Comparative Analysis of Flame Propagation and Flammability Limits of CH4/H2/Air Mixture with or without Nanosecond Plasma Discharges
Abstract
1. Introduction
2. Numerical Procedure and Kinetic Modelling
2.1. Numerical Procedure
2.2. Plasma Kinetic Model
2.3. Combustion Kinetic Model
3. Validation of Kinetic Models
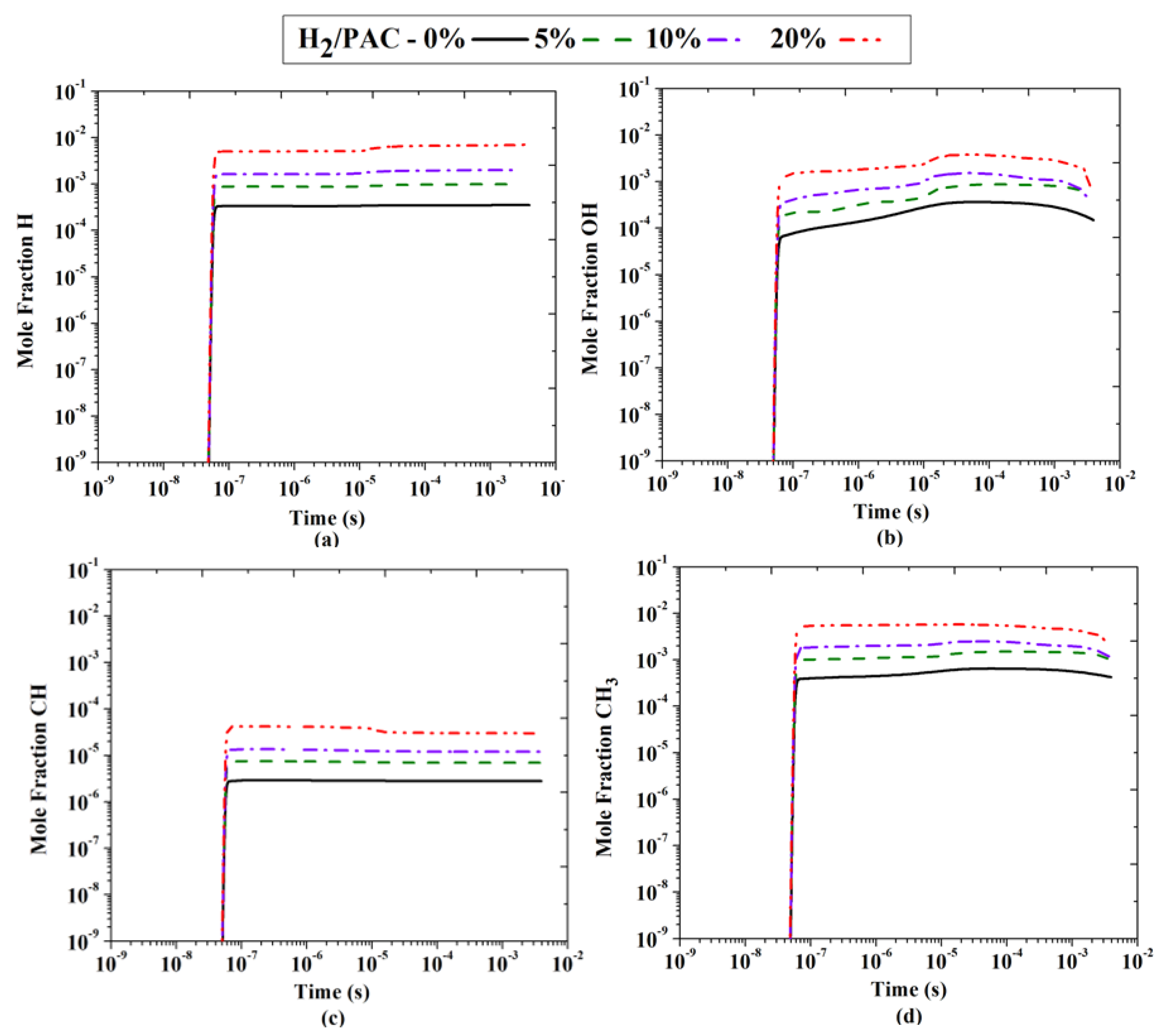
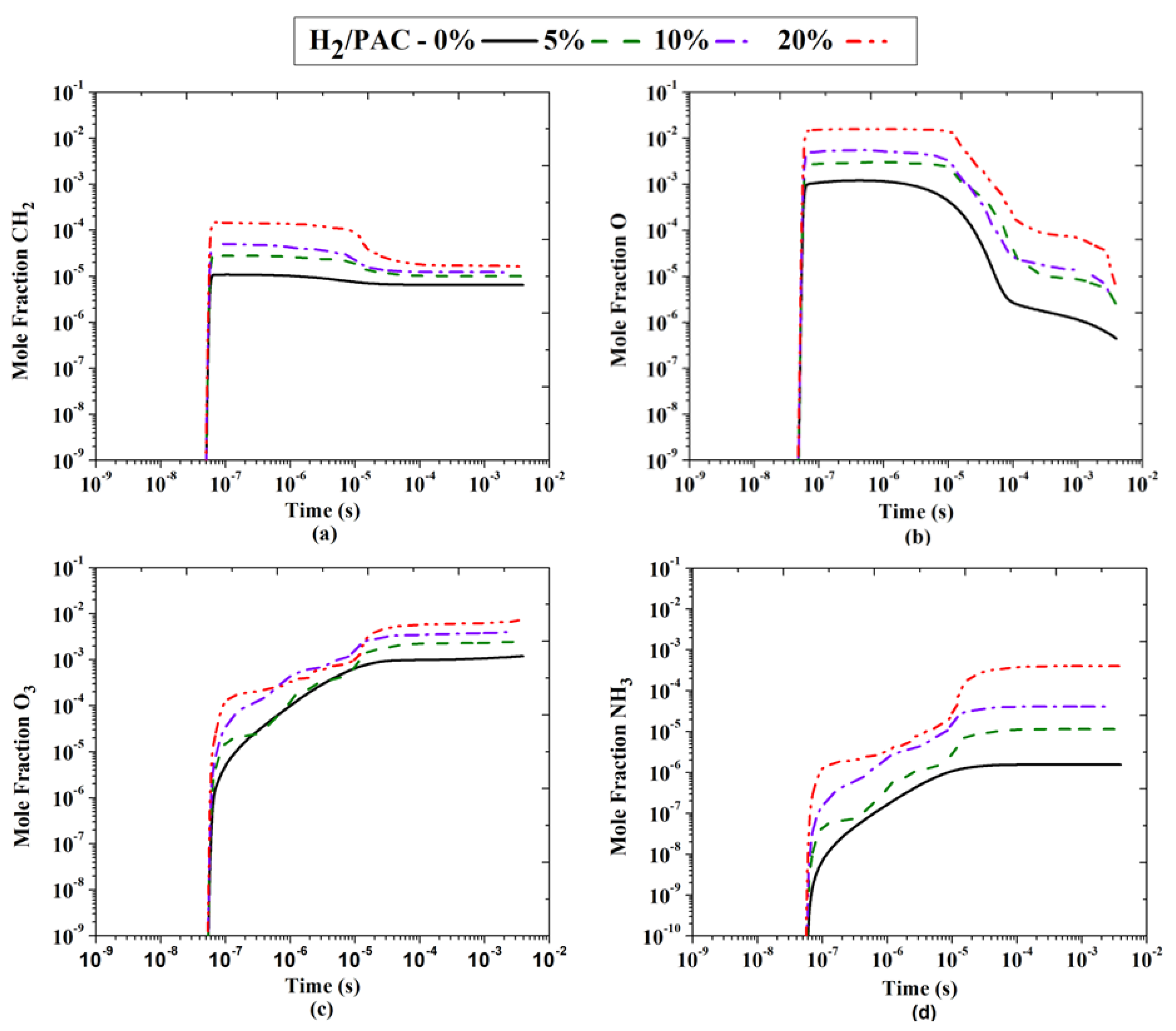
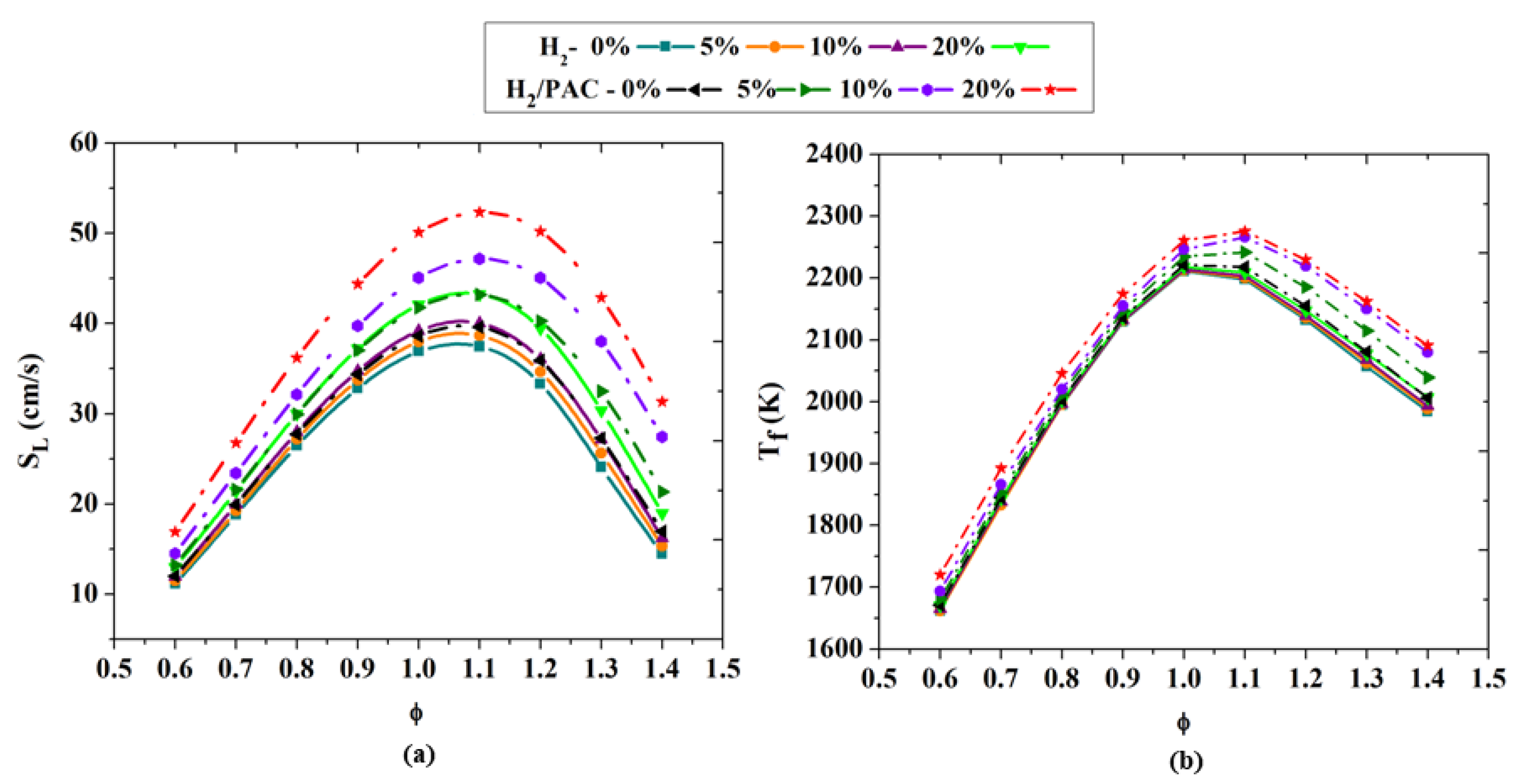
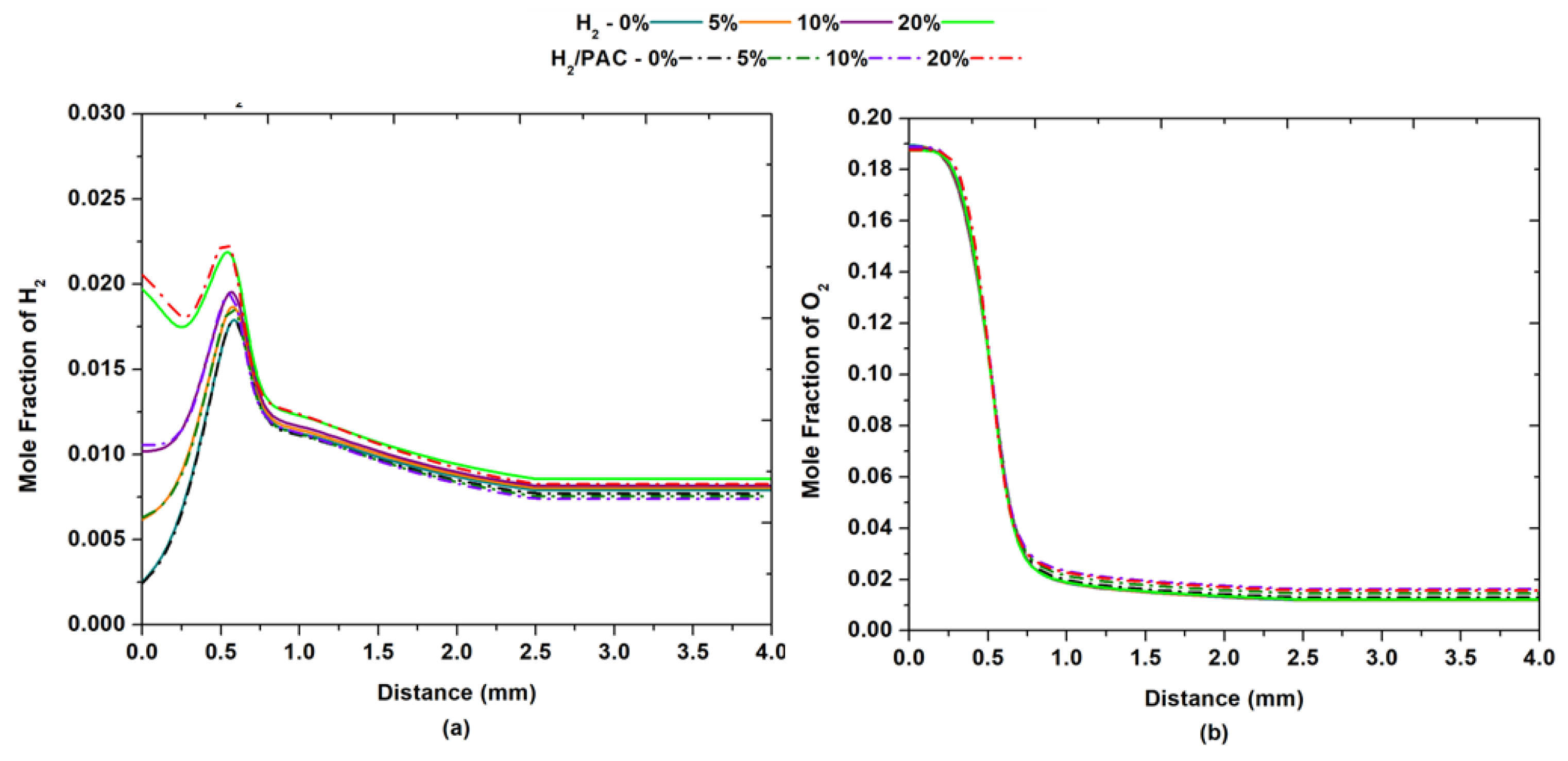
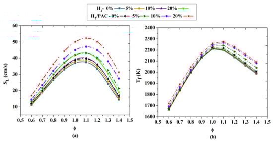
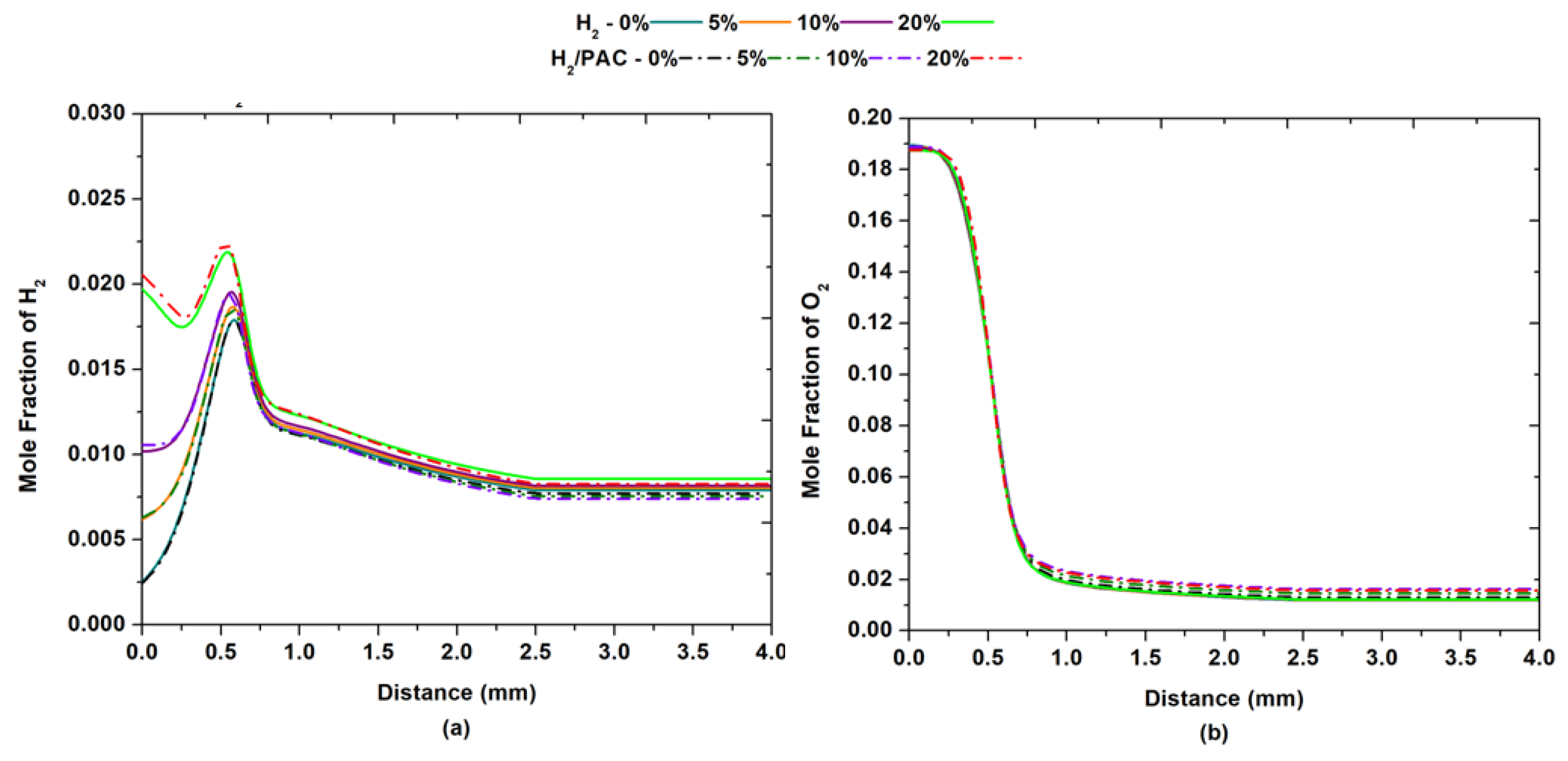
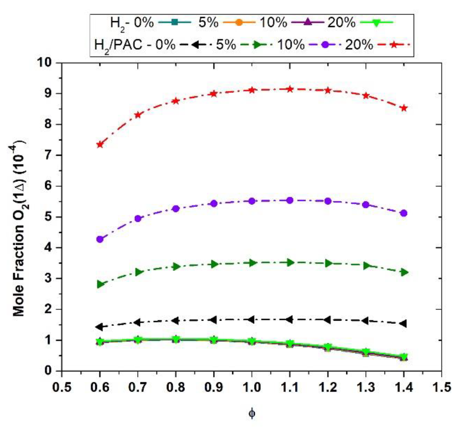
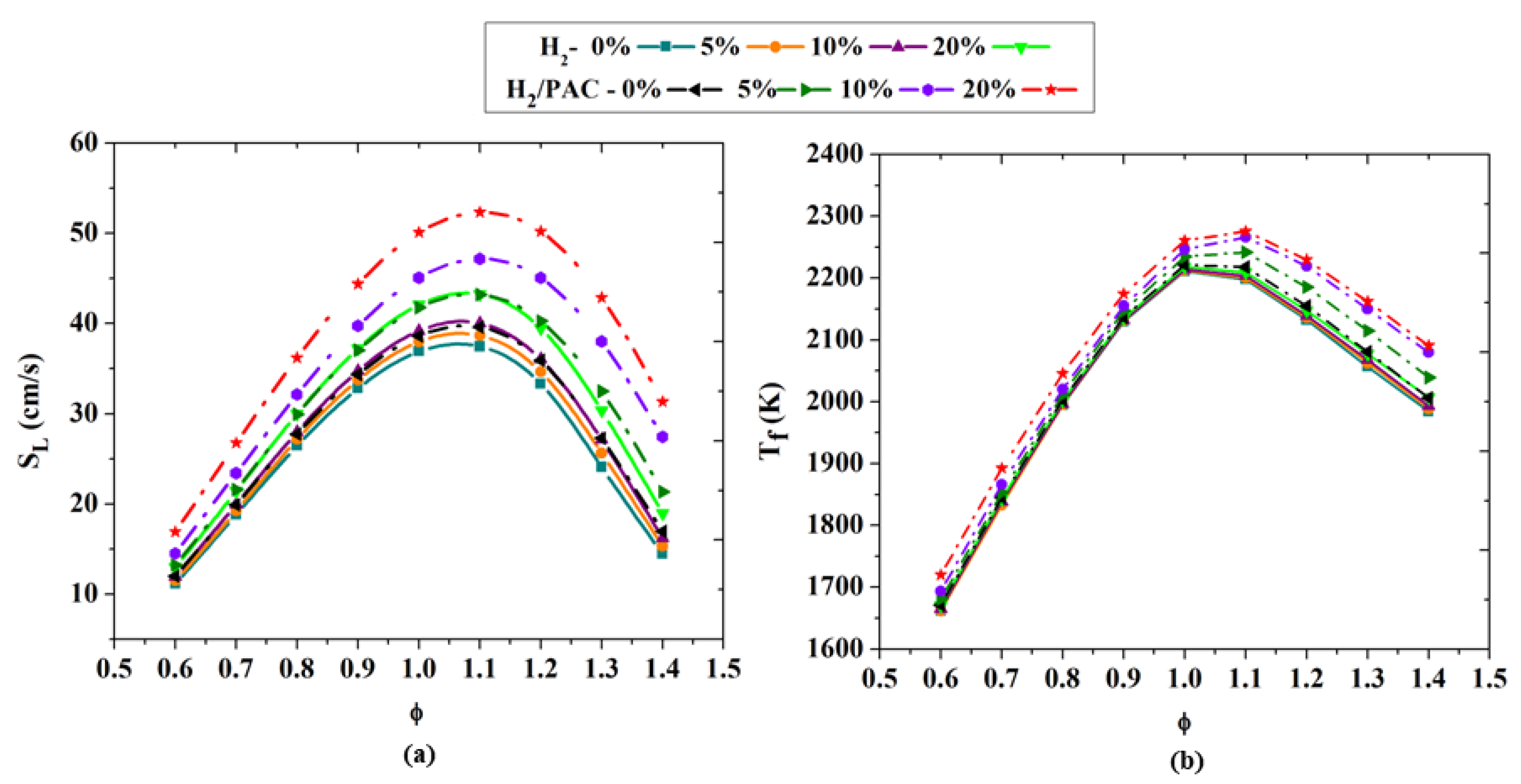
4. Results and Discussions
5. Conclusions
Author Contributions
Funding

Conflicts of Interest
References
- Ju, Y.; Sun, W. Plasma Assisted Combustion: Dynamics and Chemistry. Prog. Energy Combust. Sci. 2015, 48, 21–83. [Google Scholar] [CrossRef]
- Mehdi, G.; Bonuso, S.; De Giorgi, M.G. Plasma Assisted Re-Ignition of Aeroengines under High Altitude Conditions. Aerospace 2022, 9, 66. [Google Scholar] [CrossRef]
- Jackson, G.S.; Sai, R.; Plaia, J.M.; Boggs, C.M.; Kiger, K.T. Influence of H2 on the response of lean premixed CH4 flames to high strained flows. Combust. Flame 2003, 132, 503–511. [Google Scholar] [CrossRef]
