The Impact of Restrictive Macroprudential Policies through Borrower-Targeted Instruments on Income Inequality: Evidence from a Bayesian Approach
Abstract
1. Introduction
2. Theoretical Framework
2.1. Theoretical Channels of Macroprudential Policy and Income Inequality
2.2. Review of the Empirical Literature
3. Research Methods and Data Used for the Study
3.1. Bayesian Panel Vector Autoregressive (BPVAR) Model
3.2. The Two-Step System Dynamic Panel Data: BGMM: Bayesian Framework Setup
Dynamic Panel Data with GMME Estimators Setup
4. Analysis of Empirical Results
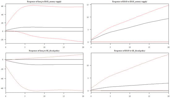
4.1. The Result of the BPVAR Model
Discussion of the BPVAR Results
4.2. Empirical Results of the Robustness and Sensitivity Analysis Using the BGMM
5. Conclusions and Policy Recommendations
Author Contributions
Funding
Institutional Review Board Statement
Informed Consent Statement
Data Availability Statement
Acknowledgments
Conflicts of Interest
Appendix A

| Variables | SWIID | incPT10 | incPT1 |
|---|---|---|---|
| Debt-to-Income ratio (DTI) | 2.78 ** (0.88) | 2.30 *** (0.32) | −1.13 ** (−0.48) |
| Loan-to-Value ratio (LTV) | 2.57 (5.00) | 1.98 (2.00) | −2.09 (3.94) |
| Financial instrument (FNCE) | 1.06 *** (0.06) | 1.96 *** (0.22) | −2.00 ** (1.00) |
| Government spending (GE) | −2.93 ** (1.07) | −1.99 ** (0.98) | −1.33 ** (0.31) |
| Broad money supply (MBS) | 1.90 ** (0.28) | 2.90 ** (1.02) | 2.93 *** (0.28) |
| Economic development (GDPp) | −2.83 ** (1.00) | −2.30 ** (1.15) | −1.90 ** (0.50) |
| Oil price (OIL price) | 1.80 ** (0.28) | 2.93 *** (0.32) | 2.33 (4.28) |
| Inflation (INFL) | 0.06 ** (0.009) | 0.23 (1.10) | 0.90 *** (0.10) |
| 0.643 | 0.544 | 0.799 |
| Variables | SWIID | incPT10 | incPT1 |
|---|---|---|---|
| Debt-to-Income ratio (DTI) | 0.87 ** (0.20) | 2.93 *** (0.32) | −2.04 ** (0.56) |
| Loan-to-Value ratio (LTV) | 1.80 (2.48) | 2.00 (1.98) | −1.94 (1.70) |
| Financial instrument (FNCE) | 2.60 ** (1.00) | 1.69 *** (0.22) | −1.78 ** (0.43) |
| Government spending (GE) | −1.03 ** (0.25) | −2.83 ** (0.85) | −2.87 *** (0.27) |
| Broad money supply (MBS) | 1.03 ** (0.32) | 1.93 ** (0.32) | 2.44 ** (0.56) |
| Economic development (GDPp) | −2.30 ** (0.75) | −1.83 ** (0.55) | −1.37 ** (0.27) |
| Oil price (OIL price) | 2.00 ** (0.91) | 0.43 (1.09) | 2.34 (3.56) |
| Inflation (INFL) | 0.43 *** (0.03) | 1.10 ** (0.32) | 2.06 ** (0.96) |
| 0.9345 | 0.8857 | 0.9154 |
| 1 | Argentina, Brazil, China, Chile, India, Indonesia, Malaysia, Mexico, Peru, Philippines, South Africa, Saudi Arabia, Singapore, Thailand, and Turkey. |
| 2 | The DTI ratio of lower-income borrowers (the bottom 40% of the income distribution) and high-income borrowers (the top 1% of the income distribution), as well as the LTV ratio of lower-income borrowers (the bottom 40% of the income distribution) and high-income borrowers (the top 1% of the income distribution). |
References
- Abdelwahed, Loujaina, and Cole Campbell. 2024. Unequal ground: Oil booms and income inequality in the USA. Economica 91: 880–910. [Google Scholar] [CrossRef]
- Acharya, Viral, Berhant Crosignani, Tim Eisert, and Fergal McCann. 2017. The Anatomy of the Transmission of Macroprudential Policies: Evidence from Ireland. Paper presented at the 16th International Conference on Credit Risk Evaluation, Interest Rates, Growth, and Regulation, Ireland, Venice, Italy, September 28–29. [Google Scholar]
