Optimization of Artificial Light for Spinach Growth in Plant Factory Based on Orthogonal Test
Abstract
1. Introduction
2. Materials and Methods
2.1. Plant Material
2.2. Culture Device
2.3. Culture and Light Treatments
2.4. Data Collection
2.5. Experiment Design
2.6. Statistical Analysis
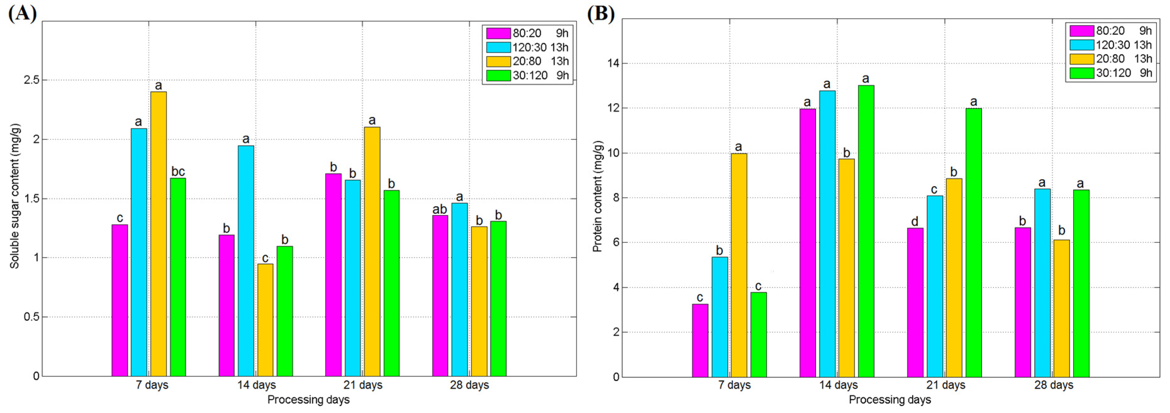
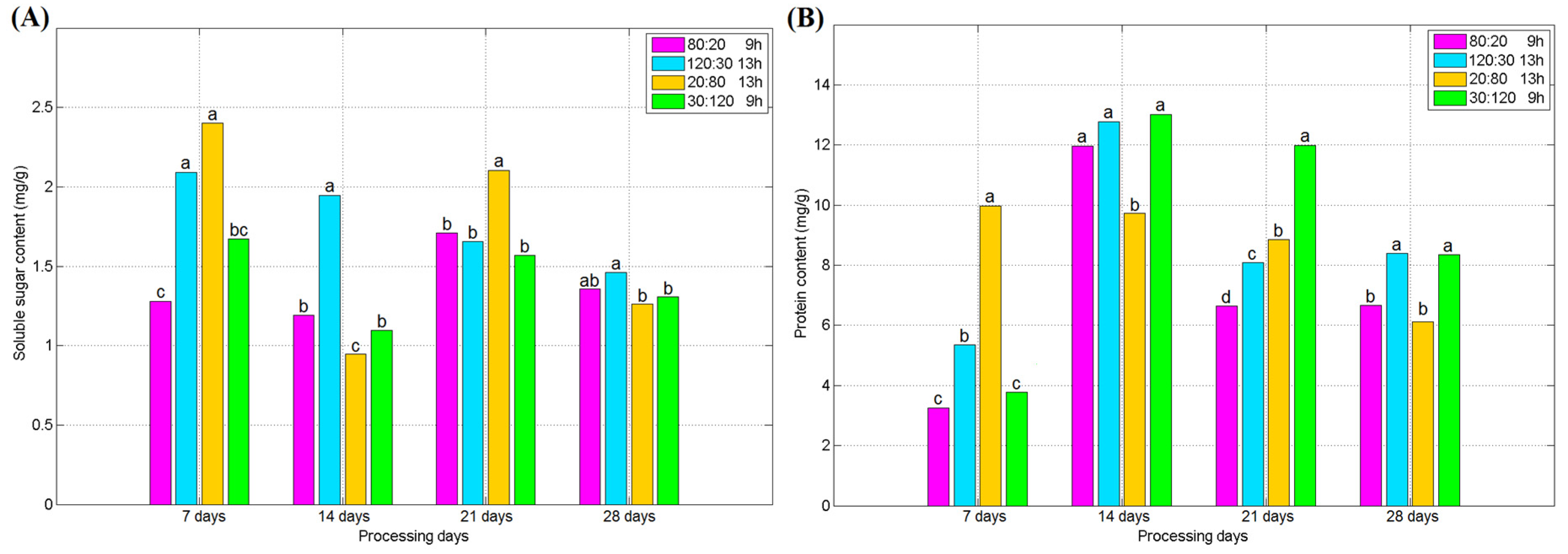
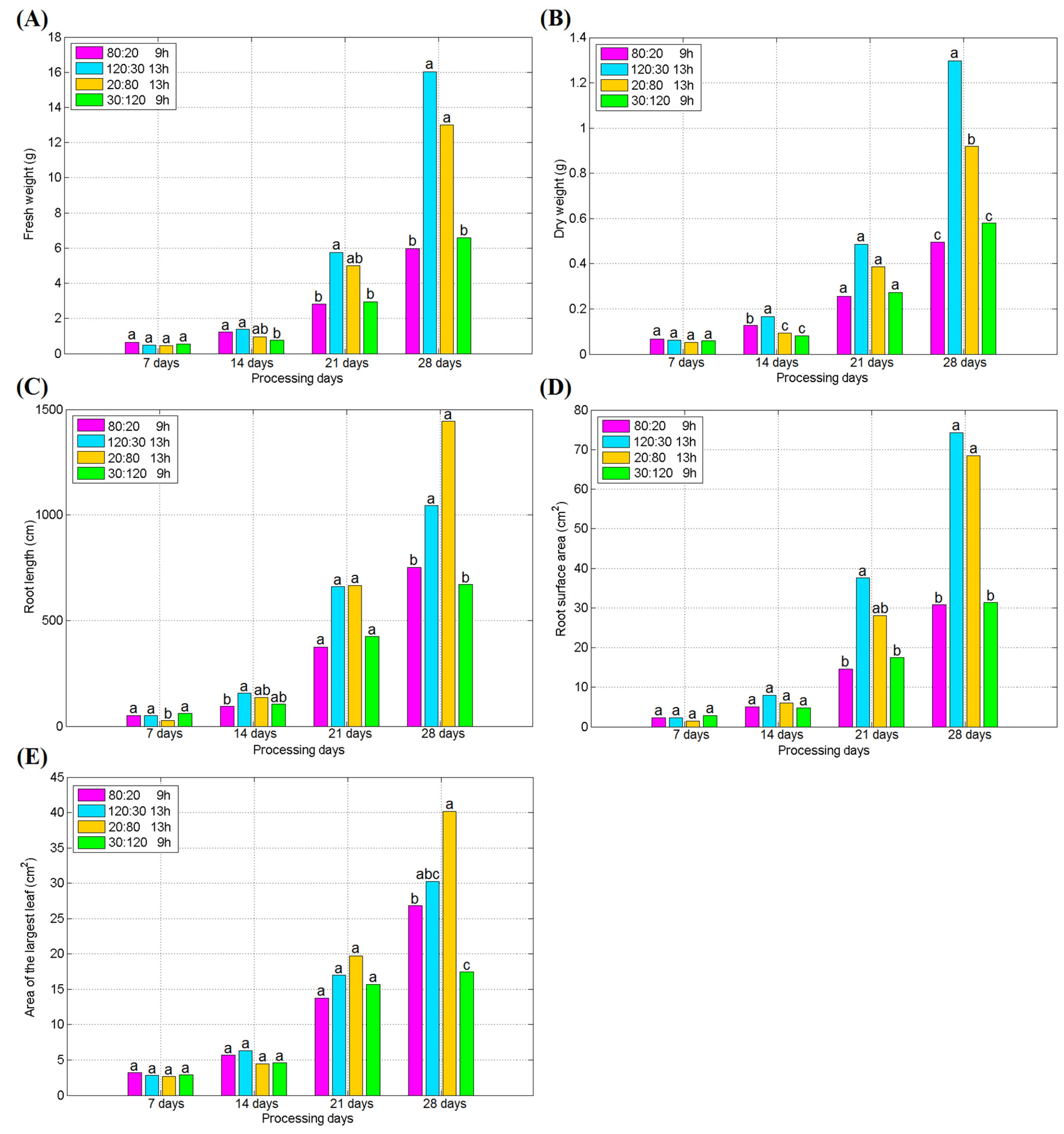
3. Results and Discussion
| Algorithm 1. The normalized scoring algorithm. |
| Input: a vector of quality indexes of spinach X |
| Output: a matrix including the normalized weight Z and the normalized score P |
| n=cols(X); ex=mean(X); σ=Stdev(X); σ2=Var(X) |
| for i∈0…n−1 |
| c=mean(Z); s=Stdev(Z); s2=Var(Z) |
for i∈0…n−1 return (Z; P) |
4. Conclusions
Author Contributions
Funding
Conflicts of Interest
References
- Duarte, J.H.; Costa, J.A.V. Blue light emitting diodes (LEDs) as an energy source in Chlorella fusca and Synechococcus nidulans cultures. Bioresour. Technol. 2018, 247, 1242–1245. [Google Scholar] [CrossRef] [PubMed]
- Kasim, M.U.; Kasim, R. While continuous white LED lighting increases chlorophyll content (SPAD), green LED light reduces the infection rate of lettuce during storage and shelf-life conditions. J. Food Process. Preserv. 2017, 41, e13266. [Google Scholar] [CrossRef]
- Rodyoung, A.; Masuda, Y.; Tomiyama, H.; Saito, T.; Okawa, K.; Ohara, H.; Kondo, S. Effects of light emitting diode irradiation at night on abscisic acid metabolism and anthocyanin synthesis in grapes in different growing seasons. Plant Growth Regul. 2016, 79, 39–46. [Google Scholar] [CrossRef]
- Lobiuc, A.; Vasilache, V.; Oroian, M.; Stoleru, T.; Burducea, M.; Pintilie, O.; Zamfirache, M. Blue and red LED illumination improves growth and bioactive compounds contents in acyanic and cyanic Ocimum basilicum L. Microgreens. Molecules 2017, 22, 2111. [Google Scholar] [CrossRef]
- Cioć, M.; Szewczyk, A.; Żupnik, M.; Kalisz, A.; Pawłowska, B. LED lighting affects plant growth, morphogenesis and phytochemical contents of Myrtus communis L. in vitro. Plant Cell Tissue Organ Cult. 2018, 132, 433–447. [Google Scholar] [CrossRef]
