Open-Source Photovoltaic—Electrical Vehicle Carport Designs
Abstract
1. Introduction
2. Materials and Methods
2.1. Material Properties
2.2. Economic Analysis
2.3. Design Analysis Assumptions
- All loads act perpendicular to the face of the modules so joists experience the worst-case flexural load;
- All members are idealized as pins connected with no fixed-end moments, as joist hangers and brackets allow for rotation [57];
- The wind load and snow load are only applied to the surface of the modules because the accumulation of snow on structural members is practically negligible;
- The wind load and snow load are assumed to be distributed evenly throughout the surface of the modules because snow and wind accumulation is only considered for large structures, as per NBCC 4.1.6 [51]; and
- The modules can be idealized as a one-way slab, as the length-to-span ratio is greater than 2 [58].
2.4. Electrical Analysis
2.4.1. EV Charging Station Load Assumptions
2.4.2. Solar PV Model Assumptions and Simulation
3. Results
3.1. Single Spanning System
3.1.1. Single Spanning System Bill of Materials
3.1.2. Single Spanning System Assembly Instructions
3.2. Double Spanning System
3.2.1. Double Spanning System Bill of Materials
3.2.2. Double Span System Assembly Instructions
3.3. Cantilevered System
3.3.1. Cantilevered System Bill of Materials
3.3.2. Cantilevered System Assembly Instructions
3.4. Economic Analysis
3.4.1. System Cost Comparison
3.4.2. System Size Cost Sensitivity
3.4.3. Material Cost Sensitivity Analysis
3.4.4. Location Cost Sensitivity Analysis
3.4.5. Additional Maintenance Costs
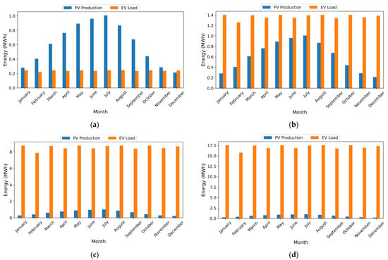
3.5. Energy Analysis Results
4. Discussion
4.1. Benefits
4.2. Limitations and Future Work
5. Conclusions
Author Contributions
Funding
Data Availability Statement
Conflicts of Interest
Appendix A. Structural Analysis
Appendix A.1. Single-Span System Analysis


| Maximum Component | Equation | Value |
|---|---|---|
| Reaction | 6.81 kN | |
| Shear | 3.97 kN | |
| Moment | 1.77 kNm | |
| Deflection | 3.05 mm |


| Maximum Component | Value |
|---|---|
| Reaction | 21.70 kN |
| Shear | 7.61 kN |
| Moment | 5.00 kNm |
| Deflection | 1.44 mm |


Appendix A.2. Double-Span System Structural Analysis


| Maximum Component | Value |
|---|---|
| Reaction | 45.50 kN |
| Shear | 21.00 kN |
| Moment | 23.90 kNm |
| Deflection | 27.07 mm |

Appendix A.3. Cantilever System Analysis


| Maximum Component | Value |
|---|---|
| Reaction | 7.11 kN |
| Shear | 3.64 kN |
| Moment | 1.85 kNm |
| Deflection | 1.90 mm |


| Maximum Component | Equation | Value |
|---|---|---|
| Post Reaction | 57.70 kN | |
| Cable Tension | 28.80 kN | |
| Shear | 32.50 kN | |
| Moment | 32.40 kNm | |
| Deflection | 1 | 60.30 mm |

| Soil Type and Condition | Value (kPa) |
|---|---|
| Dense Sand or Gravel | 150 |
| Loose Sand or Gravel | 50 |
| Dense Silt | 100 |
| Stiff Clay | 150 |
| Firm Clay | 75 |
| Soft Clay | 40 |
| Till | 200 |
| Clay Shale | 300 |
| Sound Rock | 500 |
References
- Pearce, J. Photovoltaics—A Path to Sustainable Futures. Futures 2002, 34, 663–674. [Google Scholar] [CrossRef]
- Fu, R.; Feldman, D.; Margolis, R. U.S. Solar Photovoltaic System Cost Benchmark: Q1 2018. Renew. Energy 2018, 63. Available online: https://www.osti.gov/dataexplorer/biblio/dataset/1503848 (accessed on 11 September 2022).
- Dudley, D. Renewable Energy Will Be Consistently Cheaper Than Fossil Fuels by 2020, Report Claims. Available online: https://www.forbes.com/sites/dominicdudley/2018/01/13/renewable-energy-cost-effective-fossil-fuels-2020/ (accessed on 29 August 2022).
- Vaughan, A. Time to Shine: Solar Power Is Fastest-Growing Source of New Energy. Guardian 2017. Available online: https://www.theguardian.com/environment/2017/oct/04/solar-power-renewables-international-energy-agency (accessed on 2 November 2022).
- Short-Term Energy Outlook. U.S. Energy Information Administration (EIA). Available online: https://www.eia.gov/outlooks/steo/report/electricity.php (accessed on 29 August 2022).
