mathematics 2022, 10(24), 4721; https://doi.org/10.3390/math10244721
Submission received: 13 November 2022 / Revised: 7 December 2022 / Accepted: 9 December 2022 / Published: 12 December 2022
(This article belongs to the Special Issue Mathematical Modeling and Optimization)

Abstract

Water distribution systems (WDSs) are designed for supplying safe water under abnormal conditions. Therefore, the optimal design of WDSs should present a plan that satisfies the hydraulic constraint, pressure at the node, and flow rate of the pipe. The water quality constraint, that is, the residual chlorine standard, should be also satisfied. However, there is a problem of insufficient pressure or absence of water for the rapid increase in demand and abnormal situations caused by the destruction of pipes resulting from growing urbanization. This problem differs in node pressure and residence time, depending on the type of WDSs (i.e., loop, hybrid, and branch). Therefore, in this study, the optimal design of WDSs was determined by considering the form of the WDS and the residual chlorine concentration. To construct the layout of WDSs, the type was constructed and classified using the branch index, classification index, and hydraulic water-quality characteristics, which were analyzed accordingly. In addition, the objectives of the WDSs in terms of hydraulic (i.e., nodal pressure) and water-quality (i.e., reference values of residual chlorine concentrations) constraints were established to derive optimal designs that simultaneously stabilize and satisfy water. To stably supply water to the customer even in abnormal situations, an optimal multipurpose design was carried out by setting the sum of the surplus head and design cost as an objective function. These analyses can improve the water quality by simultaneously considering the residual chlorine concentration. They improved the hydraulic characteristics by considering only pressure in the existing design stage. In addition, by deriving an optimal design plan in terms of hydraulic quality according to topological features, we can derive an optimal design that assists the designer in decision making while improving the economic aspect and usability for the consumer.

1. Introduction

The objective of water distribution systems (WDSs) is to supply sufficient water in a safe manner with a stable pressure from the source to the consumer. To achieve this goal, WDS designers and managers should consider hydraulic factors (e.g., required pressure and velocity) and water quality factors (e.g., residual chlorine standards). Designing WDSs is a complex problem that must consider the diameter, type of pipe, operating rules, and size of the facilities (pumps, valves, and tanks). Recent problems (hydraulic and water-quality-related abnormal conditions, e.g., extreme demand conditions for fire water or because of pipe failure, and red water problems) make the design more complicated. Therefore, to realize such complex WDSs, they have been designed using optimization technology.
In the past, to optimize the design of WDSs, a trial-and-error approach was used. However, the derived design resulting from this approach presented different design qualities between beginner and skilled engineers, and an optimal or near-optimal solution could not be guaranteed. To overcome these drawbacks, WDSs started to be designed, using metaheuristic optimization algorithms. The initial WDS designs following this approach used metaheuristic algorithms that only considered the minimization of design costs [1,2,3,4,5].
However, this was insufficient to satisfy the needs of consumers in rapidly growing cities, where there exists vulnerability to future conditions and lack of pressure because of the rapid increase in demand. To solve these problems, many researchers have considered not only the design cost, but also the surplus head, system robustness, and system resilience to cover abnormal system conditions. These system indices, to improve the vulnerability of WDSs, considered the pressure deviation decrease to reduce the physical damage to WDSs [6,7,8,9,10]. However, most of previous studies led to problems, such as designs that do not meet the water quality criteria (e.g., minimum and maximum residual chlorine concentrations) for supplying safe water because the optimal design was performed considering only hydraulic factors (e.g., water pressure and flow rate conditions).
The concentration of residual chlorine is a representative water quality factor in WDSs that prevents the problem of microorganisms in the pipeline during the process of supplying water from water sources to consumers. The amount of residual chlorine is sensitive to the water quality of WDSs. If the amount of residual chlorine is under-input, disinfection is not sufficient, and if the residual chlorine is over-input, the odor of chlorine emerges along with complaints from customers. Therefore, the World Health Organization (WHO) recommends a minimum residual chlorine ranging from 0.2 mg/L to 5.0 mg/L for the effective disinfection of water and prevention of water-borne diseases. The residual chlorine concentration significantly affects parameters such as the bulk and wall coefficients, and some studies calculated the appropriate bulk and wall coefficients using modeling and experimental under different environments, such as temperature [11,12,13,14]. Based on these studies, to solve the problem of not meeting water quality standards, research has been conducted to improve safety in terms of water quality, for example, through the equalization of residual chlorine concentration in consumers and calculation of the optimal amount of chlorine injection [15,16,17,18]. However, most of the previous studies considered the location and amount of chlorine injection to satisfy the residual chlorine concentration standard under WDSs operation stage.
However, the size and shape of the WDSs affect hydraulic parameters, such as the residence time and flow rate, which would in turn affect water quality parameters, such as the residual chlorine concentration. Therefore, the water quality factor should be considered, particularly during the design step. To quantitatively analyze the effects of network shape and size on hydraulic and water quality factors, WDS shape classification is required.
In early studies related to WDS classification, such classification was visually determined for grid, loop, and hybrid networks, and the standard of network classification was only the network layout. However, if the network is more complex or its size is larger, visual evaluation is difficult, and quantitative evaluation is impossible. Therefore, in previous studies, the density of pipes in WDSs and average value of pipe diameters were classified into distribution and transmission to quantitatively classify the shape of WDSs [19,20]. In addition, even if the number of nodes and pipes in WDSs is the same, the pressure at the nodes differs depending on topological characteristics. Therefore, pipe networks were classified using a classification index after simplifying or skeletonizing them according to the topological characteristics of the WDSs [20].
To quantitatively classify the topological characteristics of WDSs, the topological shape of a network was also compared and analyzed in hydraulic terms using classification factors, such as the average node degree (AND) and meshedness coefficient (MC) [21,22,23]. Jung and Kim (2018) and Jung et al. [24,25] performed an optimal design of WDSs according to the trade-off between AND, MC, and hydraulic factors. In this study, the topological features were classified using MC and the branch index (BI) as the network classification indices, and these two indices were applied as the objective function for the optimal design of WDSs. Choi and Kim [26] used topological and mechanical resilience factors considering the network shape for the multi-objective optimal design of WDSs to satisfy water users’ needs. In addition, the correlation with topological characteristics was analyzed by assuming damage to the pipe.
Despite the fact that the network shape and size affect the hydraulic and water quality results, in studies related to WDS design, only hydraulic features were considered. Studies related to network classification considered topological characteristics and classified them into grid and loop networks. In addition, water quality factors were considered to supply a stable chlorine concentration to consumers during the operation stage of WDSs. However, previous studies conducted to determine the hydraulic and water quality characteristics according to the topological characteristics of WDSs and to design WDSs considering both hydraulic stability and water quality safety simultaneously from the source to the consumer are insufficient.
Therefore, this study proposes an optimal design for WDSs considering topological characteristics and residual chlorine concentration. To consider the topological characteristics of WDSs, (1) various network shapes (layout) were generated according to hydraulic (i.e., surplus head), water quality (i.e., residual chlorine concentration), and network-categorized (i.e., BI) factors; and (2), based on a prescribed network layout, a resilient design was derived considering the minimum design cost and maximum sum of the surplus head simultaneously. Finally, the derived optimal design was evaluated quantitatively by comparing and analyzing hydraulic and water quality aspects of the WDSs according to the network shape.

