Effect of Different Fertilization on Soil Fertility, Biological Activity, and Maize Yield in the Albic Soil Area of China
Abstract
1. Introduction
2. Materials and Methods
2.1. Study Site
2.2. Experimental Design
2.3. Soil Sampling, Measzurement, and Crop Yield Measurement
2.4. Statistical Analysis
3. Results
3.1. Physical and Chemical Properties of Albic Soil
3.1.1. Changes of Soil Three-Phase Ratio and Soil Bulk Density
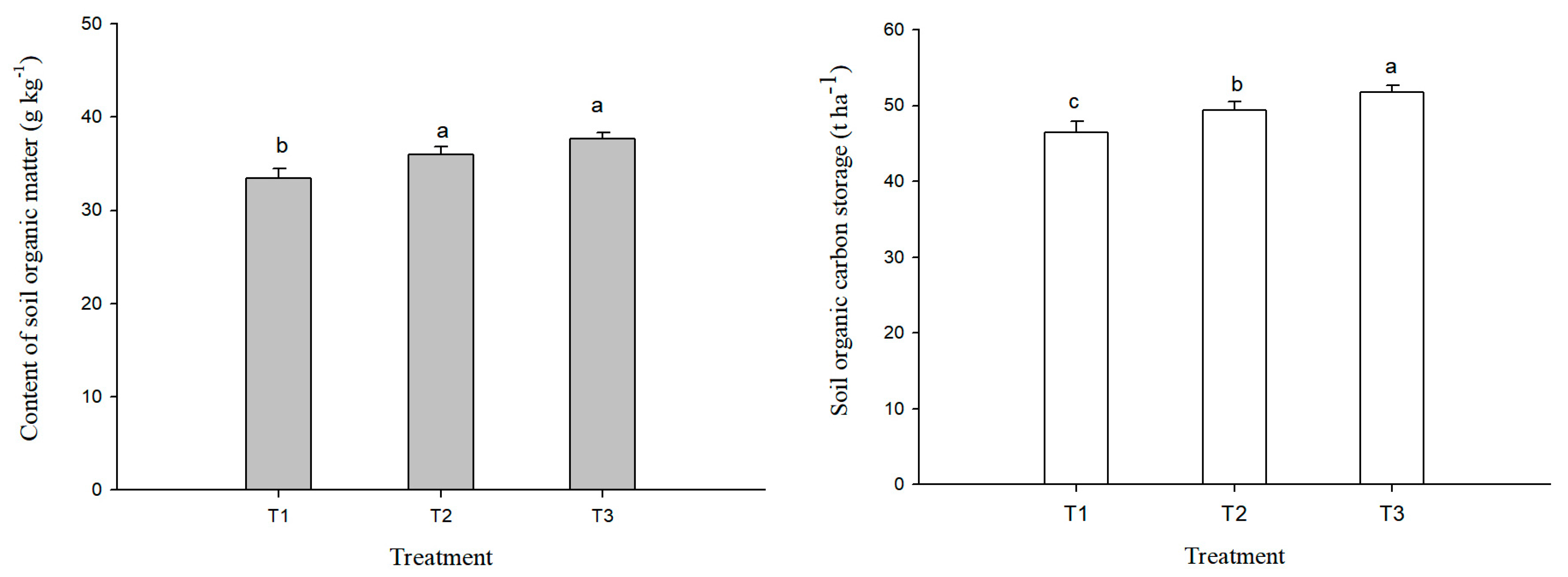
3.1.2. Soil Organic Matter Content and Soil Organic Carbon Storage
3.1.3. Soil Nutrient Contents
3.2. Biological Activity of Albic Soil
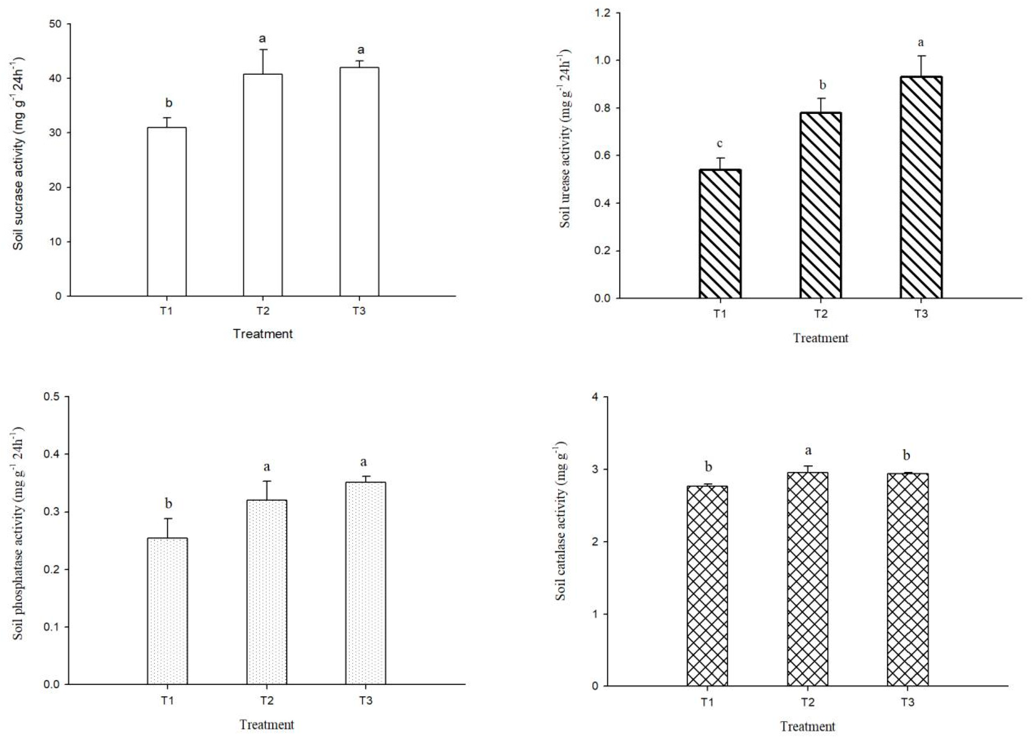
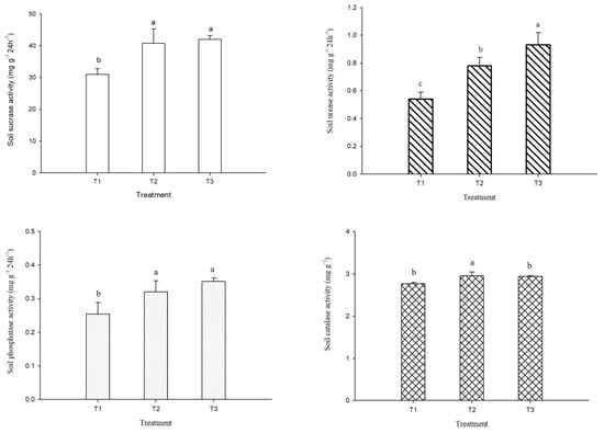
3.2.1. Soil Enzyme Activity
3.2.2. Soil Microbial Quantities
- (1)
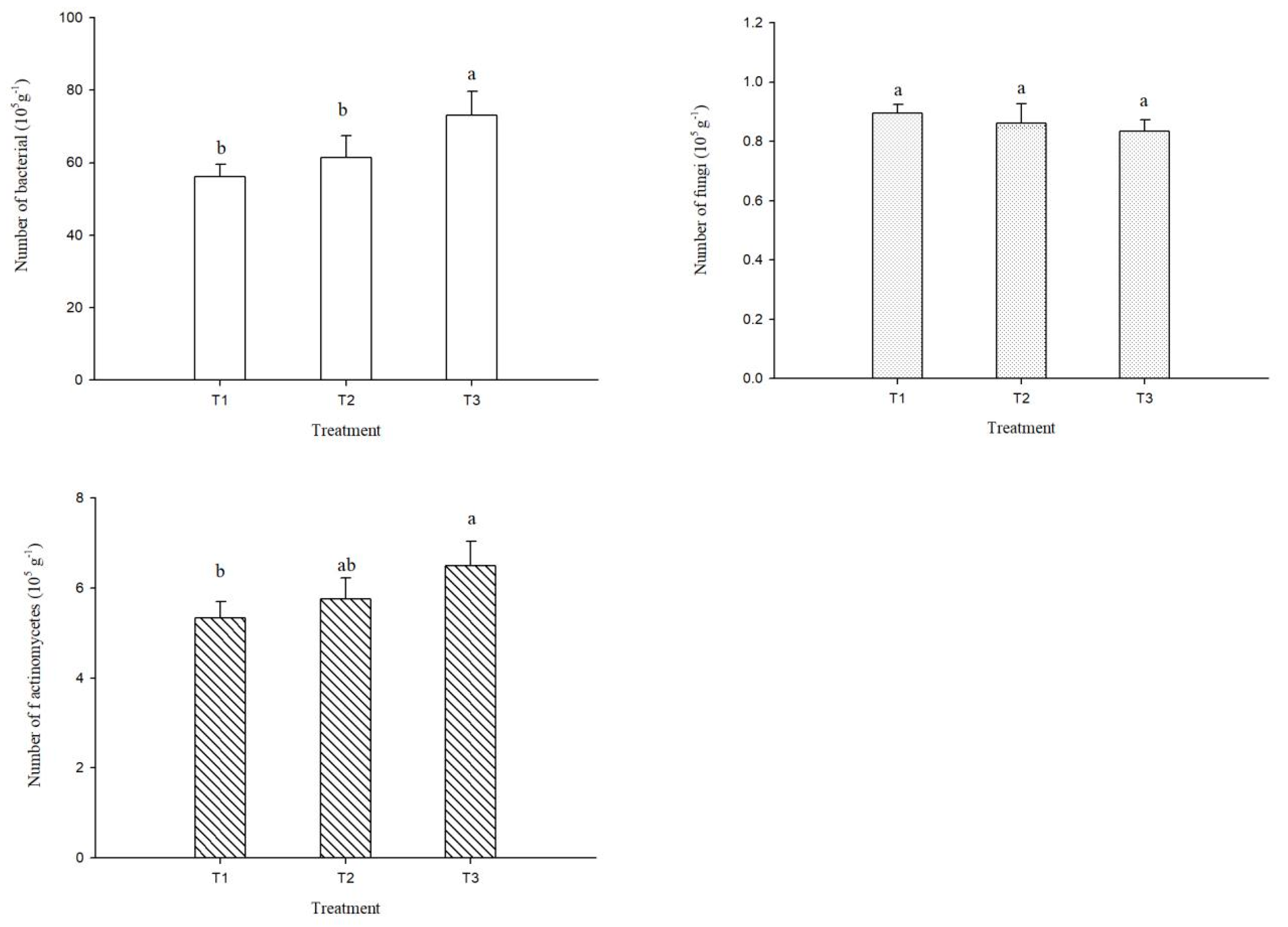
- Quantities of the three major soil microbial communities
- (2)
- Total numbers and proportions of soil microorganisms
3.3. Yield of Maize and Its Relationship with Soil Properties
3.3.1. Yield of Maize
3.3.2. Relationships Between Maize Yield and Soil Chemical, Physical, and Biological Activity Indicators
4. Discussion
4.1. Effect of Fertilization on Soil Physical Properties
4.2. Effect of Fertilization on Soil Chemical Properties
4.3. Effect of Fertilization on Soil Biological Activity
4.4. Effect of Fertilization on Crop Yield
4.5. Effects of Fertilization on the Relationship Between Crop Yield, Soil Fertility, and Biological Activity
5. Conclusions
Author Contributions
Funding
Data Availability Statement
Acknowledgments
Conflicts of Interest
References
- Sui, Y.; Zhao, J.; Feng, X. Discussion on Black Soil, Albic Soil, and Swamp Soil-Selected Works by Zhang Zhiyi; Harbin Cartographic Publishing House: Harbin, China, 2013. [Google Scholar]
- Meng, Q.; Han, X.; Zhang, C.; Zhu, B.; Wang, N.; Jia, H.; Zou, H. Effects of organic fertilizer and lime application on soil enzyme and soybean yield in planosol. China Soils Fert. 2017, 3, 56–60. [Google Scholar]
