Study on Separation Characteristics of Nozzles with Large Expansion Ratio of Solid Rocket Motors
Abstract
1. Introduction
- (1)
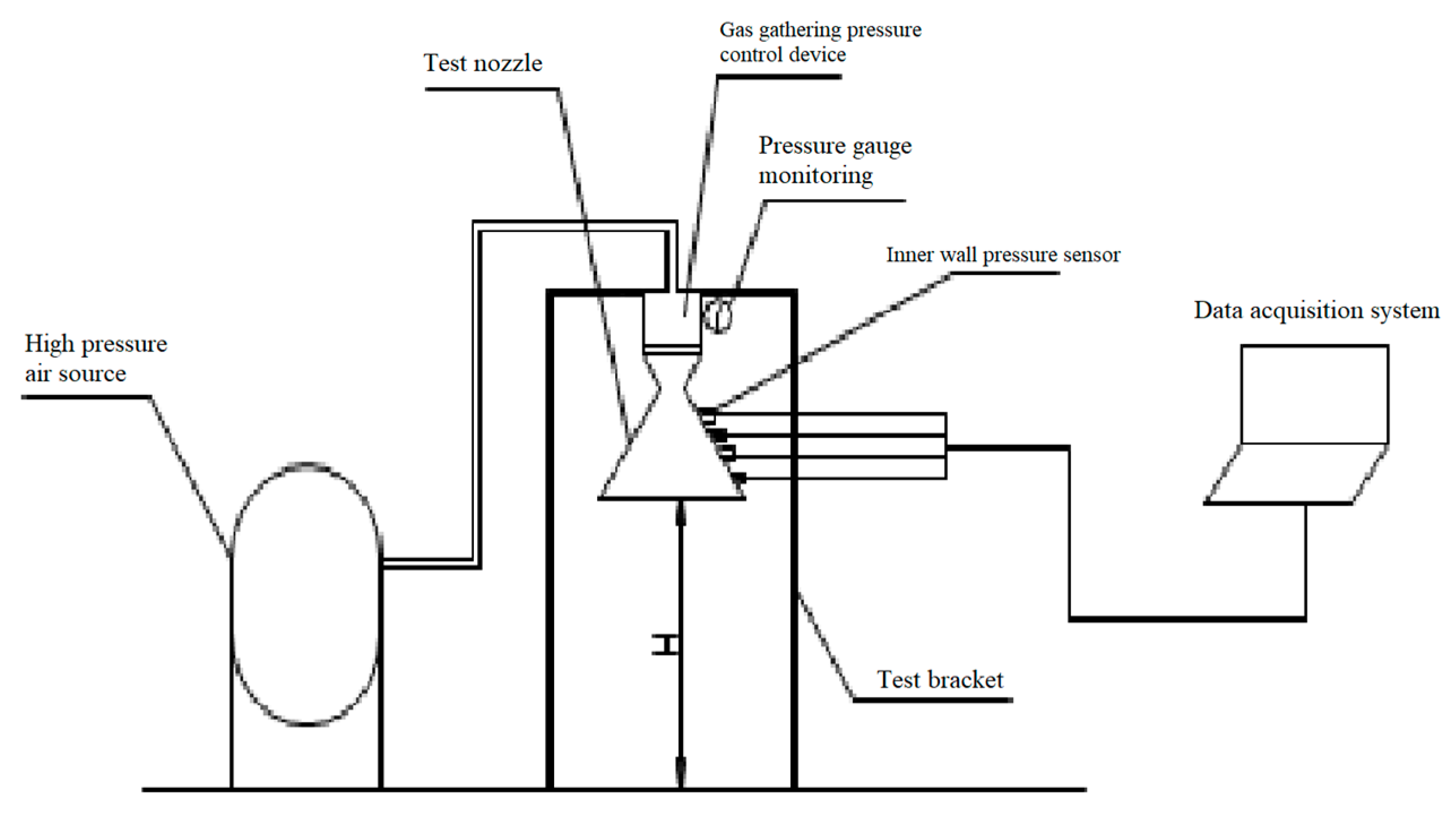
- The cold flow simulation test of a reduced-ratio nozzle was carried out to obtain the position of the separation point under different pressures and the pressure pulsation characteristics of the wall before and after the separation point. The numerical simulation of the separation flow field under cold flow conditions was carried out to obtain the parameter distribution of the flow field in the nozzle, and the calculation results were compared with the experimental results to verify the correctness of the numerical calculation.
