Developing a Sufficient Protocol for the Enhancement of α-Glucosidase Inhibitory Activity by Urena lobata L. Aeroponic Hairy Roots Using Exogenous Factors, a Precursor, and an Elicitor
Abstract
1. Introduction
2. Results
2.1. Optimization of Exogenous Factors Optimizing for AHRs and rol Gene Detection
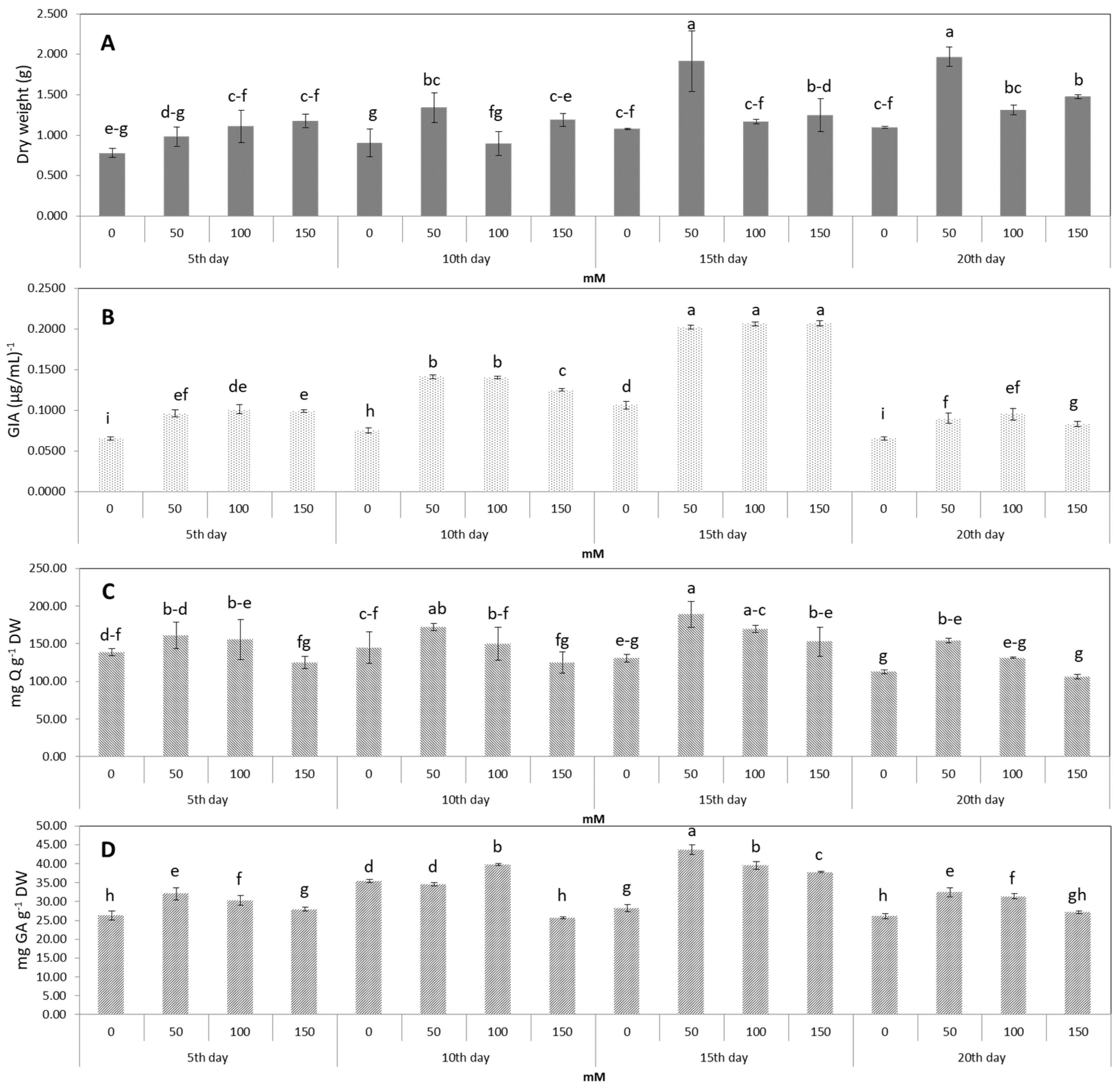
2.2. Kinetics of Growth, α-Glucosidase Inhibitory Activity, and Phenolic and Flavonoid Contents of AHRs
2.3. Effect of Phenylalanine Feeding on Growth, α-Glucosidase Inhibitory Activity, Total Flavonoids and Phenolics Contents of AHRs
2.4. Effect of Chitosan Dosages and Exposure Time on Growth, α-Glucosidase Inhibitory Activity, and Total Flavonoid and Phenolic Contents of AHRs
2.5. Combined Effect of Phenylalanine and Chitosan on Biomass and α-Glucosidase Inhibitory Activity
3. Discussion
3.1. Optimization of Exogenous Factors for the AHRs and rol Gene Detection
3.2. Kinetics of Growth, α-Glucosidase Inhibitory Activity, and Phenolic and Flavonoid Contents of Hairy Root of Urena lobata
3.3. Effect of Phenylalanine Feeding on Growth, α-Glucosidase Inhibitory Activity, and Total Flavonoid and Phenolic Contents of Urena lobata Aeroponic Hairy Root
3.4. Effect of Chitosan Dosages and Exposure Time on Growth, α-Glucosidase Inhibitory Activity, and the Total Flavonoid and Phenolic Contents of Urena Aeroponic Lobata Hairy Root
3.5. Combined Effect of Phenylalanine and Chitosan on Biomass and α-Glucosidase Inhibitory Activity
4. Materials and Methods
4.1. Preparation of Ethanol Extract
4.2. α-Glucosidase Inhibitory Activity of Ethanol Extract of Urena lobata
4.3. Determination of the Phenolic Content
4.4. Determination of the Flavonoid Content
4.5. Preparation of Agrobacterium rhizogenes
4.6. Establishment of the Aeroponics System
4.7. Optimization of Exogenous Factors for the AHRs and rol Gene Detection
4.8. Kinetics of Growth, α-Glucosidase Inhibitory Activity, Phenolics and Flavonoids Contents of Urena lobata Hairy Root
4.9. Precursor and Elicitor Preparation and Application
4.10. Data Processing and Statistical Analysis
5. Conclusions
Author Contributions
Funding
Acknowledgments
Conflicts of Interest
Abbreviations
| AHRs | aeroponic hairy roots |
| ATCC | American type culture collection |
| B5 | Gamborg B5 medium |
| CS | chitosan |
| CTAB | cetyl trimethylammonium bromide |
| CTS | chitosan dosage |
| DW | dry weight |
| ET | exposure time |
| FLA | total flavonoids content |
| FW | fresh weight |
| GA | gallic acid |
| GIA | α-glucosidase inhibitory activity (1/IC50) |
| HRs | hairy roots |
| IC50 | the half maximal inhibitory concentration |