- Jensen, N.B.; Clausen, M.R.; Kjaer, K.H. Spectral quality of supplemental LED grow light permanently alters stomatal functioning and chilling tolerance in basil (Ocimum basilicum L.). Sci. Hortic. 2018, 227, 38–47. [Google Scholar] [CrossRef]
- Panjai, L.; Noga, G.; Fiebig, A.; Hunsche, M. Effects of continuous red light and short daily UV exposure during postharvest on carotenoid concentration and antioxidant capacity in stored tomatoes. Sci. Hortic. 2017, 226, 97–103. [Google Scholar] [CrossRef]
- Pawłowska, B.; Żupnik, M.; Szewczyk-Taranek, B.; Cioć, M. Impact of LED light sources on morphogenesis and levels of photosynthetic pigments in Gerbera jamesonii grown in vitro. Hortic. Environ. Biotechnol. 2018, 59, 115–123. [Google Scholar] [CrossRef]
- Bennie, J.; Davies, T.W.; Cruse, D.; Bell, F.; Gaston, K.J. Artificial light at night alters grassland vegetation species composition and phenology. J. Appl. Ecol. 2018, 55, 442–450. [Google Scholar] [CrossRef]
- Kang, D.; Kim, K.; Jang, Y.; Moon, H.; Ju, D.; Jahng, D. Nutrient removal and community structure of wastewater-borne algal-bacterial consortia grown in raw wastewater with various wavelengths of light. Int. Biodeterior. Biodegrad. 2018, 126, 10–20. [Google Scholar] [CrossRef]
- Su, Y.; Lundholm, N.; Ellegaard, M. The effect of different light regimes on diatom frustule silicon concentration. Algal Res. 2018, 29, 36–40. [Google Scholar] [CrossRef]
- Tonnabel, J.; David, P.; Pannell, J.R. Sex-specific strategies of resource allocation in response to competition for light in a dioecious plant. Oecologia 2017, 185, 675–686. [Google Scholar] [CrossRef] [PubMed]
- Rehman, M.; Ullah, S.; Bao, Y.; Wang, B.; Peng, D.; Liu, L. Light-emitting diodes: Whether an efficient source of light for indoor plants? Environ. Sci. Pollut. Res. 2017, 24, 24743–24752. [Google Scholar] [CrossRef] [PubMed]
- Taulavuori, E.; Taulavuori, K.; Holopainen, J.K.; Julkunen-Tiitto, R.; Acar, C.; Dincer, I. Targeted use of LEDs in improvement of production efficiency through phytochemical enrichment. J. Sci. Food Agric. 2017, 97, 5059–5064. [Google Scholar] [CrossRef]
