Sign in to use this feature.

Years

Between: -

Subjects

remove_circle_outline
remove_circle_outline
remove_circle_outline
remove_circle_outline
remove_circle_outline
remove_circle_outline
remove_circle_outline
remove_circle_outline
remove_circle_outline

Journals

remove_circle_outline
remove_circle_outline
remove_circle_outline
remove_circle_outline
remove_circle_outline
remove_circle_outline
remove_circle_outline
remove_circle_outline

Article Types

Countries / Regions

remove_circle_outline
remove_circle_outline
remove_circle_outline
remove_circle_outline

Search Results (235)

Search Parameters:
Keywords = boredom

Order results
Result details
Results per page
Select all
Export citation of selected articles as:
16 pages, 1518 KB  
Article
Long-Term Effects of the COVID-19 Pandemic on Eating Behaviors and Lifestyle in Families with School-Age Children in Rosario, Argentina
by Monica Stanton Koko, Silvia del Cerro and Alicia Chung
Dietetics 2026, 5(1), 15; https://doi.org/10.3390/dietetics5010015 - 6 Mar 2026
Viewed by 248
Abstract
COVID-19 disrupted daily routines, altering eating patterns. However, it could encourage individuals to adopt healthier behaviors. While extensive research documented changes in dietary behaviors during the COVID-19 lockdown, few studies explored whether they persisted over time. This study aimed to identify the long-term [...] Read more.
COVID-19 disrupted daily routines, altering eating patterns. However, it could encourage individuals to adopt healthier behaviors. While extensive research documented changes in dietary behaviors during the COVID-19 lockdown, few studies explored whether they persisted over time. This study aimed to identify the long-term effects of the pandemic on lifestyle and eating behaviors of families from a private primary school in Funes County, Rosario, Argentina. A total of 51 families (192 individuals) completed an anonymous survey on food intake and perceived dietary and lifestyle changes since the pandemic began. Multiple correspondence analysis revealed increased consumption of fast/processed foods, larger portion sizes, and snacking linked to eating from boredom, stress, or tiredness. Increased home-cooked meals, physical activity, interest in healthy habits, and leisure time enjoyment were also found. Dietary analysis revealed that higher intake of fruits, vegetables, legumes, and water was inversely associated with consumption of refined grains, cold cuts, pastries, and sugary drinks. Boredom, stress, or tiredness led to unfavorable changes. Interest in health, changes in home routines, spending more time together, and preparing meals with family resulted in healthier behaviors that remained present at the time of this study. Full article
Show Figures

Figure 1

19 pages, 605 KB  
Article
Differentiating Trait-, Class-, and Study-Related Academic Boredom: Associations with Engagement and Performance
by Katerina Nerantzaki, Georgia Stavropoulou and Athena Daniilidou
Psychol. Int. 2026, 8(1), 18; https://doi.org/10.3390/psycholint8010018 - 5 Mar 2026
Viewed by 220
Abstract
The present study aimed to examine the inter-relationships among trait-, class-, and study-related boredom, as well as their associations with self-efficacy, self-regulation, critical thinking, academic performance, and engagement among university students. The sample comprised 250 undergraduate psychology students who completed self-report measures assessing [...] Read more.
The present study aimed to examine the inter-relationships among trait-, class-, and study-related boredom, as well as their associations with self-efficacy, self-regulation, critical thinking, academic performance, and engagement among university students. The sample comprised 250 undergraduate psychology students who completed self-report measures assessing academic boredom, critical thinking, self-regulation, academic engagement, and academic performance. Using path analysis, the study revealed that academic boredom was negatively correlated with self-regulation, critical thinking, and self-efficacy. The results further revealed that academic boredom was negatively associated with both academic engagement and performance. However, class-related boredom was negatively associated with engagement but not with performance, whereas study-related boredom was negatively associated with both academic performance and engagement. These findings emphasize the importance of addressing specific types of academic boredom in higher education, as each type appears to play a distinct role in shaping students’ academic experiences and outcomes. The study also highlights the need for interventions that promote self-regulation, critical thinking, and self-efficacy as protective factors to mitigate boredom and enhance academic success. Implications for future research and university policies are discussed. Full article
Show Figures