- Hawkes, E.R.; Chen, J.H. Direct Numerical Simulation of Hydrogen-Enriched Lean Premixed Methane— Air Flames. Combust. Flame 2004, 138, 242–258. [Google Scholar] [CrossRef]
- Halter, F.; Chauveau, C.; Djebaili-Chaumeix, N.; Gokalp, I. Characterization of the effects of pressure and hydrogen concentration on laminar burning velocities of methane–hydrogen–air mixtures. Proc. Combust. Inst. 2005, 30, 201–208. [Google Scholar] [CrossRef]
- Mandilas, C.; Ormsby, M.P.; Sheppard, C.G.W.; Woolley, R. Effects of hydrogen addition on laminar and turbulent premixed methane and iso-octane–air flames. Proc. Combust. Inst. 2007, 31, 1443–1450. [Google Scholar] [CrossRef]
- De Giorgi, M.G.; Bonuso, S.; Mehdi, G.; Shamma, M.; Harth, S.R.; Zarzalis, N.; Trimis, D. Enhancement of Blowout Limits in Lifted Swirled Flames in Methane-Air Combustor by the Use of Sinusoidally Driven Plasma Discharges. In Proceedings of the Active Flow and Combustion Control 2021: Papers Contributed to the Conference “Active Flow and Combustion Control 2021”, Berlin, Germany, 28–29 September 2021; King, R., Peitsch, D., Eds.; Springer: Cham, Switzerland, 2022; pp. 66–82. [Google Scholar] [CrossRef]
