Determinants of Shoot Biomass Production in Mulberry: Combined Selection with Leaf Morphological and Physiological Traits
Abstract
1. Introduction
2. Results
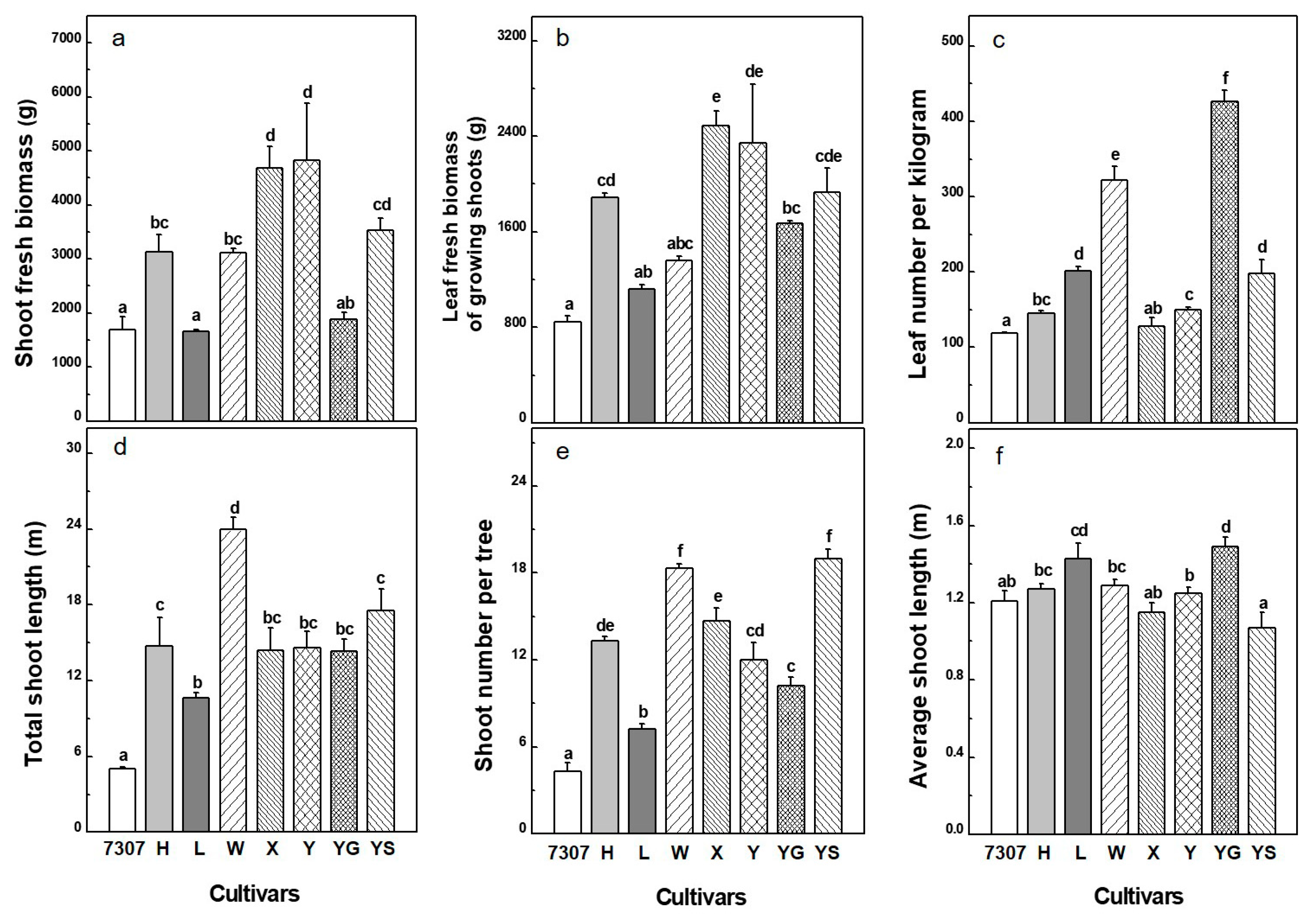
2.1. Cultivar Variations in Agronomic Traits
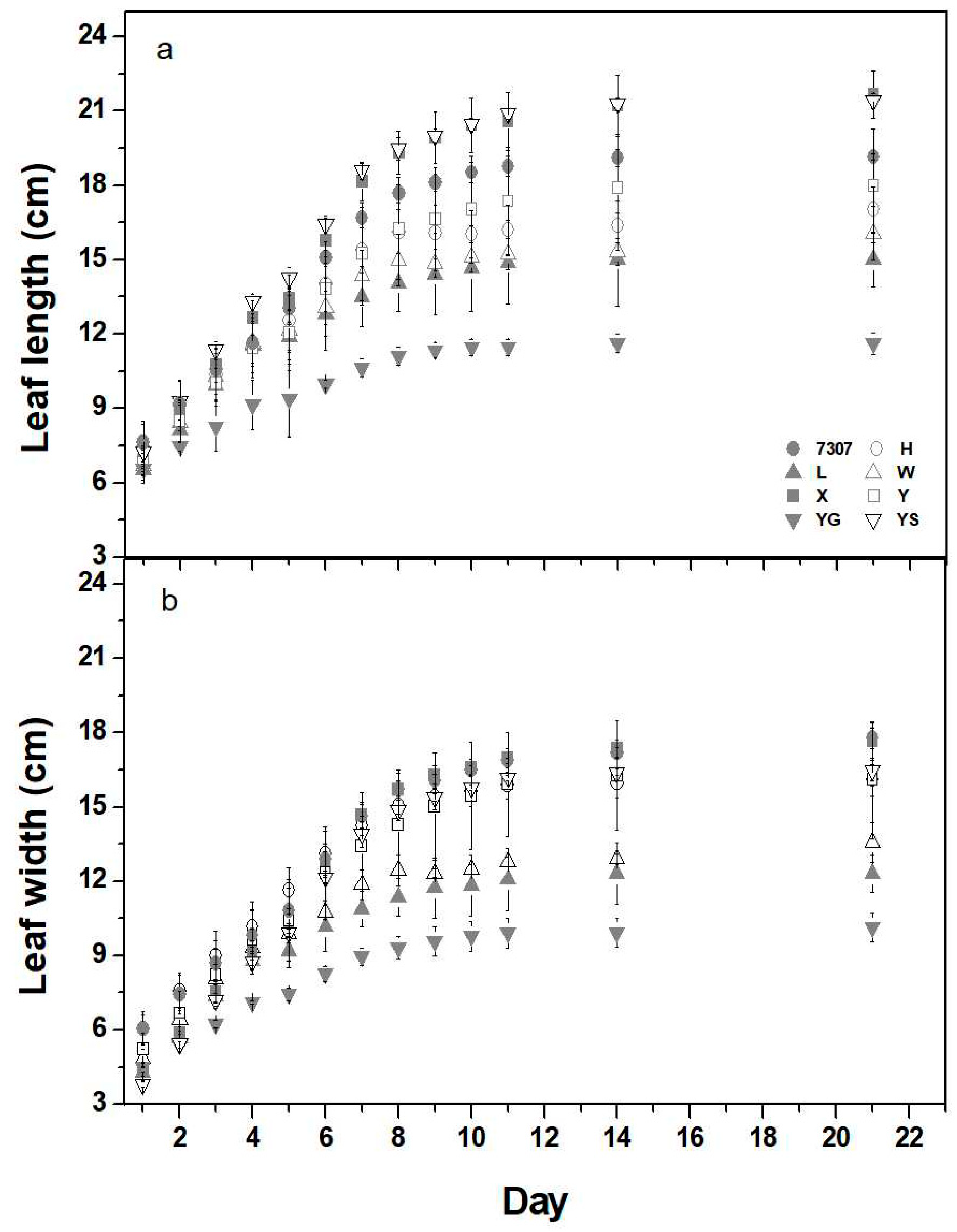
2.2. Variations in Shoot Morphological Traits
2.3. Variations in Leaf Physiological Traits
2.4. Shoot Biomass Analysis
3. Discussion
3.1. Cultivar Variation in Shoot Biomass and Related Functional Traits
3.2. Leaf Physiological Traits Predicting Shoot Biomass
3.3. Leaf Morphological Traits Predicting Shoot Biomass
4. Materials and Methods
4.1. Plant Material and Growth Conditions
4.2. Shoot Morphological and Agronomic Traits Measurements
4.3. Leaf Physiological Traits Analysis
4.4. Statistical Analysis
Supplementary Materials
Author Contributions
Acknowledgments
Conflicts of Interest
References
- Herr, J.R. Bioenergy from trees. New Phytol. 2012, 193, 288. [Google Scholar] [CrossRef]
- Borchard, N.; Bulusu, M.; Hartwig, A.M.; Ulrich, M.; Lee, S.M.; Baral, H. Screening potential bioenergy production of tree species in degraded and marginal land in the tropics. Forests 2018, 9, 594. [Google Scholar] [CrossRef]
- Sarkar, T.; Mogili, T.; Sivaprasad, V. Improvement of abiotic stress adaptive traits in mulberry (Morus spp.): An update on biotechnological interventions. 3 Biotech 2017, 7, 214. [Google Scholar] [CrossRef] [PubMed]
- Alpizar-Naranjo, A.; Arece-Garcia, J.; Esperance, M.; Lopez, Y.; Molina, M.; Gonzalez-Garcia, E. Partial or total replacement of commercial concentrate with on-farm-grown mulberry forage: Effects on lamb growth and feeding costs. Trop. Anim. Health Prod. 2017, 49, 537–546. [Google Scholar] [CrossRef]
- Necyk, C.; Zubach-Cassano, L. Natural health products and diabetes: A practical review. Can. J. Diabetes 2017, 41, 642–647. [Google Scholar] [CrossRef] [PubMed]
- Lu, L.; Tang, Y.; Xie, J.-S.; Yuan, Y.-L. The role of marginal agricultural land-based mulberry planting in biomass energy production. Renew. Energy 2009, 34, 1789–1794. [Google Scholar] [CrossRef]
- Sharma, S.K.; Zote, K.K. MULBERRY—A multipurpose tree species for varied climate. Range Manag. Agrofor. 2010, 31, 97–101. [Google Scholar]
- Velazquez-Marti, B.; Sajdak, M.; Lopez-Cortes, I. Available residual biomass obtained from pruning Morus alba L. trees cultivated in urban forest. Renew. Energy 2013, 60, 27–33. [Google Scholar] [CrossRef]