- Zhang, D.; Jiang, B.; Liu, G.; Zhang, H.; Nie, F.; Sun, Q.; Ji, M. Applicability of spatial interpolation methods to predict total phosphorus in the typical irrigated areas of the Sanjiang Plain. Chin. J. Eco-Agric. 2021, 29, 1405–1416. [Google Scholar]
- Liu, T.; Gao, Z.; Kuang, E.; Liu, F. Study on physical characteristics of planosol III. Microstructure and porosity features. Heilongjiang Agric. Sci. 2012, 45–48. [Google Scholar]
- Wang, Q.; Jiao, F.; Liu, F.; Chang, B.; Jiang, H.; Jiang, Y.; Mi, G.; Zhou, X. Changes of soil physical and chemical properties of albic soil in the meadow of Sanjiang plain after rice planting. Chin. J. Appl. Ecol. 2018, 29, 4056–4062. [Google Scholar]
- Liu, K.; Wei, M.; Dai, H.; Liu, G.; Jia, S.; Song, Y.; Liang, S. Spatiotemporal variation of black soil layer thickness in black soil region of northeast China. Geol. Resour. 2022, 31, 434–442. [Google Scholar]
- Zhao, D.; Wang, Z. Experience in transforming albic soils in Hejiang prefecture. Chin. J. Soil Sci. 1961, 5, 54–57. [Google Scholar]
- Agricultural Science Research Institute of Mudanjiang Region in Heilongjiang Province; Agricultural Technology Extension Station of Hulin County in Heilongjiang Province. Improvement measures of albic soil and their yield increasing effects. China Soils Fert. 1977, 5, 13–17. [Google Scholar]
- Sun, H.; Gao, X.; Zhao, X.; Sui, B.; Wang, G.; Zhao, L. Effects of corn stalk incorporation on organic carbon of heavy fraction and composition of soil aggregates in albic soil. Acta Pedol. Sin. 2017, 54, 1009–1017. [Google Scholar]
- Lu, X.; Zheng, Y.; Chen, X.; Han, X.; Zou, W.; Yan, J. Effects of biochar and organic fertilizer on soil physico-chemical properties and maize yields in albic soil. J. Maize Sci. 2021, 29, 137–143. [Google Scholar]
- Li, F.; Wang, X.; Zhang, W.; Wang, X.; Ge, Y. Effects of biochar application on the bacterial community of albic soil in a maize field in Sanjiang plain. Chin. J. Soil Sci. 2024, 55, 758–768. [Google Scholar]
- Zhu, B.; Zhang, C.; Jia, H.; Meng, Q.; Wang, N.; Kuang, E.; Zhang, L.; Gao, X.; Wang, Q.; Liu, J.; et al. Improving physicochemical properties of planosol and increasing yield of soybean by using subsoil interval mixed layer technology. Trans. Chin. Soc. Agric. Eng. 2019, 35, 94–100. [Google Scholar]