Figure 1

8 pages, 175 KB  
Article
Defeating Apathy and Ease with One Punch: Modernity and the Problem of Omnipotent Boredom
by Mark DiMauro
Humanities 2026, 15(3), 39; https://doi.org/10.3390/h15030039 - 4 Mar 2026
Viewed by 313
Abstract
Saitama, the titular hero of ONE’s One Punch Man, is a man so absurdly powerful that nothing, and no one, can stand against him. This limitless ability, rather than acting to make a superhero idol of Saitama, has instead reduced his psychological [...] Read more.
Saitama, the titular hero of ONE’s One Punch Man, is a man so absurdly powerful that nothing, and no one, can stand against him. This limitless ability, rather than acting to make a superhero idol of Saitama, has instead reduced his psychological state to that of extreme nihilistic apathy. It is not until Saitama begins to unlock other aspects of his life, including friendship and community, that he begins to see there is more to life than strength. Working within the satirical bounds of the text, which skewers everything from false fulfillment in accolades to false friends to just about every superhero and manga trope in between, Saitama eventually reengages with his life and becomes far more heroic because of it. In the Overview, the text discusses the manga’s origin and explains some of the satirical jabs. In the Heroic Journey, the article takes you through Saitama’s past and current mental state. In the Super Takeaway, the life lesson Saitama’s story can teach us is that even in the face of boredom and a world in which work itself feels obsolete, there remain ways to overcome apathy so long as we are willing to find them for ourselves. Full article
14 pages, 2388 KB  
Article
Gamified Micro:Bit for Computational Thinking and Low-Code Programming in Sustainable Mathematics Education
by Jin Su Jeong, Ana Isabel Montero-Izquierdo, Félix Yllana-Prieto and David González-Gómez
Sustainability 2026, 18(5), 2430; https://doi.org/10.3390/su18052430 - 3 Mar 2026
Viewed by 204
Abstract
Computational thinking (CT) is increasingly being integrated into educational curricula alongside mathematical thinking (MT) within science, technology, engineering, and mathematics (STEM) education. Physical computing devices now support low-code programming approaches aligned with Sustainable Development Goal 4 (Quality Education) by helping to create engaging [...] Read more.
Computational thinking (CT) is increasingly being integrated into educational curricula alongside mathematical thinking (MT) within science, technology, engineering, and mathematics (STEM) education. Physical computing devices now support low-code programming approaches aligned with Sustainable Development Goal 4 (Quality Education) by helping to create engaging and inclusive learning environments for learners, particularly P–12 students and their teachers. However, the use of such devices for low-code programming remains underexplored and insufficiently evaluated. This study investigates the application of low-code programming using a specific physical computing device, the micro:bit, within a gamified context to foster perceive readiness for CT in sustainable mathematics education for P–12 students, while also considering the perspectives of pre-service teachers (PSTs). PSTs often lack adequate preparation to teach related concepts and to manage the affective dimensions that influence learning. Findings indicate that positive emotions increased and negative emotions decreased, except for frustration and boredom, following the intervention. Additionally, interest in and engagement with the development perceive readiness for CT and MT improved among PSTs within a sustainable (STEA)Mathematics education framework. These results suggest that the proposed approach helps address existing gaps and may be adapted across diverse academic and professional domains, supporting continuous knowledge acquisition under both predictable and uncertain conditions. Full article
(This article belongs to the Section Sustainable Education and Approaches)
Show Figures