- Xu, Y. Seven dimensions of light in regulating plant growth. Acta Hortic. 2016, 445–452. [Google Scholar] [CrossRef]
- Najera, C.; Urrestarazu, M. Effect of the intensity and spectral quality of LED light on yield and nitrate accumulation in vegetables. Hortscience 2019, 54, 1745–1750. [Google Scholar] [CrossRef]
- Burattini, C.; Mattoni, B.; Bisegna, F. The impact of spectral composition of white LEDs on spinach (Spinacia oleracea) growth and development. Energies 2017, 10, 1383. [Google Scholar] [CrossRef]
- Guo, C.; Cui, Y.; Shi, Y.; Luo, Y.; Liu, F.; Wan, D.; Ma, Z. Improved test to determine design parameters for optimization of free surface flow constructed wetlands. Bioresour. Technol. 2019, 280, 199–212. [Google Scholar] [CrossRef]
- Zhang, H.; Deng, L.; Yao, S.; Ming, J.; Zeng, K. Optimization of a vacuum-drying protectants for the biocontrol agent Pichia membranifaciens and its influence on viability and efficacy. Biol. Control 2020, 142, 104115. [Google Scholar] [CrossRef]
- Wang, X.; Xu, F.; Zhang, H.; Peng, L.; Zhen, Y.; Wang, L.; Xu, Y.; He, D.; Li, X. Orthogonal test design for optimization of the extraction of essential oil from Asarum heterotropoides var. Mandshuricum and evaluation of its antibacterial activity against periodontal pathogens. 3 Biotech 2018, 8, 473. [Google Scholar] [CrossRef]
- Cárdenas, D.M.M.; Cardona, W.A.; Muñoz, M.C.G.; Benavides, M.M.B. Relationship between variable doses of N, P, K and Ca and the physicochemical and proximal characteristics of andean blackberry (Rubus glaucus Benth.). Sci. Hortic. 2019, 256, 108528. [Google Scholar]
- Ni, H.; Wu, Z.; Muhammad, I.; Lu, Z.; Li, J. Optimization of baicalin water extraction process from Scutellaria baicalensis (a traditional Chinese medicine) by using orthogonal test and HPLC. Rev. Bras. Farmacogn. 2018, 28, 151–155. [Google Scholar] [CrossRef]
- Yan, Z.; Li, X.; Chen, J.; Tam, N.F. Combined toxicity of cadmium and copper in Avicennia marina seedlings and the regulation of exogenous jasmonic acid. Ecotoxicol. Environ. Saf. 2015, 113, 124–132. [Google Scholar] [CrossRef] [PubMed]