- Global EV Outlook 2019—Analysis. IEA. Available online: https://www.iea.org/reports/global-ev-outlook-2019 (accessed on 29 August 2022).
- Electric Revolution: As EV Demand Increases, Can Utilities and Cities Keep Up? Available online: https://www.utilitydive.com/news/electric-revolution-as-ev-demand-increases-can-utilities-and-cities-keep/564585/ (accessed on 29 August 2022).
- 2019 Was the Year Electric Cars Grew up—Quartz. Available online: https://qz.com/1762465/2019-was-the-year-electric-cars-grew-up/ (accessed on 29 August 2022).
- EVO Report 2022 | BloombergNEF|Bloomberg Finance LP. BloombergNEF. Available online: https://about.bnef.com/electric-vehicle-outlook/ (accessed on 29 August 2022).
- Vaughan, A. Renewable Energy Will Be World’s Main Power Source by 2040, Says BP. Guardian 2019. Available online: https://m.geidco.org.cn/pcarticle/1086 (accessed on 11 September 2022).
- Ong, S.; Campbell, C.; Denholm, P.; Margolis, R.; Heath, G. Land-Use Requirements for Solar Power Plants in the United States; NREL/TP-6A20-56290; National Renewable Energy Lab.: Golden, CO, USA, 2013; p. 1086349.
- Wiginton, L.K.; Nguyen, H.T.; Pearce, J.M. Quantifying Rooftop Solar Photovoltaic Potential for Regional Renewable Energy Policy. Comput. Environ. Urban Syst. 2010, 34, 345–357. [Google Scholar] [CrossRef]
- Nguyen, H.T.; Pearce, J.M. Automated Quantification of Solar Photovoltaic Potential in Cities. Int. Rev. Spat. Plan. Sustain. Dev. 2013, 1, 49–60. [Google Scholar] [CrossRef]
- Nguyen, H.T.; Pearce, J.; Harrap, R.; Barber, G. The Application of LiDAR to Assessment of Rooftop Solar Photovoltaic Deployment Potential in a Municipal District Unit. Sensors 2012, 12, 4534–4558. [Google Scholar] [CrossRef]
- Heinstein, P.; Ballif, C.; Perret-Aebi, L.-E. Building Integrated Photovoltaics (BIPV): Review, Potentials, Barriers and Myths. Green 2013, 3, 125–156. [Google Scholar] [CrossRef]
- Biyik, E.; Araz, M.; Hepbasli, A.; Shahrestani, M.; Yao, R.; Shao, L.; Essah, E.; Oliveira, A.C.; del Caño, T.; Rico, E.; et al. A Key Review of Building Integrated Photovoltaic (BIPV) Systems. Eng. Sci. Technol. Int. J. 2017, 20, 833–858. [Google Scholar] [CrossRef]
- Duke, R.; Williams, R.; Payne, A. Accelerating Residential PV Expansion: Demand Analysis for Competitive Electricity Markets. Energy Policy 2005, 33, 1912–1929. [Google Scholar] [CrossRef]
- Denholm, P.; Margolis, R. Land-Use Requirements and the per-Capita Solar Footprint for Photovoltaic Generation in the United States. Energy Policy 2008, 36, 3531–3543. [Google Scholar] [CrossRef]
- Krishnan, R.; Haselhuhn, A.; Pearce, J.M. Technical Solar Photovoltaic Potential of Scaled Parking Lot Canopies: A Case Study of Walmart U.S.A. J. Innov. Sustain. RISUS 2017, 8, 104–125. [Google Scholar] [CrossRef]
- Alghamdi, A.; Bahaj, A.; Wu, P. Assessment of Large Scale Photovoltaic Power Generation from Carport Canopies. Energies 2017, 10, 686. [Google Scholar] [CrossRef]
- Iringová, A.; Kovačic, M. Design and Optimization of Photovoltaic Systems in a Parking Garage—A Case Study. Transp. Res. Procedia 2021, 55, 1171–1179. [Google Scholar] [CrossRef]
- Marques Lameirinhas, R.A.; Torres, J.P.N.; de Melo Cunha, J.P. A Photovoltaic Technology Review: History, Fundamentals and Applications. Energies 2022, 15, 1823. [Google Scholar] [CrossRef]
- Design and Optimization of Solar Carport Canopies for Maximum Power Generation and Efficiency at Bahawalpur. Available online: https://search.emarefa.net/en/detail/BIM-1167304-design-and-optimization-of-solar-carport-canopies-for-maximu (accessed on 29 August 2022).
- Performance and Analysis of Retail Store-Centered Microgrids with Solar Photovoltaic Parking Lot, Cogeneration, and Battery-based Hybrid Systems. Available online: https://www.researchgate.net/publication/351369632_Performance_and_analysis_of_retail_store-centered_microgrids_with_solar_photovoltaic_parking_lot_cogeneration_and_battery-based_hybrid_systems (accessed on 29 August 2022).