- (2)
- A fluid–structure coupling analysis was carried out on a full-scale nozzle with a large expansion ratio, and the difference in the flow field distribution under different working conditions (ground and high-altitude environments) was obtained. The structure of the nozzle deformation properties under the separation conditions was studied.
2. Study of Separated and Cold Flow Using Experiments
3. The Numerical Simulation of Separation Fluid Field
3.1. The Calculation Model and the Condition of Boundary
- (1)
- ab is the nozzle inlet. The pressure inlet boundary is taken, the flow direction is perpendicular to the inlet, and the total temperature, total pressure and turbulence parameters are given under the test conditions;
- (2)
- bc is the axis of the calculation domain, and the axisymmetric boundary conditions are taken;
- (3)
- ah and hg are the wall surfaces, and the adiabatic non-slip wall surface conditions are used;
- (4)
- fg, ef and ed are the calculation far field, and the pressure far field boundary conditions are used, and the total temperature and total pressure are given under the condition of sea-level conditions;
- (5)
- dc is the flow field outlet, taken as the pressure outlet boundary, which also gives the total temperature and total pressure of the environment under sea-level conditions.
3.2. Numerical Methods
3.3. Analysis of Calculation Results
4. Calculation of Nozzle Fluid Structure Interaction
4.1. Calculation Model and Condition Setting
4.2. Analysis of Flow Field Results
4.3. Structure Analysis Result
5. Conclusions
- (1)
- A cold flow test under ground conditions was carried out. The flow separation phenomenon was observed in the test, and the pressure distribution on the nozzle wall was measured. The pressure data before and after the separation point were analyzed, and the difference in pressure pulsation characteristics before and after the separation point were obtained. Before the separation point, the pressure pulsation was small, and after the separation point, the pressure pulsation increased sharply, and the turbulent pulsation effect was significantly enhanced. A numerical simulation of the nozzle flow field under the test conditions was carried out, and the calculated results were compared with the experimental values. The results were in good agreement, which verified the accuracy of the numerical calculation.
- (2)
- A three-dimensional model was established for the above nozzle, and a numerical simulation under steady conditions was carried out using Fluent software, and the three-dimensional flow field distribution of the nozzle was obtained. From the Mach number distribution diagram of the nozzle section and the wall pressure distribution, it can be found that the separation flow field presents a certain asymmetry, and the wall pressure at the same axial position after the separation point is different. The lateral load was obtained by integrating the pipe wall surface. Under different total inlet pressures, the lateral load was different; their magnitudes decreased with the increase in total inlet pressure, and the directions were randomly distributed.