| MS | Murashige and Skoog medium |
| PA | L-phenylalanine |
| PCR | polymerase chain reaction |
| PHEL | total phenolics content |
| Q | quercetin |
| r | Pearson’s coefficient |
| RR | rooting rate |
| RT | rooting time |
| WPM | Woody plant medium |
References
- Babu, S.S.; Madhuri, D.B.; Ali, S.L. A pharmacological review of Urena lobata plant. Asian. J. Pharm. Clin. Res. 2016, 9, 20–22. [Google Scholar]
- Lissy, K.P.; Simon, T.K.; Lathab, M.S. Antioxidant potential of Sida retusa, Urena lobata and Triumfetta rhomboidea. Anc. Sci. Life 2006, 25, 10–15. [Google Scholar] [PubMed]
- Omonkhua, A.A.; Onoagbe, I.O. Evaluation of the long-term effects of Urena lobata root extracts on blood glucose and hepatic function of normal rabbits. J. Toxicol. Environ. Health Sci. 2011, 3, 204–213. [Google Scholar]
- Onoagbe, I.O.; Negbenebor, E.O.; Ogbeide, V.O.; Dawha, I.H.; Attah, V.; Lau, H.U. A study of the anti-diabetic effects of Urena lobata and Sphenostylis stenocarpa in streptozotocin-induced diabetic rats. Eur. J. Sci. Res. 2010, 43, 6–14. [Google Scholar]
- Kaskoos, R.A. In vitro α-glucosidase inhibition and antioxidant activity of methanolic extract of Centaurea calcitrapa from Iraq. Ame. J. Essent. Oils Nat. Prod. 2013, 1, 122–125. [Google Scholar]
- Notkins, A.L. Immunologic and genetic factors in type 1 diabetes. J. Biol. Chem. 2002, 277, 43545–43548. [Google Scholar] [CrossRef]
- Guillon, S.; Trémouillaux-Guiller, J.; Pati, P.K.; Rideau, M.; Gantet, P. Harnessing the potential of hairy roots: Dawn of a new era. Trends. Biotechnol. 2006, 24, 403–409. [Google Scholar] [CrossRef]
- Shanks, J.V.; Morgan, J. Plant ‘hairy root’ culture. Curr. Opin. Biotechnol. 1999, 10, 151–155. [Google Scholar] [CrossRef]
- Mugundhan, R.M.; Soundaria, M.; Maheswari, V.; Santhakumari, P.; Gopal, V. Hydroponics—A novel alternative for geoponic cultivation of medicinal plants and food crops. Int. J. Pharma. Bio. Sci. 2011, 2, 287–296. [Google Scholar]
- Kubota, N.; Yakushiji, H.; Nishiyama, N.; Mimura, H.; Shimamura, K. Phenolic contents and L-phenylalanine ammonia-lyase activity in peach fruit as affected by rootstocks. J. Jpn. Soc. Hortic. Sci. 2001, 70, 151–156. [Google Scholar] [CrossRef]
- Sudha, G.; Ravishanker, G.A. Involvement and interaction of various signaling compound on the plant metabolic events during defense response, resistance to stress factors, formation of secondary metabolites and their molecular aspects. Plant. Cell. Tiss. Org. 2002, 71, 181–212. [Google Scholar] [CrossRef]