- Meng, Y.; Gu, H.; Chen, F. Influence of Plasma on the Combustion Mode in a Scramjet. Aerospace 2022, 9, 73. [Google Scholar] [CrossRef]
- De Giorgi, M.G.; Mehdi, G.; Bonuso, S.; Shamma, M.; Harth, S.; Trimis, D.; Zarzalis, N. Characterization of Flame Behavior and Blowout Limits at Different Air Preheating Temperatures in Plasma Assisted Stabilized Combustor. In Proceedings of the Turbo Expo: Power for Land, Sea, and Air, Rotterdam, The Netherlands, 13–17 June 2022; American Society of Mechanical Engineers: New York, NY, USA, 2022; 86007, p. V03BT04A048. [Google Scholar] [CrossRef]
- Mehdi, G.; Bonuso, S.; De Giorgi, M.G. Development of plasma actuators for re-ignition of aeroengine under high altitude conditions. In IOP Conference Series: Materials Science and Engineering; IOP Publishing: Bristol, UK, 2022; Volume 1226, p. 012034. [Google Scholar]
- Ju, Y.; Lefkowitz, J.K.; Reuter, C.B.; Won, S.H.; Yang, X.; Yang, S.; Sun, W.; Jiang, Z.; Chen, Q. Plasma Assisted Low Temperature Combustion. Plasma Chem. Plasma Process. 2016, 36, 85–105. [Google Scholar] [CrossRef]