- Adarov, Amat, and Robert Tchaidze. 2011. Development of financial markets in Central Europe: The case of the CE4 countries. International Monetary Fund 111: 11–101. [Google Scholar] [CrossRef]
- Akinci, Ozge, and Jane Olmstead-Rumsey. 2018. How effective are macroprudential policies? An empirical investigation. Journal of Financial Intermediation 33: 33–57. [Google Scholar] [CrossRef]
- Alam, Zohair, Adrian Alter, Jesse Eiseman, Gaston Gelos, Heedon Kang, Machiko Narita, and Erlend Nier. 2019. Digging Deeper—Evidence on the Effects of Macroprudential Policies from a New Database. IMF Working Papers WP/19/66. Available online: https://www.imf.org/en/Publications/WP/Issues/2019/03/22/Digging-Deeper-Evidence-on-the-Effects-of-Macroprudential-Policies-from-a-New-Database-46658 (accessed on 24 May 2021).
- Albert, Juan-Francisco, Nerea Gómez-Fernández, and Carlos Ochando. 2019. Effects of Unconventional Monetary Policy on Income and Wealth Distribution: Evidence from United States and Eurozone. Panoeconomicus 66: 535–58. [Google Scholar] [CrossRef]
- Alpanda, Sam, and Sarah Zubiary. 2017. Addressing household indebtedness: Monetary, fiscal or macroprudential policy? European Economic Review 92: 47–73. [Google Scholar] [CrossRef]
- Alter, Adrian, Alan Xiaochen Feng, and Nico Valckx. 2018. Understanding the Macro-Financial Effects of Household Debt: A Global Perspective. Database. Working Paper No. 2018/076. Available online: https://www.imf.org/en/Publications/WP/Issues/2018/04/06/Understanding-the-Macro-Financial-Effects-of-Household-Debt-A-Global-Perspective-45744 (accessed on 24 May 2021).
- Alvaredo, Facundo, Lucas Chancel, Thomas Piketty, Emmanuel Saez, and Gabriel Zucamanl. 2018. The elephant curve of global inequality and growth. AEA Papers and Proceedings 108: 103–8. [Google Scholar] [CrossRef]
- Andries, Alin Marius, and Florentina Melnic. 2019. Macroprudential Policies and Economic Growth. Review of Economic and Business Studies, Alexandru Ioan Cuza University 23: 95–112. [Google Scholar] [CrossRef]
- Arregui, Nicolas, Joromir Benes, Ivo Krznar, Srobona Mitra, and Andre Oliveira Santos. 2013. Evaluating the Net Benefits of Macroprudential Policy: A Cookbook. IMF Working Paper No. 13/167, Monetary and Capital Markets, Research. Washington, DC: IMF. Available online: https://www.imf.org/external/pubs/ft/wp/2013/wp13167.pdf (accessed on 20 May 2021).
- Atkinson, Tony. 2014. Public Economics in an Age of Austerity. New York: Routledge. [Google Scholar]
- Basel III. 2016. A Global Regulatory Framework for More Resilient Banks and Banking Systems (Revised Version, June 2011) CRR/CRDIV Framework in the EU). Available online: https://www.eba.europa.eu/regulation-and-policy/implementing-basel-iii-europe (accessed on 23 April 2022).
- Bernanke, Ben. 2015. Monetary Policy and Inequality. Ben Bernanke’s Blog at Brookings. Washington, DC: White House. [Google Scholar]
- Bivens, Josh. 2015. Gauging the Impact of the Fed on Inequality during the Great Recession. Hutchins Center on Fiscal & Monetary Policy at Brooking’s, Working Paper No. 12. Available online: https://files.epi.org/2015/quantitative-easing-and-inequality-josh-bivens.pdf (accessed on 2 February 2022).