Figure 1

26 pages, 6887 KB  
Article
Decoding Urban Riverscape Perception: An Interpretable Machine Learning Approach Integrating Computer Vision and High-Fidelity 3D Models
by Yuzhen Tang, Shensheng Chen, Wenhui Xu, Jinxuan Ren and Junjie Luo
ISPRS Int. J. Geo-Inf. 2026, 15(2), 91; https://doi.org/10.3390/ijgi15020091 - 20 Feb 2026
Viewed by 409
Abstract
Visual perception serves as a crucial interface connecting human psychology with the built environment. However, current studies on urban riverscapes often rely on static 2D imagery, failing to capture the spatial depth and immersive experience essential for ecological validity. Furthermore, the “black box” [...] Read more.
Visual perception serves as a crucial interface connecting human psychology with the built environment. However, current studies on urban riverscapes often rely on static 2D imagery, failing to capture the spatial depth and immersive experience essential for ecological validity. Furthermore, the “black box” nature of traditional machine learning models hinders the understanding of how specific environmental features drive public perception. To address these gaps, this study proposes an innovative framework integrating high-fidelity 3D models, computer vision (CV), and interpretable artificial intelligence (XAI). Using the River Thames (London) and the River Seine (Paris) as diverse case studies, we constructed high-precision 3D digital twins to quantify 3D spatial metrics (e.g., Viewshed Area, H/W Ratio) and applied the SegFormer model to extract 2D visual elements (e.g., Green View Index) from water-based panoramic imagery. Subjective perception data were collected via immersive Virtual Reality (VR) experiments. Random Forest models combined with SHAP were employed to decode the non-linear driving mechanisms of perception. The results reveal three universal principles: (1) Sense of Affluence and Vibrancy are primarily driven by high building density and vertical enclosure, challenging the traditional preference for openness in waterfronts; (2) Scenic Beauty is determined by a synergy of high Green View Index and quality artificial interfaces, suggesting a preference for nature-culture integration; (3) Sense of Boredom is significantly positively correlated with Viewshed Area, indicating that empty prospects without visual foci lead to monotony. This study demonstrates the efficacy of integrating Digital Twins and XAI in revealing robust perception mechanisms across different urban contexts, providing a scientific, evidence-based tool for precision urban planning and riverside regeneration. Full article
Show Figures

Figure 1

27 pages, 1470 KB  
Article
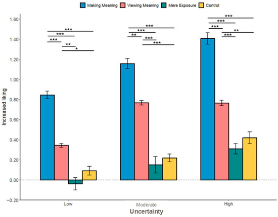
Uncertainty as a Gateway to Beauty: The Impact of Uncertainty Reduction on Art Appreciation
by Yan Duan, Yonghui Hou, Tingting Ouyang, Wanyi Chen, Chenjing Wu, Wei Zhang and Xianyou He
Behav. Sci. 2026, 16(2), 286; https://doi.org/10.3390/bs16020286 - 16 Feb 2026
Viewed by 425
Abstract
Art theory suggests that the pleasure of art appreciation stems from resolving uncertainty, yet empirical support for this idea remains limited. To address this gap, we conducted three studies (N = 1127), providing empirical evidence for the Aesthetic of Reception theory. Our [...] Read more.
Art theory suggests that the pleasure of art appreciation stems from resolving uncertainty, yet empirical support for this idea remains limited. To address this gap, we conducted three studies (N = 1127), providing empirical evidence for the Aesthetic of Reception theory. Our findings reveal that reducing uncertainty enhances art appreciation and alleviates boredom, with meaning-making being the most effective strategy (Study 1). Specifically, meaning-making alignment with the artist’s intent leads to more favorable judgments for artworks with low-to-moderate uncertainty. Conversely, highly uncertain paintings are more appreciated when viewers create self-relevant narratives (Study 2). Furthermore, the relationship between uncertainty reduction and aesthetic experience is mediated by the satisfaction of certainty needs (Study 3). These findings suggest that viewers should actively and creatively fill the uncertainty in artworks through meaning-making, fulfilling their need for certainty and transforming uncertainty to a rewarding aesthetic experience while reducing boredom. Overall, our research validates the Aesthetic of Reception theory and offers valuable insights for aesthetic education, encouraging deeper engagement with uncertain artworks. Full article
(This article belongs to the Section Cognition)
Show Figures