- Kuang, E.; Liu, F.; Jia, H.; Zhang, Y. Study on subsoil amendment of Baijiang soil. Chin. J. Soil Sci. 2008, 39, 1106–1109. [Google Scholar]
- Li, Z. Characteristics of Soil Carbon and Nitrogen Turnover with Organic Fertilizer Application on the Loess Plateau. Ph.D. Thesis, Northwest A&F University, Yangling, China, 2018. [Google Scholar]
- Qiu, S.; Zhou, J.; Qing, C.; Fang, Y.; Xu, Y.; Feng, S. Effect of organic fertilizer dosage on rice yield, net photosynthetic rate, and soil biological activity. Jiangsu Agric. Sci. 2023, 51, 107–113. [Google Scholar]
- Ji, Y.; Liu, Y.; Jia, L.; Zhao, L. Effect of long-term combined application of different organic fertilizers and substrates on wheat root growth and soil improvement. Jiangsu Agric. Sci. 2024, 52, 65–72. [Google Scholar]
- Hu, D.; Tang, J.; Xu, W.; Fang, Y.; Luo, X.; Wang, H.; Wang, C. Effects of nitrogen fertilizer combined with organic fertilizer on soil microbial flora, enzyme activity and yield of dryland wheat in semi-arid area. J. Nanjing Agric. Univ. 2024, 52, 65–72. [Google Scholar]
- Gao, R.; Yan, J.; Han, X.; Chen, X.; Zou, W.; Lu, X.; Xu, M.; Yang, S.; Jiang, R.; Piao, Y. Effects of returning organic materials to field on physical properties of albic soil and maize yield. Soils Crops 2024, 13, 305–313. [Google Scholar]
- Ma, X.; Hao, X.; Zhao, Y.; Zheng, Y.; Xing, Z.; Yu, L.; Ji, J.; Liu, S. Effects of different tillage methods on soil nutrients and biological properties of dry land in northeast China. Heilongjiang Agric. Sci. 2024, 6, 19–24. [Google Scholar]
- Lu, R. Analytical Methods of Soil Agrochemistry; China Agricultural Science and Technology Press: Beijing, China, 2000. [Google Scholar]
- Cai, A.; Zhang, W.; Shen, X.; Xiao, J.; Han, T.; Xu, M. Soil carbon sequestration efficiency of different particle-size fractions after long-term fertilization. J. Plant Nutr. Fertil. 2015, 21, 1431–1438. [Google Scholar]
