The Influence of External Flow Field on the Flow Separation of Overexpanded Single-Expansion Ramp Nozzle
Abstract
:1. Introduction
2. Numerical Simulation Methods and Validation
3. Results and Discussion
3.1. Nozzle Design
3.2. Simplified Acceleration Process
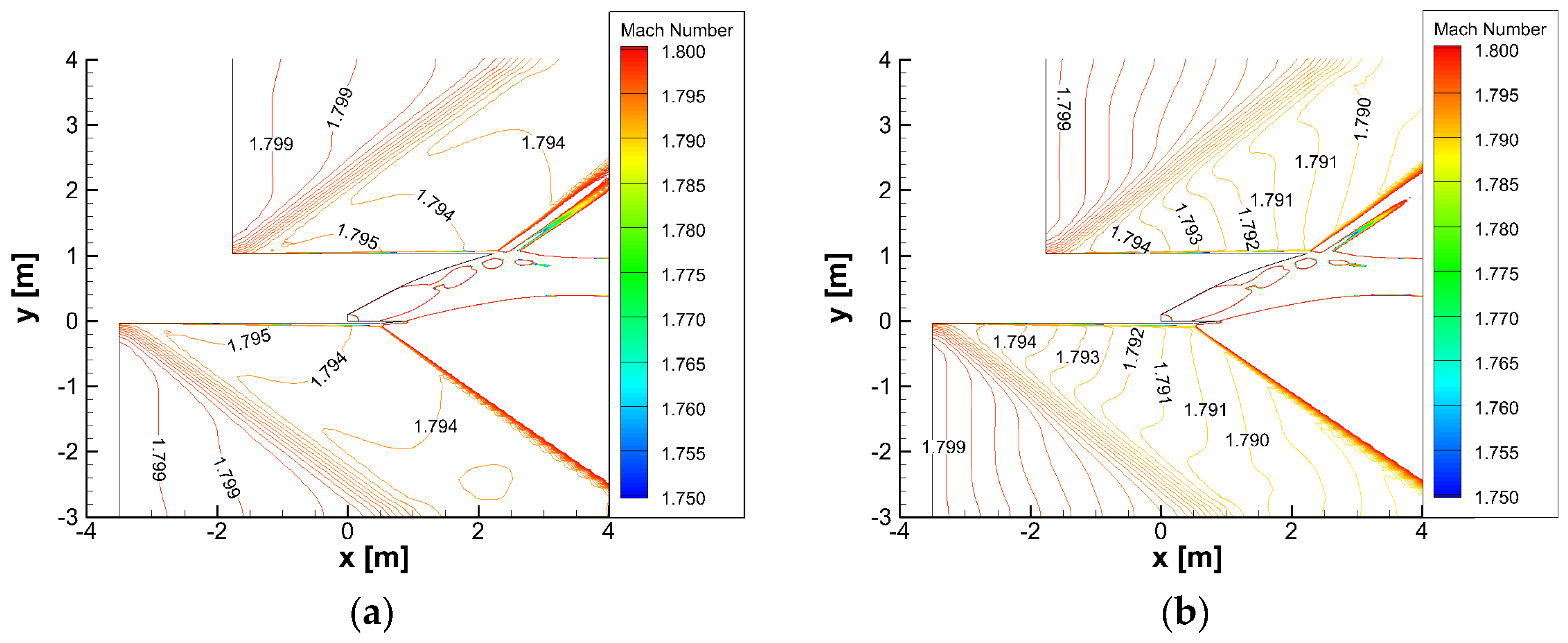
3.3. Effect of Acceleration
3.4. Real Take-off Acceleration Process
4. Conclusions
- (1)
- The external flow Mach number had a significant effect on the overexpansion flow field of the RBCC nozzle. With an increase in the external Mach number, sequential transitions of RSS (ramp) to FSS and FSS to no-flow separation pattern occurred.
- (2)
- The transition principle of the flow separation patterns in the real ascending path was similar to the case with external flow varying linearly, but the Mach number corresponding to the transition points was considerably different. The variation rate of the external Mach number affected the nozzle performance during the transition process.
- (3)
- The higher the variation rate of the external flow Mach number, the more obvious the airflow accumulation effect of the external flow field, which caused an increase in the static pressure at the outlet and a decrease in the real nozzle pressure ratio, delaying the transition of flow separation patterns.
