How Cognitive Abilities May Support Children’s Bilingual Literacy Development in a Multilingual Society
Abstract
:1. Introduction
2. Materials and Methods
2.1. Participants
2.2. Tasks
2.2.1. ASER Literacy Task
2.2.2. Raven’s Progressive Matrices Task
2.2.3. 2-Back Task
2.2.4. Flanker Task
2.3. Procedure
3. Results
3.1. Bilingual Literacy Development
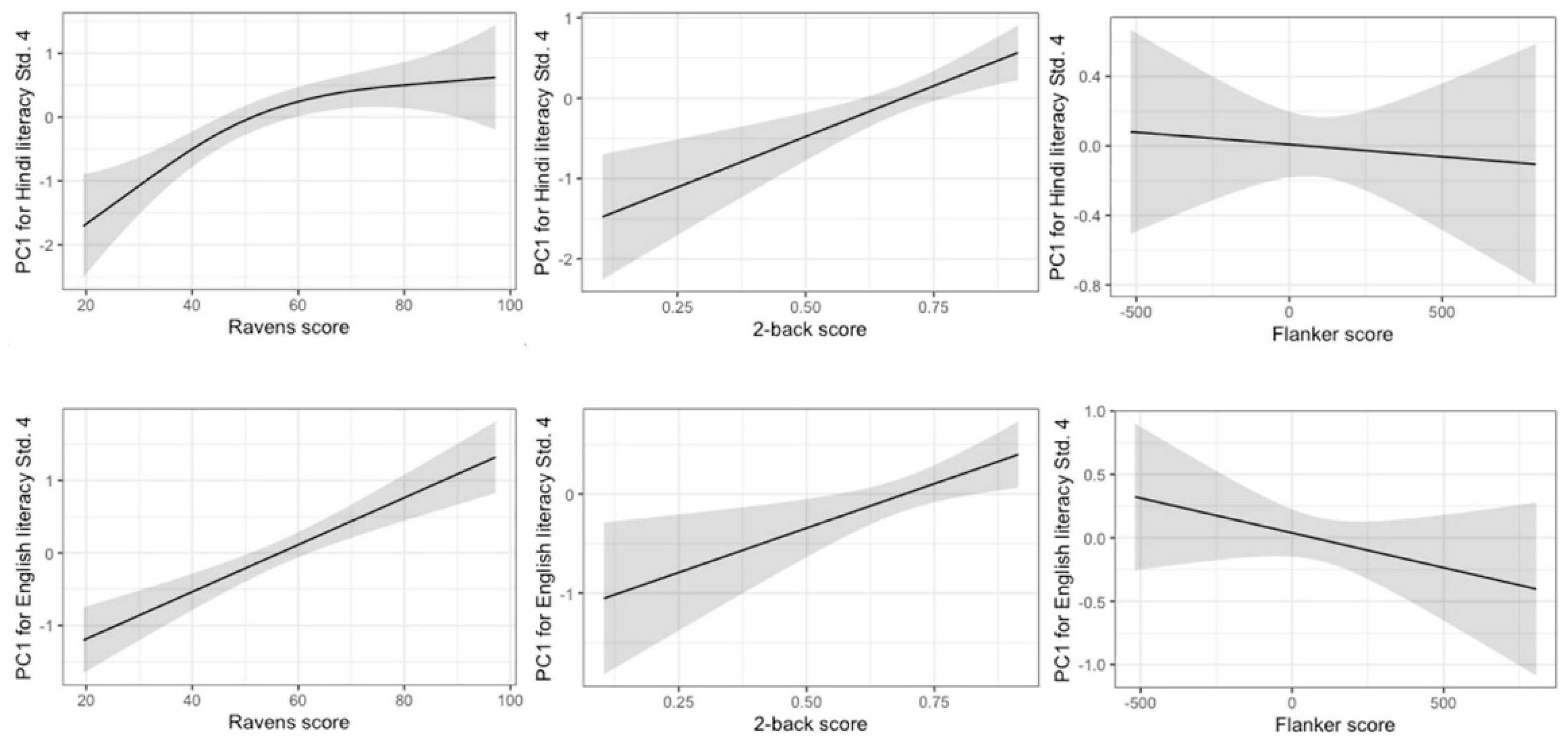
3.2. Relation with Cognitive Abilities
4. Discussion
Author Contributions
Funding
Institutional Review Board Statement
Informed Consent Statement
Data Availability Statement
Acknowledgments
Conflicts of Interest
Appendix A


Appendix B


Appendix C
| Formula: PC1 Hindi Std. 4~s(Ravens) + s(2-Back) + s(Flanker) + s(Age, bs = ‘re’) | |||
|---|---|---|---|
| Edf | F-Value | p-Value | |
| s(Ravens) | 2.15 | 10.63 | <0.001 *** |
| s(2-back) | 1.00 | 14.43 | <0.001 *** |
| s(Flanker) | 1.00 | 0.09 | 0.77 |
| s(Age) | <0.01 | <0.01 | 0.84 |
| Formula: PC1 English Std. 4~s(Ravens) + s(2-Back) + s(Flanker) + s(Age, bs = ‘re’). | |||
|---|---|---|---|
| Edf | F-Value | p-Value | |
| s(Ravens) | 1.00 | 31.16 | <0.001 *** |
| s(2-back) | 1.00 | 7.53 | 0.006 ** |
| s(Flanker) | 1.00 | 1.37 | 0.24 |
| s(Age) | 0.39 | 0.65 | 0.20 |
| Formula: PC1 Hindi Std. 5~s(Ravens) + s(2-Back) + s(Flanker) + s(Age, bs = ‘re’) | |||
|---|---|---|---|
| Edf | F-Value | p-Value | |
| s(Ravens) | 2.93 | 10.56 | <0.001 *** |
| s(2-back) | 1.00 | 7.96 | 0.005 ** |
| s(Flanker) | 1.00 | 1.00 | 0.95 |
| s(Age) | <0.01 | 1.00 | 0.86 |
| Formula: PC1 English Std. 5~s(Ravens) + s(2-Back) + s(Flanker) + s(Age, bs = ‘re’). | |||
|---|---|---|---|
| Edf | F-Value | p-Value | |
| s(Ravens) | 1.00 | 32.93 | <0.001 *** |
| s(2-back) | 1.00 | 9.97 | 0.002 ** |
| s(Flanker) | 1.00 | <0.01 | 0.97 |
| s(Age) | 0.07 | 0.07 | 0.30 |
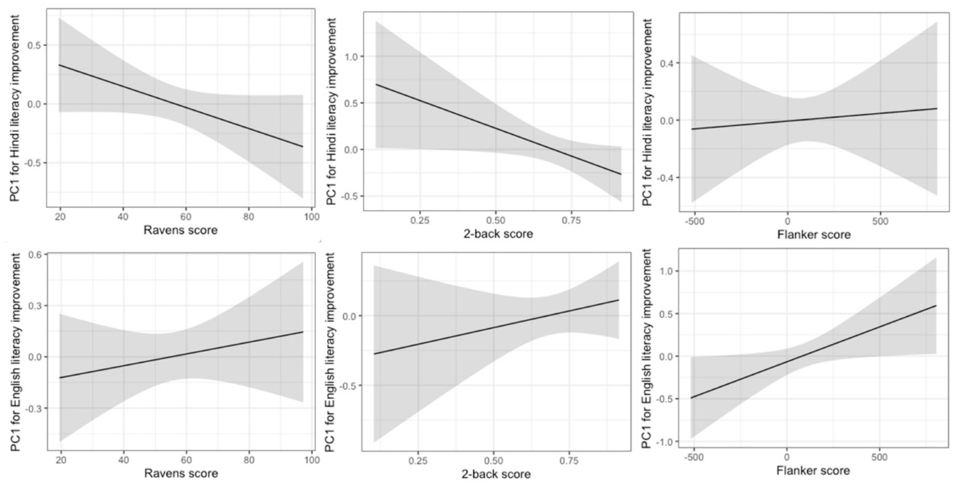
| Formula: PC1 Hindi Improvement~s(Ravens) + s(2-Back) + s(Flanker) + s(Age, bs = ‘re’) | |||
|---|---|---|---|
| Edf | F-Value | p-Value | |
| s(Ravens) | 1.00 | 3.00 | 0.08 |
| s(2-back) | 1.00 | 4.21 | 0.04 * |
| s(Flanker) | 1.00 | 0.07 | 0.80 |
| s(Age) | <0.01 | <0.01 | 0.54 |
| Formula: PC1 English Improvement~s(Ravens) + s(2-Back) + s(Flanker) + s(Age, bs = ‘re’) | |||
|---|---|---|---|
| Edf | F-Value | p-Value | |
| s(Ravens) | 1.00 | 0.51 | 0.47 |
| s(2-back) | 1.00 | 0.78 | 0.38 |
| s(Flanker) | 1.00 | 4.45 | 0.04 * |
| s(Age) | <0.01 | <0.01 | 0.73 |
| 1 | In total, 336 children participated at both time points. Several additional children only participated at one of these time points, but since we were interested in literacy development, which requires measures as both time points, we did not take the data of these additional children into account. |
References
- Alcott, Benjamin, and Pauline Rose. 2017. Learning in India’s primary schools: How do disparities widen across the grades? International Journal of Educational Development 56: 42–51. [Google Scholar] [CrossRef]