- Dornenburg, H.; Knorr, D. Evaluation of elicitor- and high pressure-induced enzymatic browning utilizing potato (Solanum tuberosum) suspension cultures as a model system for plant tissues. J. Agric. Food. Chem. 1997, 45, 4173–4177. [Google Scholar] [CrossRef]
- Dai, C.M.; Minh, H.T.T.; Phuong, V.T.B.; Phuong, Q.N.D. In vitro and hydroponic hairy root culture of Urena lobata to obtain α-glucosidase inhibitory materials. Bull. Environ. Pharmacol. Life Sci. 2016, 5, 72–80. [Google Scholar]
- Phuong, Q.N.D.; Dai, C.M.; Phuong, V.T.B.; Trinh, H.N. α-glucosidase inhibitory and hypoglycemic effect of hairy root extract from Urena lobata. J. Med. 2017, 57, 22–25. [Google Scholar]
- Panda, B.M.; Mehta, U.J.; Hazra, S. Optimizing culture conditions for establishment of hairy root culture of Semecarpus anacardium L. 3 Biotech 2017, 7, 21. [Google Scholar] [CrossRef][Green Version]
- Huang, S.; Vishwakarma, R.K.; Lee, T. Establishment of hairy root lines and analysis of iridoids and secoiridoids in the medicinal plant Gentiana scabra. Bot Stud. 2014, 55, 17. [Google Scholar] [CrossRef]
- Lopez, T.; Corbin, C.; Falguieres, A.; Doussot, J.; Montguillon, J.; Hagège, D.; Hano, C.; Laine, E. Secondary metabolite accumulation, antibacterial and antioxidant properties of in vitro propagated Clidemia hirta L. extract are influenced by the basal culture medium. Comptes Rendus Chim. 2016, 19, 1071–1076. [Google Scholar] [CrossRef]
- Murashige, T.; Skoog, F. A revised medium for rapid growth and bioassays with tobacco tissue cultures. Physiol. Plant. 1962, 15, 473–497. [Google Scholar] [CrossRef]
- Gamborg, O.L.; Miller, R.A.; Ojima, K. Nutrient requirements of suspension cultures of soybean root cells. Exp. Cell Res. 1968, 50, 151–158. [Google Scholar] [CrossRef]
- Lloyd, G.; McCown, B. Commercially-feasible micropropagation of mountain laurel, Kalmia latifolia, by use of shoot-tip culture. B. Int. Plant Prop. Soc. Proc. 1980, 30, 421–427. [Google Scholar]
- Thwe, A.; Valan Arasu, M.; Li, X.; Park, C.H.; Kim, S.J.; Al-Dhabi, N.A.; Park, S.U. Effect of Different Agrobacterium rhizogenes strains on hairy root induction and phenylpropanoid biosynthesis in Tartary Buckwheat (Fagopyrum tataricum Gaertn). Front. Microbiol. 2016, 7, 318. [Google Scholar] [CrossRef] [PubMed]
- Brijwal, L.; Tamta, S. Agrobacterium rhizogenes mediated hairy root induction in endangered Berberis aristata DC. SpringerPlus 2015, 4, 443. [Google Scholar] [CrossRef]
- Phuong, V.T.B.; Dai, C.M.; Hong, P.T.A.; Phuong, Q.N.D. Biological activity and hairy root induction of Hibiscus sabdariffa L. Sci. Technol. Dev. J.: Nat. Sci. 2018, 2, 66–74. [Google Scholar] [CrossRef]