Figure 1

16 pages, 246 KB  
Article
Staying Down: Comportment and the Ecological Field
by Tiffany Lethabo King
Genealogy 2026, 10(1), 27; https://doi.org/10.3390/genealogy10010027 - 14 Feb 2026
Viewed by 383
Abstract
This article underscores sites of Black and Indigenous ecological failure to draw attention to the limits of figuring ideal subjects on the “ecological field” as stewards of, laborers on, and ultimately masters of, the earth. I consider depictions of errant ecological comportment to [...] Read more.
This article underscores sites of Black and Indigenous ecological failure to draw attention to the limits of figuring ideal subjects on the “ecological field” as stewards of, laborers on, and ultimately masters of, the earth. I consider depictions of errant ecological comportment to render other kinds of orientations—boredom, distraction, orgasmic submission, grief—plausible and necessary for developing and honing an ecological ethic. What is often rendered implausible or undesirable might also contain the potential to stave off the impulse to reproduce humanisms that require mastery over the earth. To better pursue failure or an inability to achieve appropriate attunement with the ecological, I focus on a Black fat femme falling from a tree and an Anishinaabeg youth lying on the ground and looking up at a tree. These errant bodies function as sites of friction that trouble old and new materialisms that continue to shape ecological thought and subjectivity. Full article
(This article belongs to the Special Issue Body–Land Relationships)
24 pages, 401 KB  
Article
A Multimodal Transformer-Based Framework for Emotion Analysis in Multilingual Video Content
by Sehmus Yakut, Yusuf Taha Tuten, Eren Caglar and Mehmet S. Aktas
Computers 2026, 15(2), 77; https://doi.org/10.3390/computers15020077 - 1 Feb 2026
Viewed by 643
Abstract
This research addresses the challenge of inferring complex psychological states, including stress, fatigue, anxiety, cognitive load, and boredom, from facial expressions. We propose an interpretable, literature-informed emotion-weighting methodology that transforms the eight-emotion probability outputs of facial emotion recognition models into continuous estimates of [...] Read more.
This research addresses the challenge of inferring complex psychological states, including stress, fatigue, anxiety, cognitive load, and boredom, from facial expressions. We propose an interpretable, literature-informed emotion-weighting methodology that transforms the eight-emotion probability outputs of facial emotion recognition models into continuous estimates of these five psychological states using weights derived from the Valence–Arousal framework, providing a principled bridge between discrete emotion predictions and higher-level affective constructs. The proposed formulation is evaluated across six representative deep learning architectures—a baseline CNN (ResNet-50), a modern CNN (ConvNeXt), a hybrid attention-based model (DDAMFN), and three Transformer-based models (ViT, BEiT, and Swin). Our results demonstrate that strong performance on discrete FER tasks does not directly translate to consistent behavior in complex state inference; instead, architectures capable of preserving subtle and distributed affective cues yield more stable and interpretable state estimates, with DDAMFN and Vision Transformer models exhibiting the most consistent performance across the evaluated psychological states. These findings highlight the central role of the proposed emotion-weighting formulation and the importance of architecture selection beyond categorical accuracy in complex affective state analysis. Full article
(This article belongs to the Special Issue Computational Science and Its Applications 2025 (ICCSA 2025))
Show Figures

Figure 1

23 pages, 3941 KB  
Article
How Environmental Perception and Place Governance Shape Equity in Urban Street Greening: An Empirical Study of Chicago
by Fan Li, Longhao Zhang, Fengliang Tang, Jiankun Liu, Yike Hu and Yuhang Kong
Forests 2026, 17(1), 119; https://doi.org/10.3390/f17010119 - 15 Jan 2026
Viewed by 351
Abstract
Urban street greening structure plays a crucial role in promoting environmental justice and enhancing residents’ daily well-being, yet existing studies have primarily focused on vegetation quantity while neglecting how perception and governance interact to shape fairness. This study develops an integrated analytical framework [...] Read more.
Urban street greening structure plays a crucial role in promoting environmental justice and enhancing residents’ daily well-being, yet existing studies have primarily focused on vegetation quantity while neglecting how perception and governance interact to shape fairness. This study develops an integrated analytical framework that combines deep learning, machine learning, and spatial analysis to examine the impact of perceptual experience and socio-economic indicators on the equity of greening structure distribution in urban streets, and to reveal the underlying mechanisms driving this equity. Using DeepLabV3+ semantic segmentation, perception indices derived from street-view imagery, and population-weighted Gini coefficients, the study quantifies both the structural and perceptual dimensions of greening equity. XGBoost regression, SHAP interpretation, and Partial Dependence Plot analysis were applied to reveal the influence mechanism of the “Matthew effect” of perception and the Site governance responsiveness on the fairness of the green structure. The results identify two key findings: (1) perception has a positive driving effect and a negative vicious cycle effect on the formation of fairness, where positive perceptions such as beauty and safety gradually enhance fairness, while negative perceptions such as depression and boredom rapidly intensify inequality; (2) Site management with environmental sensitivity and dynamic mutual feedback to a certain extent determines whether the fairness of urban green structure can persist under pressure, as diverse Tree–Bush–Grass configurations reflect coordinated management and lead to more balanced outcomes. Policy strategies should therefore emphasize perceptual monitoring, flexible maintenance systems, and transparent public participation to achieve resilient and equitable urban street greening structures. Full article
(This article belongs to the Section Urban Forestry)
Show Figures

