Electrodermal Activity for Quantitative Assessment of Dental Anxiety
Abstract
1. Introduction
2. Related Works
3. Materials and Methods
3.1. Apparatus
- 1.
- Visiting the dentist for treatment.
- 2.
- Sitting in the dental clinic waiting room.
- 3.
- Having teeth drilled.
- 4.
- Having teeth scaled and polished.
- 5.
- Receiving a local anesthetic injection.
3.2. Participants and Study Design
3.3. Data Analysis
3.3.1. EDA Parameters
Relative Changes
- 1.
- Basal EDA (SC, SS, and SP) parameters were recorded for 1 min before exposing the participants to clips of dental treatment and averaged to obtain mean values of basal SC, SS, and SP.
- 2.
- EDA responses (SC, SS, and SP) recorded while playing the video clips of dental procedures were calculated by computing the mean SC, SS, and SP values of the response signals recorded over a 1 min period (based on the length of the video clips of dental procedures—four clips, each 15 s long), yielding mean values of the SC, SS, and SP responses.
- 3.
- The relative changes in SC, SS, and SP were then calculated by expressing the percentages of changes in SC, SS, and SP response means as a function of basal SC, SS, and SP means (SC, SS, and SP response means—basal SC, SS, and SP mean/basal SC, SS, and SP mean × 100).
Fluctuations (Number of Peaks) in EDA Parameters
3.3.2. HR
- 1.
- Baseline HR (i.e., before playing video clips of dental procedures) was monitored for 1 min and averaged to obtain the mean value of baseline HR.
- 2.
- HR during the anxiety session was recorded for 1 min while playing video clips of dental treatments, and the values were averaged to compute the mean anxiety session HR.
- 3.
- The percentage change in HR was then calculated by expressing the percentage of change in mean HR (during anxiety session) as a function of baseline mean HR (HR mean − baseline HR mean/baseline HR mean × 100).
3.3.3. MDAS
3.4. Statistical Analysis
4. Results
4.1. EDA Parameters
4.1.1. Skin Conductance (SC)
4.1.2. Skin Potential (SP)
4.1.3. Skin Susceptance (SS)
4.1.4. Classification of Anxiety Levels
4.1.5. Number of Responses
4.2. Heart Rate (HR)
4.3. Modified Dental Anxiety Scale (MDAS)
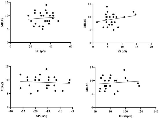
4.4. Relation Between EDA Parameters, HR, and MDAS Scores
5. Discussion
5.1. Key Findings
5.2. Implications for Dental Practice
5.3. Future Directions
5.4. Limitations of the Study
6. Conclusions
Author Contributions
Funding
Data Availability Statement
Conflicts of Interest
Appendix A

References
- Seligman, L.D.; Hovey, J.D.; Chacon, K.; Ollendick, T.H. Dental anxiety: An understudied problem in youth. Clin. Psychol. Rev. 2017, 55, 25–40. [Google Scholar] [CrossRef] [PubMed]
- Armfield, J.M. How do we measure dental fear and what are we measuring anyway? Oral. Health Prev. Dent. 2010, 8, 107–115. [Google Scholar] [PubMed]
- Jaakkola, S.; Rautava, P.; Alanen, P.; Aromaa, M.; Pienihäkkinen, K.; Räihä, H.; Vahlberg, T.; Mattila, M.L.; Sillanpää, M. Dental fear: One single clinical question for measurement. Open Dent. J. 2009, 3, 161–166. [Google Scholar] [CrossRef]
- Caltabiano, M.L.; Croker, F.; Page, L.; Sklavos, A.; Spiteri, J.; Hanrahan, L.; Choi, R. Dental anxiety in patients attending a student dental clinic. BMC Oral. Health 2018, 18, 48. [Google Scholar] [CrossRef]
- Lin, C.S.; Wu, S.Y.; Yi, C.A. Association between anxiety and pain in dental treatment: A systematic review and meta-analysis. J. Dent. Res. 2017, 96, 153–162. [Google Scholar] [CrossRef]
