Ascent Trajectory Optimization Using Second-Order Birkhoff Pseudospectral Methods
Abstract
1. Introduction
2. Problem Formulation
2.1. Ascent Dynamics
2.2. Ascent Trajectory Optimization Problem
3. Convex Transcription
3.1. Constraints Relaxation
3.2. Linearization
4. Discretization via Well-Conditioned Second-Order Birkhoff PS Method
4.1. Brief of the Second-Order Bikrhoff PS Method
4.2. Second-Order Birkhoff PS Transcription
4.3. Sparsity Analysis of Convex Programming Problem
5. Solution Strategy
- In the first iteration, taking no account of the aerodynamic drag, the simplified version of A-BPSC2 (or BPSC2, or DPCS1) with fixed final time is formulated based on the two guesses about the insertion time and the radius of the separation point of the vehicle as well as the known initial radius and the final radius ; then, by using a convex solver, we have a vacuum solution;
- Based on the vacuum solution provided by the above sub-procedure, the complete problem of A-BPSC2 (or BPSC2, or DPCS1) can be formulated, and then, the formal sequential convex iterative solving procedure begins until the iteration stopping criteria (26) are satisfied.
| Algorithm 1. SC Algorithm for ascent flight trajectory optimization |
Algorithm parameters setting:
|
Problem initialization:
|
Sub-procedure 1:
|
| Sub-procedure 2: Set ; While Formulate the complete problem along ; Solving the problem yields ; If Output the optimal solution ; Break; Else Let , and Continue; End If End While |
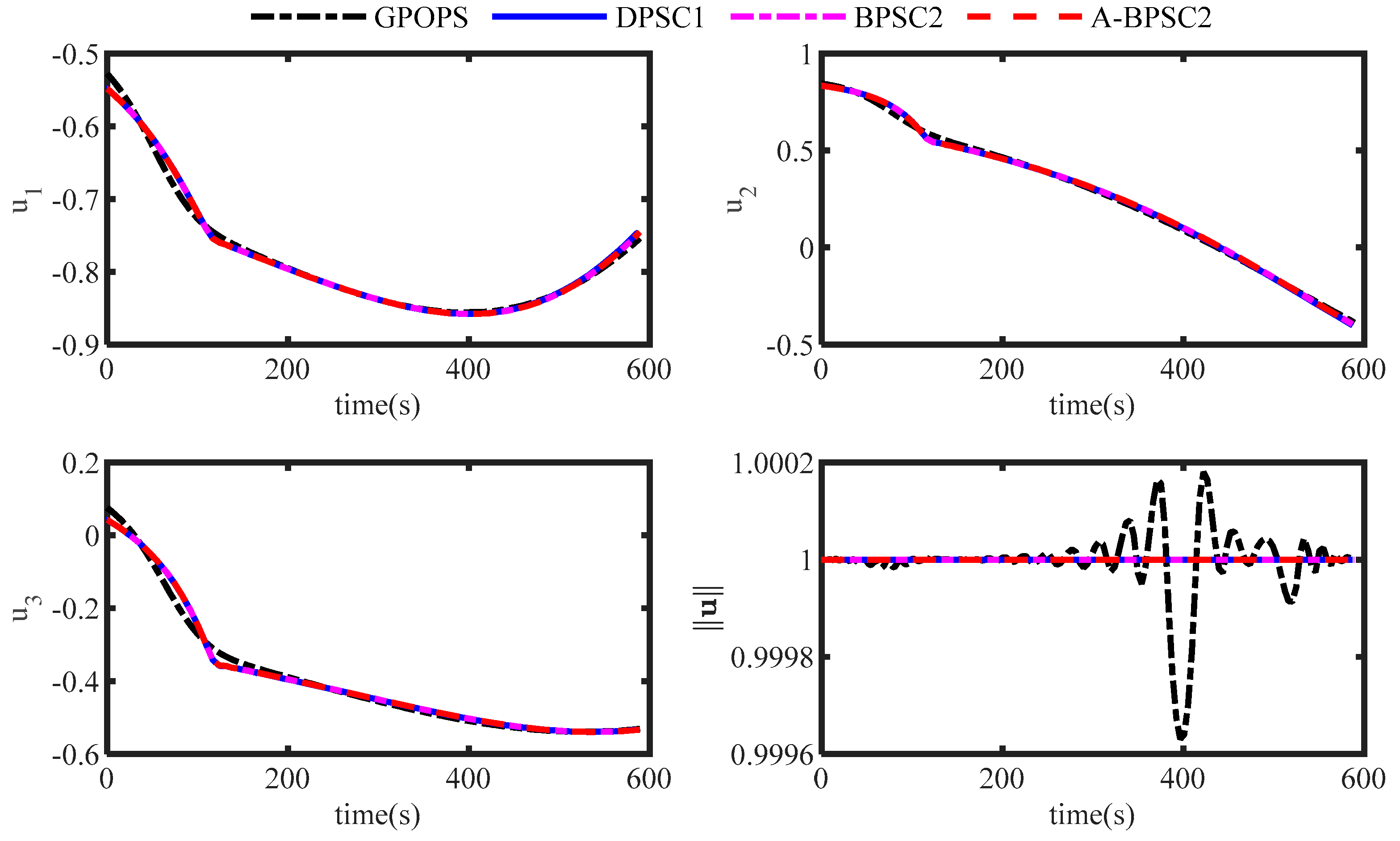
6. Numerical Results
7. Conclusions
Author Contributions
Funding
Data Availability Statement
Acknowledgments
Conflicts of Interest
References
- Lu, P.; Pan, B. Highly Constrained Optimal Launch Ascent Guidance. J. Guid. Control Dyn. 2010, 33, 404–504. [Google Scholar] [CrossRef]
- Benedikter, B.; Zavoli, A.; Colasurdo, G.; Pizzurro, S.; Cavallini, E. Convex Optimization of Launch Vehicle Ascent Trajectory with Heat-Flux and Splash-Down Constraints. J. Spacecr. Rocket. 2022, 59, 900–915. [Google Scholar] [CrossRef]
- Lu, P.; Griffin, B.J. Rapid Optimal Multiburn Ascent Planning and Guidance. J. Guid. Control Dyn. 2008, 31, 9. [Google Scholar] [CrossRef]
- Lu, P. Closed-Loop Endoatmospheric Ascent Guidance. J. Guid. Control Dyn. 2003, 26, 283–294. [Google Scholar] [CrossRef]
- Song, E.-J.; Cho, S.; Roh, W.-R. A comparison of iterative explicit guidance algorithms for space launch vehicles. Adv. Space Res. 2015, 55, 463–476. [Google Scholar] [CrossRef]
