d2 Law and Penetration Length of Jatropha and Camelina Bio-Synthetic Paraffinic Kerosene Spray Characteristics at Take-Off, Top of Climb and Cruise
Abstract
:1. Introduction
- To measure combustor inlet data at the selected flight trajectories.
- To identify fuel properties and flight operating conditions that most influence the droplet characteristics accurately.
2. Materials and Methods
2.1. Fuels for Evaluation
2.2. Flight Conditions for Evaluation
2.3. Engine Performance Set-Up in GSP
2.4. Combustion Performance in ANSYS Fluent
2.4.1. Combustor Geometry and Mesh Independence Analysis
2.4.2. Boundary Conditions for the Simulation
3. Results and Discussion
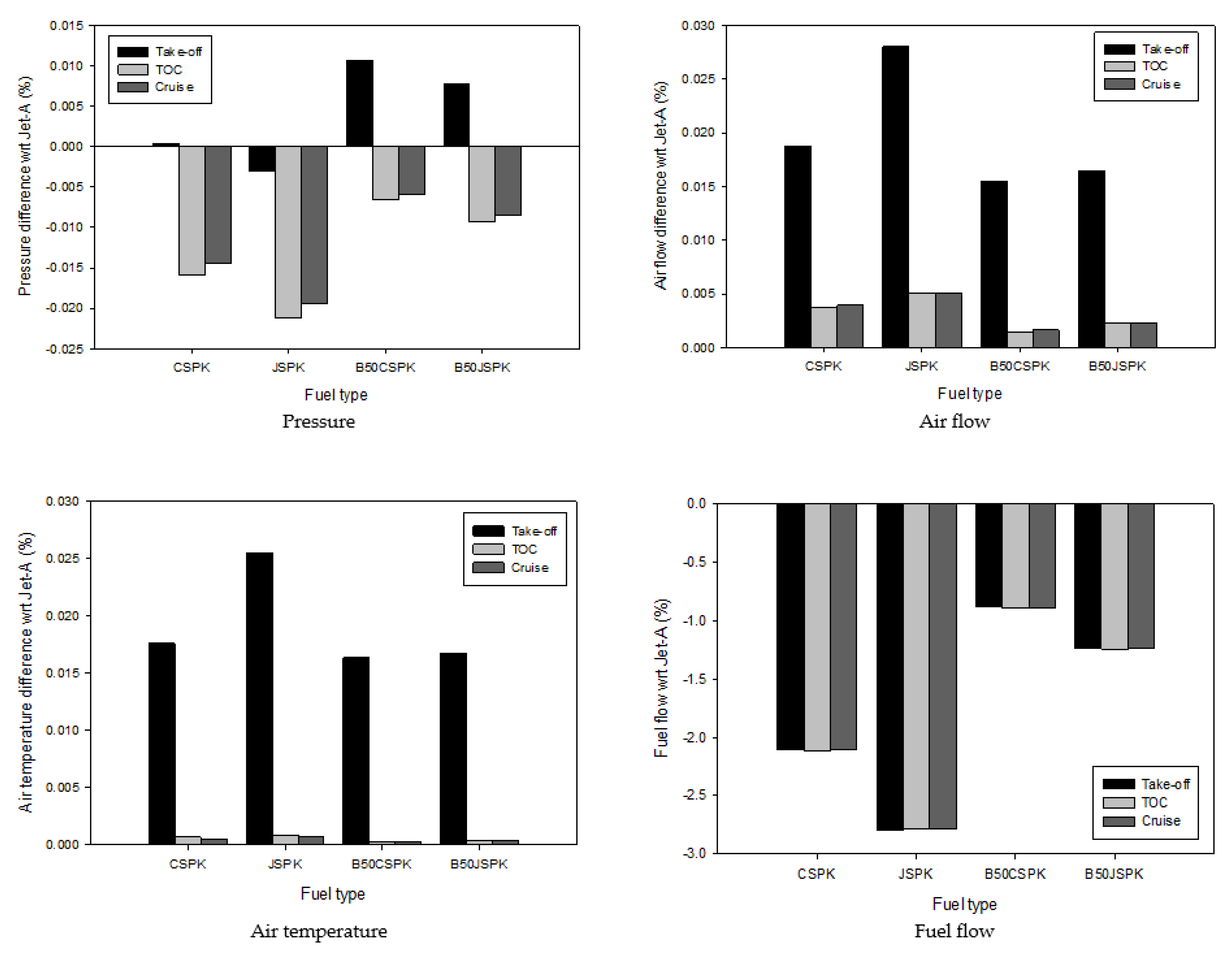
3.1. Comparison of Combustor Inlet Parameter
3.2. Engine Performance Analysis
3.3. Combustion Characteristics Evaluation
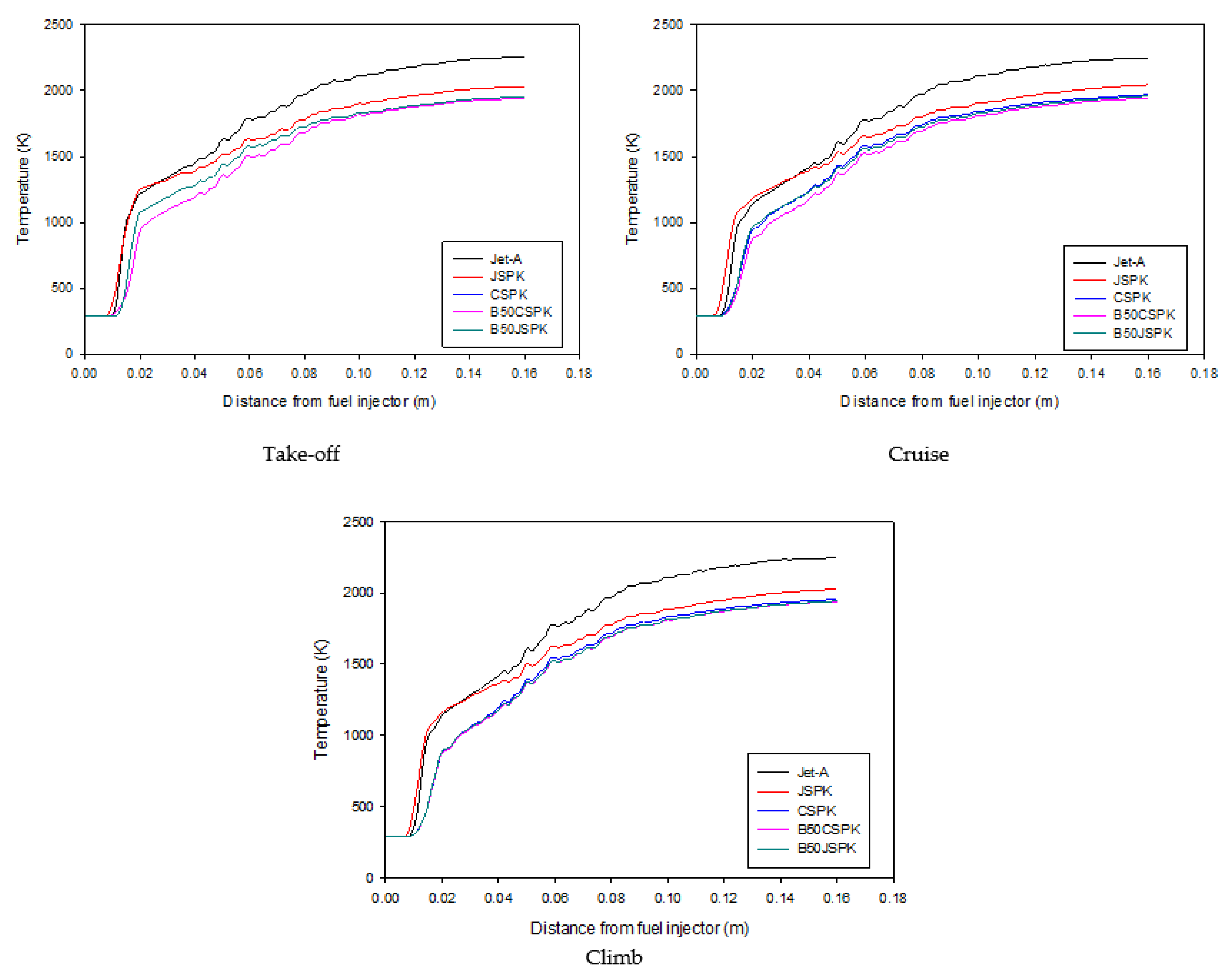
3.3.1. Comparison of d2 Law between Jet–A and Biofuels
3.3.2. Comparison of Penetration Length of Biofuels with Jet–A
4. Conclusions
Author Contributions
Funding
Institutional Review Board Statement
Informed Consent Statement
Data Availability Statement
Conflicts of Interest
References
- Dong, Q.; Chen, F.; Chen, Z. Airports and air pollutions: Empirical evidence from China. Transp. Policy 2020, 99, 385–395. [Google Scholar] [CrossRef]
- ICAO. The World of Air Transport. 2019. Available online: https://www.icao.int/annual-report-2019/Pages/the-world-of-air-transport-in-2019.aspx (accessed on 26 August 2021).
- Bhele, S.; Deshpande, N.; Thombre, S. Experimental Investigations on Combustion Characteristics of Jatropha biodiesel (JME) and its Diesel Blends for Tubular Combustor Application. J. Adv. Automob. Eng. 2016, 5, 2. [Google Scholar]