2. Network Generation Method Considering Topological Characteristics

In this study, the shape of a network considering topological characteristics was configured using a classification index and an optimization algorithm. Two techniques were mainly employed for configuring and analyzing networks. For this purpose, topological features and corresponding hydraulic and water quality features were quantitatively compared using EPANET 2.0 [27]. ① Various types of WDSs (e.g., loop, hybrid, and branch networks) were configured using a node-reduction algorithm and optimization algorithm, and then the hydraulic water-quality features were compared. The network types were classified using the BI proposed by Hwang and Lansey [20] to configure the shape of the network according to a quantitative classification index. Based on the distribution network, the BI of the loop-type network was set to a value less than 0.45, the BI of the hybrid-type network was in the range of 0.45–0.55, and when the BI exceeded 0.55, it was classified as a branch-type network. ② The representation of each network shape was established by analyzing the hydraulic-water quality characteristics of the generated network. The optimal design was determined by analyzing the hydraulic and water quality characteristics of the shape of the networks configured by the optimization algorithm and selecting the benchmark network according to the topology characteristics.

2.1. Determination of the Network Shape

In this study, to create a benchmark network considering topological characteristics, harmony search (HS) [28] was applied. HS is a well-known metaheuristic optimization algorithm that mimics the process of creating optimal chords by repeating the process of leaving only good chords, as the chords of various instruments are practiced repeatedly. In this case, three types of networks (i.e., loop, hybrid, and branch) were generated by HS; a 4 × 4 grid network was the base network to generate various shapes. To configure the network shape, the zero pipes that were not installed on the original link were considered, and the properties of the network and WDS details (i.e., pipe length, pipe diameter, roughness coefficient, number of nodes, demand, and elevation) were fixed to perform a fair comparison.

2.1.1. Network Classification

To quantitatively determine the topological characteristics of the network, we used the BI, which was the derived result of the node-reduction algorithm proposed by Hwang and Lansey [20]. The node-reduction algorithm simplifies the network using the node degree (ND) to quantitatively evaluate the network with the same topological characteristics, even if the shape is different. ND denotes the number of pipes branching from a node. The process of simplifying the network is shown in Figure 1.
A node-reduction algorithm was developed to determine the topological characteristics of each WDS by simplifying the network. This node-reduction algorithm assesses essential and non-essential nodes using the number of pipes branching from the node (node degree, ND) to simplify the network. If ND is 1, the node is set as non-essential, and the corresponding node is deleted. This operation is repeated until ND is not 1. As shown in Figure 1, a pipe consisting of a dotted line indicates a pipe erased by a non-essential node. Subsequently, ND is calculated for the newly deleted pipe network and stored as New ND, and a pipe with a New ND of 2 is determined. A node with a New ND of 2 is deleted, a new pipe is connected with an adjacent node for the pipe connected to the node, and the ND is calculated and stored in After ND. If the values of New ND and After ND of a node with a New ND of 2 and an adjacent node are the same, the corresponding node is deleted. This operation is repeated for all the nodes, and the last remaining network is a network whose shape has topological characteristics. By performing this process, quantification in terms of the BI, which is a classification factor of the network, is enabled. The BI is expressed as follows:
B r a n c h   I n d e x = e b e b + e r
where eb is the number of branch-type pipes, and er is the number of pipes remaining after performing the entire process.

2.1.2. Conditions of Network Configuration

The objective of this study was to develop an optimal design for WDSs considering topological characteristics and residual chlorine concentration. For this objective, this study generated various configurations of networks and applied these networks to consider topological characteristics (i.e., loop-, hybrid-, and branch-types networks). To quantitatively the topological characteristics of the network, this study applied the branch index (BI) proposed by Hwang and Lansey [20]. This index categorized the topological characteristics of WDSs using the node-reduction technique, which removes the branch pipes and nodes with linked branch pipes. According to this technique, BI is represented by a value between 0 and 1. The closer to 1, it is a branch-type network, and the closer to 0, it is the loop type. During network generation, the BI values were set as the constraints for the standard of network categorization (e.g., loop = 0.3, hybrid = 0.5, and branch-type network = 0.68), as shown in Equation (1). Moreover, this study used metaheuristic optimization algorithms considering hydraulic characteristics as an objective function, such as the minimum pressure and maximum nodal surplus head. In addition, the number of pipes was set to be the same after the pretreatment of the network (Equation (3)) for quantitative comparative analysis; ND was set to not be less than one to connect all nodes with the water source and prevent the nodes from being isolated (Equation (4)). The minimum pressure was set as the last constraint expressed in Equation (5). If all the constraints are not satisfied in the constraints below, penalty values are added to the objective functions:
P e n a l t y B I = i f   B I t a r g e t   B I i   t h e n   B I t a r g e t B I i × a ,   o t h e r w i s e   0  
P e n a l t y L i n k = i f   L i n k t a r g e t L i n k i   t h e n   L i n k t a r g e t L i n k i × a ,   o t h e r w i s e   0
P e n a l t y N D = n = 1 N N o . n × a , N D n 1 0 , N D n > 1
P e n a l t y P r e s s u r e = i f   h i < h r e q   t h e n   n = 1 N h n h r e q × a ,   o t h e r w i s e   0  
where BItarget is the set BI, BIi is the BI of the i-th network, Linktarget is the number of pipes setting the generated network, Linki is the number of pipes in the i-th network, N is the number of nodes in the network, n is the corresponding node of the network, and a is the penalty constant.