- Alladi, Suvarna, Thomas H. Bak, Vasanta Duggirala, Bapiraju Surampudi, Mekala Shailaja, Anuj Kumar Shukla, Jaydip Ray Chaudhuri, and Subhash Kaul. 2013. Bilingualism delays age at onset of dementia, independent of education and immigration status. Neurology 81: 1938–44. [Google Scholar] [CrossRef] [PubMed]
- Arán-Filippetti, Vanessa. 2013. Structure and invariance of executive functioning tasks across socioeconomic status: Evidence from Spanish-speaking children. The Spanish Journal of Psychology 16. [Google Scholar] [CrossRef]
- Bialystok, Ellen. 2001. Bilingualism in Development: Language, Literacy, and Cognition. Cambridge: Cambridge University Press. [Google Scholar] [CrossRef]
- Bialystok, Ellen. 2009. Bilingualism: The good, the bad, and the indifferent. Bilingualism 12: 3–11. [Google Scholar] [CrossRef] [Green Version]
- Bialystok, Ellen. 2011. Reshaping the Mind: The Benefits of Bilingualism. Canadian Journal of Experimental Psychology 65: 229–35. [Google Scholar] [CrossRef] [PubMed]
- Bialystok, Ellen, Fergus I. M. Craik, Raymond Klein, and Mythili Viswanathan. 2004. Bilingualism, aging, and cognitive control: Evidence from the Simon task. Psychology and Aging 19: 290–303. [Google Scholar] [CrossRef] [PubMed] [Green Version]
- Burneo-Garcés, Carlos, Francisco Cruz-Quintana, Miguel Pérez-García, Manuel Fernández-Alcántara, Ahmed Fasfous, and Mária Nieves Pérez-Marfil. 2019. Interaction between Socioeconomic Status and Cognitive Development in Children Aged 7, 9, and 11 Years: A Cross-Sectional Study. Developmental Neuropsychology 44: 1–16. [Google Scholar] [CrossRef]
- Cain, Kate, Jane Oakhill, and Peter Bryant. 2004. Children’s reading comprehension ability: Concurrent prediction by working memory, verbal ability, and component skills. Journal of Educational Psychology 96: 31–42. [Google Scholar] [CrossRef] [Green Version]
- Chen, Yulu, Yiji Wang, Si Wang, Ming Zhang, and Nan Wu. 2021. Self-reported sleep and executive function in early primary school children. Frontiers in Psychology 12. [Google Scholar] [CrossRef]
- Colzato, Lorenza S., Maria Teresa Bajo, Wery Van den Wildenberg, Daniela Paolieri, Sander Nieuwenhuis, Wido La Heij, and Bernhard Hommel. 2008. How does bilingualism improve executive control? A comparison of active and reactive inhibition mechanisms. Journal of Experimental Psychology: Learning, Memory, and Cognition 34: 302–12. [Google Scholar] [CrossRef] [Green Version]
- Conn, Vicki S. 2017. Don’t Rock the Analytical Boat: Correlation Is Not Causation. Western Journal of Nursing Research 39: 731–32. [Google Scholar] [CrossRef] [Green Version]
- Costa, Albert, Mireia Hernández, and Núria Sebastián-Gallés. 2008. Bilingualism aids conflict resolution: Evidence from the ANT task. Cognition 106: 59–86. [Google Scholar] [CrossRef] [PubMed]
- Costa, Albert, Mireia Hernández, Jordi Costa-Faidella, and Núria Sebastián-Gallés. 2009. On the bilingual advantage in conflict processing: Now you see it, now you don’t. Cognition 113: 135–49. [Google Scholar] [CrossRef] [PubMed]