- Aljohani, M.; Ashley, M.; Alshammari, F.R.; Yates, J. Assessment of dental anxiety using modified dental anxiety scale among adults with cleft lip and/or palate. Saudi Dent. J. 2021, 33, 1078–1083. [Google Scholar] [CrossRef]
- Zinke, A.C.; Hannig, C.; Berth, H. Psychological distress and anxiety compared amongst dental patients-results of a cross-sectional study in 1549 adults. BMC Oral Health 2019, 19, 27. [Google Scholar] [CrossRef]
- Roy-Byrne, P.P.; Milgrom, P.; Khoon-Mei, T.; Weinstein, P.; Katon, W. Psychopathology and psychiatric diagnosis in subjects with dental phobia. J. Anxiety Disord. 1994, 8, 19–31. [Google Scholar] [CrossRef]
- Fallea, A.; Zuccarello, R.; Calì, F. Dental anxiety in patients with borderline intellectual functioning and patients with intellectual disabilities. BMC Oral Health 2016, 16, 114. [Google Scholar] [CrossRef]
- Gowdham, G.; Shetty, A.A.; Hegde, A.; Suresh, L.R. Impact of music distraction on dental anxiety in children having intellectual disability. Int. J. Clin. Pediatr. Dent. 2021, 14, 170–174. [Google Scholar]
- Chi, S.I. What is the gold standard of the dental anxiety scale? J. Dent. Anesth. Pain Med. 2023, 23, 193–212. [Google Scholar] [CrossRef] [PubMed]
- Benjamins, C.; Schuurs, A.H.; Hoogstraten, J. Skin conductance, Marlowe-Crowne defensiveness, and dental anxiety. Percept. Mot. Skills 1994, 79, 611–622. [Google Scholar] [CrossRef] [PubMed]
- Boucsein, W. Electrodermal Activity; Springer Science & Business Media: New York, NY, USA, 2012. [Google Scholar]
- Zhu, L.; Spachos, P.; Ng, P.C.; Yu, Y.; Wang, Y.; Plataniotis, K.; Hatzinakos, D. Stress detection through wrist-based electrodermal activity monitoring and machine learning. IEEE J. Biomed. Health Inform. 2023, 27, 2155–2165. [Google Scholar] [CrossRef] [PubMed]
- Bartolomé-Tomás, A.; Sánchez-Reolid, R.; Fernández-Sotos, A.; Latorre, J.M.; Fernández-Caballero, A. Arousal detection in elderly people from electrodermal activity using musical stimuli. Sensors 2020, 20, 4788. [Google Scholar] [CrossRef] [PubMed]
- Aldosky, H.Y.Y.; Bari, D.S. Electrodermal activity: Simultaneous recordings. In Electrochemical Impedance Spectroscopy; El-Azazy, M., Min, M., Annus, P., Eds.; Intechopen Limited: London, UK, 2019; pp. 519–551. [Google Scholar]
- Caprara, H.J.; Eleazer, P.D.; Barfield, R.D.; Chavers, S. Objective measurement of patient’s dental anxiety by galvanic skin reaction. J. Endod. 2003, 29, 493–496. [Google Scholar] [CrossRef]
- Johnsen, B.H.; Thayer, J.F.; Laberg, J.C.; Wormnes, B.; Raadal, M.; Skaret, E.; Kvale, G.; Berg, E. Attentional and physiological characteristics of patients with dental anxiety. J. Anxiety Disord. 2003, 17, 75–87. [Google Scholar] [CrossRef]
- Rachmawati, S.; Fauziah, E.; Rizal, M.F.; Indiarti, I.S. Electrodermal Activity as an Indicator of Dental Anxiety Hearing Impaired Children After Educated by Pop-Up Books. J. Int. Dent. Med. Res. 2018, 11, 139–142. [Google Scholar]
- Košir, T.; Sajovic, J.; Grošelj, M.; Fidler, A.; Drevenšek, G.; Selič-Zupančič, P. Real-life dental examination elicits physiological responses different to visual and auditory dental-related stimuli. PLoS ONE 2021, 16, e0252128. [Google Scholar] [CrossRef]
- Fux-Noy, A.; Zeineh, R.; Shmueli, A.; Halperson, E.; Ram, D.; Moskovitz, M. Anxiety during the dental care of children aged 4 to 6 years over three consecutive visits. J. Clin. Pediatr. Dent. 2023, 47, 100–105. [Google Scholar]
- Scheutz, F. Electrodermal activity, dental anxiety, and fear of dentistry in a group of parenteral drug addicts. Scand. J. Dent. Res. 1986, 94, 248–252. [Google Scholar] [CrossRef]