- Bokanowsky, O.; Bourgeois, E.; Desilles, A. HJB approach for a multi-boost launcher trajectory optimization problem. IFAC-Pap. 2016, 49, 456–461. [Google Scholar]
- Zhao, J.; Li, S. Adaptive mesh refinement method for solving optimal control problems using interpolation error analysis and improved data compression. J. Frankl. Inst. 2020, 357, 1603–1627. [Google Scholar] [CrossRef]
- Trefethen, L.N. Approximation Theory and Approximation Practice; SIAM: Philadelphia, PA, USA, 2013. [Google Scholar]
- Ross, I.M.; Fahroo, F. Pseudospectral Knotting Methods for Solving Optimal Control Problems. J. Guid. Control Dyn. 2004, 27, 397–405. [Google Scholar] [CrossRef]
- Huntington, G.T. Advancement and Analysis of a Gauss Pseudospectral Transcription for Optimal Control Problems. Ph.D. Thesis, Massachusetts Institute of Technology, Cambridge, MA, USA, 2007. [Google Scholar]
- Wächter, A.; Biegler, L.T. On the Implementation of a Primal-Dual Interior Point Filter Line Search Algorithm for Large-Scale Nonlinear Programming. Math. Program. 2006, 106, 25–57. [Google Scholar] [CrossRef]
- Gill, P.E.; Murray, W.; Saunders, M.A. User’s Guide for SNOPT Version 7: Software for Large-Scale Nonlinear Programming; University of California: San Diego, CA, USA, 2008. [Google Scholar]
- Blackmore, L.; Açikmeşe, B.; Scharf, D.P. Minimum-Landing-Error Powered-Descent Guidance for Mars Landing Using Convex Optimization. J. Guid. Control Dyn. 2010, 33, 1161–1171. [Google Scholar] [CrossRef]
- Cheng, X.; Li, H.; Zhang, R. Efficient ascent trajectory optimization using convex models based on the Newton–Kantorovich/Pseudospectral approach. Aerosp. Sci. Technol. 2017, 66, 140–151. [Google Scholar] [CrossRef]
- Hu, C.; Bai, X.; Zhang, S.; Yang, H. Successive Convexification for Online Ascent Trajectory Optimization. IEEE Access 2021, 9, 141843–141860. [Google Scholar] [CrossRef]
- Lu, P.; Liu, X.; Yang, R.; Zhang, Z. Ascent Trajectory Optimization with Nonlinearity-Kept Convexification. IEEE Trans. Aerosp. Electron. Syst. 2023, 59, 3236–3250. [Google Scholar] [CrossRef]
- Ma, Y.; Pan, B.; Yan, R. Feasible Sequential Convex Programming with Inexact Restoration for Multistage Ascent Trajectory Optimization. IEEE Trans. Aerosp. Electron. Syst. 2022, 59, 1217–1230. [Google Scholar] [CrossRef]
- Wang, Z. A survey on convex optimization for guidance and control of vehicular systems. Annu. Rev. Control 2024, 57, 100957. [Google Scholar] [CrossRef]
