A Network Analysis of Control–Value Appraisals and Classroom-Related Enjoyment, Boredom, and Pride
Abstract
1. Introduction
1.1. Control–Value Theory
1.2. Control and Value Appraisals
1.3. Achievement Emotions
1.4. Control–Value Appraisals and Enjoyment, Boredom, and Pride
1.5. Network Analysis
1.6. Aim of the Present Study
2. Materials and Methods
2.1. Participants and Procedure
2.2. Measures
2.3. Analytic Procedure
3. Results
3.1. Descriptive Statistics and Latent Bivariate Correlations
3.2. Network Analysis
3.2.1. Gaussian Graphical Model
3.2.2. Edges between Control–Value Antecedents and Achievement Emotions
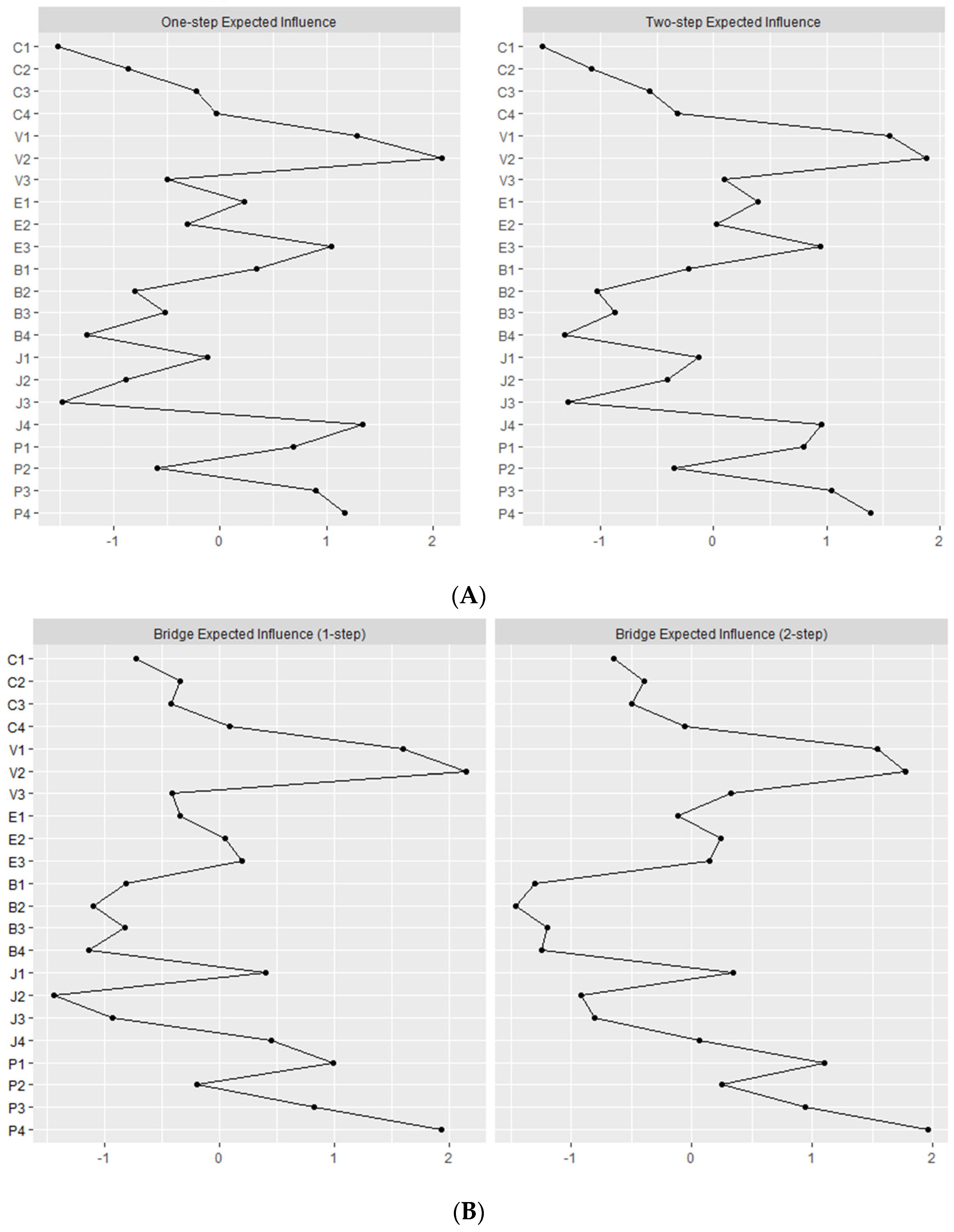
3.2.3. Expected Influence Statistics
3.2.4. Bridge Expected Influence Statistics
4. Discussion
4.1. Organization of the Network
4.2. Relations between Control–Value Appraisals and Achievement Emotions
4.3. Limitations and Directions for Future Research
4.4. Practical Implications of the Findings
5. Conclusions
Supplementary Materials
Author Contributions
Funding
Institutional Review Board Statement
Informed Consent Statement
Data Availability Statement
Conflicts of Interest
References
- Pekrun, R. Self-appraisals and emotions: A control-value approach. In Self—A Multidisciplinary Concept; Dicke, T., Guay, F., Marsh, H.W., Craven, R.G., McInerney, D.M., Eds.; Information Age Publishing: Charlotte, NC, USA, 2021. [Google Scholar]
- Ahmed, W.; van der Werf, G.; Kuyper, H.; Minnaert, A. Emotions, self-regulated learning, and achievement in mathematics: A growth curve analysis. J. Educ. Psychol. 2013, 105, 150–161. [Google Scholar] [CrossRef]
- Camacho-Morles, J.; Slemp, G.R.; Oades, L.G.; Morrish, L.; Scoular, C. The role of achievement emotions in the collaborative problem-solving performance of adolescents. Learn. Individ. Differ. 2019, 70, 169–181. [Google Scholar] [CrossRef]
- Fredrickson, B.L. Positive emotions broaden build. In Advances in Experimental Social Psychology; Devine, P., Plant, A., Eds.; Academic Press: Cambridge, MA, USA, 2013; Volume 47, pp. 1–53. [Google Scholar] [CrossRef]
- Bieg, M.; Goetz, T.; Hubbard, K. Can I master it and does it matter? An intraindividual analysis on control–value antecedents of trait and state academic emotions. Learn. Individ. Differ. 2013, 28, 102–108. [Google Scholar] [CrossRef]
- Putwain, D.W.; Schmitz, E.A.; Wood, P.; Pekrun, R. The role of achievement emotions in primary school mathematics: Control-value antecedents and achievement outcomes. Br. J. Educ. Psychol. 2021, 91, 347–367. [Google Scholar] [CrossRef]