- Mehdi, G.; Bonuso, S.; De Giorgi, M.G. Effects of Nanosecond Repetitively Pulsed Discharges Timing for Aeroengines Ignition at Low Temperature Conditions by Needle-Ring Plasma Actuator. Energies 2021, 14, 5814. [Google Scholar] [CrossRef]
- Mehdi, G.; Fontanarosa, D.; Bonuso, S.; De Giorgi, M.G. Ignition thresholds and flame propagation of methane-air mixture: Detailed kinetic study coupled with electrical measurements of the nanosecond repetitively pulsed plasma discharges. J. Phys. D Appl. Phys. 2022, 55, 315202. [Google Scholar] [CrossRef]
- Fontanarosa, D.; Mehdi, G.; De Giorgi, M.G.; Ficarella, A. Assessment of the impact of nanosecond plasma discharge on the combustion of methane air flames. E3S Web Conf. 2020, 197, 10001. [Google Scholar] [CrossRef]
- Mehdi, G.; De Giorgi, M.G.; Fontanarosa, D.; Bonuso, S.; Ficarella, A. Ozone Production With Plasma Discharge: Comparisons Between Activated Air and Activated Fuel/Air Mixture. In Proceedings of the ASME Turbo Expo 2021: Turbomachinery Technical Conference and Exposition, Virtual, 7–11 June 2021; American Society of Mechanical Engineers: New York, NY, USA, 2021; Volume 3B, p. V03BT04A036. [Google Scholar] [CrossRef]