- Cao, X.; Zhu, C.; Zhong, C.; Hussain, S.; Zhu, L.; Wu, L.; Jin, Q. Mixed-nitrogen nutrition-mediated enhancement of drought tolerance of rice seedlings associated with photosynthesis, hormone balance and carbohydrate partitioning. Plant Growth Regul. 2018, 84, 451–465. [Google Scholar] [CrossRef]
- Nicolás, P.; Lassalle, V.L.; Ferreira, M.L. Quantification of immobilized Candida antarctica lipase B (CALB) using ICP-AES combined with Bradford method. Enzym. Microb. Technol. 2017, 97, 97–103. [Google Scholar] [CrossRef] [PubMed]
- Patel, R.S.; Patel, C.N. Development and validation of zero absorbance method for simultaneous estimation of aliskiren and amlodipine in combined dosage form. Asian J. Pharm. Anal. 2016, 6, 138–142. [Google Scholar] [CrossRef]
- Ramluckan, K.; Moodley, K.G.; Bux, F. An evaluation of the efficacy of using selected solvents for the extraction of lipids from algal biomass by the soxhlet extraction method. Fuel 2014, 116, 103–108. [Google Scholar] [CrossRef]
- Liu, Y.; Sun, Y.; Infield, D.; Zhao, Y.; Han, S.; Yan, J. A hybrid forecasting method for wind power ramp based on orthogonal test and support vector machine (OT-SVM). IEEE Trans. Sustain. Energy 2016, 8, 451–457. [Google Scholar] [CrossRef]
- Wang, C.; Wu, X. Significant difference analysis of myocardial ischemia indicators based on synthesized algorithm. In Proceedings of the 2015 IEEE International Conference on Digital Signal Processing (DSP), Singapore, 21–24 July 2015. [Google Scholar]








| Red Light (μmol∙m−2∙s−1) | Blue Light (μmol∙m−2∙s−1) | Photoperiod (h) | Daily Light Integral (mol∙m−2∙d−1) | |
|---|---|---|---|---|
| Treatment 1 | 80 | 20 | 9/15 | 3.24 |
| Treatment 2 | 120 | 30 | 13/11 | 7.02 |
| Treatment 3 | 20 | 80 | 13/11 | 4.68 |
| Treatment 4 | 30 | 120 | 9/15 | 4.86 |
| A (Light Quality) | B (Light Intensity) | C (Photoperiod) | Fresh Weight (g) | Dry Weight (g) | Root Length (cm) | Root Surface Area (cm2) | Area of the Largest Leaf (cm2) | |
|---|---|---|---|---|---|---|---|---|