- Sharafi, A.; Sohi, H.; Ntui, V. A reliable and efficient protocol for inducing hairy roots in Papaver bracteatum. Plant. Cell. Tiss. Organ. Cult. 2013, 1–9. [Google Scholar] [CrossRef]
- Murthy, H.N.; Lee, E.J.; Paek, K.Y. Production of secondary metabolites from cell and organ cultures: Strategies and approaches for biomass improvement and metabolite accumulation. Plant Cell Tiss. Organ Cult. 2014, 1–16. [Google Scholar] [CrossRef]
- Bonhomme, V.; Laurain-Mattar, D.; Fliniaux, M.A. Effects of the rolC gene on hairy root: Induction development and tropane alkaloid production by Atropa belladonna. J. Nat. Prod. 2000, 63, 1249–1252. [Google Scholar] [CrossRef] [PubMed]
- Bulgakov, V.P. Functions of rol genes in plant secondary metabolism. Biotechnol. Adv. 2008, 26, 318–324. [Google Scholar] [CrossRef]
- Tusevski, O.; Stanoeva, J.P.; Stefova, M.; Spasenoski, M.; Simic, S.G. State of antioxidant systems and phenolic compounds’ production in Hypericum perforatum L. hairy roots. Acta. Physiologiae. Plantarum. 2019, 41, 132. [Google Scholar] [CrossRef]
- Bergier, K.; Kuzniak, E.; Sklodowska, M. Antioxidant potential of Agrobacterium–transformed and non-transformed Physalis ixocarpa plants grown in vitro and ex vitro. Postepy. Hig. Med. Dosw. 2012, 66, 976–982. [Google Scholar] [CrossRef]
- Agostini, E.; Talano, M.A.; Gonzalez, P.S.; Oller, A.L.; Medina, M.I. Application of hairy roots for phytoremediation: What makes them an interesting tool for this purpose? Appl. Microbiol. Biotechnol. 2013, 97, 1017–1030. [Google Scholar] [CrossRef]
- Adewale, A.O.; David, A.A.; Abiodun, O.O. Studies on antimicrobial, antioxidant and phytochemical analysis of Urena lobata leave extract. J. Phys. Nat. Sci. 2007, 1, 12–20. [Google Scholar]
- Singh, D.; Singh, V.S. Isolation and Characterization of Flavonoids in Urena lobata Leaves. Eur. J. Med. Plants 2016, 11, 1–6. [Google Scholar] [CrossRef]
- Jia, L.; You, M.; Jing, L.L.; Zhou, S.A.; Kong, D.Y. Three new flavonoid glycosides from Urena lobata. J. Asian Nat. Prod. Res. 2011, 13, 907–914. [Google Scholar] [CrossRef] [PubMed]
- Shinde, A.N.; Malpathak, N.; Fulzele, D.P. Enhanced production of phytoestrogenic isoflavones from hairy root culture of Psoralea corylifolia L. using elicitation and precursor feeding. Biotechnol. Bioprocess Eng. 2009, 14, 288–294. [Google Scholar] [CrossRef]
- Ouyang, J.X.; Zhao, W.B.; Wang, Y. Enhanced production of phenylethanoid glycosides by precursor feeding to cell cultures of Cistanche deserticola. Proc. Biochem. 2005, 40, 3480–3484. [Google Scholar] [CrossRef]