- Wang, Y.; Wu, K.; Zhen, Z.; Shi, Z.; Yang, H.; Zhang, J.; Yang, J. Combined pretreatment with NaOH and fenton of mulberry wood to enhance enzymatic digestibility for biofuels. J. Biobased Mater. Bioenergy 2018, 12, 65–75. [Google Scholar] [CrossRef]
- Madan, M.; Sharma, S. Biomass yield of hybrid varieties of mulberry in a non-moriculture area. Biomass Bioenergy 1999, 17, 427–433. [Google Scholar] [CrossRef]
- Weih, M.; Nordh, N.-E. Determinants of biomass production in hybrid willows and prediction of field performance from pot studies. Tree Physiol. 2005, 25, 1197–1206. [Google Scholar] [CrossRef]
- Brown, K.R.; Courtin, P.J.; Negrave, R.W. Growth, foliar nutrition and δ13C responses of red alder (Alnus rubra) to phosphorus additions soon after planting on moist sites. Forest Ecol. Manag. 2011, 262, 791–802. [Google Scholar] [CrossRef]
- Cheng, X.; Xie, H.; Zhang, L.; Wang, M.; Li, C.; Yu, M.; He, Z. A comparative study of growth and leaf trait variation in twenty Cornus wilsoniana W. families in southeastern China. Iforest 2017, 10, 759–765. [Google Scholar] [CrossRef]
- Marron, N.; Villar, M.; Dreyer, E.; Delay, D.; Boudouresque, E.; Petit, J.-M.; Delmotte, F.M.; Guehl, J.-M.; Brignolas, F. Diversity of leaf traits related to productivity in 31 Populus deltoides × Populus nigra clones. Tree Physiol. 2005, 25, 425–435. [Google Scholar] [CrossRef] [PubMed]
- Lopez-Sampson, A.; Cernusak, L.A.; Page, T. Relationship between leaf functional traits and productivity in Aquilaria crassna (Thymelaeaceae) plantations: A tool to aid in the early selection of high-yielding trees. Tree Physiol. 2017, 37, 645–653. [Google Scholar] [CrossRef]
- Dillen, S.Y.; Marron, N.; Sabatti, M.; Ceulemans, R.; Bastien, C. Relationships among productivity determinants in two hybrid poplar families grown during three years at two contrasting sites. Tree Physiol. 2009, 29, 975–987. [Google Scholar] [CrossRef]
- Mueller, A.; Horna, V.; Kleemann, F.; Vornam, B.; Leuschner, C. Physiological vs. morphological traits controlling the productivity of six aspen full-sib families. Biomass Bioenergy 2013, 56, 274–283. [Google Scholar] [CrossRef]
- Nemeskeri, E.; Kovacs-Nagy, E.; Sardi, E. Relationships between the biochemical and spectral traits of leaves and the productivity of apple trees in organic and integrated production systems. Biol. Agric. Hortic. 2017, 33, 97–114. [Google Scholar] [CrossRef]
- Farquhar, G.D.; Ehleringer, J.R.; Hubick, K.T. Carbon isotope discrimination and photosynthesis. Annu. Rev. Plant Physiol. Plant Mol. Biol. 1989, 40, 503–537. [Google Scholar] [CrossRef]