- Starikovskiy, S.M. Topical review: Plasma-assisted ignition and combustion. J. Phys. D Appl. Phys. 2006, 39, 265–299. [Google Scholar] [CrossRef]
- Ruma, M.; Ahasan, H.; Ranipet, H.B. A Survey of Non-thermal plasma and their generation methods. Int. J. Renew. Energy Environ. Eng. 2016, 4, 6–12. [Google Scholar]
- Pancheshnyi, S.; Eismann, B.; Hagelaar, G.J.M.; Pitchford, L.C. ZDPlaskin Zero-Dimensional Plasma Kinetic Solver. 2008. Available online: http://www.zdplaskin.laplace.univ-tlse.fr/ (accessed on 8 September 2021).
- Lutz, A.E.; Kee, R.J.; Miller, J.A. SENKIN: A FOR- TRAN. In Program for Predicting Homogeneous Gas Phase Chemical Kinetics with Sensitivity Analysis; Report No. SAND87-8248; Sandia National Laboratories: Livermore, CA, USA, 1988. [Google Scholar]
- Aleksandrov, N.L.; Kindysheva, S.V.; Kukaev, E.N.; Starikovsjaya, S.M.; Starikovskii, A.Y. Simulation of the Ignition of a Methane-Air Mixture by a High-Voltage Nanosecond Discharge. Plasma Phys. Rep. 2009, 35, 867–882. [Google Scholar] [CrossRef]
- Capitelli, M.; Ferreira, C.M.; Gordiets, B.F.; Osipov, A.I. Plasma Kinetics in Atmospheric Gases; Springer: Berlin/Heidelberg, Germany, 2000. [Google Scholar]