- Mathew, R.; Sankar, P.D. Effect of methyl jasmonate and chitosan on growth characteristics of Ocimum basilicum L., Ocimum sanctum L. and Ocimum gratissimum L. cell suspension cultures. Afr. J. Biotechnol. 2012, 11, 4759–4766. [Google Scholar] [CrossRef]
- Yanjie, W.; Hongxu, W.; Lili, G.; Naiwei, S.; Ting, W.; Qichang, Z.; Lianbin, H.; Xingyu, G.; Guangyu, J. Chitosan oligosaccharide addition modifies nutrient ultilization in highly-valued ornamental tree seedlings. For. Environ. Sci. 2018, 34, 136–144. [Google Scholar]
- Udomsuk, L.; Jarukamjorn, K.; Tanaka, H.; Putalun, W. Improved isoflavonoid production in Pueraria candollei hairy root cultures using elicitation. Biotechnol. Lett. 2011, 33, 369–374. [Google Scholar] [CrossRef]
- Bhattacharyya, M.K.; Ward, E.W.B. Phenylalanine ammonia-lyase activity in soybean hypocotyls and leaves following infection with Phytophthora megasperma f.sp. glycinea. Can. J. Bot. 1988, 18–23. [Google Scholar] [CrossRef]
- Thadathil, N.; Velappan, S.P. Recent developments in chitosanase research and its biotechnological application: A review. Food Chem. 2014, 150, 392–399. [Google Scholar] [CrossRef]
- Khan, W.; Prithiviraj, B.; Smith, D.L. Chitosan and chitin oligomers increase phenylalanine ammonia-lyase and tyrosine ammonia-lyase activities in soybean leaves. J. Plant Physiol. 2003, 160, 859–863. [Google Scholar] [CrossRef] [PubMed]
- Funk, C.; Brodelius, P.E. Phenylpropanoid Metabolism in Suspension Cultures of Vanilla planifolia Andr. Plant Physiol. 1992, 99, 256–262. [Google Scholar] [CrossRef]
- Flocco, C.G.; Giulietti, A.M. Effect of chitosan on peroxidase activity and isoenzyme profile in hairy root culture of Armoracia lapathifolia. Appl. Biochem. Biotechnol. 2003, 110, 175–183. [Google Scholar] [CrossRef]
- Flocco, C.G.; Alvarez, M.A.; Flocco, C.G.; Giulietti, A.M. Peroxidase production in vitro by Armoracia lapathifolia (horseradish)-transformed root cultures: Effect of elicitation on level and profile of isozymes. Biotechnol. Appl. Biochem. 1998, 28, 33–38. [Google Scholar] [PubMed]
- Hasanloo, T.; Ahmadi, M.; Nekoei, S.M.K.; Jouzani, G.S. Improvement of silymarin production in hairy root cultures of Silybum marianum (L.) Gaertn using fungal elicitors. Rom. Biotechnol. Lett. 2013, 18, 8221–8232. [Google Scholar]
- Moersbacher, B.M.; Noll, U.M.; Flott, B.E.; Reisener, H.J. Lignin biosynthetic enzymes in stem rust infected, resistant and susceptible near-isogenic wheat lines. Physiol. Mol. Plant Pathol. 1988, 33, 33–46. [Google Scholar] [CrossRef]
- Wielanek, M.; Urbanek, H. Enhanced glucotropaeolin production in hairy root cultures of Tropaeolum majus L. by combining elicitation and precursor feeding. Plant. Cell. Tiss. Organ. Cult. 2006, 86, 177–186. [Google Scholar] [CrossRef]