Figure 1

22 pages, 808 KB  
Article
Understanding Athlete Emotions: A Psychometric Approach to the AEQ-S in Sports
by María-Jesús Lirola, Rubén Trigueros, José Manuel Aguilar Parra and Clemente Franco
Brain Sci. 2026, 16(1), 46; https://doi.org/10.3390/brainsci16010046 - 29 Dec 2025
Viewed by 604
Abstract
Introduction: This study focuses on the adaptation and validation of the Achievement Emotions Questionnaire-Short (AEQ-S) to the Spanish sports context. Emotions play a crucial role in athletes’ decision making, making it essential to have reliable assessment tools tailored to this field. Method: The [...] Read more.
Introduction: This study focuses on the adaptation and validation of the Achievement Emotions Questionnaire-Short (AEQ-S) to the Spanish sports context. Emotions play a crucial role in athletes’ decision making, making it essential to have reliable assessment tools tailored to this field. Method: The AEQ-S was administered to 998 professional athletes (mean age: 26.83 years). The adaptation followed the Hambleton method and involved the support of sports psychologists. Exploratory (EFA) and confirmatory factor analyses (CFAs) were conducted, along with tests for reliability and criterion validity. Results: The analyses confirmed that the factor structure of the AEQ-S in sports aligns with the original version, identifying eight key emotions: enjoyment, hope, pride, anxiety, anger, shame, hopelessness, and boredom. Furthermore, positive emotions were positively associated with resilience, while negative emotions showed an inverse relationship. Conclusions: The adapted AEQ-S proved to be a valid and reliable tool for assessing emotions in athletes. Its applications extend to both research and professional practice in the sports domain. Full article
(This article belongs to the Special Issue Advances in Cognitive and Psychometric Evaluation)
Show Figures