- Dressler, Cheryl, and Michael L. Kamil. 2006. First- and Second-Language Literacy. In Developing Literacy in Second-Language Learners: Report of the National Literacy Panel on Language-Minority Children and Youth. Edited by Diane August and Timothy Shanahan. Mahwah: Lawrence Erlbaum Associates Publishers, pp. 197–238. [Google Scholar]
- Duncan, Greg J., Chantelle J. Dowsett, Amy Claessens, Katherine Magnuson, Aetha C. Huston, Pamela Klebanov, Linda Pagani, Leon Feinstein, Mimi Engel, and Crista Japel. 2007. School readiness and later achievement. Developmental Psychology 43: 1428–46. [Google Scholar] [CrossRef] [PubMed] [Green Version]
- Durgunoğlu, Aydin Yücesan. 2002. Cross-linguistic transfer in literacy development and implications for language learners. Annals of Dyslexia 52: 189–204. [Google Scholar] [CrossRef]
- Eriksen, Barbera A., and Charles W. Eriksen. 1974. Effects of noise letters upon the identification of a target letter in a nonsearch task. Perception & Psychophysics 16: 143–49. [Google Scholar] [CrossRef] [Green Version]
- Formoso, Jesica, Irene Injoque-Ricle, Juan-Pablo Barreyro, Alejandra Calero, Silvia Jacubovich, and Débora I. Burín. 2018. Mathematical cognition, working memory, and processing speed in children. Cognition, Brain, Behavior: An Interdisciplinary Journal 22: 59–84. [Google Scholar] [CrossRef]
- García, Ofelia, and Li Wei. 2014. Translanguaging: Language, Bilingualism and Education. London: Palgrave Macmillan. [Google Scholar]
- Granena, Gisela, Daniel O. Jackson, and Yucel Yilmaz. 2016. Cognitive Individual Differences in Second Language Processing and Acquisition. Amsterdam: John Benjamins Publishing Company. [Google Scholar]
- Hackman, Daniel. A., and Martha J. Farah. 2009. Socioeconomic status and the developing brain. Trends in Cognitive Sciences 13: 65–73. [Google Scholar] [CrossRef] [Green Version]
- Johann, Verena, Tanja Könen, and Julia Karbach. 2019. The unique contribution of working memory, inhibition, cognitive flexibility, and intelligence to reading comprehension and reading speed. Child Neuropsychology 26: 324–44. [Google Scholar] [CrossRef]
- Kaufman, Scott Barry, Colin G. DeYoung, Jeremy R. Gray, Jamie Brown, and Nicholas Mackintosh. 2009. Associative learning predicts intelligence above and beyond working memory and processing speed. Intelligence 37: 374–82. [Google Scholar] [CrossRef]
- Kelly, Yvonne, Amanda Sacker, Emilia Del Bono, Marco Francesconi, and Michael Marmot. 2011. What role for the home learning environment and parenting in reducing the socioeconomic gradient in child development? Findings from the Millennium Cohort Study. Archives of Disease in Childhood 96: 832–37. [Google Scholar] [CrossRef]
- Kirchner, Wayne K. 1958. Age differences in short-term retention of rapidly changing information. Journal of Experimental Psychology 55: 352–58. [Google Scholar] [CrossRef] [PubMed]
- Kosmidis, Mary H., Maria Zafiri, and Nina Politimou. 2011. Literacy versus formal schooling: Influence on working memory. Archives of Clinical Neuropsychology 26: 575–82. [Google Scholar] [CrossRef] [PubMed]