Author Contributions
Funding
Data Availability Statement
Conflicts of Interest
Nomenclature
| SERN | Single-expansion ramp nozzle |
| RBCC | Rocket-based combined cycle |
| CFD | Computational fluid dynamics |
| RSS | Restricted shock separation |
| RSS (ramp) | Restricted shock separation with separation bubble forming on the ramp |
| RSS (flap) | Restricted shock separation with separation bubble forming on the flap |
| FSS | Free shock separation |
| SWBLI | Shock wave/boundary layer interaction |
| NPR | Nozzle pressure ratio |
| UDF | User-defined functions |
| At | Area of the nozzle throat |
| Ain | Area of the nozzle inlet |
| Aexit | Area of the nozzle exit |
| Pa | Ambient pressure |
| P* | Total pressure |
| ht | Height of the nozzle throat |
| Ma∞ | Mach number of freestream |
| Main | Mach number of nozzle inlet |
References
- Shi, L.; Yang, Y.; Yang, X.; Zhao, G.; Chen, F.; He, G. Start Limits and Positive Control of RBCC Inlet. J. Aerosp. Eng. 2022, 35, 04021128. [Google Scholar] [CrossRef]
- Wang, Y.; Zhang, Q.; Tang, Z.; Tian, Z.; Zheng, Y. Integrated Thermal Protection System Design for Hypersonic Vehicle Based on New Thermal–Mechanical Method. J. Aerosp. Eng. 2022, 35, 04021121. [Google Scholar] [CrossRef]
- Hiraiwa, T.; Ito, K.; Sato, S.; Ueda, S.; Tani, K.; Tomioka, S.; Kanda, T. Recent Progress in Scramjet/Combined Cycle Engines at JAXA, Kakuda Space Center. Acta Astronaut. 2008, 63, 565–574. [Google Scholar] [CrossRef]
- Gronland, T.; Berens, T. Nozzle/Afterbody Integration of Hypersonic Vehicles by Means of Secondary Air Injection. In Proceedings of the International Aerospace Planes and Hypersonics Technologies, Chattanooga, TN, USA, 3–7 April 1995; International Space Planes and Hypersonic Systems and Technologies Conferences. American Institute of Aeronautics and Astronautics: Reston, VA, USA, 1995. [Google Scholar]
- Traci, R.M.; Farr, J.L., Jr.; Laganelli, T.; Walker, J. A Thermal Management Systems Model for the NASA GTX RBCC Concept; NASA: Washington, DC, USA, 2002. [Google Scholar]
- Lee, J.; Krivanek, T. Design and Fabrication of the ISTAR Direct-Connect Combuster Experiment at the Hypersonic Tunnel Facility. In Proceedings of the 43rd AIAA Aerospace Sciences Meeting and Exhibit, Reno, NV, USA, 10–13 January 2005; American Institute of Aeronautics and Astronautics: Reston, VA, USA, 2005. [Google Scholar]
- Ju, S.; Yan, C.; Wang, X.; Qin, Y.; Ye, Z. Optimization Design of Energy Deposition on Single Expansion Ramp Nozzle. Acta Astronaut. 2017, 140, 351–361. [Google Scholar] [CrossRef]
- Yu, K.; Xu, J.; Lv, Z.; Song, G. Inverse Design Methodology on a Single Expansion Ramp Nozzle for Scramjets. Aerosp. Sci. Technol. 2019, 92, 9–19. [Google Scholar] [CrossRef]
- Hadjadj, A.; Onofri, M. Nozzle Flow Separation. Shock Waves 2009, 19, 163–169. [Google Scholar] [CrossRef]
- Zebiri, B.; Piquet, A.; Hadjadj, A.; Verma, S.B. Shock-Induced Flow Separation in an Overexpanded Supersonic Planar Nozzle. AIAA J. 2020, 58, 2122–2131. [Google Scholar] [CrossRef]
- Tomita, T.; Takahashi, M.; Sasaki, M.; Sakamoto, H.; Takahashi, M.; Tamura, H. Experimental Evaluation of Side-Loads in LE-7A Prototype Engine Nozzle. Shock Waves 2009, 19, 213–228. [Google Scholar] [CrossRef]
- Nave, L.; Coffey, G. Sea Level Side Loads in High-Area-Ratio Rocket Engines. In Proceedings of the 9th Propulsion Conference; American Institute of Aeronautics and Astronautics, Las Vegas, NV, USA, 5–7 November 1973. [Google Scholar]
- Frey, M.; Hagemann, G. Flow Separation and Side-Loads in Rocket Nozzles. In Proceedings of the 35th Joint Propulsion Conference and Exhibit, Los Angeles, CA, USA, 20–24 June 1999; American Institute of Aeronautics and Astronautics: Reston, VA, USA, 1999. [Google Scholar]