- Deshmukh, S.; Pearce, J. Electric Vehicle Charging Potential from Retail Parking Lot Solar Photovoltaic Awnings. Renew. Energy 2021, 169, 608–617. [Google Scholar] [CrossRef]
- Bhatti, A.R.; Salam, Z.; Aziz, M.J.B.A.; Yee, K.P. A Comprehensive Overview of Electric Vehicle Charging Using Renewable Energy. Int. J. Power Electron. Drive Syst. 2016, 7, 114. [Google Scholar] [CrossRef]
- Erickson, L.E.; Robinson, J.; Brase, G.; Cutsor, J. (Eds.) Solar Powered Charging Infrastructure for Electric Vehicles: A Sustainable Development; CRC Press, Taylor & Francis Group: Boca Raton, FL, USA, 2017; ISBN 978-1-4987-3156-0. [Google Scholar]
- Nunes, P.; Figueiredo, R.; Brito, M.C. The Use of Parking Lots to Solar-Charge Electric Vehicles. Renew. Sustain. Energy Rev. 2016, 66, 679–693. [Google Scholar] [CrossRef]
- Chandra Mouli, G.R.; Bauer, P.; Zeman, M. System Design for a Solar Powered Electric Vehicle Charging Station for Workplaces. Appl. Energy 2016, 168, 434–443. [Google Scholar] [CrossRef]
- Analysis of Energy Capture by Vehicle Solar Roofs in Conjunction|PDF|Photovoltaics|Solar Power. Available online: https://www.scribd.com/document/445304827/Analysis-of-energy-capture-by-vehicle-solar-roofs-in-conjunction (accessed on 29 August 2022).
- Kempton, W.; Tomić, J. Vehicle-to-Grid Power Fundamentals: Calculating Capacity and Net Revenue. J. Power Sources 2005, 144, 268–279. [Google Scholar] [CrossRef]
- Kempton, W.; Tomić, J. Vehicle-to-Grid Power Implementation: From Stabilizing the Grid to Supporting Large-Scale Renewable Energy. J. Power Sources 2005, 144, 280–294. [Google Scholar] [CrossRef]
- Sortomme, E.; El-Sharkawi, M. Optimal Charging Strategies for Unidirectional Vehicle-to-Grid. IEEE Trans. Smart Grid 2011, 2, 131–138. [Google Scholar] [CrossRef]
- Chunhua, L.; Chau, K.T.; Wu, D.; Gao, S. Opportunities and Challenges of Vehicle-to-Home, Vehicle-to-Vehicle, and Vehicle-to-Grid Technologies. Proc. IEEE 2013, 101, 2409–2427. [Google Scholar] [CrossRef]
- Optimal Integration of a Hybrid Solar-Battery Power Source into Smart Home Nanogrid with Plug-in Electric Vehicle|Request PDF. Available online: https://www.researchgate.net/publication/318831345_Optimal_integration_of_a_hybrid_solar-battery_power_source_into_smart_home_nanogrid_with_plug-in_electric_vehicle (accessed on 29 August 2022).
- Fathabadi, H. Novel Solar Powered Electric Vehicle Charging Station with the Capability of Vehicle-to-Grid. Sol. Energy 2017, 142, 136–143. [Google Scholar] [CrossRef]
- Tian, W.; Krishnamurthy, M.; Jiang, Y.; Shahidehpour, M. Vehicle Charging Stations with Solar Canopy: A Realistic Case Study within a Smart Grid Environment. Available online: https://sciexplore.ir/Documents/Details/648-833-223-614 (accessed on 29 August 2022).
- Lee, S.; Iyengar, S.; Irwin, D.; Shenoy, P. Shared Solar-Powered EV Charging Stations: Feasibility and Benefits. In Proceedings of the 2016 Seventh International Green and Sustainable Computing Conference (IGSC), Hangzhou, China, 7–9 November 2016; IEEE: Piscataway, NJ, USA, 2016; pp. 1–8. [Google Scholar]
- Kootenay Steel & Wood Carport. Available online: https://grizzlyshelter.ca/products/kootenay-steel-metal-and-wood-carport (accessed on 17 August 2022).
- Kootenay 2 Post Steel and Wood Carport. Available online: https://grizzlyshelter.ca/products/kootenay-2-post-cantilever-carport (accessed on 17 August 2022).
- Sunjoy AutoCove 20 Ft. × 11 Ft. Hanover Cedar Wood Carport. Wayfair Canada. Available online: https://www.wayfair.ca/Sunjoy--AutoCove-20-ft.-x-11-ft.-Hanover-Cedar-Wood-Carport-A110000900-L623-K~LKJP3376.html?refid=GX185556028987-LKJP3376&device=c&ptid=1339009412562&targetid=aud-835011428576:pla-1339009412562&network=g&ireid=212428809&gclid=CjwKCAjwo_KXBhAaEiwA2RZ8hHXImEHNrqAC9BYXj0CYJNtn2YxljAk4m4FTPTuhSZOHPi7UZhoTlxoCaF8QAvD_BwE (accessed on 17 August 2022).