- Leather, Cathy V., and Lucy A. Henry. 1994. Working memory span and phonological awareness tasks as predictors of early reading ability. Journal of Experimental Child Psychology 58: 88–111. [Google Scholar] [CrossRef] [PubMed]
- Lehtonen, Minna, Anna Soveri, Aini Laine, Janica Järvenpää, Angela de Bruin, and Jan Antfolk. 2018. Is bilingualism associated with enhanced executive functioning in adults? A meta-analytic review. Psychological Bulletin 144: 394–425. [Google Scholar] [CrossRef] [Green Version]
- Lightfoot, Amy, Anusha Balasubramanian, Ianthi Maria Tsimpli, Lina Mukhopadhyay, and Jeanine Treffers-Daller. 2021. Measuring the multilingual reality: Lessons from classrooms in Delhi and Hyderabad. International Journal of Bilingual Education and Bilingualism, 1–12. [Google Scholar] [CrossRef]
- Menon, Shailaja, Ramchandar Krishnamurthy, Sajitha Kutty, Neela Apte, Abha Basargekar, Sneha Subramaniam, Mounesh Nalkamani, and Madhuri Modugala. 2017. Literacy Research in Indian Languages (LiRiL): Report of a Three-Year Longitudinal Study on Early Reading and Writing in Marathi and Kannada. Bangalore: Azim Premji University, New Delhi: Tata Trusts. [Google Scholar]
- Mohanty, Ajit K. 2010. Languages, inequality and marginalisation: Implications of the double divide in Indian multilingualism. International Journal of the Sociology of Language 205: 131–54. [Google Scholar] [CrossRef]
- Mohanty, Ajit K. 2019a. Language policy in education in India. In The Routledge International Handbook of Language Education Policy in Asia. Edited by Andy Kirkpatrick and Anthony J. Liddicoat. London: Routeledge, pp. 329–40. [Google Scholar]
- Mohanty, Ajit K. 2019b. The Multilingual Reality: Living with Languages. Bristol: Multilingual Matters. [Google Scholar]
- Noble, Kimberly G., M. Frank Norman, and Martha J. Farah. 2005. Neurocognitive correlates of socioeconomic status in kindergarten children. Developmental Science 8: 74–87. [Google Scholar] [CrossRef]
- Nyaradi, Anett, Jianghong Li, Siobhan Hickling, Jonathan Foster, and Wendy H. Oddy. 2013. The role of nutrition in children’s neurocognitive development, from pregnancy through childhood. Frontiers in Human Neuroscience 7: 97. [Google Scholar] [CrossRef] [Green Version]
- Paap, Kenneth R., and Zachary I. Greenberg. 2013. There is no coherent evidence for a bilingual advantage in executive processing. Cognitive Psychology 66: 232–58. [Google Scholar] [CrossRef]
- Pace, Amy, Rufan Luo, Kathy Hirsh-Pasek, and Roberta Michnick Golinkoff. 2017. Identifying Pathways Between Socioeconomic Status and Language Development. Annual Review of Linguistics 3: 285–308. [Google Scholar] [CrossRef] [Green Version]
- Peng, Peng, Tengfei Wang, Cuicui Wang, and Xin Lin. 2019. A meta-analysis on the relation between fluid intelligence and reading/mathematics: Effects of tasks, age, and social economics status. Psychological Bulletin 145: 189–236. [Google Scholar] [CrossRef]