- Bartholome, J.; Mabiala, A.; Savelli, B.; Bert, D.; Brendel, O.; Plomion, C.; Gion, J.-M. Genetic architecture of carbon isotope composition and growth in Eucalyptus across multiple environments. New Phytol. 2015, 206, 1437–1449. [Google Scholar] [CrossRef]
- Seibt, U.; Rajabi, A.; Griffiths, H.; Berry, J.A. Carbon isotopes and water use efficiency: Sense and sensitivity. Oecologia 2008, 155, 441–454. [Google Scholar] [CrossRef]
- Jannatul Fardusi, M.; Pedro Ferrio, J.; Comas, C.; Voltas, J.; Resco de Dios, V.; Serrano, L. Intra-specific association between carbon isotope composition and productivity in woody plants: A meta-analysis. Plant Sci. 2016, 251, 110–118. [Google Scholar] [CrossRef]
- Thomas, F.M.; Yu, R.; Schaefer, P.; Zhang, X.; Lang, P. How diverse are Populus “diversifolia” leaves? Linking leaf morphology to ecophysiological and stand variables along water supply and salinity gradients. Flora 2017, 233, 68–78. [Google Scholar] [CrossRef]
- Pellis, A.; Laureysens, I.; Ceulemans, R. Growth and production of a short rotation coppice culture of poplar I. Clonal differences in leaf characteristics in relation to biomass production. Biomass Bioenergy 2004, 27, 9–19. [Google Scholar] [CrossRef]
- Marron, N.; Dillen, S.Y.; Ceulemans, R. Evaluation of leaf traits for indirect selection of high yielding poplar hybrids. Environ. Exp. Bot. 2007, 61, 103–116. [Google Scholar] [CrossRef]
- Ghosh, M.K.; Das, N.K.; Nath, S.; Ghosh, P.K.; Datta, R.N.; Bajpai, A.K. Heterosis for leaf yield and its components in mulberry (Morus sp.). Indian J. Agric. Sci. 2009, 79, 804–807. [Google Scholar]
- Cao, X.; Jia, J.B.; Li, H.; Li, M.C.; Luo, J.; Liang, Z.S.; Liu, T.X.; Liu, W.G.; Peng, C.H.; Luo, Z.B. Photosynthesis, water use efficiency and stable carbon isotope composition are associated with anatomical properties of leaf and xylem in six poplar species. Plant Biol. 2012, 14, 612–620. [Google Scholar] [CrossRef]
- Kanaga, M.K.; Ryel, R.J.; Mock, K.E.; Pfrender, M.E. Quantitative-genetic variation in morphological and physiological traits within a quaking aspen (Populus tremuloides) population. Can. J. Forest Res. 2008, 38, 1690–1694. [Google Scholar] [CrossRef]
- Schifman, L.A.; Stella, J.C.; Volk, T.A.; Teece, M.A. Carbon isotope variation in shrub willow (Salix spp.) ring-wood as an indicator of long-term water status, growth and survival. Biomass Bioenergy 2012, 36, 316–326. [Google Scholar] [CrossRef]
- Moran, E.; Lauder, J.; Musser, C.; Stathos, A.; Shu, M. The genetics of drought tolerance in conifers. New Phytol. 2017, 216, 1034–1048. [Google Scholar] [CrossRef]