3. Multi-Objective Optimal Design of WDSs Considering Hydraulic Water-Quality Factors

The residual chlorine concentration and pressure were simultaneously considered to prevent the hydraulic and water-quality vulnerabilities of the benchmark WDSs in the design. A multi-objective harmony search (MOHS) was proposed by Choi et al. [10]. One of the optimization algorithms was used to proceed with an optimal design considering both pressure and residual chlorine concentration. The MOHS is an optimization methodology that considers two or more objective functions, as opposed to HS, which considers only one objective function. To simultaneously consider objective functions in which various trade-offs exist, the non-dominated sorting method [29] sorts according to the dominance of two or more objective functions and the diversity of solutions. In addition, the concept of crowding distance after normalization [30] was used for improvement.

3.1. Optimal Design of WDS Objective Functions and Constraints

To effectively react to and prevent abnormal situations, such as broken pipes and soaring demand due to the use of fire water, several previous studies simultaneously considered the resilience, robustness, reliance, and surplus head of the WDSs as the design cost [7,8,31,32]. Therefore, in this study, the design cost was minimized as the first objective function for the optimal design of the selected benchmark network. The design cost of WDSs was determined under the assumption that the design cost increases as the diameter of the pipe increases [1]. This can be expressed as follows:
M i n i m i z e   D e s i g n   C o s t = i = 1 P C o s t D i × L i
where P represents the total number of pipes in the network, and Cost(Di) is the cost of the pipe according to the diameter of the i-th pipe; Li is the length of the corresponding pipe.
As the second objective function, the sum of the head of the consumer, excluding the minimum pressure required by the consumer in the WDSs, was set to be maximal so that it can operate similarly to normal conditions, even under abnormal conditions [33]. The maximization sum of the surplus head is expressed as follows:
M a x i m i z e   S u r p l u s   H e a d = i = 1 N h i h r e q
where N is the number of nodes in the corresponding network, hi is the pressure of the i-th node, and hreq is the minimum pressure required by the WDSs. In other words, the sum maximization of the head minus the minimum pressure required by the WDSs was obtained.
In this study, as a method for considering the constraints, if the penalty function was set to be large and the constraints were not satisfied, the penalty constant was applied to a large extent, and the method culling as the repetitive calculation progresses was used. As a constraint in multi-objective optimization considering only hydraulic characteristics, if the minimum pressure required by the network was not satisfied by all customers, a penalty function was assigned, as in Equation (8). In addition, the constraints in multi-objective optimization consider hydraulic and water quality characteristics simultaneously. Thus, the criteria for residual chlorine were satisfied by examining the residual chlorine concentration in all consumers and the constraints in the optimal design considering only the existing hydraulic features. This can be expressed as follows:
P e n a l t y p r e s s i = i f   h i , m i n < h r e q   t h e n i = 1 N ( | h i ,   M i n h r e q | ) × a ,   o t h e r w i s e   0
P e n a l t y q u a l i t y i = i f ,   Q i ,   M i n < Q s , M i n   t h e n   i = 1 N ( | Q i , M i n Q s ,   M i n | ) × a i f ,   Q i ,   M a x < Q s , M a x   t h e n   i = 1 N ( | Q i , M a x Q s , M a x | ) × a ,   o t h e r w i s e   0
Equation (8) represents the hydraulic constraint: hi Min refers to the lowest pressure of the node during this duration. As in Equation (7), hreq represents the minimum pressure required by the network.
Equation (9) represents the water-quality constraints. Qi Min is the residual chlorine concentration when the i-th node of the network has the lowest residual chlorine concentration, and Qi Max is the residual chlorine concentration when the i-th node of the network has the highest residual chlorine concentration. Qs,Min and Qs,Max refer to the minimum and maximum values of the standard residual chlorine concentration in the WDSs. Finally, a denotes the penalty constant. The set constraint functions were methods to improve convergence by setting them to be culled according to the extent to which they fell short of the set constraint.

3.2. Evaluation of Pareto-Optimal Solutions

To compare and analyze the optimal designs of Pareto-optimal solutions with the same set objective function except for BI, we quantitatively compared and analyzed in terms of the convergence and diversity indicators [34,35]. The convergence set (CS) index is calculated by dividing the total number of first ranks by the number of first ranks of the corresponding Pareto-optimal solution and sorting by two or more non-dominating Pareto-optimal solutions again. Through this process, the priorities of two or more optimal designs can be determined and evaluated. This can be expressed as follows:
C o v e r a g e   S e t   X , X a X ; a X : a a X
where X′ and X″ denote different sets of optimal solutions, and a″ and a′ denote one optimal solution. Therefore, a CS of 1 implies that all optimal solutions dominate the set of other optimal solutions, whereas a CS of 0 implies that the set of optimal solutions does not dominate the set [10].
The diversity index (DI) was evaluated by selecting two or more objective functions of the Pareto-optimal solution by dividing the maximization distance after the normalization of each Pareto-optimal solution by selecting the farthest objective function. The DI can be expressed as follows:
D i v e r s i t y   I n d e x   1 M m = 1 M M a x   f m M i n   f m F m M a x F m M i n 2  
where M is the number of two or more Pareto-optimal solutions to be compared and Max fm and Min fm represent the largest and smallest values of each objective function. F m M a x and F m M i n are the maximum and minimum values, respectively, of the two or more optimal designs to be compared. Therefore, DI refers to the degree of solution distribution for the optimal design among the designs to be compared.