- Peng, Z.; Fan, N.; Bai, W. Effects of long-term localized fertilization on soil quality evolution and dry matter of sorghum in grain field. J. Agric. Sci. 2024, 14, 47–51. [Google Scholar]
- Ma, X.; Bian, D.; Hao, X.; Tang, X.; Zhou, B. Effects of different tillage systems on soil physical properties of corn field in northeast China. Soils Crops 2022, 11, 54–61. [Google Scholar]
- Yu, Y.; Ma, J.; Lu, R.; Wu, Q.; Zhu, W.; Kong, H.; Wang, F. Effect of organic fertilizer on soil characteristics, yield and quality of agricultural products: Research progress. Chin. Agric. Sci. Bull. 2020, 36, 64–71. [Google Scholar]
- Wang, Y.; Zhao, J.; Yang, Z.; Zhou, H.; Xie, W.; Liu, Z. Organic carbon composition and carbon sequestration function of cinnamon soil as affected by fertilization modes. J. Plant Nutr. Fertil. 2024, 30, 469–481. [Google Scholar]
- Meng, L.; Ding, W.; Cai, Z.; Qin, S. Storage of soil organic C and soil respiration as affected by long term quantitative fertilization. Adv. Earth Sci. 2005, 20, 687–692. [Google Scholar]
- Li, C.; Wang, J.; Jiang, X. Effect of different types of organic materials with equivalent C content on humus composition of albic soil. China Soils Fert. 2021, 4, 19–25. [Google Scholar]
- Fei, C.; Zhang, K.; Ma, H.; Sun, H. Effects of organic fertilizer combined with nitrogen fertilizer on root growth, nitrogen use, yield and quality of maize. J. Northwest A&F Univ. 2025, 53, 1–9. [Google Scholar]
- Shen, H.; Wang, B.; Jiao, Y.; Zhang, X.; Zhang, Q.; Xiong, Z. Bacteria are more sensitive than fungi to soil fertility in an intensive vegetable field. Appl. Soil Ecol. 2023, 190, 105003. [Google Scholar] [CrossRef]
- Yao, Q.; Tang, X.; Xiao, M.; Jiang, Z.; Wu, C.; Li, Y.; Yin, C.; Li, Y. Effects of slow release nitrogen fertilizer combined with organic fertilizer on crop growth and soil nutrient content in rice-wheat rotation system. J. Zhejiang A&F Univ. 2025, 42, 175–184. [Google Scholar]
- Yang, Y.; Su, Y.; He, Z.; Yu, M.; Chen, X.; Shen, A. Transformation and distribution of straw-derived carbon in soil and the effects on soil organic carbon pool: A review. Chin. J. Appl. Ecol. 2019, 30, 668–676. [Google Scholar]