- Borio, Claudio, Craig Furfine, and Philip Lowe. 2001. Procyclicality of Financial Systems and Financial Stability. BIS Papers. No.1. Basle: Bank for International Settlements. [Google Scholar]
- Canova, Fabio, and Matteo Ciccarelli. 2004. Forecasting and turning point predictions in a Bayesian panel VAR model. Journal of Econometrics 120: 327–59. [Google Scholar] [CrossRef]
- Carpantier, Jean-Francois, Javier Olivera, and Philippe Van Kerm. 2018. Macroprudential policy and household wealth inequality. Journal of International Money and Finance 85: 262–77. [Google Scholar] [CrossRef]
- Casiraghi, Marco, Eugenio Gaiotti, Lisa Rodano, and Alessandro Secchi. 2018. A ‘reverse Robin Hood’? The distributional implications of non-standard monetary policy for Italian households. Journal of International Money and Finance 85: 215–35. [Google Scholar] [CrossRef]
- Cerutti, Eugenio, Stijn Claessens, and Luc Laeven. 2017. The use and effectiveness of macroprudential policies: New evidence. Journal of Financial Stability 28: 203–24. [Google Scholar] [CrossRef]
- Ciccarelli, Matteo, and Alessandro Rebucci. 2003. Measuring Contagion with a Bayesian Time-Varying Coefficient Model (September 2003). IMF Working Paper No. 03/171. Available online: https://ssrn.com/abstract=880216 (accessed on 24 May 2021).
- Clerc, Laurent, Alexis Dervizb, Caterina Mendicinoc, Stephane Moyend, Kalin Nikolove, Livio Straccaf, Javier Suarezg, and Alexandros Vardoulakish. 2015. Capital regulation in a macroeconomic model with three layers of default. International Journal of Central Banking 11: 9–63. [Google Scholar] [CrossRef]
- Crespo, Cuaresma, and Octavio Fernandez-Amadorb. 2013. Business cycle convergence in EMU: A first look at the second moment. Journal of Macroeconomics 37: 265–84. [Google Scholar] [CrossRef]
- Davityan, Karen. 2018. The distributive effect of monetary policy: The top one percent makes the difference. Economic Modelling 65: 106–18. [Google Scholar] [CrossRef]
- Dieppe, Alistair, Romain Legrand, and Bjorm van Roye. 2016. The Bayesian Estimation, Analysis and Regression Toolbox (BEAR). Working Paper, No. 1934. Frankfurt: European Central Bank. [Google Scholar]
- Doepke, Matthias, Anne Hannusch, Fabian Kindermann, and Michèle Tertilt. 2023. Chapter 4—The economics of fertility: A new era. In Handbook of the Economics of the Family. Amsterdam: Elsevier, vol. 1, pp. 151–254. [Google Scholar] [CrossRef]
- Duca-Radu, Ioana, Geoff Kenny, and Andreas Reuter. 2020. Inflation expectations, consumption and the lower bound: Micro evidence from a large multi-country survey. Journal of Monetary Economics 118: 120–34. [Google Scholar] [CrossRef]
- Elekdag, Selim, and Yiqun Wu. 2011. Rapid Credit Growth: Boon or Boom-Bust? Working Paper, No. 11/241. Bretton Woods: International Monetary Fund. [Google Scholar]
- Frees, Edward. 1995. Assessing cross-sectional correlation in panel data. Journal of Econometrics 69: 393–414. [Google Scholar] [CrossRef]
- Friedman, Milton. 1937. The use of ranks to avoid the assumption of normality implicit in the analysis of variance. Journal of the American Statistical Association 32: 675–701. [Google Scholar] [CrossRef]
- Frost, Jon, and Rene van Stralen. 2017. Macroprudential policy and income inequality. Journal of International Money and Finance 85: 278–90. [Google Scholar] [CrossRef]
- Galbraith, James. 2012. Inequality and Instability: A Study of the World Economy Just before the Great Crisis. Oxford: Oxford University Press. [Google Scholar]
- Georgescu, Oana-Maria, and Diego Vila Martin. 2022. Do Macroprudential Measures Increase Inequality? Evidence from the Euro Area Household Survey. Working Paper Series, No. 2567; Frankfurt: European Central Bank. [Google Scholar]
- Guerello, Chiara. 2018. Conventional and unconventional monetary policy vs. household’s income distribution: An empirical analysis for the Euro Area. Journal of International Money and Finance 85: 187–214. [Google Scholar] [CrossRef]
- Harris, Richard, and Elias Tzavalis. 1999. Inference for unit roots in dynamic panels where the time dimension is fixed. Journal of Econometrics 91: 201–26. [Google Scholar] [CrossRef]
- Im, Kyung So, Hashem Pesaran, and Yongcheol Shin. 2003. Testing for unit roots in heterogeneous panels. Journal of Econometrics 115: 53–74. [Google Scholar] [CrossRef]
- International monetary Fund (IMF). 2014. Staff Guidance Note on Macroprudential Policy. IMF Washington, D.C Policy Paper. Available online: https://www.imf.org/external/np/pp/eng/2014/110614a.pdf2 (accessed on 21 January 2023).