- Prussi, M.; O’Connell, A.; Lonza, L. Analysis of current aviation biofuel technical production potential in EU28. Biomass Bioenergy 2019, 130, 105371. [Google Scholar] [CrossRef]
- Zhang, P.; Su, X.; Yi, C.; Chen, H.; Xu, H.; Geng, L. Spray, atomization and combustion characteristics of oxygenated fuels in a constant volume bomb: A review. J. Traffic Transp. Eng. 2020, 7, 282–297. [Google Scholar] [CrossRef]
- Lim, J.; Razak, N.A.; Mazlan, N.M. An evaluation of alternative fuels’ spray penetration at various spray cone angles and injection pressures using a simple evaporation model. Biofuels 2019, 2019, 1–11. [Google Scholar] [CrossRef]
- Won, J.; Baek, S.W.; Kim, H. Autoignition and combustion behavior of emulsion droplet under elevated temperature and pressure conditions. Energy 2018, 163, 800–810. [Google Scholar] [CrossRef]
- Tucki, K.; Mruk, R.; Orynycz, O.; Gola, A. The effects of pressure and temperature on the process of auto-ignition and combustion of rape oil and its mixtures. Sustainability 2019, 11, 3451. [Google Scholar] [CrossRef] [Green Version]
- Shameer, P.M.; Ramesh, K. Assessment on the consequences of injection timing and injection pressure on combustion characteristics of sustainable biodiesel fuelled engine. Renew. Sustain. Energy Rev. 2018, 81, 45–61. [Google Scholar] [CrossRef]
- Ganji, P.R.; Raju, V.R.K.; Rao, S.S. Effect of Fuel Injection Pressure and Spray Cone Angle in DI Diesel Engine Using CONVERGETM CFD Code. Procedia Eng. 2015, 127, 295–300. [Google Scholar] [CrossRef] [Green Version]
- Zhu, L.; Luo, F.; Qi, Y.-Y.; Wei, M.; Ge, J.-R.; Liu, W.-L.; Li, G.-L.; Jen, T.C. Effects of spray angle variation on mixing in a cold supersonic combustor with kerosene fuel. Acta Astronaut. 2018, 144, 1–11. [Google Scholar] [CrossRef]