- Ma, S.; Huo, K.; Zhang, D.; Zhang, J.; Zhang, J.; Chai, X.; Wang, H. Effects of maize straw return combined with nitrogen on soil enzyme activity and nitrogen fertilizer use efficiency in western dryland wheat fields of Henan Province. Acta Pratac. Sin. 2023, 32, 120–133. [Google Scholar]
- Chen, E.; Zhou, L.; Wu, G. Performance of soil microaggregates in storing and supplying moisture and nutrients and role of their compositional proportion in judging fertility level. Acta Pedol. Sin. 1994, 31, 18–25. [Google Scholar]
- Liang, L.; Ma, C.; Zhang, R.; Zhai, B.; Li, Z.; Wang, C. Improvement of soil nutrient availability and enzyme activities in rainfed wheat field by combined application of organic and inorganic fertilizers. J. Plant Nutr. Fertil. 2019, 25, 544–554. [Google Scholar]
- Chen, S.; Xu, K.; Fan, G.; Bai, Y.; Yang, H.; Chen, Y. Effects of long-term nitrogen application on yield of forage maize, soil nutrients and microorganisms. J. Sichuan Agric. Univ. 2019, 37, 314–320. [Google Scholar]
- Zhao, J.; Li, Y.; Ran, W.; Zhang, R.; Shen, B.; Shen, Q. Effects of organic manure partial substitution for chemical fertilizer on crop yield and soil microbiome in a rice-wheat cropping system. J. Nanjing Agric. Univ. 2016, 39, 594–602. [Google Scholar]
- Zhao, N.; Wang, X.; He, J.; Yang, S.; Zheng, Q.; Li, M. Effects of replacing chemical nitrogen fertilizer with organic fertilizer on active organic carbon fractions, enzyme activities, and crop yield in yellow soil. Chin. J. Environ. Sci. 2024, 45, 4196–4205. [Google Scholar]
- Xie, W.; Wu, L.; Zhang, Y.; Wu, T.; Li, X.; Ouyang, Z. Effects of straw application on coastal saline topsoil salinity and wheat yield trend. Soil Till. Res. 2017, 169, 1–6. [Google Scholar] [CrossRef]
- Shu, K.; Wu, D.; He, Z. Effects of different fertilization modes on crop yield and microbial indexes of reconstructed soil. Hubei Agric. Sci. 2021, 60, 140–143, 183. [Google Scholar]