4. Application and Results

In this study, the shape of the network was configured and classified based on the topological characteristics of WDSs. The configured network was optimized by considering pressure and residual chlorine features. The flowchart of this study was divided into three steps, as shown in Figure 2. (1) To configure the shape of the network with topological characteristics, representative WDSs were selected by analyzing hydraulic features. (2) For the constructed WDSs, a commercial pipe diameter was set as the candidate group, similar to the actual WDS design. To conduct a comparative analysis of the optimal design, optimal designs considering only the pressure and both the pressure and residual chlorine concentration were derived. A comparative analysis was performed on the derived optimal design according to topological characteristics and constraints. (3) Finally, the optimal design of the superior network was derived through the optimal shape of the network and WDS design through the CS and DI indicators.
There are a total of three objective functions applied to configure the shape of the network: ① the smallest pressure in the network (Equation (12)); ② the sum of surplus head to have spare pressure at the node to enable an operation similar to normal even in abnormal situations [6] (Equation (13)); and ③ system robustness [7] applied to improve the resistance to structural changes in the system by reducing the pressure variation in the network:
M i n i m u m   P r e s s u r e = M i n h i
M a x i m i z e   S u r p l u s   H e a d = M a x i = 1 N h i h r e q
R o b u s t n e s s = M a x h i , m a x h i ,   m i n
In Equations (12)–(14), i is the corresponding node, N is the total number of nodes in the network, hreq is the minimum pressure required by the network, and hi,max and hi,min denote the nodes with the largest and smallest pressures during the period of duration in the WDSs. The shape of the network was constructed by setting the above three objective functions to minimize and maximize.
To quantitatively compare the optimal design according to the topological characteristics, the number of nodes, amount of demand, period of consideration, etc. (except for the BI), were the same. In addition, a diameter of only 350 mm satisfying the minimum water pressure was set at all nodes to configure the network. The shape of the network, which was used as the basis, was set as a grid. This is because one pipe in the network can significantly affect the BI. It was configured similar to the network shown in Figure 3. The number of pipes in the existing network was set to 41, but the number of pipes in the network considering topological characteristics was set to 29, changing only the BI. The detailed specifications are shown in the table in Figure 3.
Seven days were considered for the total period of duration of the network according to the pattern time. In the case of the initial network, the pressure pattern was constant because there were neither tanks nor pumps; however, in the case of residual chlorine concentration, the time for water from the water source to the last customer and the time when no patterning was observed were excluded. That is, the water quality duration was considered from the time the patterning of the water quality was observed, considering 50 h, excluding the initial 118 h. The bulk and wall coefficients are factors affecting the temperature and type of pipe, and the applicability was evaluated by setting the cast iron pipe standards as −0.801 and −0.0801. When the pipe diameter was set to 350 mm, the water level of the reservoir was set to 20 m so that the customer could satisfy the minimum pressure.
The objective function was set to each minimization and maximization, the harmony memory size (HMS) was set to 50, and the number of iterations was set to 25,000. To obtain quantitative data on the network, it was individually run ten times, and overlapping or unsatisfactory water pressure was removed. The constructed network was recalculated for each objective function, and 3000 networks were calculated for each BI of the loop-, hybrid-, and branch-type networks. This is summarized in Table 1.
The loop-type network with a BI of 0.3 satisfied the hydraulic constraint, which is the minimum pressure required by the network, with only 201 out of 3000 data. Among the 201 networks, there was no network satisfying water quality constraints when 0.3 mg/L of chlorine was added from the water source. The hybrid-type network with a BI of 0.5 did not have overlapping networks, even though the three values used as the objective function were the same, and the 3000 pipe networks were water pipe networks that satisfied the water pressure constraints. Among them, only 110 pipe networks satisfied the water-quality constraints. Similarly, a branch-type network with a BI of 0.68 was constructed as a network that met the water quality constraints of 80 out of 1021 networks, excluding overlapping water pipe networks and pipe networks that did not meet the water quality constraints. This is because the number of pipes set to build a loop-type water network and the number of networks satisfying BI were small. The maximum BI value was 0.68, which is the largest search space in the shape of a hybrid network; thus, it can be predicted that there is a large amount of data in the hybrid network.
To analyze the characteristics of the constructed networks in terms of the BI, the water age in nodes that did not satisfy the residual chlorine concentration standard was compared and analyzed. The nodes that did not satisfy the residual chlorine concentration in 4222 water supply networks were sorted by the shortest distance from the water source. Figure 4a shows the average water age from the water source to nodes that did not satisfy the residual chlorine standard, and Figure 4b shows the average water age of nodes that did not meet the residual chlorine standard.
It was confirmed that the loop-type network with a BI of 0.3 had a higher water age than the hybrid and branch networks, even though the shortest distance from the water source to the node was the same. Therefore, it was confirmed that the number of pipes that can be supplied to a node, that is, the average node degree (AND), increases with increasing water age. Therefore, the residual chlorine standard was not satisfied as the residence time increased. As shown in Figure 4b, the characteristics of the loop, hybrid, and branch-type networks were confirmed. These characteristics were analyzed by gradually increasing the input chlorine concentration from the chlorine input that satisfied the minimum residual chlorine standard in the network constructed in the loop, hybrid, and branch shapes. The hybrid and branch networks met the residual chlorine standard from 0.3 mg/L. However, the network that satisfied the residual chlorine standard was derived from 0.32 mg/L for the loop networks.
To proceed with multi-objective optimization with the addition of commercial pipe diameter candidates, such as the actual WDS design, a total of six representative networks with topological characteristics were selected based on the sum of the surplus head and the objective function of the multi-objective optimization. Table 2 and Figure 5 show the results of hydraulic analysis of the representative water supply networks of the loop, hybrid, and branch networks with topological characteristics and shapes. In Table 2, S is the sum of the surplus head, R is the robustness of the system, and N is the smallest pressure in the network. Although the representative network was selected based on the sum of the surplus head, it was confirmed that as the sum of the surplus head increased, the system robustness and minimum pressure in the network were superior to the objective function of the network that minimized the sum of the surplus heads. In addition, even if the BI values were the same, the shape of the network was different depending on the objective function employed for constructing the network. It was also confirmed that the shape shown in Figure 5a–f was similar to the arrangement of the pipes near the water source.