- (3)
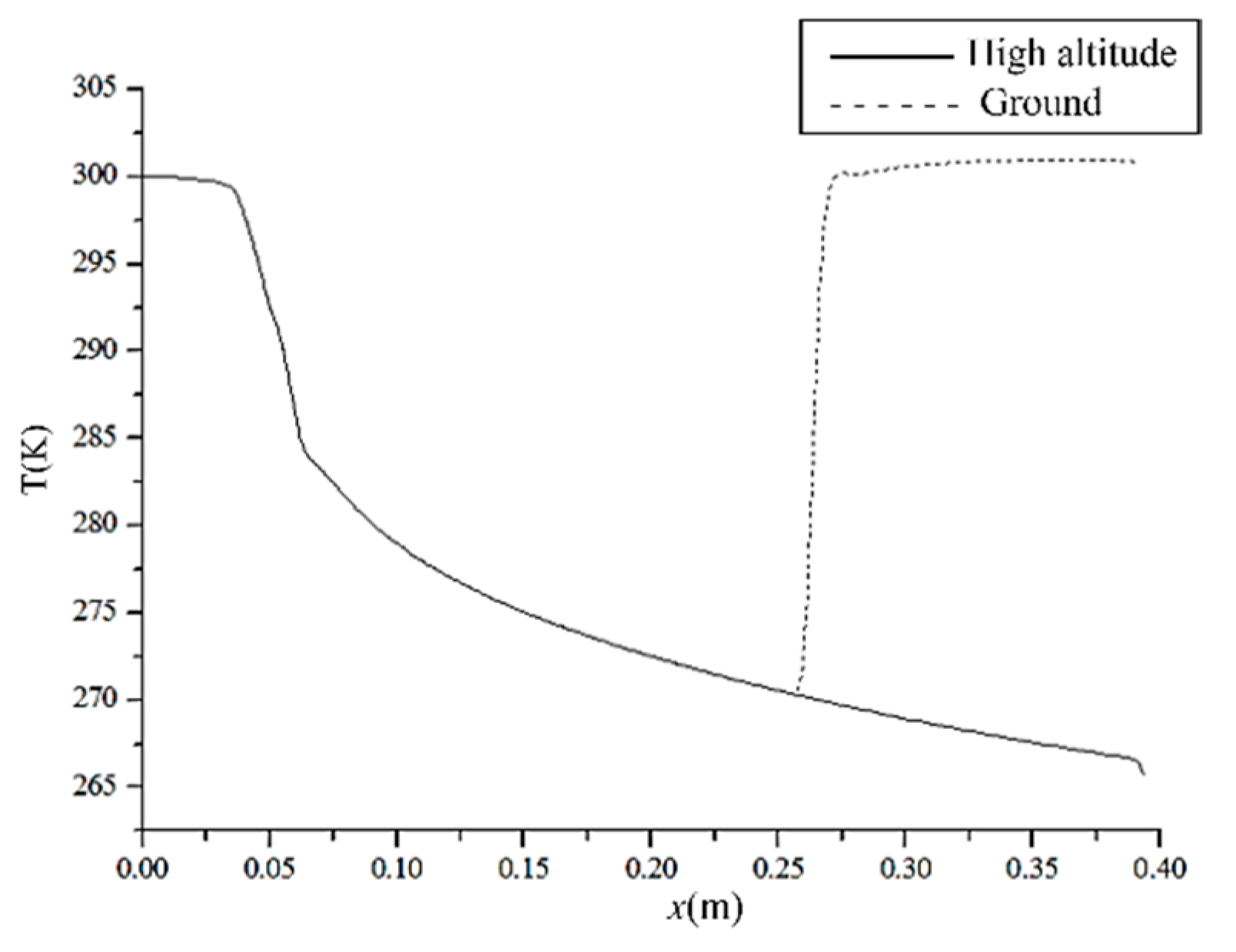
- The one-way coupling method was used to analyze the fluid–structure coupling of the full-scale nozzle, and the flow field distribution and structural deformation of the nozzle under different total pressures, and ground and high-altitude conditions were calculated, respectively. The calculation results show that under the conditions of high altitude, when the flow in the nozzle is in a state of full flow, the flow symmetry is good; the stress at the nozzle wall shows a downward trend along the axis, and the structural deformation of the nozzle is small. When the flow separation occurs in the nozzle, the nozzle will be asymmetric. The stress on the nozzle wall first decreases and then increases along the axis, and the structural deformation of the nozzle is larger than under high-altitude conditions. As the total pressure decreases, the lateral load of the nozzle will increase under ground conditions, and the structural deformation of the nozzle will increase sharply.