- Morelli, A.C.; Hofmann, C.; Topputo, F. Warm Start of Interior-Point Methods Applied to Sequential Convex Programming. IEEE Trans. Aerosp. Electron. Syst. 2024, 60, 3837–3846. [Google Scholar] [CrossRef]
- Adabag, E.; Atal, M.; Gerard, W.; Plancher, B. MPCGPU: Real-Time Nonlinear Model Predictive Control through Preconditioned Conjugate Gradient on the GPU. In Proceedings of the 2024 IEEE International Conference on Robotics and Automation (ICRA), Yokohama, Japan, 13–17 May 2024; pp. 9787–9794. [Google Scholar]
- Sagliano, M. Generalized hp Pseudospectral Convex Programming for Powered Descent and Landing. In Proceedings of the 2018 AIAA Guidance, Navigation, and Control Conference, Kissimmee, FL, USA, 8–12 January 2018. [Google Scholar]
- Zhang, T.; Su, H.; Gong, C. hp-Adaptive RPD based sequential convex programming for reentry trajectory optimization. Aerosp. Sci. Technol. 2022, 130, 107887. [Google Scholar] [CrossRef]
- Gao, D.; Gong, Y.; Li, C.; Guo, Y.; Fadda, E.; Brandimarte, P. Adaptive pseudospectral successive convex optimization for six-degree-of-freedom powered descent guidance. Aerosp. Sci. Technol. 2024, 155, 109544. [Google Scholar] [CrossRef]
- Li, D.; Li, Y.; Liu, X.; Yang, B.; Huang, X.; Yang, Y.; Wang, B.; Li, S. Pseudospectral Convex Programming for Free-Floating Space Manipulator Path Planning. Space Sci. Technol. 2023, 3, 30. [Google Scholar] [CrossRef]
- Ross, I.M.; Proulx, R.J. Further Results on Fast Birkhoff Pseudospectral Optimal Control Programming. J. Guid. Control Dyn. 2019, 42, 2086–2092. [Google Scholar] [CrossRef]
- Ma, Y.; Pan, B.; Hao, C.; Tang, S. Improved sequential convex programming using modified Chebyshev–Picard iteration for ascent trajectory optimization. Aerosp. Sci. Technol. 2022, 120, 107234. [Google Scholar] [CrossRef]
- Zhao, D.; Zhang, Z.; Gui, M. Birkhoff Pseudospectral Method and Convex Programming for Trajectory Optimization. In Autonomous Trajectory Planning and Guidance Control for Launch Vehicles; Song, Z., Zhao, D., Theil, S., Eds.; Springer Nature: Singapore, 2023; pp. 99–127. [Google Scholar]
- Zhang, Z.; Zhao, D.; Li, X.; Kong, C.; Su, M. Convex Optimization for Rendezvous and Proximity Operation via Birkhoff Pseudospectral Method. Aerospace 2022, 2022, 505. [Google Scholar] [CrossRef]