- Bari, D.S.; Aldosky, H.Y.Y.; Tronstad, C.; Kalvøy, H.; Martinsen, Ø.G. Electrodermal responses to discrete stimuli measured by skin conductance, skin potential, and skin susceptance. Skin Res. Technol. 2018, 24, 108–116. [Google Scholar] [CrossRef] [PubMed]
- Martinsen, Ø.G.; Kalvøy, H.; Bari, D.S.; Tronstad, C. A circuit for simultaneous measurements of skin electrical conductance, susceptance, and potential. J. Electr. Bioimpedance 2019, 10, 110–112. [Google Scholar] [CrossRef] [PubMed]
- Grimnes, S. Pathways of ionic flow through human skin in vivo. Acta Derm. Venereol. 1984, 64, 93–98. [Google Scholar] [CrossRef] [PubMed]
- Alansaari, A.B.O.; Tawfik, A.; Jaber, M.A.; Khamis, A.H.; Elameen, E.M. Prevalence and Socio-Demographic Correlates of Dental Anxiety among a Group of Adult Patients Attending Dental Outpatient Clinics: A Study from UAE. Int. J. Environ. Res. Public Health 2023, 20, 6118. [Google Scholar] [CrossRef]
- Alghareeb, Z.; Alhaji, K.; Alhaddad, B.; Gaffar, B. Assessment of Dental Anxiety and Hemodynamic Changes during Different Dental Procedures: A Report from Eastern Saudi Arabia. Eur. J. Dent. 2022, 16, 833–840. [Google Scholar] [CrossRef]
- Barreto, J.O.; Freire, J.C.P.; de Lima Brasil, A.W.; Statkievicz, C.; Souza, F.Á.; Pimentel, T.; Rocha, J.F.; Aranega, A.M.; de Freitas, G.B.; Sant’Ana, E.; et al. Dental anxiety in patients undergoing oral surgery and its effects on blood pressure and heart rate. Res. Soc. Dev. 2020, 9, e316985536. [Google Scholar] [CrossRef]
- Balasubramaniyan, N.; Rayapati, D.K.; Puttiah, R.H.; Tavane, P.; Singh, S.E.; Rangan, V.; Kalakunta, P.R. Evaluation of anxiety induced cardiovascular response in known hypertensive patients undergoing exodontia-a prospective study. J. Clin. Diagn. Res. 2016, 10, ZC123–ZC127. [Google Scholar] [CrossRef]
- Katkin, E. Electrodermal lability: A psychophysiological analysis of individual differences in response to stress. In Personality and Individual Differences; Sarason, G., Spielberger, C.D., Eds.; Stress and anxiety; Wiley: New York, NY, USA, 1975; Volume 8, pp. 615–626. [Google Scholar]
- Bach, D.R.; Friston, K.J.; Dolan, R.J. Analytic measures for quantification of arousal from spontaneous skin conductance fluctuations. Int. J. Psychophysiol. 2010, 76, 52–55. [Google Scholar] [CrossRef]
- Ledowski, T.; Bromilow, J.; Paech, M.J.; Storm, H.; Hacking, R.; Schug, S.A. Monitoring of skin conductance to assess postoperative pain intensity. Br. J. Anaesth. 2006, 97, 862–865. [Google Scholar] [CrossRef]
- Ledowski, T.; Bromilow, J.; Wu, J.; Paech, M.J.; Storm, H.; Chug, S.A. The assessment of postoperative pain by monitoring skin conductance: Results of a prospective study. Anaesthesia 2007, 62, 989–993. [Google Scholar] [CrossRef]
- Ledowski, T.; Ang, B.; Schmarbeck, T.; Rhodes, J. Monitoring of sympathetic tone to assess postoperative pain: Skin conductance vs surgical stress index. Anaesthesia 2009, 64, 727–731. [Google Scholar] [CrossRef] [PubMed]
- Trenado, C.; Pedroarena-Leal, N.; Cif, L.; Nitsche, M.; Ruge, D. Neural oscillatory correlates for conditioning and extinction of fear. Biomedicines 2018, 6, 49. [Google Scholar] [CrossRef] [PubMed]
- Ho, J.C.Y.; Chai, H.H.; Lo, E.C.M.; Huang, M.Z.; Chu, C.H. Strategies for Effective Dentist-Patient Communication: A Literature Review. Patient Prefer Adherence 2024, 18, 1385–1394. [Google Scholar] [CrossRef] [PubMed]
- Avramova, N. Insight on improving professional performance in dental practice: Essentials of verbal and nonverbal communication in dentist-patient relationship (a critical review). Int. J. Res. Rep. Dent. 2021, 4, 7–15. [Google Scholar]
