Finite-Time Contractively Bounded Control of Positive Linear Systems under H∞ Performance and Its Application to Pest Management
Abstract
:1. Introduction
2. Problem Formulation
- (1)
- PLS (1) is finite-time contractively bounded w.r.t ();
- (2)
- Under the zero initial condition, the following relationship is satisfied
3. State Feedback Finite-Time Contractively Bounded Controller Synthesis
| Algorithm 1 Cone complementary linearization algorithm |
. Given , , R, , , and . Moreover, Given a small enough scalar and let and , N is the maximum number of iterations. . Let , where () is the feasible set obtained in . Solve the optimization problem as follows min Compare with , where n is the rank of matrix P. If 2n, output the value of and then exit; else, , compare i with N, if , go to ; else, exit. |
4. Examples
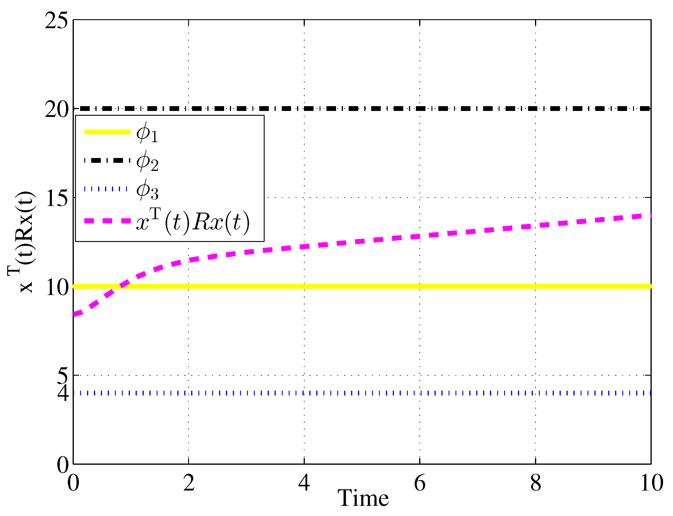
4.1. Example 1
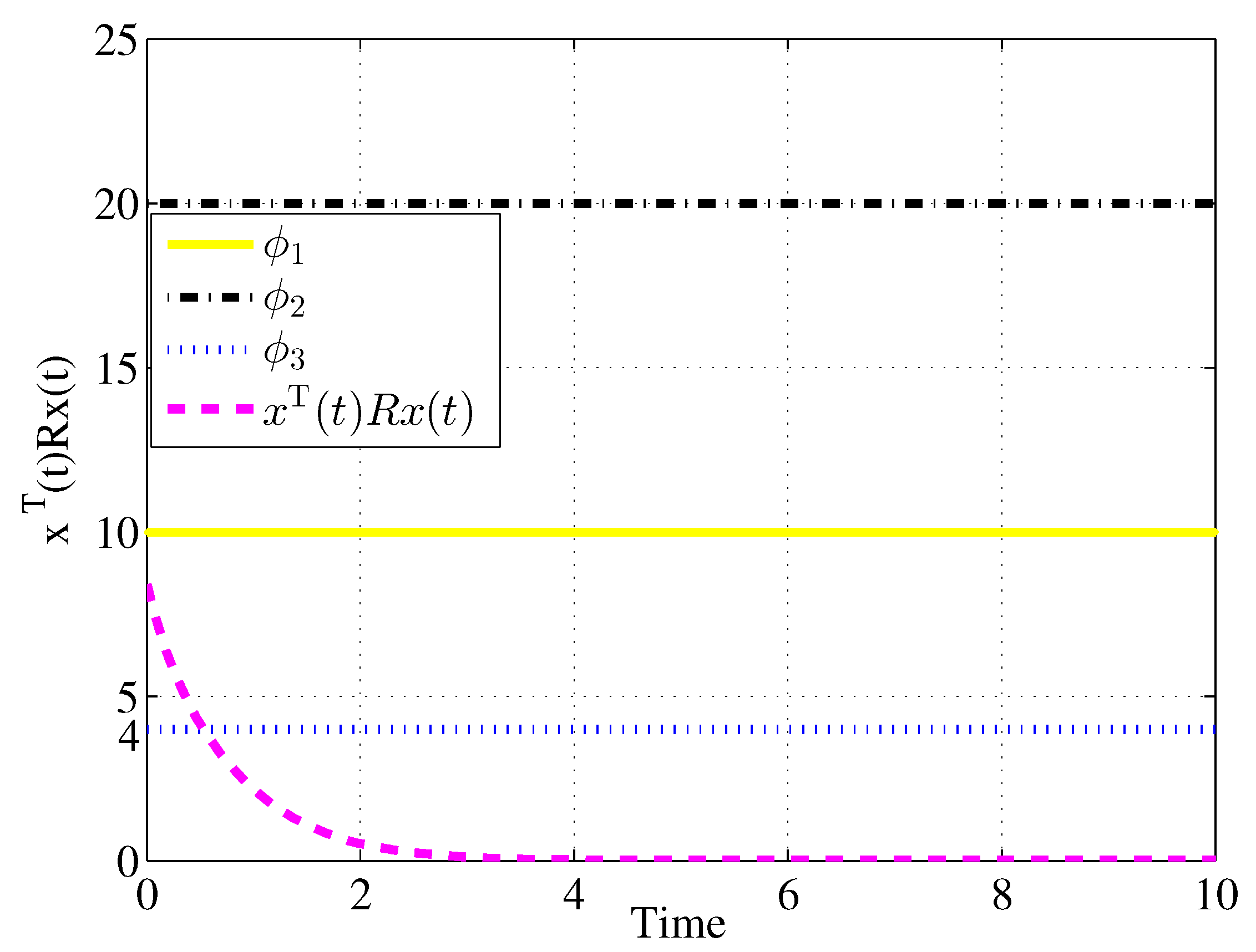
4.2. Example 2
5. Conclusions
Author Contributions
Funding
Institutional Review Board Statement
Informed Consent Statement
Data Availability Statement
Conflicts of Interest
References
- Ahmadi, E.; Zarei, J.; Razavi-Far, R. A dual approach for positive T–S fuzzy controller design and its application to cancer treatment under immunotherapy and chemotherapy. Biomed. Signal Process. Control 2020, 58, 101822. [Google Scholar] [CrossRef] [Green Version]
- Zhang, S.; Zhang, J.; Cai, X. Event-triggered control of nonlinear positive semi-Markovian jump systems with randomly occurring actuator faults. Optim. Control Appl. Methods 2021, 42, 660–683. [Google Scholar] [CrossRef]
- Guiver, C.; Poppelreiter, N.; Rebarber, R. Dynamic observers for unknown populations. Discrete Contin. Dyn. Syst. Ser. B 2021, 26, 3279–3302. [Google Scholar] [CrossRef]
- Zhang, J.; Wang, Y.; Xiao, J. Stability Analysis of Impulsive Positive Systems. IFAC Proc. 2014, 47, 5987–5991. [Google Scholar] [CrossRef]
- Zhu, B.; Zhang, J.; Suo, M.L. Robust stability analysis and controller synthesis for uncertain impulsive positive systems under L1-gain performance. ISA Trans. 2019, 93, 55–69. [Google Scholar] [CrossRef] [PubMed]
- Hien, L.V.; Trinh, H.M.; Pathirana, P.N. On ℓ1-gain control of 2-D positive Roesser systems with directional delays: Necessary and sufficient conditions. Automatica 2020, 112, 108720. [Google Scholar] [CrossRef]
- Briat, C. Robust stability and stabilization of uncertain linear positive systems via integral linear constraints: L1-gain and L∞-gain characterization. Int. J. Robust Nonlinear Control 2013, 23, 1932–1954. [Google Scholar] [CrossRef]
- Chen, X.; Lam, J.; Li, P. Positive filtering for continuous-time positive systems under L1 performance. Int. J. Control 2014, 87, 1906–1913. [Google Scholar] [CrossRef]
- Wang, C.; Hu, L.; Liu, Y. Stability and Lp-gain characterization of positive linear systems on time scales. J. Frankl. Inst. 2022, 359, 240–254. [Google Scholar] [CrossRef]