- Shahmirzaee Jeshvaghani, S.; Novinzaddeh, A.B.; Pazooki, F. Multiple stage satellite launch vehicle ascent optimization using Chebyshev wavelets. Aerosp. Sci. Technol. 2015, 46, 321–330. [Google Scholar] [CrossRef]
- Benson, D. A Gauss Pseudospectral Transcription for Optimal Control. Ph.D. Thesis, Massachusetts Institute of Technology, Cambridge, MA, USA, 2005. [Google Scholar]
- Chobotov, V.A. (Ed.) Orbital Mechanics; AIAA, Inc.: Reston, VA, USA, 2002. [Google Scholar]
- Liu, X.; Shen, Z.; Lu, P. Exact Convex Relaxation for Optimal Flight of Aerodynamically Controlled Missiles. IEEE Trans. Aerosp. Electron. Syst. 2016, 52, 1181–1192. [Google Scholar] [CrossRef]
- Zhao, D.-J.; Song, Z.-Y. Reentry trajectory optimization with waypoint and no-fly zone constraints using multiphase convex programming. ACTA Astronaut. 2017, 137, 60–69. [Google Scholar] [CrossRef]
- Benedikter, B.; Zavoli, A.; Colasurdo, G. A Convex Optimization Approach for Finite-Thrust Time-Constrained Cooperative Rendezvous. Adv. Astronaut. Sci. 2019, 171, 1483–1498. [Google Scholar]
- Gath, P.F. CAMTOS—A Software Suite Combining Direct and Indirect Trajectory Optimization Methods; Institute of Flight Mechanics and Flight Control, University of Stuttgart: Stuttgart, Germany, 2002. [Google Scholar]
- Liu, X.; Lu, P. Solving Nonconvex Optimal Control Problems by Convex Optimization. J. Guid. Control Dyn. 2014, 37, 750–765. [Google Scholar] [CrossRef]
- Wang, L.-L.; Samson, M.D.; Zhao, X. A Well-Conditioned Collocation Method Using a Pseudospectral Integration Matrix. SIAM J. Sci. Comput. 2014, 36, A907–A929. [Google Scholar] [CrossRef]
- Löfberg, J. YALMIP: A Toolbox for Modeling and Optimization in MATLAB2004. In Proceedings of the CACSD Conference, Taipei, Taiwan, 2–4 September 2004. [Google Scholar]
- Domahidi, A.; Chu, E.; Boyd, S. ECOS: An SOCP Solver for Embedded Systems. In Proceedings of the European Control Conference, Zurich, Switzerland, 17–19 July 2013. [Google Scholar]
- Domahidi, A. Methods and Tools for Embedded Optimization and Control; ETH Zurich: Zürich, Switzerland, 2013. [Google Scholar]
- Patterson, M.A.; Rao, A.V. GPOPS—II: A MATLAB Software for Solving Multiple-Phase Optimal Control Problems Using hp-Adaptive Gaussian Quadrature Collocation Methods and Sparse Nonlinear Programming. ACM Trans. Math. Softw. 2014, 41, 1–37. [Google Scholar] [CrossRef]









| Quantity | Stage 1 | Stage 2 | Unit | ![]() |
| Initial mass | 575,637 | 111,181 | kg | |
| Thrust | 7195 | 720 | kN | |
| Mass flow rate | 2447 | 215 | kg/s | |