- Qu, J.; Zhang, W.; Yu, X. A combination of elicitation and precursor feeding leads to increased anthocyanin synthesis in cell suspension cultures of Vitis vinifera. Plant. Cell. Tiss. Organ. Cult. 2011, 107, 261–269. [Google Scholar] [CrossRef]
- Cujic, N.; Savikin, K.; Jankovic, T.; Pljevljakusic, D.; Zdunic, G.; Ibric, S. Optimization of polyphenols extraction from dried chokeberry using maceration as traditional technique. Food Chem. 2016, 194, 135–142. [Google Scholar] [CrossRef]
- Dong, H.Q.; Li, M.; Zhu, F.; Huang, J.B. Inhibitory potential of trilobatin from Lithocarpus polystachyus Rehd against α-glucosidase and α-amylase linked to type 2 diabetes. Food Chem. 2012, 130, 261–266. [Google Scholar] [CrossRef]
- Singleton, V.L.; Rossi, J.A. Colorimetry of total phenolics with phosphomolybdic-phosphotungstic acid reagents. Am. J. Enol. Vitic. 1965, 16, 144–158. [Google Scholar]
- Makris, D.P.; Boskou, G.; Andrikopoulos, N.K. Polyphenolic content and in vitro antioxidant characteristics of wine industry and other agri-food solid waste extracts. J. Food. Compos. Anal. 2007, 20, 125–132. [Google Scholar] [CrossRef]
- Duta, F.P.; França, F.P.; Lopes, L.M.A. Optimization of culture conditions for exopolysaccharides production in Rhizobium sp. using the response surface method. Electron. J. Biotechnol. 2006, 9. [Google Scholar] [CrossRef]
- Edwards, K.; Johnstone, C.; Thompson, C. A simple and rapid method for the preparation of plant genomic DNA for PCR analysis. Nucleic Acids Res. 1991, 19, 1349. [Google Scholar] [CrossRef]









| RT (Days) | RR after 4 Days (%) | FW after 30 Days (g) | DW after 30 Days (g) | |
|---|---|---|---|---|
| Infection Time (Minutes) | ||||
| 0 | 5.33 ± 0.58 a | 0.00 ± 0.00 c | 61.58 ± 4.03 d | 2.32 ± 0.21 d |
| 10 | 3.00 ± 0.00 b | 100.00 ± 0.00 a | 114.42 ± 3.57 a | 4.93 ± 0.13 a |
| 30 | 3.00 ± 0.00 b | 100.00 ± 0.00 a | 95.41 ± 2.85 b | 4.29 ± 0.16 b |
| 60 | 4.67 ± 0.58 a | 53.33 ± 15.28 b | 80.27 ± 1.93 c | 3.15 ± 0.18 c |
| Type of Medium | ||||
| MS | 3.33 ± 0.58 b | 93.33 ± 5.77 a | 68.40 ± 4.65 b | 2.35 ± 0.22 a |
| B5 | 5.00 ± 0.00 a | 73.33 ± 5.77 b | 64.62 ± 4.02 b | 1.20 ± 0.18 b |
| WPM | 2.33 ± 0.58 c | 100.00 ± 0.00 a | 84.59 ± 3.27 a | 2.60 ± 0.22 a |
| Mineral Salt Strength: Water (v/v) | ||||
| 1/10 | 3.00 ± 0.00 a | 73.33 ± 5.77 b | 65.85 ± 2.39 b | 2.22 ± 0.74 b |
| 1/25 | 2.67 ± 0.58 a | 100.00 ± 0.00 a | 102.80 ± 2.69 a | 5.18 ± 0.16 a |
| 1/50 | 3.33 ± 0.58 a | 93.33 ± 5.77 a | 32.74 ± 2.26 c | 1.20 ± 0.39 b |