Author Contributions
Funding
Conflicts of Interest
References
- Stark, R.; Génin, C. Flow separation in rocket nozzles under high altitude condition. J. Shock Waves 2017, 27, 63–68. [Google Scholar] [CrossRef]
- Li, G.; Liu, Q.; Han, X.; Guo, Y. Influence study of flow separation on the nozzle vibration response. J. Propuls. Power Res. 2016, 5, 108–117. [Google Scholar] [CrossRef][Green Version]
- Jia, R.; Jiang, Z.; Zhang, W. Numerical analysis of flow separation and side loads of a conical nozzle during staging. J. Proc. Inst. Mech. Eng. Part G J. Aerosp. Eng. 2016, 230, 845–855. [Google Scholar] [CrossRef]
- Pei, L.; Geng, L.; Li, Z. Experimental study on cold separation flow in large expansion ratio nozzle. J. Exp. Fluid Mech. 2017, 31, 62–66. [Google Scholar]
- Martelli, E.; Saccoccio, L.; Ciottoli, P.P.; Tinney, C.E.; Baars, W.J.; Bernardini, M. Flow dynamics and wall-pressure signatures in a high-Reynolds-number overexpanded nozzle with free shock separation. J. Fluid Mech. 2020, 895, A29. [Google Scholar] [CrossRef]
- Conejo, A.N.; Mishra, R.; Mazumdar, D. Effects of Nozzle Radial Position, Separation Angle, and Gas Flow Partitioning on the Mixing, Eye Area, and Wall Shear Stress in Ladles Fitted with Dual Plugs. J. Metall. Mater. Trans. B 2019, 50, 1490–1502. [Google Scholar] [CrossRef]
- Lee, J.; Shin, J.; Sung, H.-G. Assessment of Turbulence Models with Compressibility Correction for Large Flow Separation in a Supersonic Convergent-Divergent Rectangular Nozzle. J. Aerosp. Syst. Eng. 2018, 12, 40–47. [Google Scholar]
- Chaudhuri, A.; Hadjadj, A. Numerical investigations of transient nozzle flow separation. J. Aerosp. Sci. Technol. 2016, 53, 10–21. [Google Scholar] [CrossRef]
- Lee, C.; Choi, K.; Kim, C.; Han, S. Computational investigation of flow separation in a thrust-optimized parabolic nozzle during high-altitude testing. J. Comput. Fluids 2020, 197, 104363. [Google Scholar] [CrossRef]
- Verma, S.B.; Haidn, O. Cold gas testing of thrust-optimized parabolic nozzle in a high-altitude test facility. J. Propuls. Power 2011, 27, 1238–1246. [Google Scholar] [CrossRef]
- Wang, T.-S. Transient three-dimensional startup side load analysis of a regeneratively cooled nozzle. J. Shock Waves 2009, 19, 251–264. [Google Scholar] [CrossRef]
- Ko, S.-H.; Kim, C. Separation motion of strap-on boosters with base flow and turbulence effects. J. Spacecr. Rocket. 2008, 45, 485–494. [Google Scholar] [CrossRef]
- Verma, S.B.; Haidn, O. Study of restricted shock separation phenomena in a thrust optimized parabolic nozzle. J. Propuls. Power 2009, 25, 1046–1057. [Google Scholar] [CrossRef]
- Yaravintelimath, A.; Raghunandan, B.N.; Moríñigo, J.A. Numerical prediction of nozzle flow separation: Issue of turbulence modeling. J. Aerosp. Sci. Technol. 2016, 50, 31–43. [Google Scholar] [CrossRef]
- Shimshi, E.; Ben-Dor, G.; Levy, A.; Krothapalli, A. Asymmetric and Unsteady Flow Separation in High Mach Number Planar Nozzles. J. Int. J. Aeronaut. Sci. Aerosp. Res. (IJASAR) 2015, 2, 65–80. [Google Scholar]
- He, M.; Qin, L.; Liu, Y. Numerical investigation of flow separation behavior in an over-expanded annular conical aerospike nozzle. J. Chin. J. Aeronaut. 2015, 28, 983–1002. [Google Scholar] [CrossRef]