- Pluck, Graham. 2019. Lexical reading ability predicts academic achievement at university level. Cognition and Behavior 22: 175–96. [Google Scholar] [CrossRef]
- Pratham. 2014. Annual Status of Education Report (Rural) 2013. New Delhi: Pratham, Available online: http://img.asercentre.org/docs/Publications/ASER%20Reports/ASER%202014/fullaser2014mainreport_1.pdf (accessed on 2 February 2019).
- Pratham. 2017. Annual Status of Education Report (Rural) 2016. Report for the Annual Status of Education Report Centre, 18 January 2017. New Delhi: Pratham, Available online: http://img.asercentre.org/docs/Publications/ASER%20Reports/ASER%202016/aser_2016.pdf (accessed on 15 November 2017).
- Pulido, Manuel F. 2021. Native language inhibition predicts more successful second language learning: Evidence of two ERP pathways during learning. Neuropsychologia 152: 107732. [Google Scholar] [CrossRef] [PubMed]
- R Core Team. 2019. R: A Language and Environment for Statistical Computing. Vienna: R Foundation for Statistical Computing. [Google Scholar]
- Rabiner, David L., Jennifer Godwin, and Kenneth A. Dodge. 2016. Predicting Academic Achievement and Attainment: The Contribution of Early Academic Skills, Attention Difficulties, and Social Competence. School Psychology Review 45: 250–67. [Google Scholar] [CrossRef] [Green Version]
- Raven, John. 2012. Coloured Progressive Matrices and Crichton Vocabulary Scale: India Edition. India: Pearson. [Google Scholar]
- Raven, John, John Carlylr Raven, and John Hugh Court. 2008. Ravens Coloured Progressive Matrices and Vocabulary Scales. London: Pearson Education. [Google Scholar]
- Salthouse, Timothy A. 1996. The processing speed theory of adult age differences in cognition. Psychological Review 103: 403–28. [Google Scholar] [CrossRef] [PubMed] [Green Version]
- Samuel, Steven, Karen Roehr-Brackin, Hyensou Pak, and Hyunji Kim. 2018. Cultural Effects Rather Than a Bilingual Advantage in Cognition: A Review and an Empirical Study. Cognitive Science 42: 2313–41. [Google Scholar] [CrossRef] [Green Version]
- Scholz, Markus, and David Scheer. 2020. The Relationship Between Reading Skills and Intelligence in Students With and Without Special Educational Needs in Learning. Frontiers in Education 5. [Google Scholar] [CrossRef]
- Sharma, Meenakshi. 2006. Institutionalization of English in India—A Historical Background. South Asian Review 27: 175–89. [Google Scholar] [CrossRef]
- Soveri, Anna, Matti Laine, Heikki Hämäläinen, and Kenneth Hugdahl. 2011. Bilingual advantage in attentional control: Evidence from the forced-attention dichotic listening paradigm. Bilingualism: Language and Cognition 14: 371–78. [Google Scholar] [CrossRef]
- Tsimpli, Ianthi, Lina Mukhopadhyay, Jeanine Treffers-Daller, Suverna Alladi, Theodoros Marinis, Minati Panda, Anusha Balasubramanian, and Pallawi Sinha. 2019. Multilingualism and multiliteracy in primary education in India: A discussion of some methodological challenges of an interdisciplinary research project. Research in Comparative and International Education 14: 54–76. [Google Scholar] [CrossRef] [Green Version]