- Shao, K.; Pekrun, R.; Marsh, H.W.; Loderer, K. Control-value appraisals, achievement emotions, and foreign language performance: A latent interaction analysis. Learn. Instr. 2020, 69, 101356. [Google Scholar] [CrossRef]
- Tamura, A.; Ishii, R.; Yagi, A.; Fukuzumi, N.; Hatano, A.; Sakaki, M.; Tanaka, A.; Murayama, K. Exploring the within-person contemporaneous network of motivational engagement. Learn. Instr. 2022, 81, 101649. [Google Scholar] [CrossRef]
- Pekrun, R. Achievement emotions. In Handbook of Competence and Motivation, 2nd ed.; Elliot, A., Dweck, C., Yeager, D., Eds.; Guilford Press: New York City, NY, USA, 2017; pp. 251–271. [Google Scholar]
- Pekrun, R. Control-value theory: A social-cognitive approach to achievement emotions. In Big Theories Revisited 2: A Volume of Research on Sociocultural Influences on Motivation and Learning; Liem, G.A.D., McInerney, D.M., Eds.; Information Age Publishing: Charlotte, NC, USA, 2018; pp. 162–190. [Google Scholar]
- Bandura, A. Self-Efficacy: The Exercise of Control; Freeman: Philadelphia, PA, USA, 1997. [Google Scholar]
- Graham, S.; Taylor, A.Z. An attributional approach to emotional life in the classroom. In International Handbook of Emotions in Education; Pekrun, R., Linnenbrink-Garcia, L., Eds.; Routledge: London, UK, 2014; pp. 96–119. [Google Scholar]
- Weiner, B. The legacy of an attribution approach to motivation and emotion: A no-crisis zone. Motiv. Sci. 2018, 4, 4–14. [Google Scholar] [CrossRef]
- Pekrun, R.; Perry, R.P. Control-value theory of achievement emotions. In International Handbook of Emotions in Education; Pekrun, R., Linnenbrink-Garcia, L., Eds.; Routledge: London, UK, 2014; pp. 120–141. [Google Scholar]
- Linnenbrink, E.A.; Pintrich, P.R. Achievement goal theory and affect: An asymmetrical bidirectional model. Educ. Psychol. 2002, 37, 69–78. [Google Scholar] [CrossRef]
- Linnenbrink, E.A. Emotion research in education: Theoretical and methodological perspectives on the integration of affect, motivation and cognition. Educ. Psychol. Rev. 2006, 18, 307–314. [Google Scholar] [CrossRef]
- Pekrun, R.; Marsh, H.W.; Elliot, A.J.; Stockinger, K.; Perry, R.P.; Vogl, E.; Goetz, T.; van Tilburg, W.A.P.; Lüdtke, O.; Vispoel, W.P. A three-dimensional taxonomy of achievement emotions. J. Personal. Soc. Psychol. 2023, 124, 145–178. [Google Scholar] [CrossRef]
- Pekrun, R.; Goetz, T.; Frenzel, A.C.; Barchfeld, P.; Perry, R.P. Measuring emotions in students’ learning and performance: The Achievement Emotions Questionnaire (AEQ). Contemp. Educ. Psychol. 2011, 36, 36–48. [Google Scholar] [CrossRef]