- Allouis, C.; Amoresano, A.; Capasso, R.; Langella, G.; Niola, V.; Quaremba, G. The impact of biofuel properties on emissions and performances of a micro gas turbine using combustion vibrations detection. Fuel Process. Technol. 2018, 179, 10–16. [Google Scholar] [CrossRef]
- Kannaiyan, K.; Sadr, R. Experimental investigation of spray characteristics of alternative aviation fuels. Energy Convers. Manag. 2014, 88, 1060–1069. [Google Scholar] [CrossRef]
- Varatharajan, K.; Cheralathan, M. Influence of fuel properties and composition on NOx emissions from biodiesel powered diesel engines: A review. Renew. Sustain. Energy Rev. 2012, 16, 3702–3710. [Google Scholar] [CrossRef]
- Shin, J.; Kim, D.; Seo, J.; Park, S. Effects of the physical properties of fuel on spray characteristics from a gas turbine nozzle. Energy 2020, 205, 118090. [Google Scholar] [CrossRef]
- Zhou, L.; Liu, Z.-W.; Wang, Z.-X. Numerical study of influence of biofuels on the combustion characteristics and performance of aircraft engine system. Appl. Therm. Eng. 2015, 91, 399–407. [Google Scholar] [CrossRef]
- Mazlan, N.M.; Savill, M.; Kipouros, T. Computational evaluation and exploration of combustion performance for liquid jet fuels derived from biomass. In Proceedings of the 3rd CEAS Air & Space Conference, San Giorgio Maggiore Island, Venice, Italy, 24−28 October 2011. [Google Scholar]
- Azami, M.H.; Savill, M. Modelling of spray evaporation and penetration for alternative fuels. Fuel 2016, 180, 514–520. [Google Scholar] [CrossRef] [Green Version]