- Flitti, A.; Pancheshnyi, S. Gas heating in fast pulsed discharges in N2–O2 mixtures. Eur. Phys. J. Appl. Phys. 2009, 45, 21001. [Google Scholar] [CrossRef]
- Mao, X.; Rousso, A.; Chen, Q.; Ju, Y. Numerical modeling of ignition enhancement of CH4 /O2 /He mixtures using a hybrid repetitive nanosecond and DC discharge. Proc. Combust. Inst. 2019, 37, 5545–5552. [Google Scholar] [CrossRef]
- Mao, X.; Chen, Q.; Guo, C. Methane pyrolysis with N2/Ar/He diluents in a repetitively pulsed nanosecond discharge: Kinetics development for plasma assisted combustion and fuel reforming. Energy Convers. Manag. 2019, 200, 112018. [Google Scholar] [CrossRef]
- Halter, F.; Higelin, P.; Dagaut, P. Experimental and detailed kinetic modelling study of the effect of ozone on the combustion of methane, Energy Fuels, 2011, 25 2909–16. Energy Fuels 2011, 25, 2909–2916. [Google Scholar] [CrossRef]
- Konnov, A.A. On the role of excited species in hydrogen combustion. Combust. Flame 2015, 162, 3755–3772. [Google Scholar] [CrossRef]