- Gao, R.; Yan, J.; Han, X.; Chen, X.; Zou, W.; Lu, X.; Piao, Y.; Jiang, R. Construction effect of fertile cultivated layer in albic soil. Effects of inversion tillage with organic materials on the redistribution of organic matter in surface layer of albic soil. Chin. J. Appl. Ecol. 2024, 35, 1590–1598. [Google Scholar]
- Zhao, B.; Liu, M.; Jing, Y.; Shi, P.; Duan, H.; Zhang, L.; Zhang, D.; Shen, X. Effects of different fertilization measures on salinity characteristics and crop yield of salinized cultivated land in the west Liaohe plain. China Soils Fert. 2024, 9, 86–93. [Google Scholar]
- Xie, J.; Peng, B.; Wang, R.; Batbayar, J.; Hoogmoed, M.; Yang, Y.; Zhang, S.; Yang, X.; Sun, B. Responses of crop productivity and physical protection of organic carbon by macroaggregates to long-term fertilization of an anthrosol. Eur. J. Soil Sci. 2018, 69, 555–567. [Google Scholar] [CrossRef]
- Ma, X.; Hao, X.; Zhao, Y.; Peng, X.; Ji, J.; Liu, S.; Zheng, Y.; Sun, L.; Zhou, B. Response of Crop Yield and Productivity Contribution Rate to Long-Term Different Fertilization in Northeast of China. Plants 2025, 14, 132. [Google Scholar] [CrossRef]
- Tian, S.; Pan, M.; Lv, X.; Cui, X.; Zhang, S.; Liu, X. Effects of combined application of organic and inorganic fertilizers on soil properties, wheat growth, nutrient absorption and utilization. Jiangsu Agric. Sci. 2023, 51, 102–107. [Google Scholar]
- Chen, K.; Yu, H.; Shangguan, Y.; Zhou, Z.; Zeng, X.; Guo, S.; Qin, Y. Impacts of organic-inorganic fertilizer application on yield of rice and soil properties in the waterlogged paddy field. China Rice 2020, 26, 32–35. [Google Scholar]
- Mei, T.; Wang, X.; Duan, J.; Yang, H.; Xu, B.; Meng, R.; Zhang, L. Effects of combined application of organic and inorganic fertilizers on rice yield, nitrogen uptake and utilization and root morphology. Chin. Agric. Sci. Bull. 2023, 39, 92–98. [Google Scholar]
- Zhu, B.; Zhang, C.; Jia, H.; Yu, Z.; Meng, Q.; Wang, N.; Xin, J.; Zhang, B.; Zhang, J.; Kuang, E. Effect of subsoil mixing interval on physical and chemical characteristics and yield of crops in planosol. Chin. J. Soil Sci. 2014, 45, 704–710. [Google Scholar]