Figure 1

16 pages, 278 KB  
Article
Through a Heideggerian Lens: Fear, Comportment, and the Poetics of Nihilism in Naipaul’s Tell Me Who to Kill
by Suhail Ahmad
Philosophies 2026, 11(1), 2; https://doi.org/10.3390/philosophies11010002 - 24 Dec 2025
Viewed by 733
Abstract
This article re-interprets V. S. Naipaul’s “Tell Me Who to Kill” from In a Free State (1971) through a Heideggerian lens, focusing on the ‘groundlessness’ of existence and the dialectics of ‘danger’ that structure the unnamed narrator’s life within colonial ‘modernity’. Using Hiedegger’s [...] Read more.
This article re-interprets V. S. Naipaul’s “Tell Me Who to Kill” from In a Free State (1971) through a Heideggerian lens, focusing on the ‘groundlessness’ of existence and the dialectics of ‘danger’ that structure the unnamed narrator’s life within colonial ‘modernity’. Using Hiedegger’s phenomenology as a rhetorical hermeneutic, it traces how ordinary existential structures—fear, anxiety, boredom, curiosity, idle talk, and ambiguity—surface in the narrator’s and other characters’ comportments and speech. In Heidegger’s sense, these moods do not simply describe psychological states but reveal the conditions of Dasein’s being-in-the-world and the ontological disclosures of a being unhomed by empire. By situating Heidegger’s concepts of Dasein, thrownness, and fallenness within Naipaul’s world of migration, labour, and racial precarity, the paper reveals how metaphysical homelessness becomes historically tangible. The narrator’s obsessive drive for success, his failed fraternal duty, and his descent into estrangement dramatize a colonial subjectivity torn between aspiration and abjection. In reframing Heidegger through the postcolonial experience, the article both deprovincializes European existentialism and reclaims phenomenology as a site for interrogating the psychic economies of empire. Ultimately, the novella becomes a poetics of nihilism—where the search for authenticity collapses under the weight of displacement. Full article
26 pages, 2005 KB  
Article
The Theory of Boredom as a Sign of Existential Disconnection—Alves Ferreira’s Theory of Subjective Anomie
by João Miguel Alves Ferreira
Philosophies 2025, 10(6), 138; https://doi.org/10.3390/philosophies10060138 - 18 Dec 2025
Viewed by 1467
Abstract
This article proposes a conceptual reformulation of the phenomenon of boredom by carefully distinguishing ordinary situational or psychologically driven boredom from what is here termed existential boredom: a specific mode of disconnection in which the subject’s capacity to inhabit a meaningful horizon of [...] Read more.
This article proposes a conceptual reformulation of the phenomenon of boredom by carefully distinguishing ordinary situational or psychologically driven boredom from what is here termed existential boredom: a specific mode of disconnection in which the subject’s capacity to inhabit a meaningful horizon of possibilities becomes temporarily suspended. Rather than interpreting boredom as a mere lack of stimulation, momentary dissatisfaction, or simple emotional discomfort, the study argues that certain forms of boredom reveal a phenomenological contraction of possibility, involving disturbances in lived temporality, value orientation, imaginative projection, and embodied intentionality. Through a critical analysis of key thinkers, the article clarifies the tensions and limitations within classical accounts and delineates the proposed concept of existential boredom from adjacent phenomena such as Unheimlichkeit, Frankl’s “existential vacuum”, clinical apathy, and everyday boredom. It is argued that existential boredom functions as a phenomenological indicator of existential disconnection, not as an ontological diagnosis of meaninglessness but as a liminal experience that renders visible the temporary suspension of the structures that normally sustain meaningful world-disclosure. This conceptualisation also illuminates the contemporary prevalence of this affective state within contexts of hyper-stimulation, attentional fragmentation, and the erosion of meaning frameworks. By offering an integrated analytical framework, the article contributes to a more rigorous understanding of boredom as an existential phenomenon, with implications for philosophy, contemporary psychology, and the study of human experience in modern life. This approach not only expands our understanding of boredom but also invites us on a journey of self-discovery and personal growth. Full article
Show Figures

Figure 1

38 pages, 2967 KB  
Article
Exploring the Impact of Affective Pedagogical Agents: Enhancing Emotional Engagement in Higher Education
by Marta Arguedas, Thanasis Daradoumis, Santi Caballe, Jordi Conesa and Elvis Ortega-Ochoa
Computers 2025, 14(12), 542; https://doi.org/10.3390/computers14120542 - 10 Dec 2025
Cited by 2 | Viewed by 1016
Abstract
This study examines the influence of pedagogical agents on enhancing emotional engagement in higher education settings through the provision of cognitive and affective feedback. The research focuses on students in a collaborative “Database Systems and Design”, comparing the effects of feedback from a [...] Read more.
This study examines the influence of pedagogical agents on enhancing emotional engagement in higher education settings through the provision of cognitive and affective feedback. The research focuses on students in a collaborative “Database Systems and Design”, comparing the effects of feedback from a human teacher (control group) to those of an Affective Pedagogical Tutor (APT) (experimental group). Emotional engagement was measured through key positive emotions such as motivation, curiosity, optimism, confidence, and satisfaction, as well as the reduction in negative emotions like boredom, anger, insecurity, and anxiety. Results suggest that APT feedback was associated with higher levels of emotional engagement compared to teacher feedback. Cognitive feedback from the APT was perceived as supporting learning outcomes by offering detailed, task-specific guidance, while affective feedback further supported emotional regulation and positive emotional states. Students interacting with the APT reported feeling more motivated, curious, and optimistic, which contributed to sustained participation and greater confidence in their work. At the same time, boredom and anger were notably reduced in the experimental group. These findings illustrate the potential of affective pedagogical agents to complement educational experiences by fostering positive emotional states and mitigating barriers to engagement. By integrating affective and cognitive feedback, pedagogical agents can create more emotionally supportive and engaging learning environments, particularly in collaborative and complex academic tasks. Full article
Show Figures