- Rubie, J.S.; Li, Y.G.; Jackson, A.J.B. Performance Simulation and Analysis of a Gas Turbine Engine Using Drop-In Bio-Fuels. In Turbo Expo: Power for Land, Sea, and Air; American Society of Mechanical Engineers: New York, NY, USA, 2018; Volume 51043, p. V003T06A005. [Google Scholar]
- Yilmaz, N.; Atmanli, A. Sustainable alternative fuels in aviation. Energy 2017, 140, 1378–1386. [Google Scholar] [CrossRef]
- Mazlan, N.M.; Savill, M.; Kipouros, T. Evaluating NOx and CO emissions of bio-SPK fuel using a simplified engine combustion model: A preliminary study towards sustainable environment. Proc. Inst. Mech. Eng. Part G J. Aerosp. Eng. 2017, 231, 859–865. [Google Scholar] [CrossRef]
- Mazlan, N.M.; Savill, M.; Kipouros, T. Effects of biofuels properties on aircraft engine performance. Aircr. Eng. Aerosp. Technol. Int. J. 2015, 87, 437–442. [Google Scholar] [CrossRef] [Green Version]
- Sivakumar, D.; Vankeswaram, S.K.; Sakthikumar, R.; Raghunandan, B.N.; Hu, J.T.C.; Sinha, A.K. An experimental study on jatropha-derived alternative aviation fuel sprays from simplex swirl atomizer. Fuel 2016, 179, 36–44. [Google Scholar] [CrossRef]
- Hashimoto, N.; Nishida, H.; Ozawa, Y. Fundamental combustion characteristics of Jatropha oil as alternative fuel for gas turbines. Fuel 2014, 126, 194–201. [Google Scholar] [CrossRef]
- Mark, C.P.; Selwyn, A. Design and analysis of annular combustion chamber of a low bypass turbofan engine in a jet trainer aircraft. Propuls. Power Res. 2016, 5, 97–107. [Google Scholar] [CrossRef] [Green Version]
- Kinder, J.; Rahmes, T. Evaluation of Bio-Derived Synthetic Paraffinic Kerosene (Bio-SPK). The Boeing Company Sustainable Biofuels Research & Technology Program. 2009. 16 p.–[Електрoнний ресурс]. Режим дoступу. Available online: http://www.safug.org/assets/docs/biofuel-testing-summary.pdf (accessed on 26 August 2021).