| Reference area | 12.5 | 12.5 | ||
| Drag coefficient | 0.5 | 0.5 | / | |
| Max heat flux | 4.0 × 107 | / | W/ |
| Methods | Iterations | Solving Time(s) | Condition of | Sparsity Ratio of | ||
|---|---|---|---|---|---|---|
| DPSC1 | 20 | 8 | 0.3215 | 587.1776 | 3.1092 × 105 | 1.04% |
| 31 | 8 | 0.5203 | 587.1265 | 3.5520 × 105 | 1.00% | |
| 61 | 8 | 1.3297 | 587.1551 | 1.0888 × 106 | 0.75% | |
| 91 | 8 | 8.8953 | 587.1466 | 2.6153 × 107 | 0.43% | |
| BPSC2 | 20 | 8 | 0.5341 | 588.9779 | 1.3843 × 104 | 14.46% |
| 31 | 8 | 0.6142 | 588.9623 | 1.3804 × 104 | 14.68% | |
| 61 | 8 | 2.5494 | 588.9700 | 1.3590 × 104 | 16.27% | |
| 91 | 8 | 38.6264 | 588.9677 | 1.4905 × 104 | 18.41% | |
| A-BPCS2 | 20 | 8 | 0.2605 | 588.9779 | 8.1242 × 103 | 0.80% |
| 31 | 8 | 0.2445 | 588.9623 | 8.2634 × 103 | 0.77% | |
| 61 | 8 | 0.6263 | 588.9700 | 9.5622 × 103 | 0.58% | |
| 91 | 8 | 4.3581 | 588.9677 | 1.2722 × 104 | 0.33% | |
| GPOPS | 20 | / | 6.1670 | 589.1500 | / |
Disclaimer/Publisher’s Note: The statements, opinions and data contained in all publications are solely those of the individual author(s) and contributor(s) and not of MDPI and/or the editor(s). MDPI and/or the editor(s) disclaim responsibility for any injury to people or property resulting from any ideas, methods, instructions or products referred to in the content. |
© 2025 by the authors. Licensee MDPI, Basel, Switzerland. This article is an open access article distributed under the terms and conditions of the Creative Commons Attribution (CC BY) license (https://creativecommons.org/licenses/by/4.0/).
Share and Cite
Xue, X.; Xie, Y.; Zhou, H.; Gong, Q.; Zhao, D. Ascent Trajectory Optimization Using Second-Order Birkhoff Pseudospectral Methods. Aerospace 2025, 12, 141. https://doi.org/10.3390/aerospace12020141
Xue X, Xie Y, Zhou H, Gong Q, Zhao D. Ascent Trajectory Optimization Using Second-Order Birkhoff Pseudospectral Methods. Aerospace. 2025; 12(2):141. https://doi.org/10.3390/aerospace12020141
Chicago/Turabian StyleXue, Xiaopeng, Yujia Xie, Hui Zhou, Qinghai Gong, and Dangjun Zhao. 2025. "Ascent Trajectory Optimization Using Second-Order Birkhoff Pseudospectral Methods" Aerospace 12, no. 2: 141. https://doi.org/10.3390/aerospace12020141
APA StyleXue, X., Xie, Y., Zhou, H., Gong, Q., & Zhao, D. (2025). Ascent Trajectory Optimization Using Second-Order Birkhoff Pseudospectral Methods. Aerospace, 12(2), 141. https://doi.org/10.3390/aerospace12020141