Figure 1

7 pages, 645 KB  
Proceeding Paper
Detection of Students’ Emotions in an Online Learning Environment Using a CNN-LSTM Model
by Bilkisu Muhammad Bashir and Hadiza Ali Umar
Eng. Proc. 2025, 87(1), 116; https://doi.org/10.3390/engproc2025087116 - 2 Dec 2025
Viewed by 748
Abstract
Emotion recognition through facial expressions is crucial in fields like healthcare, entertainment, and education, offering insights into user experiences. In online learning, traditional methods fail to capture students’ emotions effectively. This research introduces a hybrid Convolutional Neural Network (CNN) and Long Short-Term Memory [...] Read more.
Emotion recognition through facial expressions is crucial in fields like healthcare, entertainment, and education, offering insights into user experiences. In online learning, traditional methods fail to capture students’ emotions effectively. This research introduces a hybrid Convolutional Neural Network (CNN) and Long Short-Term Memory (LSTM) model to recognize learning emotions (interest, boredom, and confusion) during online lectures. A custom dataset was constructed by mapping action units from FER2013, CK+48, and JAFFE datasets into three learning-related categories. Images were preprocessed (grayscale conversion, resizing, normalization) and divided into training and testing sets. The CNN layers extract spatial facial features, while the LSTM layers capture temporal dependencies across video frames. Evaluation metrics included accuracy, precision, recall, and F1-score. The model achieved 98.0% accuracy, 97% precision, 98% recall, and 98% F1-score, surpassing existing CNN-only methods. This advancement enhances online learning by enabling personalized support and has applications in education, psychology, and human–computer interaction, contributing to affective computing development. Full article
(This article belongs to the Proceedings of The 5th International Electronic Conference on Applied Sciences)
Show Figures

Figure 1

33 pages, 24575 KB  
Article
Street View Image-Based Emotional Perception Modeling of Old Residential Communities: An Explainable Framework Integrating Random Forest and SHAP
by Yanqing Xu and Xiaoxuan Fan
ISPRS Int. J. Geo-Inf. 2025, 14(12), 471; https://doi.org/10.3390/ijgi14120471 - 29 Nov 2025
Cited by 3 | Viewed by 790
Abstract
Understanding how the built environment shapes residents’ emotional perceptions in old residential communities (ORCs) is essential for enhancing livability and supporting people-oriented urban regeneration. This study proposes an explainable analytical framework that integrates community attributes, streetscape indicators, and subjective evaluations. Using random forest [...] Read more.
Understanding how the built environment shapes residents’ emotional perceptions in old residential communities (ORCs) is essential for enhancing livability and supporting people-oriented urban regeneration. This study proposes an explainable analytical framework that integrates community attributes, streetscape indicators, and subjective evaluations. Using random forest (RF) regression combined with Shapley Additive Explanations (SHAP), we conducted an empirical study on ten ORCs in Yangzhou, China. A total of 1240 street view images (SVIs) were processed to extract social attributes, including building age, building scale, and point-of-interest (POI) diversity, as well as visual indicators such as walkability, green view index (GVI), and colorfulness. Six emotional perception scores were obtained from the MIT Place Pulse 2.0 model and further calibrated through questionnaires. The results show that the proposed framework effectively captures the spatial determinants of residents’ perceptions, with the model predictions being highly consistent with survey evaluations. Specifically, GVI and street enclosure are positively associated with perceptions of beauty, safety, and vitality, while building aging and functional monotony intensify negative feelings such as oppression and boredom. Visual diversity (VD) enhances aesthetic and vitality perceptions, whereas facility visual entropy demonstrates a dual role—reinforcing safety but potentially inducing oppressive feelings. By integrating interpretable machine learning with geospatial analysis, this study provides both theoretical and practical insights for micro-scale community renewal, and the framework can be extended to multimodal analyses including soundscapes and behavioral pathways. Full article
(This article belongs to the Special Issue Spatial Information for Improved Living Spaces)
Show Figures

Figure 1

Back to TopTop