As in the actual WDS design, optimization was performed considering the diameter candidate of the pipe, and the pressure and residual chlorine concentration were considered constraints. To perform a quantitative comparison according to the topological characteristics, the largest value among the pipe candidates was configured as the initial setting value of the harmony memory when performing the optimal design. In addition, the residual chlorine concentration was increased gradually by 0.01 mg/L from the minimum residual chlorine input concentration until the reference value of the residual chlorine concentration was satisfied in the optimal design set as the largest pipe diameter among the pipe diameter candidate groups. The optimal design considering only the pressure and that considering both the pressure and residual chlorine concentration are shown in Figure 6a–f.
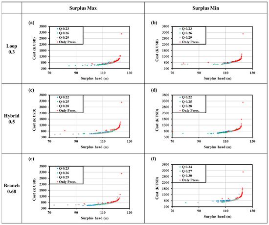
The difference between the optimal design considering only the pressure and residual chlorine concentration in Figure 6a with a BI of 0.3 was found to be similar to the optimal design considering only the pressure as the input chlorine concentration in the water source increased, regardless of the objective function when constructing the network. It was confirmed that it exhibits the same graph regardless of the loop-, hybrid-, and branch-type networks. Still, the flow velocity increases as the pipe diameter increases, so the convergence of the design cost side is better than that of the optimal design considering only pressure. In addition, when comparing the design cost and surplus head between the optimal design considering only the pressure and that considering both the pressure and residual chlorine concentration, it was confirmed that the pipe diameter arrangement determines whether the residual chlorine standard is satisfied. This suggests that the arrangement of the pipe diameter is essential according to the residual chlorine concentration.
Figure 7 compares Figure 5a–c, which show a network constructed by maximizing the sum of the surplus head, and the network represented in Figure 5d–f, which was constructed by minimizing the sum of surplus heads. The optimal design proposals for each loop, hybrid, and branch network were quantitatively compared and analyzed for the CS and DI indicators.
The loop-, hybrid-, and branch-type networks were compared for each maximization-minimization objective function used to configure the shape of the network. Figure 7 shows a quantitative comparison of the Pareto-optimal solutions of each MOHS using the CS and DI indicators. Among the optimal designs considering only pressure, as shown in Figure 7a, a loop network provided a superior optimal design in which the shape of the Loop 1 network was constructed by maximizing the sum of the surplus heads in terms of convergence, in contrast with the Loop 2 network. Furthermore, in the optimal design, considering the pressure and residual chlorine concentration, even when the same chlorine concentration was added to the water source, a better design was derived by minimizing the sum of the surplus head in terms of convergence and diversity. Figure 7c,d confirm that the convergence of the solution of the network constructed by maximizing the sum of the surplus heads in the optimal design considering only the pressure for the hybrid network was 0.7674, which is superior in terms of design cost and sum of the surplus heads to the network constructed by minimizing the sum of the surplus heads. The loop, hybrid, and branch networks were evaluated to have superior design cost and pressure convergence in terms of optimal design considering the pressure and residual chlorine concentration. Regarding solution diversity, it was confirmed that the network constructed by maximizing the sum of surplus heads as an objective function was almost similar or superior.
Figure 8 confirms the difference between the optimal design considering only the pressure and the input chlorine concentration in the water source of the optimal design considering the pressure and residual chlorine concentration. Figure 8 shows the percentage of satisfaction of the residual chlorine reference value when the chlorine input concentration gradually increased in the water source for the optimal design considering only pressure.
To derive a design that satisfies the residual chlorine standard for all optimal designs considering only the pressure in the loop-type network represented in Figure 8a, the chlorine input concentration of the water source must be 3.24 mg/L or higher in all designs. In a network constructed by minimizing the sum of surplus heads, if the chlorine input concentration in the water source is set to 2.56 mg/L or higher, the optimal design considering the pressure and residual chlorine and the optimal design considering only the pressure can be similarly obtained. The loop-type network shown in Figure 5a derived an optimal design that satisfies the residual chlorine concentration standard from 0.23 mg/L. However, the optimal design that considered only pressure derived a network that satisfies the residual chlorine concentration standard from 0.25 mg/L. Similarly, as shown in Figure 5d for the hybrid network, the optimal design that satisfies the residual chlorine reference value was derived from 0.22 mg/L. Still, the optimal design that considered only pressure was derived from 0.24 mg/L regardless of the objective function that constructs the shape of the network. It was confirmed that the optimal design considering pressure and residual chlorine also had a lower input chlorine concentration in the branch network.
Likewise, it was confirmed that the network constructed with the minimal objective function satisfies all residual chlorine concentrations even if the chlorine concentration is relatively low in the water source, but the network constructed with the maximum objective function has superior sum of surplus head and design costs. In addition, the optimal design considering the pressure and residual chlorine concentration requires a lower chlorine input concentration in the water source than the optimal design considering only pressure. It was confirmed that the concentration of chlorine input in the water source was lowered only by changing the size and arrangement of the pipe.
According to previous results, it is better to configure the network by maximizing the sum of the surplus head. Therefore, Figure 9 shows Pareto-optimal solutions as a function of the CS and DI indicators to determine the optimal network configuration design by maximizing the sum of the surplus head among the loop, hybrid, and branch networks.
Figure 9a,c simultaneously show the Pareto-optimal solution for loop, hybrid, and branch networks. Regarding convergence, the CS of the Loop network was 0.4528, which led to an optimal design in which the shape of the loop network was superior in terms of the sum of the surplus head and design cost. Regarding the diversity of the solutions, the hybrid and branch networks were relatively better designs. Concerning the optimal design considering the pressure and residual chlorine concentration, the optimal design for the loop network had a CS of 0.7097, indicating superior optimal design in terms of hybrid and branch design cost and sum of the surplus head. It was confirmed that the loop network was the best design for the network with the optimal design considering only pressure and that considering both the pressure and residual chlorine concentration. It was confirmed that the loop network had many pipes that could be supplied at one node, so it was possible to derive a better design in terms of design cost. Likewise, it was possible to derive a better pressure and residual chlorine.