- Walsh, K.T. Quantitative Characterizations of Coflow Laminar Diffusion Flames in a Normal Gravity and Microgravity Environment. Ph.D. Thesis, Yale University, New Haven, CT, USA, 2000. [Google Scholar]
- Cámara, C.F.L.; Éplénier, G.; Tinajero, J.; Dunn-Rankin, D. Numerical Simulation of Methane/Air Flames Including Ions and Excited Species. Combust. Inst. Provo UT USA 2015. [Google Scholar]
- Uddi, M.; Jiang, N.; Mintusov, E.; Adamovich, I.V.; Lempert, W.R. Atomic oxy- gen measurements in air and air / fuel nano-second pulse discharges by two photon laser induced fluorescence. Proc. Combust. Inst. 2009, 32, 929–936. [Google Scholar] [CrossRef]
- Coppens, F.H.V.; De Ruyck, J.; Konnov, A.A. The effects of composition on burning velocity and nitric oxide formation in laminar premixed flames of CH4 + H2 + O2 + N2. Combust. Flame 2007, 149, 409–417. [Google Scholar] [CrossRef]
- Hermanns, R.T.E.; Kortendijk, J.A.; Bastiaans, R.J.M.; De Goey, L.P.H. Laminar burning velocities of methane-hydrogen-air mixtures. Submitt. Combust. Flame 2007. [Google Scholar] [CrossRef]
- Konnov, A.A. Detailed Reaction Mechanism for Small Hydrocarbons Combustion. 2022. Available online: http://homepages.vub.ac.be/~akonnov/ (accessed on 8 September 2021).