- Inui, Masayuki, Nao Sudou, and Tomoaki Yamada. 2017. Effects of Monetary Policy Shocks on Inequality in Japan. Bank of Japan Working Paper, No. 17-e-3. Available online: https://ssrn.com/abstract=2982887 (accessed on 3 January 2022).
- Jacome, Luis, and Srobona Mitra. 2015. LTV and DTI Limits—Going Granular. Working Papers No 2015/154. Washington, DC: International Monetary Fund. Available online: https://econpapers.repec.org/paper/imfimfwpa/2015_2f154.htm (accessed on 23 April 2022).
- Kostantinou, Panagiotis, Athens Rizos, and Anastasio Stratopoulou. 2021. Macroprudential policies and income inequality in former transition economies. Economic Change and Restructuring 55: 1005–62. [Google Scholar] [CrossRef]
- Kuttner, Kenneth, and Ilhyock Shim. 2016. Can non-interest rate policies stabilize housing markets? Evidence from a panel of 57 economies. Journal of Financial Stability 26: 31–44. [Google Scholar] [CrossRef]
- Lenza, Michele, and Jiri Slacalek. 2018. How Does Monetary Policy Affect Income and Wealth Inequality? Evidence from Quantitative Easing in the Euro Area. ECB Working Paper Series, No. 2190/October 2018. Frankfurt: European Central Bank. Available online: https://www.ecb.europa.eu/pub/pdf/scpwps/ecb.wp2190.en.pdf (accessed on 30 January 2022).
- Love, Inessa, and Lea Zicchino. 2006. Financial development and dynamic investment behavior: Evidence from panel vector autoregression. Quarterly Review of Economics and Finance 46: 190–210. [Google Scholar] [CrossRef]
- Martynova, Natalya. 2015. Effect of Bank Capital Requirements on Economic Growth: A Survey. De Nederlandsche Bank Working Paper, No. 467. Available online: https://www.dnb.nl/media/ek0jwgfh/working-paper-467.pdf (accessed on 3 January 2022).
- Mendicino, Caterina, Kalin Nikolov, Javier Suarez, and Dominik Supera. 2018. Optimal Dynamic Capital Requirement. Journal of Money Credit and Banking 50: 1271–97. [Google Scholar] [CrossRef]
- Mumtaz, Haroon, and Angeliki Theophilopoulou. 2017. The impact of monetary policy on inequality in the UK. An empirical analysis. European Economic Review 98: 410–23. [Google Scholar] [CrossRef]
- Pesaran, Hashem. 2004. General Diagnostic Tests for Cross Section Dependence in Panels. IZA Discussion Paper No. 1240. Available online: https://www.docs.iza.org/dp1240.pdf (accessed on 23 April 2022).