- Fischer, P.M.; du Toit, B. Use of δ13C as water stress indicator and potential silvicultural decision support tool in Pinus radiata stand management in South Africa. Iforest 2019, 12, 51–60. [Google Scholar] [CrossRef]
- Osakabe, Y.; Osakabe, K.; Shinozaki, K.; Tran, L.S.P. Response of plants to water stress. Front. Plant Sci. 2014, 5, 86. [Google Scholar] [CrossRef]
- Orchard, K.A.; Cernusak, L.A.; Hutley, L.B. Photosynthesis and water-use efficiency of seedlings from northern Australian monsoon forest, savanna and swamp habitats grown in a common garden. Funct. Plant Biol. 2010, 37, 1050–1060. [Google Scholar] [CrossRef]
- Kerr, K.L.; Meinzer, F.C.; McCulloh, K.A.; Woodruff, D.R.; Marias, D.E. Expression of functional traits during seedling establishment in two populations of Pinus ponderosa from contrasting climates. Tree Physiol. 2015, 35, 535–548. [Google Scholar] [CrossRef]
- Querejeta, J.I.; Barbera, G.G.; Granados, A.; Castillo, V.M. Afforestation method affects the isotopic composition of planted Pinus halepensis in a semiarid region of Spain. Forest Ecol. Manag. 2008, 254, 56–64. [Google Scholar] [CrossRef]
- Marguerit, E.; Bouffier, L.; Chancerel, E.; Costa, P.; Lagane, F.; Guehl, J.M.; Plomion, C.; Brendel, O. The genetics of water-use efficiency and its relation to growth in maritime pine. J. Exp. Bot. 2014, 65, 4757–4768. [Google Scholar] [CrossRef] [PubMed]
- Cregg, B.M.; Zhang, J.W. Physiology and morphology of Pinus sylvestris seedlings from diverse sources under cyclic drought stress. Forest Ecol. Manag. 2001, 154, 131–139. [Google Scholar] [CrossRef]
- Cao, X.; Jia, J.; Zhang, C.; Li, H.; Liu, T.; Jiang, X.; Polle, A.; Peng, C.; Luo, Z.B. Anatomical, physiological and transcriptional responses of two contrasting poplar genotypes to drought and re-watering. Physiol. Plant. 2014, 151, 480–494. [Google Scholar] [CrossRef]
- Verlinden, M.S.; Fichot, R.; Broeckx, L.S.; Vanholme, B.; Boerjan, W.; Ceulemans, R. Carbon isotope compositions (δ13C) of leaf, wood and holocellulose differ among genotypes of poplar and between previous land uses in a short-rotation biomass plantation. Plant Cell Environ. 2015, 38, 144–156. [Google Scholar] [CrossRef] [PubMed]
- Ingwers, M.W.; Zhao, D.; Kane, M.B.; Markewitz, D.; Teskey, R.O. Relationships among growth, δ13C, foliar nitrogen concentration, foliar nitrogen content and intercepted radiation at different cultural intensities, planting densities and site indices reveal the importance of water use efficiency in mid-rotation loblolly pine stands. Forest Ecol. Manag. 2018, 422, 233–240. [Google Scholar]