- Kosovich, J.J.; Hulleman, C.S.; Barron, K.E. Measuring motivation in educational settings: A Case for pragmatic measurement. In The Cambridge Handbook on Motivation and Learning; Renninger, K.A., Hidi, S.E., Eds.; Cambridge University Press: Cambridge, MA, USA, 2019; pp. 713–738. [Google Scholar]
- Bieleke, M.; Gogol, K.; Goetz, T.; Pekrun, R. The AEQ-S: A short version of the Achievement Emotions Questionnaire. Contemp. Educ. Psychol. 2021, 65, 101940. [Google Scholar] [CrossRef]
- Peixoto, F.; Mata, L.; Monteiro, V.; Sanches, C.; Pekrun, R. The Achievement Emotions Questionnaire: Validation for pre-adolescent students. Eur. J. Dev. Psychol. 2015, 12, 472–481. [Google Scholar] [CrossRef]
- Lichtenfeld, S.; Pekrun, R.; Stupnisky, R.H.; Reiss, K.; Murayama, K. Measuring students’ emotions in the early years: The achievement emotions questionnaire-elementary school (AEQ-ES). Learn. Individ. Differ. 2012, 22, 190–201. [Google Scholar] [CrossRef]
- Zaccoletti, S.; Altoé, G.; Mason, L. Enjoyment, anxiety and boredom, and their control-value antecedents as predictors of reading comprehension. Learn. Individ. Differ. 2020, 79, 101869. [Google Scholar] [CrossRef]
- Loderer, K.; Pekrun, R.; Lester, J. Beyond cold technology: A systematic review and meta-analysis on emotions in technology-based learning environments. Learn. Instr. 2020, 70, 101162. [Google Scholar] [CrossRef]
- Goetz, T.; Frenzel, A.C.; Stoeger, H.; Hall, N.C. Antecedents of everyday positive emotions: An experience sampling analysis. Motiv. Emot. 2010, 34, 49–62. [Google Scholar] [CrossRef]
- Putwain, D.W.; Pekrun, R.; Nicholson, L.J.; Symes, W.; Becker, S.; Marsh, H.W. Control-value appraisals, enjoyment, and boredom in mathematics: A latent interaction analysis. Am. Educ. Res. J. 2018, 55, 1339–1368. [Google Scholar] [CrossRef]
- Parker, P.C.; Perry, R.P.; Hamm Chipperfield, J.G.; Pekrun, R.; Dryden, R.P.; Daniels, L.M.; Tze, V.M.C. A motivation perspective on achievement appraisals, emotions, and performance in an online learning environment. Int. J. Educ. Res. 2021, 108, 101772. [Google Scholar] [CrossRef]
- Fried, E.I.; van Borkulo, C.D.; Cramer, A.O.J.; Boschloo, L.; Schoevers, R.A.; Borsboom, D. Mental disorders as networks of problems: A review of recent insights. Soc. Psychiatry Psychiatr. Epidemiol. 2017, 52, 1–10. [Google Scholar] [CrossRef]
- Heeren, A.; Bernstein, E.E.; McNally, R.J. Deconstructing trait anxiety: A network perspective. Anxiety Stress Coping 2018, 31, 262–276. [Google Scholar] [CrossRef] [PubMed]