- Verma, S.B.; Manisankar, C. Origin of flow asymmetry in planar nozzles with separation. J. Shock. Waves 2014, 24, 191–209. [Google Scholar] [CrossRef]
- Bej, N.; Sinhamahapatra, K.P. CFD Study on the Effects of Nozzle Number on Turbulent Flow and Energy Separation in a Ranque-Hilsch Vortex Tube. J. Appl. Mech. Mater. 2014, 465, 505–509. [Google Scholar] [CrossRef]
- Verma, S.B. Study of Flow Separation in Truncated Ideal Contour Nozzle. J. Propuls. Power 2002, 18, 1112–1121. [Google Scholar] [CrossRef]
- Beresh, S.J.; Henfling, J.F.; Erven, R.J. Flow Separation Inside a Supersonic Nozzle Exhausting into a Subsonic Compressible Crossflow. J. Propuls. Power 2003, 19, 655–662. [Google Scholar] [CrossRef]
























| Test Point | Minimum Pressure (kPa) | Maximum Pressure (kPa) | Peak-to-Peak Value (kPa) | Standard Deviation (kPa) |
|---|---|---|---|---|
| P5 | 35.27 | 37.71 | 2.44 | 0.307 |
| P6 | 63.66 | 75.92 | 12.26 | 1.533 |
| Test Point | Minimum Pressure (kPa) | Maximum Pressure (kPa) | Peak-to-Peak Value (kPa) | Standard Deviation (kPa) |
|---|---|---|---|---|
| P3 | 41.72 | 45.03 | 3.31 | 0.435 |
| P4 | 63.72 | 86.55 | 22.83 | 3.308 |
| Test Point | Minimum Pressure (kPa) | Maximum Pressure (kPa) | Peak-to-Peak Value (kPa) | Standard Deviation (kPa) |
|---|---|---|---|---|
| P7 | 27.45 | 29.80 | 2.35 | 0.381 |
| P8 | 46.81 | 70.23 | 23.42 | 4.671 |
| Inlet Total Pressure | Condition | The Force of Y Axis (N) | The Force of Z Axis (N) | The Lateral Load (N) |
|---|---|---|---|---|
| 3 MPa | High altitude | −17.39 | −28.52 | 33.40 |
| Ground | −1530.90 | −467.17 | 1600.61 | |
| 6 MPa | High altitude | 7.24 | −1.78 | 25.09 |
| Ground | 100.74 | −52.46 | 113.58 |
Disclaimer/Publisher’s Note: The statements, opinions and data contained in all publications are solely those of the individual author(s) and contributor(s) and not of MDPI and/or the editor(s). MDPI and/or the editor(s) disclaim responsibility for any injury to people or property resulting from any ideas, methods, instructions or products referred to in the content. |
© 2022 by the authors. Licensee MDPI, Basel, Switzerland. This article is an open access article distributed under the terms and conditions of the Creative Commons Attribution (CC BY) license (https://creativecommons.org/licenses/by/4.0/).
Share and Cite
Wang, Z.; Wang, C.; Tian, W. Study on Separation Characteristics of Nozzles with Large Expansion Ratio of Solid Rocket Motors. Aerospace 2023, 10, 4. https://doi.org/10.3390/aerospace10010004
Wang Z, Wang C, Tian W. Study on Separation Characteristics of Nozzles with Large Expansion Ratio of Solid Rocket Motors. Aerospace. 2023; 10(1):4. https://doi.org/10.3390/aerospace10010004
Chicago/Turabian StyleWang, Zhihong, Chunguang Wang, and Weiping Tian. 2023. "Study on Separation Characteristics of Nozzles with Large Expansion Ratio of Solid Rocket Motors" Aerospace 10, no. 1: 4. https://doi.org/10.3390/aerospace10010004
APA StyleWang, Z., Wang, C., & Tian, W. (2023). Study on Separation Characteristics of Nozzles with Large Expansion Ratio of Solid Rocket Motors. Aerospace, 10(1), 4. https://doi.org/10.3390/aerospace10010004