5. Summary and Conclusions

In this study, to develop the optimal design for WDSs considering topological characteristics and residual chlorine concentration, three stages of the process are considered. The first stage was the network generation considering various types of network configurations, and the second stage was the optimal design of various types’ WDSs within the multi-objective optimization framework. The final stage was the comparison and analysis of the optimal designs. Therefore, the optimal design of networks considering the classification and hydraulic water-quality parameters according to the topological characteristics of the network and the BI was conducted, and a total of three conclusions could be drawn.
First, when configuring the network shape, the importance of the objective function was confirmed in constructing the network shape, as shown in Figure 7. The aspects of design cost and surplus head of the network configured by maximizing the sum of the surplus head and the network configured by minimizing the sum of the surplus head were confirmed through CS. In terms of the DI of the optimal solution, an optimal design that was similar or better was derived. Thus, the importance of the value used as the objective function for determining the topological characteristics of the network was identified. Second, it was confirmed that the optimal design considering the pressure and water quality was 0.02 mg/L less on average than the optimal design considering pressure through Figure 6 and Figure 8. This confirmed that the same result was derived because the flow velocity was different depending on the size of the pipe, even though the objective function, sum of the surplus head, and cost aspect were similar in the same network. It was confirmed that the larger the pipe diameter, the lower the flow rate, and as the residence time increased, the residual chlorine standard value was not satisfied. Finally, in the process of constructing the shape of the network, the loop network with a BI of 0.3 showed superior results in terms of the CS indicator among the networks configured with the sum of the surplus heads. This was an optimal design considering only the pressure and both the pressure and residual chlorine standards. All of the considered optimal designs were confirmed to be better than the hybrid and branch types in terms of the CS indicator. Although the number of nodes and number of pipes were the same, the loop network had a superior supply capacity at each node than the hybrid and branch networks, reducing the number of surplus heads and design costs and resulting in a better optimal design. Therefore, in this study, the importance of the objective function for configuring the network was confirmed when determining the shape with the same number of nodes and the same number of pipes. When designing a network, only the hydraulic characteristics were considered, but it was confirmed that the design should be carried out by considering the hydraulic factors and residual chlorine concentration simultaneously. Finally, in terms of the type of network, the loop network was better than the hybrid and branch networks in terms of design cost and pressure. Thus, it was confirmed that the designer’s decision-making role could be supported by considering the residual chlorine concentration and pressure at the design stage while determining the network shape.
This study derived that the pressure and the residual chlorine should be considered simultaneously as the design criteria for the optimal design of water-distribution systems, and loop-type network design is advantageous in aspects of the construction cost and system robustness under the same network conditions (e.g., number of pipes and nodes, demand, and distance from water sources to furthest node). However, to derive the above results, this study makes several assumptions. Firstly, this study considers construction cost and standard of pressure/water quality constraints, but it does not consider the characteristic of topology and WDSs facilities for the real-world network. That is represented as the limitation of this study which cannot consider the hydraulic and water quality characteristic according to the multiple booster chlorination stations, pump, and tanks operation. In addition, since the network applied in this study was created under the same network’s condition to consider the topological characteristics, it is possible to quantitatively evaluate the design results according to the characteristics of the network, but there will be a difference from the design result of the actual network. Thus, to overcome these limitations, future studies should validate this analysis extensively, and it is necessary to apply the various configurations and sizes of real-world networks considering pumps/tanks operation, and chlorination injection options. In addition, in the many-objective optimization framework, the consideration of various kinds of objective functions should be applied, such as the system resilience, redundancy, and other types of robustness indices (i.e., structural, mechanical, and hydraulic system index).

Author Contributions

Conceptualization—Y.H.C. and M.J.K.; Data curation—M.J.K.; Methodology—Y.H.C.; Supervision—Y.H.C.; Writing—original draft, M.J.K. All authors have read and agreed to the published version of the manuscript.

Funding

This work was supported by the National Research Foundation of Korea (NRF) (NRF-2021R1G1A1003295).

Institutional Review Board Statement

Not applicable.

Informed Consent Statement

Not applicable.

Data Availability Statement

Not applicable.

Acknowledgments

This work was supported by the National Research Foundation of Korea (NRF) grant funded by the Korean government.

Conflicts of Interest

The authors declare no conflict of interest.