- Piketty, Thomas. 2014. Capital in the 21st Century. Cambridge: Harvard University Press. [Google Scholar]
- Punzi, Maria Teresa, and Katrin Rabitsch. 2018. Effectiveness of macroprudential policies under borrower heterogeneity. Journal of International Money and Finance 85: 251–61. [Google Scholar] [CrossRef]
- Rajan, Raghuram. 2010a. Fault Lines: How hidden Fractures Still Threaten the World Economy. Princeton: Prinworld University Press. [Google Scholar]
- Rajan, Raghuram. 2010b. Fault Lines. Princeton: Princeton University Press. [Google Scholar]
- Reinhart, Carmen, and Kenneth Rogoff. 2009. Growth in a time of debt. American Economic Review 100: 573–78. [Google Scholar] [CrossRef]
- Rubio, Margarita, and Filiz Unsal. 2017. Macroprudential Policy, Incomplete Information and Inequality: The Case of Low-Income and Developing Countries. IMF Working Paper, No. WPIEA2017059/36. Available online: https://www.imf.org/en/Publications/WP/Issues/2017/03/21/Macroprudential-Policy-Incomplete-Information-and-Inequality-The-case-of-Low-Income-and-44752 (accessed on 21 January 2023).
- Rubio, Margarita, and Jose Carrasco-Gallego. 2014. Macroprudential and monetary policies: Implications for financial stability and welfare. Journal of Banking & Finance 49: 326–36. [Google Scholar]
- Rupprecht, Manuel. 2020. Income and wealth of euro area households in times of ultra-loose monetary policy: Stylised facts from new national and financial accounts data. Austrian Economic Association 47: 281–302. [Google Scholar] [CrossRef]
- Saiki, Ayako, and Jon Frost. 2014. Does unconventional monetary policy affect inequality? Evidence from Japan. Applied Economics 46: 4445–54. [Google Scholar] [CrossRef]
- Sarfati, Hedva. 2016. OECD. In it together: Why less inequality benefits all. Paris, 2015. International Social Security Review 68: 115–17. [Google Scholar] [CrossRef]
- Sidek, Noor Zahirah Mohad. 2021. Do government expenditure reduce income inequality: Evidence from developing and developed countries. Studies in Economics and Finance 38: 447–503. [Google Scholar] [CrossRef]
- Sims, Christopher. 1980. Macroeconomics and reality. Econometrica 48: 1–48. [Google Scholar] [CrossRef]
- Solt, Frederick. 2020. The Standardized World Income-inequality Database. Social Science Quarterly 90: 231–42. [Google Scholar] [CrossRef]
- Solt, Frederick. 2021. Measuring Income Inequality Across Countries and Over Time: The Standardized World Income Inequality Database. Social Science Quarterly 101: 1183–99, SWIID Version 9.2, December 2021. Available online: https://fsolt.org/swiid/ (accessed on 24 May 2021). [CrossRef]
- Stiglitz, Joseph. 2015. Inequality and Economic Growth. The Political Quarterly 86: 134–55. [Google Scholar] [CrossRef]
- Taghizadeh-Hesary, Farhad, Naoyuki Yoshino, and Sayoko Shimizu. 2018. The Impact of Monetary and Tax Policy on Income Inequality in Japan. ADBI Working Paper 837. Tokyo: Asian Development Bank Institute. Available online: https://www.researchgate.net/publication/325967488_The_Impact_of_Monetary_and_Tax_Policy_on_Income_Inequality_in_Japan (accessed on 23 April 2022)ADBI Working Paper 837.
- Tenreyro, Silvana, and Gregory Thwaites. 2016. Pushing on a tring: US Monetary Policy Is Less Powerful in Recessions. American Economic Journal: Macroeconomics 8: 43–74. [Google Scholar]
- Tzur-Ilan, Nitzan. 2016. The Effect of Credit Constraints on Housing Choices: The Case of LTV Limit. Bank of Israel Working Papers 2016.03. Jerusalem: Bank of Israel. [Google Scholar]
- Van Treeck, Till. 2014. Did inequality cause the US financial crisis. Journal of Economic Surveys 28: 421–48. [Google Scholar] [CrossRef]
- World Development Indicators (WDI). 2023. World Bank Washington, D.C. Available online: http://data.worldbank.org/data-catalog/world-development-indicators (accessed on 24 February 2023).