- Mazlan, N.M.; Savill, M.; Kipouros, T.; Li, Y.-G. A numerical study into the effects of bio-synthetic paraffinic kerosine blends with jet-A fuel for civil aircraft engine. In Proceedings of the ASME Turbo Expo 2012: Turbine Technical Conference and Exposition, Copenhagen, Denmark, 11–15 June 2012; American Society of Mechanical Engineers: New York, NY, USA, 2012; pp. 165–173. [Google Scholar]
- Li, R.; Guo, Y.; Nguang, S.K.; Chen, Y. Takagi-Sugeno fuzzy model identification for turbofan aero-engines with guaranteed stability. Chin. J. Aeronaut. 2018, 31, 1206–1214. [Google Scholar] [CrossRef]
- Gaspar, R.M.P.; Sousa, J.M.M. Impact of alternative fuels on the operational and environmental performance of a small turbofan engine. Energy Convers. Manag. 2016, 130, 81–90. [Google Scholar] [CrossRef]
- Peric, M.; Ferguson, S. The Advantage of Polyhedral Meshes. p. 2. Available online: https://www.semanticscholar.org/paper/The-advantage-of-polyhedral-meshes-Peri%C4%87-Ferguson/51ae90047ab44f53849196878bfec4232b291d1c (accessed on 1 July 2021).
- Mattingly, J.D. Elements of Propulsion: Gas Turbines and Rockets; American Institute of Aeronautics and Astronautics: Reston, VA, USA, 2006. [Google Scholar]
- Chin, J.; Lefebvre, A. The role of the heat-up period in fuel drop evaporation. Int. J. Turbo Jet Engines 1985, 2, 315–326. [Google Scholar] [CrossRef]
- Vajda, B.; Lešnik, L.; Bombek, G.; Biluš, I.; Žunič, Z.; Škerget, L.; Hočevar, M.; Širok, B.; Kegl, B. The numerical simulation of biofuels spray. Fuel 2015, 144, 71–79. [Google Scholar] [CrossRef]
- Gogos, G.; Soh, S.; Pope, D.N. Effects of gravity and ambient pressure on liquid fuel droplet evaporation. Int. J. Heat Mass Transf. 2003, 46, 283–296. [Google Scholar] [CrossRef]
- Guo, Z.; Jin, Y.; Zhang, K.; Yao, K.; Wang, Y.; Wu, D.; He, X.; Zheng, M. Effect of Low Ambient Pressure on Spray Cone Angle of Pressure Swirl Atomizer. Int. J. Aerosp. Eng. 2021, 2021, 5539231. [Google Scholar] [CrossRef]
- Mei, S.S.; Mazlan, N.M. Evaluation of Combustion Characteristics on Simple Cylindrical Combustion Chamber for Different Operating Conditions and Alternative Fuels. In Proceedings of International Conference of Aerospace and Mechanical Engineering; Springer: Singapore, 2019; pp. 317–327. [Google Scholar]









| Fuels Properties | Jet–A (Baseline Fuel) | JSPK | CSPK | B50JSPK | B50CSPK | 
|---|---|---|---|---|---|
| % C (approx.) | 85.8 | 85.4 | 85.4 | ||
| % H (approx.) | 14.2 | 15.1 | 15.5 | ||
| % N (approx.) | n/a | <0.10 | <0.10 | ||
| C/H | 5.2 | 5.7 | 5.5 | ||
| Molecular formula (approx.) | C12H23 | C12H26 | C12H25.4 | C12H24.5 | C12H24.2 | 
| Molecular weight (g/mol) | 167 | 170 | 169.4 | 168.5 | 168.2 | 
| Specific Heat, Cp (J/kg·K) | 2093 | 2132 | 2135 | 2113 | 2114 | 
| Density at 15 °C (kg/m3) | 775–840 | 749 | 753 | 762 | 764 | 