- Verma, S.; Chidambaranathan, M.; Hadjadj, A. Analysis of Shock Unsteadiness in a Supersonic Over-Expanded Planar Nozzle. Eur. J. Mech. B Fluids 2018, 68, 55–65. [Google Scholar] [CrossRef]
- Yu, Y.; Xu, J.; Yu, K.; Mo, J. Unsteady Transitions of Separation Patterns in Single Expansion Ramp Nozzle. Shock Waves 2015, 25, 623–633. [Google Scholar] [CrossRef]
- Frey, M.; Hagemann, G. Restricted Shock Separation in Rocket Nozzles. J. Propuls. Power 2000, 16, 478–484. [Google Scholar] [CrossRef]
- Watanabe, Y.; Sakazume, N.; Tsuboi, M. LE-7A Engine Nozzle Problems during Transient Operations. In Proceedings of the 38th AIAA/ASME/SAE/ASEE Joint Propulsion Conference & Exhibit, Indianapolis, IN, USA, 7–10 July 2002; American Institute of Aeronautics and Astronautics: Reston, VA, USA, 2002. [Google Scholar]
- Östlund, J.; Damgaard, T.; Frey, M. Side-Load Phenomena in Highly Overexpanded Rocket Nozzles. J. Propuls. Power 2004, 20, 695–704. [Google Scholar] [CrossRef]
- Baars, W.J.; Tinney, C.E.; Ruf, J.H.; Brown, A.M.; McDaniels, D.M. Wall Pressure Unsteadiness and Side Loads in Overexpanded Rocket Nozzles. AIAA J. 2012, 50, 61–73. [Google Scholar] [CrossRef]
- Verma, S.B.; Haidn, O. Study of Restricted Shock Separation Phenomena in a Thrust Optimized Parabolic Nozzle. J. Propuls. Power 2009, 25, 1046–1057. [Google Scholar] [CrossRef]
- Martelli, E.; Nasuti, F.; Onofri, M. Numerical Calculation of FSS/RSS Transition in Highly Overexpanded Rocket Nozzle Flows. Shock Waves 2010, 20, 139–146. [Google Scholar] [CrossRef]
- He, M.; Qin, L.; Liu, Y. Numerical Investigation of Flow Separation Behavior in an Over-Expanded Annular Conical Aerospike Nozzle. Chin. J. Aeronaut. 2015, 28, 983–1002. [Google Scholar] [CrossRef]
- Chutkey, K.; Viji, M.; Verma, S.B. Interaction of External Flow with Linear Cluster Plug Nozzle Jet. Shock Waves 2018, 28, 1207–1221. [Google Scholar] [CrossRef]
- Li, J.; Chen, S.; Cai, F.; Yan, C. Numerical Investigation of Vented Plume into a Supersonic Flow in the Early Stage of Rocket Hot Separation. Aerosp. Sci. Technol. 2020, 107, 106249. [Google Scholar] [CrossRef]
- Mousavi, S.M.; Pourabidi, R.; Goshtasbi-Rad, E. Numerical Investigation of over Expanded Flow Behavior in a Single Expansion Ramp Nozzle. Acta Astronaut. 2018, 146, 273–281. [Google Scholar] [CrossRef]
- Lee, C.; Choi, K.; Kim, C.; Han, S. Computational Investigation of Flow Separation in a Thrust-Optimized Parabolic Nozzle during High-Altitude Testing. Comput. Fluids 2020, 197, 104363. [Google Scholar] [CrossRef]
- Yu, Y. Over-Expanded Separation Transitions of Single Expansion Ramp Nozzle in the Accelerating and Decelerating Processes. Aerosp. Sci. Technol. 2020, 98, 105674. [Google Scholar] [CrossRef]
- Yu, Y.; Mao, Y.; Yu, T.; Xu, S. Numerical Investigation on Mechanism of External Flow Field–Induced Separation Pattern Transition. J. Aerosp. Eng. 2023, 36, 04022123. [Google Scholar] [CrossRef]
- Yu, Y.; Xu, J.; Mo, J.; Wang, M. Principal Parameters in Flow Separation Patterns of Over-Expanded Single Expansion RAMP Nozzle. Eng. Appl. Comput. Fluid Mech. 2014, 8, 274–288. [Google Scholar] [CrossRef]
- Galván, S.; Reggio, M.; Guibault, F. Assessment Study of K-ε Turbulence Models and Near-Wall Modeling for Steady State Swirling Flow Analysis in Draft Tube Using Fluent. Eng. Appl. Comput. Fluid Mech. 2011, 5, 459–478. [Google Scholar] [CrossRef]
- Smith, T.D.; Ill, F.C.; Rice, T.; Blaha, B. Development of an Integrated Nozzle for a Symmetric, RBCC Launch Vehicle Configuration i35; Glenn Research Center: Cleveland, OH, USA, 2000. [Google Scholar]