- Domestic Solar Carport by Polysolar. Available online: https://www.specifiedby.com/polysolar/domestic-solar-carport (accessed on 17 August 2022).
- Miller, C. General Motors Will Launch Electric Heavy-Duty Trucks by 2035. Available online: https://www.caranddriver.com/news/a38696855/general-motors-electric-heavy-duty-trucks/ (accessed on 29 August 2022).
- Solar Carport. Polar Racking. Available online: https://www.polarracking.com/solar-carport-mounting-system/ (accessed on 11 September 2022).
- 6512.17C$ 40% OFF|2 Parking Space 5kw Carport Solar System For Home—Instrument Parts & Accessories. AliExpress. Available online: http://www.aliexpress.com/item/1005004384076086.html?src=ibdm_d03p0558e02r02&sk=&aff_platform=&aff_trace_key=&af=&cv=&cn=&dp= (accessed on 18 August 2022).
- Polivchuk, J. Exploring the Feasibility and Costs and Benefits of Solar Carports for the Calgary Parking Authority. 2018. Available online: https://dspace.library.uvic.ca/handle/1828/10402 (accessed on 11 September 2022).
- Vandewetering, N.; Hayibo, K.S.; Pearce, J.M. Impacts of Location on Designs and Economics of DIY Low-Cost Fixed-Tilt Open Source Wood Solar Photovoltaic Racking. Designs 2022, 6, 41. [Google Scholar] [CrossRef]
- Vandewetering, N.; Hayibo, K.S.; Pearce, J.M. Open-Source Design and Economics of Manual Variable-Tilt Angle DIY Wood-Based Solar Photovoltaic Racking System. Designs 2022, 6, 54. [Google Scholar] [CrossRef]
- Lehmann, S. Sustainable Construction for Urban Infill Development Using Engineered Massive Wood Panel Systems. Sustainability 2012, 4, 2707–2742. [Google Scholar] [CrossRef]
- Amiri, A.; Ottelin, J.; Sorvari, J.; Junnila, S. Cities as Carbon Sinks—Classification of Wooden Buildings. Environ. Res. Lett. 2020, 15, 094076. [Google Scholar] [CrossRef]
- Embodied Carbon Footprint Database. Circular Ecology. Available online: https://circularecology.com/embodied-carbon-footprint-database.html (accessed on 11 September 2022).
- Adpearance, I. What You Need to Know about Pressure Treated Wood|AIFP|PDX, OR. Available online: https://www.lumber.com/blog/what-you-need-to-know-about-pressure-treated-wood (accessed on 17 February 2022).
- National Research Council of Canada (Ed.) National Building Code of Canada 2015, 14th ed.; National Research Council of Canada: Ottawa, ON, Canada, 2015; ISBN 978-0-660-03633-5.
- 2018 NDS. Available online: https://awc.org/publications/2018-nds/ (accessed on 8 March 2022).
- Aluminum Beam 6061. Available online: https://www.metalsupermarkets.com/product/aluminum-beam-6061/ (accessed on 10 August 2022).
- CSA S157.1-05 Alumninum Design Code. Available online: https://kupdf.net/download/csa-s157-1-05-alumninum-design-code-1_58e2f8b6dc0d60470dda97e4_pdf (accessed on 11 August 2022).
- Joist Hangers and End Moments. Structural Engineering General Discussion. Eng-Tips. Available online: https://www.eng-tips.com/viewthread.cfm?qid=339938 (accessed on 10 January 2022).
- One Way Slab Design. Daily Civil. 2018. Available online: https://dailycivil.com/one-way-slab-design-how-to-design-one-way-slab-1/ (accessed on 11 September 2022).
- Freeman, J.M.; DiOrio, N.A.; Blair, N.J.; Neises, T.W.; Wagner, M.J.; Gilman, P.; Janzou, S. System Advisor Model (SAM) General Description (Version 2017.9.5); National Renewable Energy Lab. (NREL): Golden, CO, USA, 2018.
- Milosavljević, D.D.; Kevkić, T.S.; Jovanović, S.J. Review and Validation of Photovoltaic Solar Simulation Tools/Software Based on Case Study. Open Phys. 2022, 20, 431–451. [Google Scholar] [CrossRef]
- EV Database. Available online: https://ev-database.org/ (accessed on 29 August 2022).
- Falvo, M.C.; Sbordone, D.; Bayram, I.S.; Devetsikiotis, M. Ev Charging Stations and Modes: International Standards. In Proceedings of the IEEE International Symposium on Power Electronics, Electrical Drives, Automation and Motion, Ischia, Italy, 18–20 June 2014. [Google Scholar]
- Assessment of Electric Vehicles Concerning Impacts, Charging Infrastructure with Unidirectional and Bidirectional Chargers, and Power Flow Comparisons. Int. J. Energy Res. 2018. Available online: https://onlinelibrary.wiley.com/doi/10.1002/er.4033 (accessed on 29 August 2022).