- Zhu, B.; Li, M.; Suo, M.L. Stability analysis and L1-gain characterization for impulsive positive systems with time-varying delay. J. Frankl. Inst. 2020, 357, 8703–8725. [Google Scholar] [CrossRef]
- Chen, X.; Lam, J.; Li, P. ℓ1-induced norm and controller synthesis of positive systems. Automatica 2013, 49, 1377–1385. [Google Scholar] [CrossRef]
- Dorato, P. Short time stability in linear time-varying systems. In Proceedings of the IRE International Convention, Record Part 4, New York, NY, USA, 26 October 1961; pp. 83–87. [Google Scholar]
- Yan, Z.; Zhang, G.; Wang, J. Finite-time stability and stabilization of linear stochastic systems. In Proceedings of the 29th Chinese Control Conference, Beijing, China, 29–31 July 2010. [Google Scholar]
- Yan, Z.; Zhang, G.; Zhang, W. Finite-time stability and stabilization of linear Itô stochastic systems with state and control-dependent noise. Asian J. Control 2013, 15, 270–281. [Google Scholar] [CrossRef]
- Weiss, L.; Infante, E. Finite time stability under perturbing forces and on product spaces. IEEE Trans. Autom. Control 1967, 12, 54–59. [Google Scholar] [CrossRef]
- Amato, F.; Cesarelli, M.; Cosentino, C. On the finite-time stability of two dimensional linear systems. In proceeding of 14th International Conference on Networking, Sensing and Control, Alerna, Italy, 16–18 May 2017. [Google Scholar] [CrossRef]
- Yan, Z.; Zhang, W.; Zhang, G. Finite-time stability and stabilization of Itô stochastic systems with Markovian switching: Mode-dependent parameter approach. IEEE Trans. Autom. Control 2015, 60, 2428–2433. [Google Scholar] [CrossRef]
- Li, X.; Yang, X.; Song, S. Lyapunov conditions for finite-time stability of time-varying time-delay systems. Automatica 2019, 103, 135–140. [Google Scholar] [CrossRef]
- Joby, M.; Santra, S.; Anthoni, S.M. Finite-time contractive boundedness of extracorporeal blood circulation process. Appl. Math. Comput. 2021, 388, 125527. [Google Scholar] [CrossRef]
- Xiang, M.; Xiang, Z. Finite-time L1 control for positive switched linear systems with time-varying delay. Commun. Nonlinear Sci. Numer. Simul. 2013, 18, 3158–3166. [Google Scholar] [CrossRef]
- Hu, M.; Wang, Y.; Xiao, J. On finite-time stability and stabilization of positive systems with impulses. Nonlinear Anal. Hybrid Syst. 2019, 31, 275–291. [Google Scholar] [CrossRef]
- Zhu, B.; Yang, T.; Yan, Z. Finite time annular domain robust stability analysis and controller design for T-S fuzzy interval positive systems. IEEE Access 2022, 10, 24255–24263. [Google Scholar] [CrossRef]
- Wang, Y.; Xie, L.; De Souza, C. Robust control of a class of uncertain nonlinear systems. Syst. Control Lett. 1992, 19, 139–149. [Google Scholar] [CrossRef]
- Farina, L.; Rinaldi, S. Positive Linear Systems: Theory and Applications; Wiley: New York, NY, USA, 2000. [Google Scholar]