- Putwain, D.W.; Stockinger, K.; von der Embse, N.P.; Suldo, S.M.; Daumiller, M. Test anxiety, anxiety disorders, and school-related wellbeing: Manifestations of the same or different Constructs? J. Sch. Psychol. 2021, 88, 47–67. [Google Scholar] [CrossRef] [PubMed]
- Epskamp, S.; Rhemtulla, M.T.; Borsboom, D. Generalized network psychometrics: Combining network and latent variable models. Psychometrika 2017, 82, 904–927. [Google Scholar] [CrossRef] [PubMed]
- Robinaugh, D.J.; Millner, A.J.; McNally, R.J. Identifying highly influential nodes in the complicated grief network. J. Abnorm. Psychol. 2016, 125, 747–757. [Google Scholar] [CrossRef] [PubMed]
- Department for Education. Schools, Pupils and Their Characteristics: Academic Year 2021/22; His Majesty’s’ Stationary Office: London, UK, 2022. [Google Scholar]
- Kosovich, J.J.; Hulleman, C.S.; Barron, K.E.; Getty, S. A practical measure of student motivation: Establishing validity evidence for the Expectancy-Value-Cost Scale in Middle School. J. Early Adolesc. 2015, 35, 709–816. [Google Scholar] [CrossRef]
- Forsblom, L.; Pekrun, R.; Loderer, K.; Peixoto, F. Cognitive appraisals, achievement emotions, and students’ math achievement: A longitudinal analysis. J. Educ. Psychol. 2022, 114, 346–367. [Google Scholar] [CrossRef]
- Peixoto, F.; Sanches, C.; Mata, L.; Monteiro, V. “How do you feel about math?”: Relationships between competence and value appraisals, achievement emotions and academic achievement. Eur. J. Psychol. Educ. 2017, 32, 385–405. [Google Scholar] [CrossRef]
- Muthén, L.K.; Muthén, B.O. Mplus User’s Guide, 8th ed.; Muthén & Muthén: Los Angeles, CA, USA, 2017. [Google Scholar]
- Marsh, H.W.; Morin, A.J.; Parker, P.D.; Kaur, G. Exploratory structural equation modeling: An integration of the best features of exploratory and confirmatory factor analysis. Annu. Rev. Clin. Psychol. 2014, 10, 85–110. [Google Scholar] [CrossRef]
- Morin, A.J.; Marsh, H.W.; Nagengast, B. Exploratory structural equation modelling. In Structural Equation Modeling: A Second Course, 2nd ed.; Hancock, G.R., Mueller, R.O., Eds.; Information Age Publishing, Inc.: Charlotte, NC, USA, 2013. [Google Scholar]
- Hu, L.; Bentler, P.M. Cutoff criteria for fit indexes in covariance structure analysis: Conventional criteria versus new alternatives. Struct. Equ. Model. A Multidiscip. J. 1999, 6, 1–55. [Google Scholar] [CrossRef]
- Jones, P.J. Networktools: Tools for Identifying Important Nodes in Networks. R Package Version 1.1.0. 2017. Available online: https://CRAN.R-project.org/package=networktools (accessed on 27 December 2022).