| RT (Days) | RR after 4 Days (%) | FW after 30 Days (g) | DW after 30 Days (g) | |
|---|---|---|---|---|
| Control (aeroponic non-transformed root) | 5.33 ± 0.58 a | 0.00 ± 0.00 b | 61.58 ± 4.03 c | 2.32 ± 0.21 b |
| AHRs in original procedure (30 min: MS: 1/25) | 3.00 ± 0.00 b | 100.00 ± 0.00 a | 68.28 ± 2.24 b | 2.43 ± 0.07 b |
| AHRs in optimized procedure (10 min: WPM: 1/25) | 2.33 ± 0.58 b | 100.00 ± 0.00 a | 130.39 ± 1.83 a | 7.24 ± 0.26 a |
| r | DW | GIA | FLA |
|---|---|---|---|
| Growth Kinetics (n = 18 samples) | |||
| GIA | 0.963 ** | ||
| FLA | 0.777 ** | 0.848 ** | |
| PHEL | 0.981 ** | 0.956 ** | 0.794 ** |
| Treatment with Phenylalanine (n = 15 samples) | |||
| GIA | ns | ||
| FLA | 0.627 * | ns | |
| PHEL | ns | ns | 0.884 * |
| Treatment with Chitosan Dosages and Exposure Time (n = 48 samples) | |||
| GIA | ns | ||
| FLA | ns | 0.575 ** | |
| PHEL | ns | 0.756 ** | 0.706 ** |
| Combined Effect (n = 12 samples) | |||
| GIA | ns | ||
| FLA | 0.755 ** | 0.778 ** | |
| PHEL | ns | 0.970 ** | 0.771 ** |
© 2020 by the authors. Licensee MDPI, Basel, Switzerland. This article is an open access article distributed under the terms and conditions of the Creative Commons Attribution (CC BY) license (http://creativecommons.org/licenses/by/4.0/).
Share and Cite
Cao, D.M.; Vu, P.T.B.; Hoang, M.T.T.; Bui, A.L.; Quach, P.N.D. Developing a Sufficient Protocol for the Enhancement of α-Glucosidase Inhibitory Activity by Urena lobata L. Aeroponic Hairy Roots Using Exogenous Factors, a Precursor, and an Elicitor. Plants 2020, 9, 548. https://doi.org/10.3390/plants9040548
Cao DM, Vu PTB, Hoang MTT, Bui AL, Quach PND. Developing a Sufficient Protocol for the Enhancement of α-Glucosidase Inhibitory Activity by Urena lobata L. Aeroponic Hairy Roots Using Exogenous Factors, a Precursor, and an Elicitor. Plants. 2020; 9(4):548. https://doi.org/10.3390/plants9040548
Chicago/Turabian StyleCao, Dai Minh, Phuong Thi Bach Vu, Minh Thi Thanh Hoang, Anh Lan Bui, and Phuong Ngo Diem Quach. 2020. "Developing a Sufficient Protocol for the Enhancement of α-Glucosidase Inhibitory Activity by Urena lobata L. Aeroponic Hairy Roots Using Exogenous Factors, a Precursor, and an Elicitor" Plants 9, no. 4: 548. https://doi.org/10.3390/plants9040548
APA StyleCao, D. M., Vu, P. T. B., Hoang, M. T. T., Bui, A. L., & Quach, P. N. D. (2020). Developing a Sufficient Protocol for the Enhancement of α-Glucosidase Inhibitory Activity by Urena lobata L. Aeroponic Hairy Roots Using Exogenous Factors, a Precursor, and an Elicitor. Plants, 9(4), 548. https://doi.org/10.3390/plants9040548