References

  1. Alperovits, E.; Shamir, U. Design of optimal water distribution systems. Water Resour. Res. 1977, 13, 885–900. [Google Scholar] [CrossRef]
  2. Kim, J.H.; Kim, T.G.; Kim, J.H.; Yoon, Y.N. A study on the pipe network system design using non-linear programming. J. Korea Water Resour. Assoc. 1994, 27, 59–67. [Google Scholar]
  3. Dandy, G.C.; Simpson, A.R.; Murphy, L.J. An improved genetic algorithm for pipe network optimization. Water Resour. Res. 1996, 32, 449–458. [Google Scholar] [CrossRef]
  4. Savic, D.A.; Walters, G.A. Genetic algorithms for least-cost design of water distribution networks. J. Water Resour. Plan. Manag. 1997, 123, 67–77. [Google Scholar] [CrossRef]
  5. Geem, Z.W. Optimal cost design of water distribution networks using harmony search. Eng. Optim. 2006, 38, 259–277. [Google Scholar] [CrossRef]
  6. Tany1mboh, T.T.; Templeman, A.B. A quantified assessment of the relationship between the reliability and entropy of water distribution systems. Eng. Optim. 2000, 33, 179–199. [Google Scholar] [CrossRef]
  7. Jung, D.; Kang, D.; Kim, J.H.; Lansey, K. Robustness-based design of water distribution systems. J. Water Resour. Plan. Manag. 2014, 10, 1061. [Google Scholar] [CrossRef]
  8. Jung, D.; Lansey, K.E.; Choi, Y.H.; Kim, J.H. Robustness-based optimal pump design and scheduling for water distribution systems. J. Hydroinform. 2016, 18, 500–513. [Google Scholar] [CrossRef]
  9. Yazdi, J.; Choi, Y.H.; Kim, J.H. Non-dominated sorting harmony search differential evolution (NS-HS-DE): A hybrid algorithm for multi-objective design of water distribution networks. Water 2017, 9, 587. [Google Scholar] [CrossRef]
  10. Choi, Y.H.; Jung, D.; Lee, H.M.; Yoo, D.G.; Kim, J.H. Improving the quality of pareto optimal solutions in water distribution network design. J. Water Resour. Plan. Manag. 2017, 143, 04017036. [Google Scholar] [CrossRef]
  11. Rossman, L.A.; Clark, R.M.; Grayman, W.M. Modeling chlorine residuals in drinking-water distribution systems. J. Environ. Eng. 1994, 120, 803–820. [Google Scholar] [CrossRef]
  12. Vasconcelos, J.J.; Rossman, L.A.; Grayman, W.M.; Boulos, P.F.; Clark, R.M. Kinetics of chlorine decay. J.-Am. Water Work. Assoc. 1997, 89, 54–65. [Google Scholar] [CrossRef]
  13. Sathasivan, A.; Chiang, J.; Nolan, P. Temperature dependence of chemical and microbiological chloramine decay in bulk waters of distribution system. Water Sci. Technol. Water Supply 2009, 9, 493–499. [Google Scholar] [CrossRef]
  14. Lari, K.S.; van Reeuwijk, M.; Maksimović, Č.; Sharifan, S. Combined bulk and wall reactions in turbulent pipe flow: Decay coefficients and concentration profiles. J. Hydroinform. 2011, 13, 324–333. [Google Scholar] [CrossRef][Green Version]
  15. Lansey, K.; Pasha, F.; Pool, S.; Elshorbagy, W.; Uber, J. Locating satellite booster disinfectant stations. J. Water Resour. Plan. Manag. 2007, 133, 372–376. [Google Scholar] [CrossRef]
  16. Kim, K.; Hyung, J.; Seo, J.; Shin, H.; Koo, J. Development of an optimal operation model of residual chlorine concentration in water supply system. J. Korean Soc. Water Wastewater 2017, 31, 587–597. [Google Scholar] [CrossRef]
  17. Yoo, D.G.; Lee, S.M.; Lee, H.M.; Choi, Y.H.; Kim, J.H. Optimizing re-chlorination injection points for water supply networks using harmony search algorithm. Water 2018, 10, 547. [Google Scholar] [CrossRef]
  18. Seo, J.; Kim, K.; Hyung, J.; Kim, T.; Koo, J. Optimization model for location and operation schedule of chlorine booster stations in water distribution networks. Desalination Water Treat. 2019, 140, 91–102. [Google Scholar] [CrossRef]
  19. Hoagland, S.; Schal, S.; Ormsbee, L.; Bryson, S. Classification of water distribution systems for research applications. In Proceedings of the World Environmental and Water Resources Congress 2015, Austin, TX, USA, 17–21 May 2015; pp. 696–702. [Google Scholar]
  20. Hwang, H.; Lansey, K. Water distribution system classification using system characteristics and graph-theory metrics. J. Water Resour. Plan. Manag. 2017, 143, 04017071. [Google Scholar] [CrossRef]
  21. Yazdani, A.; Jeffrey, P. Applying network theory to quantify the redundancy and structural robustness of water distribution systems. J. Water Resour. Plan. Manag. 2012, 138, 153–161. [Google Scholar] [CrossRef]
  22. Jung, D.; Yoo, D.G.; Kang, D.; Kim, J.H. Linear model for estimating water distribution system reliability. J. Water Resour. Plan. Manag. 2016, 142, 04016022. [Google Scholar] [CrossRef]
  23. Mu, T.; Ye, Y.; Tan, H.; Zheng, C. Multistage iterative fully automatic partitioning in water distribution systems. Water Supply 2021, 21, 299–317. [Google Scholar] [CrossRef]
  24. Jung, D.; Kim, J.H. Water distribution system design to minimize costs and maximize topological and hydraulic reliability. J. Water Resour. Plan. Manag. 2018, 144, 06018005. [Google Scholar] [CrossRef]
  25. Jung, D.; Lee, S.; Hwang, H. Optimization difficulty indicator and testing framework for water distribution network complexity. Water 2019, 11, 2132. [Google Scholar] [CrossRef]
  26. Choi, Y.H.; Kim, J.H. Topological and mechanical redundancy-based optimal design of water distribution systems in many-objective optimization. Eng. Optim. 2020, 52, 1974–1991. [Google Scholar] [CrossRef]
  27. Rossman, L.A. EPANET 2: Users Manual; National Risk Management Research Laboratory: Cincinnati, OH, USA, 2000. [Google Scholar]
  28. Geem, Z.W.; Kim, J.H.; Loganathan, G.V. A new heuristic optimization algorithm: Harmony search. Simulation 2001, 76, 60–68. [Google Scholar] [CrossRef]
  29. Fonseca, C.M.; Fleming, P.J. Genetic Algorithms for Multiobjective Optimization: Formulation Discussion and Generalization. In Proceedings of the 5th International Conference on Genetic Algorithms (ICGA), Urbana-Champaign, IL, USA, 17–21 July 1993; pp. 416–423. [Google Scholar]