- Jones, P.J.; Mair, P.; McNally, R.J. Visualizing psychological networks: A tutorial in R. Front. Psychol. 2018, 9, 1742. [Google Scholar] [CrossRef]
- Fruchterman, T.M.; Reingold, E.M. Graph drawing by force-directed placement. Softw. Pract. Exp. 1991, 21, 1129–1164. [Google Scholar] [CrossRef]
- Friedman, J.; Hastie, T.; Tibshirani, R. Sparse inverse covariance estimation with the graphical lasso. Biostatistics 2008, 9, 432–441. [Google Scholar] [CrossRef] [PubMed]
- Epskamp, S.; Cramer, A.O.J.; Waldorp, L.J.; Schmittmann, V.D.; Borsboom, D. Qgraph: Network visualizations of relationships in psychometric data. J. Stat. Softw. 2012, 48, 1–18. [Google Scholar] [CrossRef]
- Williams, D.R.; Rast, P. Back to the basics: Rethinking partial correlation network methodology. Br. J. Math. Stat. Psychol. 2020, 73, 187–212. [Google Scholar] [CrossRef]
- Epskamp, S. Brief report on estimating regularized Gaussian networks from continuous and ordinal data. arXiv 2017, arXiv:1606.05771v2. [Google Scholar] [CrossRef]
- Janková, J.; van de Geer, S. Inference for high-dimensional graphical models. In Handbook of Graphical Models; Maathuis, M., Drton, M., Lauritzen, S., Wainwright, M., Eds.; CRC Press: Boca Raton, FL, USA, 2019; pp. 325–346. [Google Scholar]
- Skinner, E.A. A guide to constructs of control. J. Personal. Soc. Psychol. 1996, 71, 549–570. [Google Scholar] [CrossRef]
- Gogol, K.; Brunner, M.; Goetz, T.; Martin, R.; Ugen, S.; Keller, U.; Fischbach, A.; Preckel, F. My questionnaire is too long! Contemp. Educ. Psychol. 2014, 39, 188–205. [Google Scholar] [CrossRef]
- Boehme, K.L.; Goetz, T.; Preckel, F. Is it good to value math? Investigating mothers’ impact on their children’s test anxiety based on control-value theory. Contemp. Educ. Psychol. 2017, 51, 11–21. [Google Scholar] [CrossRef]
- Pekrun, R.; Goetz, T.; Daniels, L.M.; Stupnisky, R.H.; Perry, R.P. Boredom in achievement settings: Exploring control-value antecedents and performance outcomes of a neglected emotion. J. Educ. Psychol. 2010, 102, 531–549. [Google Scholar] [CrossRef]
- Hall, N.C.; Perry, R.P.; Goetz, T.; Ruthig, J.C.; Stupnisky, R.H.; Newall, N.E. Attributional retraining and elaborative learning: Improving academic development through writing-based interventions. Learn. Individ. Differ. 2007, 17, 280–290. [Google Scholar] [CrossRef]
- Hulleman, C.S.; Barron, K.E.; Kosovich, J.J.; Lazowski, R.A. Student Motivation: Current Theories, Constructs, and Interventions Within an Expectancy-Value Framework. In Psychosocial Skills and School Systems in the 21st Century. Theory, Research, and Practice; Lipnevich, A.A., Preckel, F., Roberts, R.D., Eds.; The Springer Series on Human Exceptionality; Springer: Berlin/Heidelberg, Germany, 2016; pp. 241–278. [Google Scholar]
- Rosenzweig, E.Q.; Wigfield, A.; Hulleman, C.S. More useful or not so bad? Examining the effects of utility value and cost reduction interventions in college physics. J. Educ. Psychol. 2020, 112, 166–182. [Google Scholar] [CrossRef]