- Zhang, J.; Zhao, X.; Zhang, R. An improved approach to controller design of positive systems using controller gain decomposition. J. Frankl. Inst. 2017, 356, 1356–1373. [Google Scholar] [CrossRef]
- Song, X.; Zhou, S.; Zhang, B. A cone complementarity linearization approach to robust H∞ controller design for continuous-time piecewise linear systems with linear fractional uncertainties. Nonlinear Anal. Hybrid Syst. 2008, 2, 1264–1274. [Google Scholar] [CrossRef]
- Sakthivel, R.; Joby, M.; Kwon, O. Observer-based resilient finite-time control of blood gases model during extra-corporeal circulation. IET Syst. Biol. 2018, 12, 131–137. [Google Scholar] [CrossRef] [PubMed]
- Zhang, J.; Han, Z.; Zhu, F. Finite-time control and L1-gain analysis for positive switched systems. Optim. Control Appl. Methods 2015, 36, 550–565. [Google Scholar] [CrossRef]
- El Ghaoui, L.; Oustry, F.; AitRami, M. A cone complementarity linearization algorithm for static output-feedback and related problems. IEEE Trans. Autom. Control 1997, 42, 1171–1176. [Google Scholar] [CrossRef] [Green Version]
- Lofberg, J. YALMIP: A Toolbox for Modeling and Optimization in MATLAB. IEEE Int. Symp. Comput. Aided Control Syst. Des. 2004, 3, 282–289. [Google Scholar] [CrossRef]
- Chen, X.; Lam, J.; Li, P. Output-feedback control for continuous-time interval positive systems under L1 performance. Asian J. Control 2014, 16, 1592–1601. [Google Scholar] [CrossRef]








Publisher’s Note: MDPI stays neutral with regard to jurisdictional claims in published maps and institutional affiliations. |
© 2022 by the authors. Licensee MDPI, Basel, Switzerland. This article is an open access article distributed under the terms and conditions of the Creative Commons Attribution (CC BY) license (https://creativecommons.org/licenses/by/4.0/).
Share and Cite
Zhu, L.; Zhu, B.; Yan, Z.; Hu, G. Finite-Time Contractively Bounded Control of Positive Linear Systems under H∞ Performance and Its Application to Pest Management. Mathematics 2022, 10, 1997. https://doi.org/10.3390/math10121997
Zhu L, Zhu B, Yan Z, Hu G. Finite-Time Contractively Bounded Control of Positive Linear Systems under H∞ Performance and Its Application to Pest Management. Mathematics. 2022; 10(12):1997. https://doi.org/10.3390/math10121997
Chicago/Turabian StyleZhu, Liang, Baolong Zhu, Zhiguo Yan, and Guolin Hu. 2022. "Finite-Time Contractively Bounded Control of Positive Linear Systems under H∞ Performance and Its Application to Pest Management" Mathematics 10, no. 12: 1997. https://doi.org/10.3390/math10121997
APA StyleZhu, L., Zhu, B., Yan, Z., & Hu, G. (2022). Finite-Time Contractively Bounded Control of Positive Linear Systems under H∞ Performance and Its Application to Pest Management. Mathematics, 10(12), 1997. https://doi.org/10.3390/math10121997