- Li, Y.; Hu, J.; Chen, F.; Liu, S.; Yan, Z.; He, Z. A New-Variable-Coil-Structure-Based IPT System With Load-Independent Constant Output Current or Voltage for Charging Electric Bicycles. IEEE Trans. Power Electron. 2018, 33, 8226–8230. [Google Scholar] [CrossRef]
- Chen, Y.; Zhang, H.; Park, S.-J.; Kim, D.-H. A Switching Hybrid LCC-S Compensation Topology for Constant Current/Voltage EV Wireless Charging. IEEE Access 2019, 7, 133924–133935. [Google Scholar] [CrossRef]
- Daily Electric Vehicle Charging Load Profiles Considering Demographics of Vehicle Users. ScienceDirect. Available online: https://www.sciencedirect.com/science/article/pii/S0306261920305754?via%3Dihub (accessed on 29 August 2022).
- Lg LG410N2C-A5 Manuals|ManualsLib. Available online: https://www.manualslib.com/products/Lg-Lg410n2c-A5-9238432.html (accessed on 29 August 2022).
- Average KMs Driven Per Year|How Much Do Canadians Drive? Available online: https://www.thinkinsure.ca/insurance-help-centre/average-km-per-year-canada.html (accessed on 9 September 2022).
- EV Database. Available online: https://ev-database.org/cheatsheet/energy-consumption-electric-car (accessed on 9 September 2022).
- Sadat, S.A.; Vandewetering, N.; Pearce, J.M. Mechanical and Economic Analysis of Conventional Aluminum Photovoltaic Module Frames, Frames with Side Holes, and Open-Source Downward-Fastened Frames for Non-Traditional Racking. To Be Published. Available online: https://osf.io/preprints/uts48/ (accessed on 11 September 2022).
- Lumber. 2022 Data-1978-2021 Historical-2023 Forecast-Price-Quote-Chart. Available online: https://tradingeconomics.com/commodity/lumber (accessed on 26 July 2022).
- Aluminum. 2022 Data-1989-2021 Historical-2023 Forecast-Price-Quote-Chart. Available online: https://tradingeconomics.com/commodity/aluminum (accessed on 26 July 2022).
- Top 10 Aluminum-Producing Countries (Updated 2022). Available online: https://investingnews.com/daily/resource-investing/industrial-metals-investing/aluminum-investing/aluminum-producing-countries/ (accessed on 18 August 2022).
- Raw Aluminium|OEC. Available online: https://oec.world/en/profile/hs/raw-aluminium (accessed on 17 August 2022).
- New Energy Vehicle Solar Charging Station Wallbox 22Kw Ev Station Ev Battery Charger For Home Use With Mppt Photovoltaic Panels. AliExpress. Available online: https://www.aliexpress.com/item/1005004354876999.html?spm=a2g0o.ppclist.product.2.519cxOEixOEiQQ&pdp_npi=2%40dis%21CAD%21C%24%207%2C230.85%21C%24%207%2C230.85%21%21%21%21%21%402101f6b116607501899558239e7ffc%2112000028877238090%21btf&_t=pvid:d8a0fdbc-3dd2-4032-8f80-d6fe9ba25004&afTraceInfo=1005004354876999__pc__pcBridgePPC__xxxxxx__1660750190 (accessed on 17 August 2022).
- Tamarack Solar Top of Pole Mounts for Large Solar Panels. Available online: https://www.altestore.com/store/solar-panel-mounts/top-of-pole-mounts-for-solar-panels/tamarack-solar-top-of-pole-mounts-6072-cell-solar-panels-p40745/ (accessed on 18 August 2022).
- TPM3 Pole Mount for Three 60/72 Cell Solar Modules. Available online: https://www.off-the-grid-solar.com/products/tpm3-pole-mount-for-three-60-72-cell-solar-modules (accessed on 18 August 2022).
- 12 Solar Panel Ground Mounting Kit IronRidge. Available online: https://sunwatts.com/12-solar-panel-ground-mounting-kit-ironridge/ (accessed on 26 July 2022).
- Hot Car Fatalities Are Year-Round Threat. Available online: https://www.consumerreports.org/car-safety/hot-car-fatalities-year-round-threat-to-children-pets-heat-stroke-a2015990109/ (accessed on 29 August 2022).
- Golden, J. Photovoltaic Canopies: Thermodynamics to Achieve a Sustainable Systems Approach to Mitigate the Urban Heat Island Hysteresis Lag Effect. Int. J. Sustain. Energy 2006, 25, 1–21. [Google Scholar] [CrossRef]
- Golden, J.S.; Carlson, J.; Kaloush, K.E.; Phelan, P. A Comparative Study of the Thermal and Radiative Impacts of Photovoltaic Canopies on Pavement Surface Temperatures. Sol. Energy 2007, 81, 872–883. [Google Scholar] [CrossRef]
- OpenEVSE. Electric Vehicle Charging Solutions. Available online: https://www.openevse.com/ (accessed on 29 August 2022).