- Williams, F. San Diego Mechanism. 2010. Available online: http://maeweb.ucsd.edu/combustion/cermech/index.html (accessed on 8 September 2021).
- Kozlov, V.E.; Starik, A.M.; Titova, N.S. Enhancement of combustion of a hydrogen-air mixture by excitation of O2 molecules to the a 1Δgstate. Combust. Explos. Shock Waves 2008, 44, 371–379. [Google Scholar] [CrossRef]
- Law, C.K. Combustion Physics; Cambridge University Press: New York, NY, USA, 2006. [Google Scholar]
- Ying, Y.; Liu, D. Detailed influences of chemical effects of hydrogen as fuel additive on methane flame. Int. J. Hydrogen Energy 2015, 40, 3777–3788. [Google Scholar] [CrossRef]














| Case No. | H2 (%) | CH4 | H2 | O2 | N2 | Plasma (ON/OFF) |
|---|---|---|---|---|---|---|
| 1 | 0 | 0.0950 | / | 0.1900 | 0.7149 | OFF |
| 2 | 5 | 0.0935 | 0.0049 | 0.1894 | 0.7122 | OFF |
| 3 | 10 | 0.0917 | 0.0101 | 0.1885 | 0.7094 | OFF |
| 4 | 20 | 0.0879 | 0.0219 | 0.1869 | 0.7031 | OFF |
| 5 | 0 | 0.0950 | / | 0.1900 | 0.7149 | ON |
| 6 | 5 | 0.0935 | 0.0049 | 0.1894 | 0.7122 | ON |
| 7 | 10 | 0.0917 | 0.0101 | 0.1885 | 0.7094 | ON |
| 8 | 20 | 0.0879 | 0.0219 | 0.1869 | 0.7031 | ON |
Disclaimer/Publisher’s Note: The statements, opinions and data contained in all publications are solely those of the individual author(s) and contributor(s) and not of MDPI and/or the editor(s). MDPI and/or the editor(s) disclaim responsibility for any injury to people or property resulting from any ideas, methods, instructions or products referred to in the content. |
© 2023 by the authors. Licensee MDPI, Basel, Switzerland. This article is an open access article distributed under the terms and conditions of the Creative Commons Attribution (CC BY) license (https://creativecommons.org/licenses/by/4.0/).
Share and Cite
Mehdi, G.; De Giorgi, M.G.; Bonuso, S.; Shah, Z.A.; Cinieri, G.; Ficarella, A. Comparative Analysis of Flame Propagation and Flammability Limits of CH4/H2/Air Mixture with or without Nanosecond Plasma Discharges. Aerospace 2023, 10, 224. https://doi.org/10.3390/aerospace10030224
Mehdi G, De Giorgi MG, Bonuso S, Shah ZA, Cinieri G, Ficarella A. Comparative Analysis of Flame Propagation and Flammability Limits of CH4/H2/Air Mixture with or without Nanosecond Plasma Discharges. Aerospace. 2023; 10(3):224. https://doi.org/10.3390/aerospace10030224
Chicago/Turabian StyleMehdi, Ghazanfar, Maria Grazia De Giorgi, Sara Bonuso, Zubair Ali Shah, Giacomo Cinieri, and Antonio Ficarella. 2023. "Comparative Analysis of Flame Propagation and Flammability Limits of CH4/H2/Air Mixture with or without Nanosecond Plasma Discharges" Aerospace 10, no. 3: 224. https://doi.org/10.3390/aerospace10030224
APA StyleMehdi, G., De Giorgi, M. G., Bonuso, S., Shah, Z. A., Cinieri, G., & Ficarella, A. (2023). Comparative Analysis of Flame Propagation and Flammability Limits of CH4/H2/Air Mixture with or without Nanosecond Plasma Discharges. Aerospace, 10(3), 224. https://doi.org/10.3390/aerospace10030224