- Tsimpli, Ianthi Maria, Margreet Vogelzang, Anusha Balasubramanian, Theodoros Marinis, Suvarna Alladi, Abhigna Reddy, and Minati Panda. 2020a. Linguistic Diversity, Multilingualism, and Cognitive Skills: A Study of Disadvantaged Children in India. Languages 5: 10. [Google Scholar] [CrossRef] [Green Version]
- Tsimpli, Ianthi Maria, Anusha Balasubramanian, Theodoros Marinis, Minati Panda, Lina Mukhopadhyay, Suvarna Alladi, and Jeanine Treffers-Daller. 2020b. Research Report of a Four-Year Study on Multilingualism, Literacy, Numeracy and Cognition in Delhi, Hyderabad and Patna. Cambridge: University of Cambridge. [Google Scholar]
- UNESCO. 2015. Education for All Global Monitoring Report: Achievements and Challenges. Paris: UNESCO. [Google Scholar]
- Vernucci, Santiago, Yesica Aydmune, María Laura Andrés, Débora Inés Burin, and Lorena Canet-Juric. 2021. Working memory and fluid intelligence predict reading comprehension in school-age children: A one-year longitudinal study. Applied Cognitive Psychology 35: 1115–24. [Google Scholar] [CrossRef]
- Wood, Simon. 2006. Generalized Additive Models: An Introduction with R. Boca Raton: Chapman and Hall/CRC Press. [Google Scholar]
- Zhang, Jun, and Shane T. Mueller. 2005. A note on ROC analysis and non-parametric estimate of sensitivity. Psychometrika 70: 203–12. [Google Scholar] [CrossRef] [Green Version]
- Ziegler, Johannes C., and Usha Goswami. 2005. Reading acquisition, developmental dyslexia, and skilled reading across languages: A psycholinguistic grain size theory. Psychological Bulletin 131: 3–29. [Google Scholar] [CrossRef] [PubMed] [Green Version]





Publisher’s Note: MDPI stays neutral with regard to jurisdictional claims in published maps and institutional affiliations. |
© 2022 by the authors. Licensee MDPI, Basel, Switzerland. This article is an open access article distributed under the terms and conditions of the Creative Commons Attribution (CC BY) license (https://creativecommons.org/licenses/by/4.0/).
Share and Cite
Vogelzang, M.; Tsimpli, I.M.; Panda, M. How Cognitive Abilities May Support Children’s Bilingual Literacy Development in a Multilingual Society. Languages 2022, 7, 33. https://doi.org/10.3390/languages7010033
Vogelzang M, Tsimpli IM, Panda M. How Cognitive Abilities May Support Children’s Bilingual Literacy Development in a Multilingual Society. Languages. 2022; 7(1):33. https://doi.org/10.3390/languages7010033
Chicago/Turabian StyleVogelzang, Margreet, Ianthi Maria Tsimpli, and Minati Panda. 2022. "How Cognitive Abilities May Support Children’s Bilingual Literacy Development in a Multilingual Society" Languages 7, no. 1: 33. https://doi.org/10.3390/languages7010033
APA StyleVogelzang, M., Tsimpli, I. M., & Panda, M. (2022). How Cognitive Abilities May Support Children’s Bilingual Literacy Development in a Multilingual Society. Languages, 7(1), 33. https://doi.org/10.3390/languages7010033