- Ducrey, M.; Huc, R.; Ladjal, M.; Guehl, J.M. Variability in growth, carbon isotope composition, leaf gas exchange and hydraulic traits in the eastern Mediterranean cedars Cedrus libani and C. brevifolia. Tree Physiol. 2008, 28, 689–701. [Google Scholar] [CrossRef][Green Version]
- Li, H.; Li, M.; Luo, J.; Cao, X.; Qu, L.; Gai, Y.; Jiang, X.; Liu, T.; Bai, H.; Janz, D.; et al. N-fertilization has different effects on the growth, carbon and nitrogen physiology, and wood properties of slow- and fast-growing Populus species. J. Exp. Bot. 2012, 63, 6173–6185. [Google Scholar] [CrossRef] [PubMed]
- Luo, J.; Li, H.; Liu, T.; Polle, A.; Peng, C.; Luo, Z.B. Nitrogen metabolism of two contrasting poplar species during acclimation to limiting nitrogen availability. J. Exp. Bot. 2013, 64, 4207–4224. [Google Scholar] [CrossRef]
- Gauthier, P.P.; Lamothe, M.; Mahe, A.; Molero, G.; Nogues, S.; Hodges, M.; Tcherkez, G. Metabolic origin of δ15N values in nitrogenous compounds from Brassica napus L. leaves. Plant Cell Environ. 2013, 36, 128–137. [Google Scholar] [CrossRef] [PubMed]
- Evans, R.D. Physiological mechanisms influencing plant nitrogen isotope composition. Trends Plant Sci. 2001, 6, 121–126. [Google Scholar] [CrossRef]
- Bongale, U.D.; Gowda, S.N.N.; Veeresh, M. Effect of different plant densities and nitrogen levels on Viswa (DD), S-36 and M-5 mulberry (Morus indica L.) varieties under irrigated condition. Indian J. Seric. 2000, 39, 103–107. [Google Scholar]
- Perry, E.; Hickman, G.W. Correlating foliar nitrogen levels with growth in two landscape tree species. J. Arboric. 1998, 24, 149–153. [Google Scholar]
- Panda, B.B.; Sharma, S.; Mohapatra, P.K.; Das, A. Application of excess nitrogen, phosphorus, and potassium fertilizers leads to lowering of grain iron content in high-yielding tropical rice. Commun. Soil Sci. Plant Anal. 2012, 43, 2590–2602. [Google Scholar] [CrossRef]
- Luo, J.; Zhou, J.J.; Masclaux-Daubresse, C.; Wang, N.; Wang, H.; Zheng, B. Morphological and physiological responses to contrasting nitrogen regimes in Populus cathayana is linked to resources allocation and carbon/nitrogen partition. Environ. Exp. Bot. 2019, 162, 247–255. [Google Scholar] [CrossRef]
- Luo, J.; Zhou, J.J. Growth performance, photosynthesis, and root characteristics are associated with nitrogen use efficiency in six poplar species. Environ. Exp. Bot. 2019. [Google Scholar] [CrossRef]