| Treatment 1 | A1 (4:1) | B1 (100) | C1 (9/15 h) | 5.963 | 0.495 | 750.749 | 30.803 | 26.845 |
| Treatment 2 | A1 | B2 (150) | C2 (13/11 h) | 16.016 | 1.298 | 1045.636 | 74.222 | 30.224 |
| Treatment 3 | A2 (1:4) | B1 | C2 | 13.015 | 0.918 | 1445.394 | 68.472 | 40.121 |
| Treatment 4 | A2 | B2 | C1 | 6.578 | 0.580 | 670.054 | 31.382 | 16.135 |
| k1 | k2 | R | Excellent Level | |
|---|---|---|---|---|
| Fresh weight (g) | k1A = 10.990 | k2A = 9.797 | 1.193 | A1 |
| k1B = 9.489 | k2B = 11.297 | 1.808 | B2 | |
| k1C = 6.271 | k2C = 14.516 | 8.245 | C2 | |
| Dry weight (g) | k1A = 0.897 | k2A = 0.749 | 0.148 | A1 |
| k1B = 0.707 | k2B = 0.939 | 0.232 | B2 | |
| k1C = 0.538 | k2C = 1.108 | 0.57 | C2 | |
| Root length (cm) | k1A = 898.193 | k2A = 1057.724 | 159.531 | A2 |
| k1B = 1098.072 | k2B = 857.845 | 240.227 | B1 | |
| k1C = 710.402 | k2C = 1245.515 | 535.113 | C2 | |
| Root surfacearea (cm2) | k1A = 52.513 | k2A = 49.927 | 2.586 | A1 |
| k1B = 49.638 | k2B = 52.802 | 3.164 | B2 | |
| k1C = 31.093 | k2C = 71.347 | 40.254 | C2 | |
| Area of the largest leaf (cm2) | k1A = 28.535 | k2A = 28.128 | 0.407 | A1 |
| k1B = 33.483 | k2B = 23.180 | 10.303 | B1 | |
| k1C = 21.490 | k2C = 35.173 | 13.683 | C2 |
| Soluble Sugar | Protein | Total Chlorophyll | |||||||
|---|---|---|---|---|---|---|---|---|---|
| Treatment 1 | 0.505 | 0.515 | 0.627 | 0.369 | 0.140 | 0.269 | 0.164 | 0.112 | 0.117 |
| Treatment 2 | 0.854 | 0.925 | 0.966 | 0.842 | 0.765 | 0.859 | 0.872 | 0.843 | 0.883 |
| Treatment 3 | 0.089 | 0.158 | 0.207 | 0.121 | 0.128 | 0.117 | 0.264 | 0.193 | 0.317 |
| Treatment 4 | 0.276 | 0.237 | 0.417 | 0.879 | 0.759 | 0.803 | 0.506 | 0.863 | 0.822 |
| Carotenoid | Malondialdehyde | Comprehensive Score | |||||||
|---|---|---|---|---|---|---|---|---|---|
| Treatment 1 | 0.174 | 0.143 | 0.143 | 0.880 | 0.856 | 0.829 | 3.084 | 2.682 | 2.681 |
| Treatment 2 | 0.559 | 0.312 | 0.383 | 0.068 | 0.124 | 0.061 | 3.625 | 3.272 | 3.616 |
| Treatment 3 | 0.458 | 0.383 | 0.559 | 0.312 | 0.504 | 0.352 | 1.480 | 1.477 | 1.967 |
| Treatment 4 | 0.746 | 0.994 | 0.785 | 0.654 | 0.713 | 0.815 | 3.435 | 3.870 | 3.937 |