- Campbell, B.T.; Siebenhaar, A.; Nguyen, T. Strutjet Engine Performance. J. Propuls. Power 2001, 17, 1227–1232. [Google Scholar] [CrossRef]
- Tang, X.; He, G.; Qin, F. Investigation on Combustion Performance of Axisymmetric RBCC Combustor in Scramjet Mode. J. Northwestern Polytech. Univ. 2014, 32, 29–34. [Google Scholar]
- Xue, R.; Hu, C.; Lv, X.; Qing, F. RBCC Constant Dynamic Pressure Booster Trajectory Design and Propellant Mass Flowrate Analysis for TSTO Transportation System. J. Solid Rocket Technol. 2013, 36, 155–160. [Google Scholar]























| Property | Setting |
|---|---|
| Materials | Ideal gas, compressible |
| Dimensionality | 2D |
| Discretization method | Second-order upwind |
| Solution method | Density-based solver |
| Solution formulation | Implicit |
| Time dependence | Steady |
| Turbulent model | k-epsilon RNG |
| Near-wall treatment | Standard wall function |
| Pressure—inlet | Total pressure = 124,008.5 Pa, temperature = 296.5 K |
| Pressure—far-field | Ma = 0, static pressure = 35,422.69 Pa, temperature = 296.5 K |
| Pressure—outlet | Total pressure = 35,422.69 Pa, temperature = 296.5 K |
| Wall | Adiabatic |
| Ma∞ | Altitude (km) | Ambient Static Pressure, Pa (Pa) | Combustor Total Pressure, Pc* (Pa) | NPR |
|---|---|---|---|---|
| 0 | 0 | 101,325 | ||
| 2 | 8.3 | 34,061.1 | 166,899.4 | 4.9 |
| 2.5 | 11.3 | 21,781.0 | 228,700.5 | 10.5 |
| 3 | 13.6 | 15,084.1 | 303,190.4 | 20.1 |
| 4 | 17.3 | 8473.5 | 558,403.6 | 65.9 |
| 5 | 20.1 | 5414.4 | 904,746.2 | 167.1 |
| 6 | 24.4 | 2811.0 | 705,561.0 | 251 |
| 9 | 28.2 | 1580.5 | 1,134,799.0 | 718 |
| 10 | 31.1 | 1017.6 | 1,996,229 | 1961.7 |
| 12 | 33.5 | 710.4 | 3,368,361.6 | 4741.5 |
| Design Parameters | Value |
|---|---|
| Total pressure of the inlet PD* (Pa) | 888,732.02 |
| Total temperature of the inlet TD* (K) | 2000 |
| Static pressure of the inlet PD (Pa) | 115,250.77 |
| Ambient pressure Pa (Pa) | 1580.53 |
| Height of inlet ht (mm) | 100 |
| The ratio of specific heat γ | 1.33 |
| Flight Mach Numbers | Thrust Coefficient |
|---|---|
| 3 | 0.8011 |
| 4 | 0.9636 |
| 5 | 0.9784 |
| 6 | 0.9770 |
| 8 | 0.9747 |
| 9 | 0.9725 |
Disclaimer/Publisher’s Note: The statements, opinions and data contained in all publications are solely those of the individual author(s) and contributor(s) and not of MDPI and/or the editor(s). MDPI and/or the editor(s) disclaim responsibility for any injury to people or property resulting from any ideas, methods, instructions or products referred to in the content. |
© 2023 by the authors. Licensee MDPI, Basel, Switzerland. This article is an open access article distributed under the terms and conditions of the Creative Commons Attribution (CC BY) license (https://creativecommons.org/licenses/by/4.0/).
Share and Cite
Yu, Y.; Mao, Y.; Yu, T.; Yang, Y.; Xu, S.; Liang, S. The Influence of External Flow Field on the Flow Separation of Overexpanded Single-Expansion Ramp Nozzle. Aerospace 2023, 10, 958. https://doi.org/10.3390/aerospace10110958
Yu Y, Mao Y, Yu T, Yang Y, Xu S, Liang S. The Influence of External Flow Field on the Flow Separation of Overexpanded Single-Expansion Ramp Nozzle. Aerospace. 2023; 10(11):958. https://doi.org/10.3390/aerospace10110958
Chicago/Turabian StyleYu, Yang, Yuepeng Mao, Tao Yu, Yalin Yang, Shulin Xu, and Sijia Liang. 2023. "The Influence of External Flow Field on the Flow Separation of Overexpanded Single-Expansion Ramp Nozzle" Aerospace 10, no. 11: 958. https://doi.org/10.3390/aerospace10110958
APA StyleYu, Y., Mao, Y., Yu, T., Yang, Y., Xu, S., & Liang, S. (2023). The Influence of External Flow Field on the Flow Separation of Overexpanded Single-Expansion Ramp Nozzle. Aerospace, 10(11), 958. https://doi.org/10.3390/aerospace10110958