- Mao, L.; Story, R.N.; Hammond, A.M.; Peterson, J.K.; Labonte, D.R. Effect of nitrogen on resistance of sweet potato to sweetpotato weevil (Coleoptera: Curculionidae) and on storage root chemistry. J. Econ. Entomol. 2001, 94, 1285–1291. [Google Scholar] [CrossRef] [PubMed]
- Rashid, M.M.; Jahan, M.; Islam, K.S. Impact of nitrogen, phosphorus and potassium on brown planthopper and tolerance of its host rice plants. Rice Sci. 2016, 23, 119–131. [Google Scholar] [CrossRef]
- Mokhele, B.; Zhan, X.; Yang, G.; Zhang, X. Review: Nitrogen assimilation in crop plants and its affecting factors. Can. J. Plant Sci. 2012, 92, 399–405. [Google Scholar] [CrossRef]
- Masclaux-Daubresse, C.; Daniel-Vedele, F.; Dechorgnat, J.; Chardon, F.; Gaufichon, L.; Suzuki, A. Nitrogen uptake, assimilation and remobilization in plants: Challenges for sustainable and productive agriculture. Ann. Bot. 2010, 105, 1141–1157. [Google Scholar] [CrossRef]
- Larkum, A.W.D.; Ritchie, R.J.; Raven, J.A. Living off the sun: Chlorophylls, bacteriochlorophylls and rhodopsins. Photosynthetica 2018, 56, 11–43. [Google Scholar] [CrossRef]
- He, L.; Chen, J.; Croft, H.; Gonsamo, A.; Luo, X.; Liu, J.; Zheng, T.; Liu, R.; Liu, Y. Nitrogen availability dampens the positive impacts of CO2 fertilization on terrestrial ecosystem carbon and water cycles. Geophys. Res. Lett. 2017, 44, 11590–11600. [Google Scholar] [CrossRef]
- Luo, X.; Croft, H.; Chen, J.M.; Bartlett, P.; Staebler, R.; Froelich, N. Incorporating leaf chlorophyll content into a two-leaf terrestrial biosphere model for estimating carbon and water fluxes at a forest site. Agric. Forest Meteorol. 2018, 248, 156–168. [Google Scholar] [CrossRef]
- Li, Y.; Liu, C.; Zhang, J.; Yang, H.; Xu, L.; Wang, Q.; Sack, L.; Wu, X.; Hou, J.; He, N. Variation in leaf chlorophyll concentration from tropical to cold-temperate forests: Association with gross primary productivity. Ecol. Indic. 2018, 85, 383–389. [Google Scholar] [CrossRef]
- Broeckx, L.S.; Verlinden, M.S.; Vangronsveld, J.; Ceulemans, R. Importance of crown architecture for leaf area index of different Populus genotypes in a high-density plantation. Tree Physiol. 2012, 32, 1214–1226. [Google Scholar] [CrossRef]
- Cao, X.; Du, W.; Shang, C.; Shen, Q.; Liu, L.; Cheng, J. Comparative transcriptome reveals circadian and hormonal control of adventitious rooting in mulberry hardwood cuttings. Acta Physiol. Plant. 2018, 40, 197. [Google Scholar] [CrossRef]