- Zellner, Arnols, and Chansik Hong. 1989. Forecasting international growth rates using Bayesian shrinkage and other procedures. Journal of Econometrics 40: 183–202. [Google Scholar] [CrossRef]
- Zellner, Arnold, Chansik Hong, and Chung-ki Min. 1991. Forecasting turning points in international output growth rates using Bayesian exponentially weighted autoregression, time-varying parameter, and pooling techniques. Journal of Econometrics 49: 275–304. [Google Scholar] [CrossRef]
- Zinman, Jonathan. 2010. Restricting consumer credit access: Household survey evidence on effects around the Oregon rate cap. Journal of Banking and Finance 34: 546–56. [Google Scholar] [CrossRef]
- Zungu, Lindokuhle Talent, and Lorraine Greyling. 2023. Investigating the asymmetric effect of income inequality on financial fragility in South Africa and selected emerging markets: A Bayesian approach with hierarchical priors. International Journal of Emerging Markets. [Google Scholar] [CrossRef]
- Zungu, Lindokuhle Talent, Lorraine Greyling, and Nkanyiso Mbatha. 2023. Nonlinear Dynamics of the Development-Inequality Nexus in Emerging Countries: The Case of a Prudential Policy Regime. Economies 10: 120. [Google Scholar] [CrossRef]







| Descriptive Statistics | Im–Pesaran–Shin | Harris–Tzavalis | ||||||||||||
|---|---|---|---|---|---|---|---|---|---|---|---|---|---|---|
| Variables | Mea | Std.d | Min | Max | SKW | KUR | JB-ST | JB-P | Level | 1st Δ | Inte | Level | 1st Δ | Inte |
| SWIID | 48.29 | 6.33 | 8.100 | 63.50 | −0.30 | 3.04 | 11.60 | 0.00 | 1.77 | −5.99 *** | I(1) | 2.37 | −15.83 *** | I(1) |
| incPalma-r | 40.40 | 5.09 | 4.00 | 56.90 | −0.98 | 2.00 | 9.40 | 0.00 | 2.44 | −7.40 *** | I(1) | 0.60 | −17.99 *** | I(1) |
| incPT10 | 50.54 | 0.06 | 30.58 | 65.44 | −0.03 | 2.19 | 8.23 | 0.01 | 1.48 | −4.96 *** | I(1) | 0.68 | −4.41 *** | I(1) |
| incPT1 | 45.39 | 0.04 | 8.10 | 63.50 | −0.33 | 2.16 | 35.51 | 0.00 | 2.46 | −6.88 *** | I(1) | 3.89 | −15.45 *** | I(1) |
| DTI | 23.56 | 0.02 | 0 | 1 | −0.22 | 2.73 | 20.33 | 0.00 | No | No | No | No | No | No |
| LTV | 35.25 | 0.49 | 0 | 1 | −0.30 | 2.00 | 16.42 | 0.00 | No | No | No | No | No | No |
| FNCE | 27.94 | 0.40 | 0 | 1 | 0.10 | 2.43 | 13.54 | 0.00 | No | No | No | No | No | No |
| OIL price | 4.62 | 0.27 | 4.08 | 6.57 | −0.12 | 1.98 | 80.85 | 0.00 | −0.44 | −3.79 ** | I(1) | 0.72 | −8.80 *** | I(1) |
| GE | 8.24 | 8.34 | 14.48 | 3.62 | −0.23 | 3.09 | 76.09 | 0.00 | −1.20 | −8.99 *** | I(1) | 0.11 | −17.54 *** | I(1) |
| MBS | 10.92 | 112.60 | 75.66 | 61.90 | −0.11 | 3.87 | 70.8 | 0.08 | 0.33 | −6.11 | I(1) | 2.41 | −14.59 *** | I(1) |
| GDPp | 10.92 | 112.60 | 75.66 | 61.90 | −0.11 | 3.87 | 70.8 | 0.08 | 0.33 | −6.11 | I(1) | 2.41 | −14.59 *** | I(1) |
| INFL | 6.92 | 112.60 | 75.66 | 61.90 | −0.11 | 3.87 | 70.8 | 0.08 | 0.33 | −6.11 | I(1) | 2.41 | −14.59 *** | I(1) |
| Pedroni Tests for Cointegration | Tests for Cross-Sectional Independence | ||||