- Canadian Solar 340W Solar Panel|CS1H-340MS—Volts Energies. Available online: https://volts.ca/products/canadian-solar-340w-solar-panel-cs1h-340ms?currency=CAD&utm_medium=product_sync&utm_source=google&utm_content=sag_organic&utm_campaign=sag_organic (accessed on 26 July 2022).
- Shingled 680 Watt Solar Panel-Panneau Solaire 680w-All Black 340w Canadian Solar Panels With [CSA Approval], For RV, Boats, Cottages, Camping and All Off-Grid Applications (2). Available online: https://solarpowerstore.ca/products/made-in-canada-shingled-340-watt-solar-panel-panneau-solaire-340w-all-black-340w-canadian-solar-panels-with-csa-approval (accessed on 26 July 2022).
- Canadian Solar Bi-Facial CS3W-435MB-AG Solar Panel—Volts Energies. Available online: https://volts.ca/products/canadian-solar-bi-facial-445w-solar-panel-cs3w-445mb-ag?currency=CAD&utm_medium=product_sync&utm_source=google&utm_content=sag_organic&utm_campaign=sag_organic (accessed on 26 July 2022).
- Canadian Solar-335W, Monocrystalline Solar PV Module. Raysolar Store. Available online: https://www.raysolar.ca/shop/product/canadian-solar-335w-monocrystalline-solar-pv-module/ (accessed on 11 September 2022).
- Canadian Solar-CS1Y-390MS, 390W Mono Perc. Available online: https://www.off-the-grid-solar.com/products/canadian-solar-cs1y-390ms-390w-mono-perc (accessed on 26 July 2022).
- Hess, D.J. The Politics of Niche-Regime Conflicts: Distributed Solar Energy in the United States. Environ. Innov. Soc. Transit. 2016, 19, 42–50. [Google Scholar] [CrossRef]
- Prehoda, E.; Pearce, J.M.; Schelly, C. Policies to Overcome Barriers for Renewable Energy Distributed Generation: A Case Study of Utility Structure and Regulatory Regimes in Michigan. Energies 2019, 12, 674. [Google Scholar] [CrossRef]
- Lee, D.; Hess, D.J. Incumbent Resistance and the Solar Transition: Changing Opportunity Structures and Framing Strategies. Environ. Innov. Soc. Transit. 2019, 33, 183–195. [Google Scholar] [CrossRef]
- Free Beam Calculator|ClearCalcs. Available online: https://clearcalcs.com/freetools/beam-analysis (accessed on 11 August 2022).
- Galvanized Aircraft Cable 7 × 19, 1/4 in. × 200 Feet. Available online: https://www.bestmaterials.com/detail.aspx?ID=25064 (accessed on 11 August 2022).
- Kessy, J.G.; Alexander, M.G.; Beushausen, H. Concrete Durability Standards: International Trends and the South African Context. J. S. Afr. Inst. Civ. Eng. 2015, 57, 47–58. [Google Scholar] [CrossRef]


















| Material Property | Value |
|---|---|
| Density | 460 kg/m3 |
| Flexural Strength | 5.44 MPa |
| Shear Strength | 0.86 MPa |
| Tensile Strength | 2.85 MPa |
| Compressive Strength | 7.29 MPa |
| Young’s Modulus | 9169.97 MPa |
| Material Property | Value |
|---|---|
| Density | 2767 kg/m3 |
| Yield Strength | 275 MPa |
| Ultimate Tensile Strength | 310 Mpa |
| Shear Strength | 206 Mpa |
| Young’s Modulus | 68,900 Mpa |
| Parameter | Value | Source |
|---|---|---|
| System Type | Residential/No Economic Model | This Study |
| PV Module | LG Electronics Inc. LG410N2C-A5 | [67] |
| Efficiency | 20.51% | |
| Length | 2 m | |
| Width | 1 m | |
| Module Type | Monocrystalline Silicon—Monofacial | |
| Number of Modules | 15 | This Study |
| Tilt Angle | 5° (design requirement) | This Study |
| Azimuth | 180° | This Study |
| DC Power Rating | 6.154 kWDC | This Study |