  30. Deb, K.; Agrawal, S.; Pratap, A.; Meyarivan, T. A fast elitist non-dominated sorting genetic algorithm for multi-objective optimization: NSGA-II. In Parallel Problem Solving from Nature PSSN VI, Proceedings of the 6th International Conference on Parallel Problem Solving from Nature, Paris, France, 18–20 September 2000; Springer: Berlin/Heidelberg, Germany, 2000; pp. 849–858. [Google Scholar]
  31. Ostfeld, A. Reliability analysis of water distribution systems. J. Hydroinform. 2004, 6, 281–294. [Google Scholar] [CrossRef]
  32. Yoo, D.G.; Jung, D.; Kang, D.; Kim, J.H. Seismic-reliability-based optimal layout of a water distribution network. Water 2016, 8, 50. [Google Scholar] [CrossRef]
  33. Choi, Y.H.; Lee, H.M.; Yoo, D.G.; Kim, J.H. Optimal design of water supply system using multi-objective harmony search alhorithm. J. Korean Soc. Water Wastewater 2015, 29, 293–303. [Google Scholar] [CrossRef]
  34. Zitzler, E. Evolutionary Algorithms for Multiobjective Optimization: Evolutionary Methods for Design, Optimisation, and Control. Ph.D. Thesis, Swiss Federal Institute of Technology, Zürich, Switzerland, 2002; pp. 19–26. [Google Scholar]
  35. Zitzler, E.; Deb, K.; Thiele, L. Comparison of multiobjective evolutionary algorithms: Empirical results. Evol. Comput. 2000, 8, 173–195. [Google Scholar] [CrossRef]
Figure 1. Flowchart of node-reduction algorithm.
Figure 1. Flowchart of node-reduction algorithm.
Mathematics 10 04721 g001
Figure 2. Flowchart of the research plan.
Figure 2. Flowchart of the research plan.
Mathematics 10 04721 g002
Figure 3. Original water distribution network and network details.
Figure 3. Original water distribution network and network details.
Mathematics 10 04721 g003
Figure 4. Water age according to topological features: (a) average water age per hour; (b) average of water age per node.
Figure 4. Water age according to topological features: (a) average water age per hour; (b) average of water age per node.
Mathematics 10 04721 g004
Figure 5. Representative water distribution network to (ac) construct WDS layout by surplus head maximization; (df) construct WDS layout by surplus head minimization.
Figure 5. Representative water distribution network to (ac) construct WDS layout by surplus head maximization; (df) construct WDS layout by surplus head minimization.
Mathematics 10 04721 g005
Figure 6. Pareto-optimal solutions considering only pressure, and pressure and water quality: (a,c,e) constructed by surplus maximization; (b,d,f) construct WDS layout by surplus head minimization.
Figure 6. Pareto-optimal solutions considering only pressure, and pressure and water quality: (a,c,e) constructed by surplus maximization; (b,d,f) construct WDS layout by surplus head minimization.
Mathematics 10 04721 g006
Figure 7. Comparison of Pareto-optimal solutions (a,c,e), Pareto-optimal solution considering only pressure (b,d,e), and Pareto-optimal solutions considering pressure and water quality.
Figure 7. Comparison of Pareto-optimal solutions (a,c,e), Pareto-optimal solution considering only pressure (b,d,e), and Pareto-optimal solutions considering pressure and water quality.
Mathematics 10 04721 g007
Figure 8. Ratio of satisfying water quality for (a) loop-, (b) hybrid-, and (c) branch-type networks.
Figure 8. Ratio of satisfying water quality for (a) loop-, (b) hybrid-, and (c) branch-type networks.
Mathematics 10 04721 g008
Figure 9. Comparison of Pareto-optimal solution in terms of WDS topological layout: (a) Pareto-optimal solution considering only pressure, (c) Pareto-optimal solution considering pressure and quality, and (b,d) comparative factors for optimal design.
Figure 9. Comparison of Pareto-optimal solution in terms of WDS topological layout: (a) Pareto-optimal solution considering only pressure, (c) Pareto-optimal solution considering pressure and quality, and (b,d) comparative factors for optimal design.
Mathematics 10 04721 g009
Table 1. Comparison in terms of the BI.
Table 1. Comparison in terms of the BI.
BIObjective Function for Constructing the Layout of WDSs.Min
(m)
Max
(m)
No. Quality Satisfied
(0.3 mg/L)
No. Pres. Satisfied/
Total Data
0.3Minimum Press15.0217.620201/3000
Surplus Head14.6871.56
Robustness2.264.73
0.5Minimum Press15.0017.771103000/3000
Surplus Head8.3172.27
Robustness2.124.75
0.68Minimum Press15.0117.76801021/3000
Surplus Head11.8472.59
Robustness2.134.75
Table 2. Network layout configurations.
Table 2. Network layout configurations.
Representative WDSsBranch IndexMinimum PressSurplus HeadRobustnessRemark
(a) Loop 1
surplus max
0.317.6271.562.26S(max), R(max), N(max)
(d) Loop 2
surplus min
0.315.2214.684.55S(min)
(b) Hybrid 1
surplus max
0.517.7772.272.12S(max), R(max), N(max)
(e) Hybrid 2
surplus min
0.515.008.314.75S(min)
(c) Branch 1
surplus max
0.6817.7672.592.13S(max), R(max), N(max)
(f) Branch 2
surplus min
0.6815.1511.844.61S(min)
Publisher’s Note: MDPI stays neutral with regard to jurisdictional claims in published maps and institutional affiliations.

Share and Cite

MDPI and ACS Style

Ko, M.J.; Choi, Y.H. Optimal Design of Water Distribution Systems Considering Topological Characteristics and Residual Chlorine Concentration. Mathematics 2022, 10, 4721. https://doi.org/10.3390/math10244721

AMA Style

Ko MJ, Choi YH. Optimal Design of Water Distribution Systems Considering Topological Characteristics and Residual Chlorine Concentration. Mathematics. 2022; 10(24):4721. https://doi.org/10.3390/math10244721

Chicago/Turabian Style

Ko, Mun Jin, and Young Hwan Choi. 2022. "Optimal Design of Water Distribution Systems Considering Topological Characteristics and Residual Chlorine Concentration" Mathematics 10, no. 24: 4721. https://doi.org/10.3390/math10244721

APA Style

Ko, M. J., & Choi, Y. H. (2022). Optimal Design of Water Distribution Systems Considering Topological Characteristics and Residual Chlorine Concentration. Mathematics, 10(24), 4721. https://doi.org/10.3390/math10244721

Note that from the first issue of 2016, this journal uses article numbers instead of page numbers. See further details here.

Article Metrics

Back to TopTop