|---|---|---|---|---|---|
| Augmented Dickey–Fuller t | 6.34 | Pr = 0.01 | Friedman’s test | 111.00 | Pr = 0.00 |
| Modified Phillips–Perron t | 4.64 | Pr = 0.08 | Frees’ test | 0.82 | Pr = 0.00 |
| Phillips Perron t | 6.00 | Pr = 0.000 | Pesaran’s test | 12.65 | Pr = 0.00 |
| Variables | SWIID | incPalma-Ratio | incPT10 | incPT1 |
|---|---|---|---|---|
| Debt-to-Income ratio (DTI) | 2.98 ** (1.00) | 3.87 ** (1.10) | 1.39 *** (0.10) | −3.22 ** (0.89) |
| Loan-to-Value ratio (LTV) | 3.43 (2.20) | 1.92 *** (0.31) | 1.90 (2.20) | −1.98 (1.80) |
| Financial instrument (FNCE) | 2.01 ** (0.90) | −1.90 ** (0.50) | 2.70 *** (0.29) | −2.90 ** (0.50) |
| Government spending (GE) | −4.00 ** (2.00) | −2.10 ** (0.69) | −1.90 ** (0.90) | 1.30 ** (0.22) |
| Broad money supply (MBS) | 2.11 *** (0.10) | 3.77 ** (1.00) | 1.00 *** (0.10) | 2.50 ** (0.70) |
| Economic development (GDPp) | −3.00 ** (1.20) | −2.04 ** (0.70) | −2.44 ** (0.80) | −3.32 ** (1.30) |
| Oil price (OIL price) | 2.20 *** (0.24) | 3.09 ** (0.90) | 2.10 ** (0.44) | 1.90 *** (0.20) |
| Inflation (INFL) | 2.98 ** (1.00) | 0.49 ** (0.14) | 2.87 ** (0.89) | 2.32 ** (1.00) |
| AR (1): p-value | 0.007 | 0.004 | 0.005 | 0.008 |
| AR (2): p-value | 0.320 | 0.230 | 0.580 | 0.450 |
Disclaimer/Publisher’s Note: The statements, opinions and data contained in all publications are solely those of the individual author(s) and contributor(s) and not of MDPI and/or the editor(s). MDPI and/or the editor(s) disclaim responsibility for any injury to people or property resulting from any ideas, methods, instructions or products referred to in the content. |
© 2024 by the authors. Licensee MDPI, Basel, Switzerland. This article is an open access article distributed under the terms and conditions of the Creative Commons Attribution (CC BY) license (https://creativecommons.org/licenses/by/4.0/).
Share and Cite
Zungu, L.T.; Greyling, L. The Impact of Restrictive Macroprudential Policies through Borrower-Targeted Instruments on Income Inequality: Evidence from a Bayesian Approach. Economies 2024, 12, 256. https://doi.org/10.3390/economies12090256
Zungu LT, Greyling L. The Impact of Restrictive Macroprudential Policies through Borrower-Targeted Instruments on Income Inequality: Evidence from a Bayesian Approach. Economies. 2024; 12(9):256. https://doi.org/10.3390/economies12090256
Chicago/Turabian StyleZungu, Lindokuhle Talent, and Lorraine Greyling. 2024. "The Impact of Restrictive Macroprudential Policies through Borrower-Targeted Instruments on Income Inequality: Evidence from a Bayesian Approach" Economies 12, no. 9: 256. https://doi.org/10.3390/economies12090256
APA StyleZungu, L. T., & Greyling, L. (2024). The Impact of Restrictive Macroprudential Policies through Borrower-Targeted Instruments on Income Inequality: Evidence from a Bayesian Approach. Economies, 12(9), 256. https://doi.org/10.3390/economies12090256