| DC-to-AC Ratio | 1.02 | This Study |
| Soiling Losses | 5% | [59] |
| DC Power Losses | 4.44% | |
| AC Power Losses | 1% |
| Member Name | Piece 1 | Cost per Piece 2 | Quantity | Cost |
|---|---|---|---|---|
| 2 × 10 Joists 2 × 10 Joists | 2″ × 10″ × 14′ 2″ × 10″ × 12′ | CAD 53.99 CAD 46.28 | 18 9 | CAD 971.82 CAD 416.52 |
| Double 2 × 12 Beams | 2″ × 12″ × 16′ | CAD 85.76 | 12 | CAD 1029.12 |
| Double 2 × 12 Beams | 2″ × 12″ × 10′ | CAD 53.60 | 4 | CAD 214.40 |
| Joist Splice Tie Plate | 3″ × 5″ Mending Plate | CAD 2.25 | 24 | CAD 54.00 |
| Beam Splice Tie Plate | 3″ × 7″ Mending Plate | CAD 2.79 | 12 | CAD 33.48 |
| Lateral Bracing | 2″ × 10″ × 14′ | CAD 53.99 | 3 | CAD 161.97 |
| Joist to Beam Ties | H1 Hurricane Ties | CAD 2.19 | 34 | CAD 74.46 |
| Posts | 6″ × 6″ × 16′ | CAD 88.74 | 12 | CAD 1064.88 |
| Post Lateral Diagonals | 2″ × 4″ × 10′ | CAD 12.82 | 4 | CAD 51.28 |
| Nuts, Bolts, and Washers | 3/8″ × 10″ | CAD 4.52 | 24 | CAD 108.48 |
| Screws | 2-1/2″ Deck Screws (1175/pail) | CAD 38.99 | 1 | CAD 38.99 |
| D10 Nails | 1-1/2″ Joist Hanger Nails | CAD 4.65 | 5 | CAD 23.25 |
| Module-to-Joist Connection | ¼″ × 2-1/2″ Carriage Bolt, Nut, and Washer | CAD 1.01 3 | 204 | CAD 206.04 |
| Total Cost with No Concrete | CAD 4448.69 | |||
| Concrete for Posts | 30 Mpa Quikrete concrete | CAD 5.55 | 36 bags | CAD 199.80 |
| Total Cost: | CAD 4648.49 |
| Member Name | Piece 1 | Cost Per Piece 2 | Quantity | Cost |
|---|---|---|---|---|
| 2 × 10 Joists 2 × 10 Joists | 2″ × 10″ × 14′ 2″ × 10″ × 12′ | CAD 53.99 CAD 46.28 | 21 11 | CAD 1133.79 CAD 509.08 |
| T6 6061 Aluminum Beam | 4″ × 8″ × 0.270″ × 60′ | CAD 7120 | 2 | CAD 14,240.00 |
| Joist Splice Tie Plate | 3″ × 5″ Mending Plate | CAD 2.25 | 24 | CAD 54.00 |
| Beam Splice Tie Plate | 3″ × 7″ Mending Plate | CAD 2.79 | 12 | CAD 33.48 |
| Lateral Bracing | 2″ × 10″ × 14′ | CAD 53.99 | 5 | CAD 269.95 |
| Joist to Beam Ties | H1 Hurricane Ties | CAD 2.19 | 34 | CAD 74.46 |
| Posts | 6″ × 6″ × 16′ | CAD 88.74 | 8 | CAD 709.92 |
| Post Lateral Diagonals | 4″ × 4″ × 14′ | CAD 33.89 | 2 | CAD 67.78 |
| Screws | 2-1/2″ Deck Screws (1175/pail) | CAD 38.99 | 1 | CAD 38.99 |
| D10 Nails | 1-1/2″ Joist Hanger Nails | CAD 4.65 | 5 | CAD 23.25 |
| Self-Tapping Screws | #10 × 2″ 100 Pack | CAD 15.09 | 1 | CAD 15.09 |
| Module to Joist Connection | ¼″ × 2-1/2″ Carriage Bolt, Nut, and Washer | CAD 1.01 3 | 204 | CAD 206.04 |
| Total Cost with No Concrete | CAD 17,375.83 | |||
| Concrete for Posts | 30 MPa Quikrete concrete | CAD 5.55 | 100 bags | CAD 555.00 |
| Total Cost: | CAD 17,930.83 |
| Member Name | Piece 1 | Cost per Piece 2 | Quantity | Cost |
|---|---|---|---|---|
| 2 × 10 Joists 2 × 10 Joists | 2″ × 10″ × 16′ 2″ × 10″ × 10′ | CAD 61.71 CAD 38.57 | 30 10 | CAD 1851.30 CAD 385.70 |
| T6 6061 Aluminum Beam | 4″ × 8″ × 0.270″ × 12′ | CAD 1424 | 11 | CAD 15,664.00 |
| Joist Splice Tie Plate | 3″ × 5″ Mending Plate | CAD 2.25 | 30 | CAD 67.50 |
| Lateral Bracing | 2″ × 10″ × 14′ | CAD 53.99 | 10 | CAD 539.90 |
| Joist to Beam Ties | H1 Hurricane Ties | CAD 2.19 | 68 | CAD 148.92 |
| Posts | 8″ × 8″ × 16′ | CAD 214.88 | 11 | CAD 2363.68 |
| Post Lateral Diagonals | 6″ × 6″ × 16′ | CAD 88.74 | 4 | CAD 354.96 |
| Screws | 2-1/2″ Deck Screws (1175/pail) | CAD 38.99 | 2 | CAD 77.98 |
| D10 Nails | 1-1/2″ Joist Hanger Nails | CAD 4.65 | 10 | CAD 46.50 |