| A (Light Quality) | B (Light Intensity) | C (Photoperiod) | Comprehensive Score | Sum | |||
|---|---|---|---|---|---|---|---|
| Treatment 1 | A1 (4:1) | B1 (100) | C1 (9/15 h) | 3.084 | 2.682 | 2.681 | 8.447 |
| Treatment 2 | A1 | B2 (150) | C2 (13/11 h) | 3.625 | 3.272 | 3.616 | 10.513 |
| Treatment 3 | A2 (1:4) | B1 | C2 | 1.480 | 1.477 | 1.967 | 4.924 |
| Treatment 4 | A2 | B2 | C1 | 3.435 | 3.870 | 3.937 | 11.242 |
| K1 | K2 | k1 | k2 | R | Excellent Level |
|---|---|---|---|---|---|
| 18.960 | 16.166 | 9.480 | 8.083 | 1.397 | A1 |
| 13.371 | 21.755 | 6.686 | 10.878 | 4.192 | B2 |
| 19.689 | 15.437 | 9.845 | 7.719 | 2.126 | C1 |
| Variance Source | Sum of Squared Errors | Degree of Freedom | Mean Square | F value | Significance |
|---|---|---|---|---|---|
| A (Light quality) | 0.651 | 1 | 0.651 | 10.50 | ≥ F0.05(1,8)* |
| B (light intensity) | 5.858 | 1 | 5.858 | 94.48 | ≥ F0.01(1,8)* |
| C (photoperiod) | 1.507 | 1 | 1.507 | 24.31 | ≥ F0.01(1,8)* |
| Errors | 0.497 | 8 | 0.062 |
© 2020 by the authors. Licensee MDPI, Basel, Switzerland. This article is an open access article distributed under the terms and conditions of the Creative Commons Attribution (CC BY) license (http://creativecommons.org/licenses/by/4.0/).
Share and Cite
Zou, T.; Huang, C.; Wu, P.; Ge, L.; Xu, Y. Optimization of Artificial Light for Spinach Growth in Plant Factory Based on Orthogonal Test. Plants 2020, 9, 490. https://doi.org/10.3390/plants9040490
Zou T, Huang C, Wu P, Ge L, Xu Y. Optimization of Artificial Light for Spinach Growth in Plant Factory Based on Orthogonal Test. Plants. 2020; 9(4):490. https://doi.org/10.3390/plants9040490
Chicago/Turabian StyleZou, Tengyue, Chuanhui Huang, Pengfei Wu, Long Ge, and Yong Xu. 2020. "Optimization of Artificial Light for Spinach Growth in Plant Factory Based on Orthogonal Test" Plants 9, no. 4: 490. https://doi.org/10.3390/plants9040490
APA StyleZou, T., Huang, C., Wu, P., Ge, L., & Xu, Y. (2020). Optimization of Artificial Light for Spinach Growth in Plant Factory Based on Orthogonal Test. Plants, 9(4), 490. https://doi.org/10.3390/plants9040490