| Scale/Item | Mean | SD | McDonald’s ω | Skewness | Kurtosis |
|---|---|---|---|---|---|
| Expectancy | 12.28 | 2.19 | 0.83 | −1.13 | 2.55 |
| E1 | 4.19 | 0.74 | −1.39 | 3.95 | |
| E2 | 4.05 | 0.86 | −1.30 | 2.63 | |
| E3 | 4.05 | 0.91 | −1.29 | 2.23 | |
| Value | 11.85 | 2.39 | 0.86 | −0.82 | 0.48 |
| V1 | 4.02 | 0.85 | −0.75 | 0.47 | |
| V2 | 3.97 | 0.87 | −0.91 | 0.96 | |
| V3 | 3.88 | 1.02 | −0.96 | 0.63 | |
| Cost | 8.73 | 3.01 | 0.69 | 0.47 | 0.48 |
| C1 | 2.47 | 1.02 | 0.49 | −0.07 | |
| C2 | 2.19 | 1.08 | 0.89 | 0.32 | |
| C3 | 2.05 | 1.07 | 1.17 | 0.94 | |
| C4 | 2.02 | 1.07 | 1.05 | 0.67 | |
| Enjoyment | 16.04 | 3.25 | 0.88 | −0.89 | 0.48 |
| J1 | 4.18 | 0.80 | −0.96 | 0.80 | |
| J2 | 3.95 | 0.90 | −0.75 | 0.21 | |
| J3 | 4.05 | 0.93 | −0.91 | 0.49 | |
| J4 | 3.83 | 1.00 | −0.75 | 0.17 | |
| Boredom | 8.05 | 3.84 | 0.90 | 0.95 | 0.43 |
| B1 | 2.02 | 0.99 | 0.88 | 0.12 | |
| B2 | 2.02 | 1.08 | 1.02 | 0.41 | |
| B3 | 2.01 | 1.06 | 0.91 | 0.13 | |
| B4 | 2.00 | 1.11 | 1.08 | 0.46 | |
| Pride | 16.06 | 2.58 | 0.84 | −0.57 | 0.34 |
| P1 | 4.03 | 0.75 | −0.48 | 0.01 | |
| P2 | 4.01 | 0.82 | −0.99 | 1.37 | |
| P3 | 4.03 | 0.72 | −0.44 | 0.19 | |
| P4 | 3.96 | 0.93 | −1.05 | 1.47 |
| 1 | 2 | 3 | 4 | 5 | 6 | |
|---|---|---|---|---|---|---|
| 1. Expectancy | — | 0.36 ** | −0.47 *** | 0.48 *** | −0.53 *** | 0.72 *** |
| 2. Value | — | −0.47 *** | 0.80 *** | −0.57 *** | 0.61 *** | |
| 3. Cost | — | -0.63 *** | 0.53 *** | −0.38 *** | ||
| 4. Enjoyment | — | −0.69 *** | 0.52 *** | |||
| 5. Boredom | — | −0.72 *** | ||||
| 6. Pride | — |
Disclaimer/Publisher’s Note: The statements, opinions and data contained in all publications are solely those of the individual author(s) and contributor(s) and not of MDPI and/or the editor(s). MDPI and/or the editor(s) disclaim responsibility for any injury to people or property resulting from any ideas, methods, instructions or products referred to in the content. |
© 2023 by the authors. Licensee MDPI, Basel, Switzerland. This article is an open access article distributed under the terms and conditions of the Creative Commons Attribution (CC BY) license (https://creativecommons.org/licenses/by/4.0/).
Share and Cite
Putwain, D.W.; Daumiller, M. A Network Analysis of Control–Value Appraisals and Classroom-Related Enjoyment, Boredom, and Pride. Educ. Sci. 2023, 13, 239. https://doi.org/10.3390/educsci13030239
Putwain DW, Daumiller M. A Network Analysis of Control–Value Appraisals and Classroom-Related Enjoyment, Boredom, and Pride. Education Sciences. 2023; 13(3):239. https://doi.org/10.3390/educsci13030239
Chicago/Turabian StylePutwain, David William, and Martin Daumiller. 2023. "A Network Analysis of Control–Value Appraisals and Classroom-Related Enjoyment, Boredom, and Pride" Education Sciences 13, no. 3: 239. https://doi.org/10.3390/educsci13030239
APA StylePutwain, D. W., & Daumiller, M. (2023). A Network Analysis of Control–Value Appraisals and Classroom-Related Enjoyment, Boredom, and Pride. Education Sciences, 13(3), 239. https://doi.org/10.3390/educsci13030239