- Wellburn, A.R. The spectral determiantion of chlorophyll-a and chlorophyll-b, as well as total carotenoids, using various solvents with spectrophotometers of different resolution. J. Plant Physiol. 1994, 144, 307–313. [Google Scholar] [CrossRef]






| Variables | Cultivars | |||||||
|---|---|---|---|---|---|---|---|---|
| 7307 | Husang32 | Liaolu11 | Wupu | Xiang7920 | Yu711 | Yunguo1 | Yunsang2 | |
| LEX | 1.32d (0.01) | 1.16c (0.04) | 1.21cd (0.13) | 1.00b (0.07) | 1.74e (0.05) | 1.31d (0.03) | 0.61a (0.07) | 1.72e (0.03) |
| WEX | 1.28cd (0.06) | 1.37de (0.03) | 1.11c (0.13) | 0.86b (0.04) | 1.58f (0.04) | 1.15c (0.01) | 0.71a (0.01) | 1.46ef (0.02) |
| LLmax | 18.3ab (1.6) | 18.0ab (0.7) | 19.3bc (0.8) | 19.0bc (0.8) | 22.6cd (1.7) | 23.4d (1.7) | 15.1a (1.4) | 24.9d (1.2) |
| LWmax | 15.8bc (1.0) | 14.2ab (0.4) | 15.6b (0.7) | 14.0ab (0.8) | 19.7d (1.8) | 18.8cd (1.4) | 11.3a (1.0) | 21.0d (0.6) |
| LAmax | 192.2bc (13.4) | 165.1b (14.9) | 224.4c (21.2) | 185.1bc (21.2) | 283.8d (20.2) | 343.6e (14.5) | 104.6a (13.8) | 311.1de (30.2) |
| PLmax | 5.3c (0.2) | 4.1ab (0.2) | 5.2c (0.3) | 5.5c (0.6) | 6.7d (0.1) | 7.6d (0.6) | 3.7a (0.1) | 5.1bc (0.1) |
| PWmax | 3.71c (0.09) | 3.40bc (0.16) | 3.08ab (0.26) | 2.79a (0.08) | 4.69d (0.17) | 4.53d (0.34) | 2.63b (0.19) | 4.83d (0.12) |
| SLAmax | 183.7c (2.0) | 178.8c (1.8) | 235.5d (6.0) | 180.1c (0.1) | 152.1b (0.5) | 134.5a (1.1) | 161.9b (0.8) | 157.6b (11.1) |
| SH | 1.04a (0.07) | 1.22bc (0.04) | 1.60d (0.06) | 1.33c (0.05) | 1.07ab (0.04) | 1.14ab (0.05) | 1.35c (0.06) | 1.01a (0.07) |
| SD | 16.28d (1.07) | 15.67cd (1.04) | 20.18e (1.06) | 13.54abc (1.05) | 14.68bcd (1.09) | 14.85bcd (1.05) | 12.64ab (1.06) | 12.12a (1.05) |
| LNps | 24.2abc (1.3) | 21.3a (0.7) | 31.5e (1.1) | 27.2cd (1.0) | 25.5bc (0.7) | 22.5ab (0.9) | 29.3de (1.1) | 26.8cd (1.8) |
| Variables | Cultivars | |||||||
|---|---|---|---|---|---|---|---|---|
| 7307 | Husang32 | Liaolu11 | Wupu | Xiang7920 | Yu711 | Yunguo1 | Yunsang2 | |
| δ13C | −29.40b (0.05) | −29.59b (0.05) | −30.37a (0.01) | −28.86cd (0.15) | −28.64d (0.06) | −29.07c (0.17) | −28.60d (0.14) | −28.75d (0.05) |
| C | 39.73a (0.3) | 43.13c (0.3) | 43.95cd (0.03) | 43.18c (0.81) | 41.53b (0.17) | 44.00d (0.83) | 44.55d (0.26) | 43.95cd (0.15) |
| δ15N | 0.88b (0.01) | 0.66b (0.01) | 2.27d (0.01) | 2.45d (0.01) | 1.05bc (0.01) | 1.75cd (0.01) | 0.21a (0.01) | 4.40e (0.01) |
| N | 3.11bc (0.02) | 2.97b (0.16) | 3.87d (0.04) | 3.32c (0.21) | 2.55a (0.03) | 3.03bc (0.01) | 3.00bc (0.18) | 3.24bc (0.01) |
| WC | 73.7c (0.3) | 72.1bc (1.3) | 72.2bc (1.3) | 68.6a (0.7) | 69.7ab (0.9) | 68.7a (0.8) | 70.6abc (2.0) | 67.9a (0.8) |