- Bari, D.S.; Aldosky, H.Y.Y.; Tronstad, C.; Kalvøy, H.; Martinsen, Ø.G. Electrodermal activity responses for quantitative assessment of felt pain. J. Electr. Bioimpedance. 2018, 9, 52–58. [Google Scholar] [CrossRef]








| Previous Works | This Work |
|---|---|
| Examined only one EDA (SC) parameter for dental anxiety measurement. | All EDA (SC, SS, and SP) parameters are simultaneously measured to evaluate dental anxiety. |
| Mainly concentrate on heart rate and heart rate variability. | In addition to all EDA parameters, real-time HR data were transferred via Bluetooth to the associated Smart Health application installed on the smartphone. |
| Exposing subjects to dental-related pictures and dental-related sounds. | Exposing subjects to multiple real videos that depict the entire dental clinic visit, including sitting, getting a local anesthetic injection, and having their teeth drilled, scaled, and polished. |
| Monitoring one at a time | Calculating the number of peaks (or fluctuations) in EDA waveforms can be used to monitor the dental procedure continuously. |
| Two-electrode connection setup employed for EDA recordings | Three-electrode connection setup employed for EDA recordings |
| Parameter | Logistic Regression | 95% CI | |
|---|---|---|---|
| Lower | Upper | ||
| SC | 83.3% | 0.626 | 1.040 |
| SP | 46.6% | −0.069 | 1.002 |
| SS | 51.6% | 0.113 | 0.920 |
| SC, SP, SS | 70.0% | 0.275 | 1.124 |
| Scores | HR | MDAS | ||
|---|---|---|---|---|
| r | p | r | p | |
| SC | 0.290 | 0.161 | 0.193 | 0.355 |
| SS | −0.313 | 0.127 | 0.258 | 0.212 |
| SP | 0.208 | 0.318 | 0.046 | 0.982 |
| HR | 0.212 | 0.309 | ||
Disclaimer/Publisher’s Note: The statements, opinions and data contained in all publications are solely those of the individual author(s) and contributor(s) and not of MDPI and/or the editor(s). MDPI and/or the editor(s) disclaim responsibility for any injury to people or property resulting from any ideas, methods, instructions or products referred to in the content. |
© 2024 by the authors. Licensee MDPI, Basel, Switzerland. This article is an open access article distributed under the terms and conditions of the Creative Commons Attribution (CC BY) license (https://creativecommons.org/licenses/by/4.0/).
Share and Cite
Bari, D.S.; Rammoo, M.N.S.; Youssif, A.A.; Najman, H.M.; Aldosky, H.Y.Y.; Tronstad, C.; Hou, J.; Martinsen, Ø.G. Electrodermal Activity for Quantitative Assessment of Dental Anxiety. J. Sens. Actuator Netw. 2024, 13, 88. https://doi.org/10.3390/jsan13060088
Bari DS, Rammoo MNS, Youssif AA, Najman HM, Aldosky HYY, Tronstad C, Hou J, Martinsen ØG. Electrodermal Activity for Quantitative Assessment of Dental Anxiety. Journal of Sensor and Actuator Networks. 2024; 13(6):88. https://doi.org/10.3390/jsan13060088
Chicago/Turabian StyleBari, Dindar S., Mohammed Noor S. Rammoo, Ardawan A. Youssif, Hoger M. Najman, Haval Y. Yacoob Aldosky, Christian Tronstad, Jie Hou, and Ørjan G. Martinsen. 2024. "Electrodermal Activity for Quantitative Assessment of Dental Anxiety" Journal of Sensor and Actuator Networks 13, no. 6: 88. https://doi.org/10.3390/jsan13060088
APA StyleBari, D. S., Rammoo, M. N. S., Youssif, A. A., Najman, H. M., Aldosky, H. Y. Y., Tronstad, C., Hou, J., & Martinsen, Ø. G. (2024). Electrodermal Activity for Quantitative Assessment of Dental Anxiety. Journal of Sensor and Actuator Networks, 13(6), 88. https://doi.org/10.3390/jsan13060088