| Viscosity at −20 °C (mm2/s) | 8.0 | 3.663 | 3.336 | 5.832 | 5.668 | 
| Net heat of combustion (MJ/kg) | 42.8 | 44.3 | 44.0 | 43.55 | 43.4 | 
| Enthalpy of formation (kJ/mol) | −330.5 | −335.45 | |||
| Boiling Temperature (K) | 573.15 | 528.15 | 524.15 | 550.65 | 548.65 | 
| Flight Conditions | Altitude (m) | Mach Number | HPT Shaft Speed (%) | 
|---|---|---|---|
| Take-off | 0 | 0 | 105 | 
| TOC | 10,668 | 0.8 | 100 | 
| Cruise | 10,668 | 0.8 | 95 | 
| Parameter | Value | 
|---|---|
| Bypass pressure ratio (BPR) | 5.7 | 
| Fan pressure ratio | 1.7 | 
| HPC pressure ratio | 6.0 | 
| LPC pressure ratio | 2.0 | 
| Fan efficiency | 0.86 | 
| HPC efficiency | 0.88 | 
| LPC efficiency | 0.88 | 
| CC efficiency | 0.995 | 
| HPT efficiency | 0.89 | 
| LPT efficiency | 0.87 | 
| Mesh Type | Element Number | Maximum Temperature | Computational Time | % Difference Wrt MarkandSelwyn [25] | 
|---|---|---|---|---|
| Coarse | 365,521 | 2531.49 | 20 min, 36 s | 2.0 | 
| Medium | 3,577,388 | 2536.42 | 1 h 30 min | 1.8 | 
| Fine | 6,430,906 | 2561.95 | 7 h | 0.8 | 
| Fuels | One-Step Reaction Equation | 
|---|---|
| Jet–A | |
| JSPK | |
| CSPK | |
| 50JSPK | |
| 50CSPK | 
| Publisher’s Note: MDPI stays neutral with regard to jurisdictional claims in published maps and institutional affiliations. | 
© 2021 by the authors. Licensee MDPI, Basel, Switzerland. This article is an open access article distributed under the terms and conditions of the Creative Commons Attribution (CC BY) license (https://creativecommons.org/licenses/by/4.0/).
Share and Cite
Sing Mei, S.; Anjang Ab Rahman, A.; Abidin, M.S.Z.; Mazlan, N.M. d2 Law and Penetration Length of Jatropha and Camelina Bio-Synthetic Paraffinic Kerosene Spray Characteristics at Take-Off, Top of Climb and Cruise. Aerospace 2021, 8, 249. https://doi.org/10.3390/aerospace8090249
Sing Mei S, Anjang Ab Rahman A, Abidin MSZ, Mazlan NM. d2 Law and Penetration Length of Jatropha and Camelina Bio-Synthetic Paraffinic Kerosene Spray Characteristics at Take-Off, Top of Climb and Cruise. Aerospace. 2021; 8(9):249. https://doi.org/10.3390/aerospace8090249
Chicago/Turabian StyleSing Mei, Sim, Aslina Anjang Ab Rahman, Mohd Shukur Zainol Abidin, and Nurul Musfirah Mazlan. 2021. "d2 Law and Penetration Length of Jatropha and Camelina Bio-Synthetic Paraffinic Kerosene Spray Characteristics at Take-Off, Top of Climb and Cruise" Aerospace 8, no. 9: 249. https://doi.org/10.3390/aerospace8090249
APA StyleSing Mei, S., Anjang Ab Rahman, A., Abidin, M. S. Z., & Mazlan, N. M. (2021). d2 Law and Penetration Length of Jatropha and Camelina Bio-Synthetic Paraffinic Kerosene Spray Characteristics at Take-Off, Top of Climb and Cruise. Aerospace, 8(9), 249. https://doi.org/10.3390/aerospace8090249
 
         
                                                


 
       