| Chla | 1.39cd (0.03) | 1.19a(0.02) | 1.49ed (0.02) | 1.70f (0.02) | 1.28b (0.03) | 1.36c (0.01) | 1.53f (0.01) | 1.44de (0.03) |
| Chlb | 1.07b (0.01) | 1.03ab (0.01) | 1.16cd (0.05) | 1.25d (0.02) | 1.00ab (0.01) | 1.04ab (0.01) | 1.08bc (0.06) | 0.97a (0.02) |
| Chl | 2.46b (0.04) | 2.22a (0.01) | 2.65c (0.06) | 2.95d (0.04) | 2.28a (0.04) | 2.40b (0.01) | 2.67c (0.03) | 2.41b (0.05) |
| Car | 38.17b (9.08) | 4.23a (1.36) | 22.27ab (14.5) | 39.07b (8.18) | 81.67cd (10.13) | 33.40b (4.45) | 80.20c (4.21) | 108.40d (5.67) |
| Agronomic | Morphological | Physiological | |||||||||||
|---|---|---|---|---|---|---|---|---|---|---|---|---|---|
| LFBg | TSL | SNpt | ASL | LAmax | LLmax | LWmax | PLmax | PWmax | LNps | SH | WC | δ13C | N |
| 0.89 *** | 0.47 * | 0.57 ** | −0.49 * | 0.60 ** | 0.52 ** | 0.52 ** | 0.50 * | 0.59 ** | −0.45 * | −0.46 * | −0.44 * | 0.46 * | −0.43 * |
| Variables | Estimate | SE | t Value | p Value |
|---|---|---|---|---|
| (Intercept) | 46.418 | 9.337 | 4.971 | 8.48 × 10−5 *** |
| LAmax | 0.010 | 0.002 | 4.627 | 0.000184 *** |
| δ13C | 1.559 | 0.327 | 4.761 | 0.000136 *** |
| chla | −6.404 | 1.728 | −3.705 | 0.001501 ** |
| chlb | 8.311 | 2.958 | 2.810 | 0.011185 * |
© 2019 by the authors. Licensee MDPI, Basel, Switzerland. This article is an open access article distributed under the terms and conditions of the Creative Commons Attribution (CC BY) license (http://creativecommons.org/licenses/by/4.0/).
Share and Cite
Cao, X.; Shen, Q.; Shang, C.; Yang, H.; Liu, L.; Cheng, J. Determinants of Shoot Biomass Production in Mulberry: Combined Selection with Leaf Morphological and Physiological Traits. Plants 2019, 8, 118. https://doi.org/10.3390/plants8050118
Cao X, Shen Q, Shang C, Yang H, Liu L, Cheng J. Determinants of Shoot Biomass Production in Mulberry: Combined Selection with Leaf Morphological and Physiological Traits. Plants. 2019; 8(5):118. https://doi.org/10.3390/plants8050118
Chicago/Turabian StyleCao, Xu, Qiudi Shen, Chunqiong Shang, Honglei Yang, Li Liu, and Jialing Cheng. 2019. "Determinants of Shoot Biomass Production in Mulberry: Combined Selection with Leaf Morphological and Physiological Traits" Plants 8, no. 5: 118. https://doi.org/10.3390/plants8050118
APA StyleCao, X., Shen, Q., Shang, C., Yang, H., Liu, L., & Cheng, J. (2019). Determinants of Shoot Biomass Production in Mulberry: Combined Selection with Leaf Morphological and Physiological Traits. Plants, 8(5), 118. https://doi.org/10.3390/plants8050118