| Self-Tapping Screws | #10 × 2″ 100 Pack | CAD 15.09 | 2 | CAD 30.18 |
| Aircraft Cable | 5/16″ 7 × 19 Galvanized | CAD 6.67 | 44 | CAD 293.48 |
| Module to Joist Connection | ¼″ × 2-1/2″ Carriage Bolt, Nut, and Washer | CAD 1.01 3 | 256 | CAD 258.56 |
| Total Cost with No Concrete | CAD 22,082.66 | |||
| Concrete for Posts | 30 MPa Quikrete Concrete | CAD 5.55 | 102 bags | CAD 566.10 |
| Total Cost: | CAD 22,648.76 |
| System | Size | Cost | Cost per W |
|---|---|---|---|
| 5 Spot Single Span | 3 × 17 × 410 W = 20.91 kW | CAD 4648.49 | CAD 0.2223 |
| 6 Spot Double Span 1 | 3 × 20 × 410 W = 24.60 kW | CAD 17,930.83 | CAD 0.7289 |
| 5 Spot Cantilevered | 16 × 4 × 410 W = 26.24 kW | CAD 23,120.51 | CAD 0.8811 |
| Spans | Parking Spots | Size | Cost | Cost per W |
|---|---|---|---|---|
| 2 | 3 × 8 × 410 W = 9.84 kW | CAD 2409.16 | CAD 0.2448 | |
| Single | 10 | 3 × 32 × 410 W = 39.36 kW | CAD 8696.37 | CAD 0.2209 |
| 20 | 3 × 62 × 410 W = 76.26 kW | CAD 16,744.87 | CAD 0.2196 | |
| 2 | 3 × 8 × 410 W = 9.84 kW | CAD 7198.93 | CAD 0.7316 | |
| Double 1 | 10 | 3 × 32 × 410 W = 39.36 kW | CAD 27,664.54 | CAD 0.7029 |
| 20 | 3 × 62 × 410 W = 76.26 kW | CAD 53,515.80 | CAD 0.7018 | |
| 2 | 7 × 4 × 410 W = 11.48 kW | CAD 10,263.87 | CAD 0.8941 | |
| Cantilevered | 10 | 31 × 4 × 410 W = 50.84 kW | CAD 43247.39 | CAD 0.8507 |
| 20 | 61 × 4 × 410 W = 100.04 kW | CAD 81,785.03 | CAD 0.8175 |
| System | Current Cost per W | Low Cost per W 1 | High Cost per W 2 |
|---|---|---|---|
| Five-Spot Single Span | CAD 0.2223 | CAD 0.0911 | CAD 0.5336 |
| Six-Spot Double Span | CAD 0.7289 | CAD 0.4027 | CAD 1.2451 |
| Five-Spot Cantilevered | CAD 0.8811 | CAD 0.4745 | CAD 1.6374 |
| Home Type 1 (MWh) | Home Type 2 (MWh) | Workplace (MWh) | ||||
|---|---|---|---|---|---|---|
| Charger Power Level | London, ON | Los Angeles | London, ON | Los Angeles | London, ON | Los Angeles |
| Level 1 Charger (1.4 kW) | 4.5 | 7.1 | 2.2 | 4.7 | 4.9 | 7.4 |
| Level 2 Charger (8 kW) | −9.0 | −6.5 | −22.4 | −19.9 | −7.0 | −4.5 |
| Level 3 Charger (50 kW) | −95.4 | −92.8 | −179.1 | −176.5 | −82.9 | −80.4 |
| Level 3 Charger (100 kW) | −198.1 | −195.6 | −365.5 | −362.9 | −173.3 | −170.7 |
Publisher’s Note: MDPI stays neutral with regard to jurisdictional claims in published maps and institutional affiliations. |
© 2022 by the authors. Licensee MDPI, Basel, Switzerland. This article is an open access article distributed under the terms and conditions of the Creative Commons Attribution (CC BY) license (https://creativecommons.org/licenses/by/4.0/).
Share and Cite
Vandewetering, N.; Hayibo, K.S.; Pearce, J.M. Open-Source Photovoltaic—Electrical Vehicle Carport Designs. Technologies 2022, 10, 114. https://doi.org/10.3390/technologies10060114
Vandewetering N, Hayibo KS, Pearce JM. Open-Source Photovoltaic—Electrical Vehicle Carport Designs. Technologies. 2022; 10(6):114. https://doi.org/10.3390/technologies10060114
Chicago/Turabian StyleVandewetering, Nicholas, Koami Soulemane Hayibo, and Joshua M. Pearce. 2022. "Open-Source Photovoltaic—Electrical Vehicle Carport Designs" Technologies 10, no. 6: 114. https://doi.org/10.3390/technologies10060114
APA StyleVandewetering, N., Hayibo, K. S., & Pearce, J. M. (2022). Open-Source Photovoltaic—Electrical Vehicle Carport Designs. Technologies, 10(6), 114. https://doi.org/10.3390/technologies10060114