- Gao, X.; Zhao, X.; Zhao, F.; Gao, C.; Feng, L. Effect of organic fertilizer on soil fertility and active organic carbon pool in monocultured peanut fields. Chin. J. Soil Sci. 2023, 54, 67–76. [Google Scholar]
- Zhang, Y.; Zhou, G.; Wu, N. A review of studies on soil enzymology. J. Trop. Subtrop. Bot. 2004, 12, 83–90. [Google Scholar]





| Treatment | Solid Phase/ % | Liquid Phase/ % | Gas Phase/ % | Bulk Density/ (g·cm−3) |
|---|---|---|---|---|
| T 1 | 51.85 (±2.64) a | 21.41 (±1.84) a | 26.74 (±4.45) a | 1.198 (±0.122) a |
| T 2 | 48.06 (±5.48) a | 22.97 (±1.06) a | 28.97 (±5.19) a | 1.183 (±0.013) a |
| T 3 | 47.11 (±3.20) a | 22.94 (±2.48) a | 29.96 (±5.44) a | 1.185 (±0.025) a |
| Treatments | Alkaline Nitrogen/ (mg·kg−1) | Available Phosphorus/ (mg·kg−1) | Available Potassium/ (mg·kg−1) | pH |
|---|---|---|---|---|
| T1 | 204.8 (±5.9) b | 23.0 (±1.9) b | 106.7 (±2.7) c | 6.34 (±0.07) a |
| T2 | 213.6 (±3.7) ab | 31.9 (±2.0) a | 136.4 (±2.5) b | 6.35 (±0.05) a |
| T3 | 221.5 (±4.9) a | 36.5 (±3.5) a | 153.2 (±2.9) a | 6.39 (±0.06) a |
| Treatment | Total Number of Microorganisms (×105) | Proportion of Bacteria/% | Proportion of Fungi/% | Proportion of Actinomycetes/% |
|---|---|---|---|---|
| T1 | 62.29 b | 89.98 a | 1.44 a | 8.58 a |
| T2 | 67.94 b | 90.22 a | 1.27 ab | 8.51 a |
| T3 | 80.34 a | 90.83 a | 1.05 b | 8.12 a |
Disclaimer/Publisher’s Note: The statements, opinions and data contained in all publications are solely those of the individual author(s) and contributor(s) and not of MDPI and/or the editor(s). MDPI and/or the editor(s) disclaim responsibility for any injury to people or property resulting from any ideas, methods, instructions or products referred to in the content. |
© 2025 by the authors. Licensee MDPI, Basel, Switzerland. This article is an open access article distributed under the terms and conditions of the Creative Commons Attribution (CC BY) license (https://creativecommons.org/licenses/by/4.0/).
Share and Cite
Ma, X.; Zhao, Y.; Zheng, Y.; Wang, L.; Zhang, Y.; Sun, Y.; Ji, J.; Hao, X.; Liu, S.; Sun, N. Effect of Different Fertilization on Soil Fertility, Biological Activity, and Maize Yield in the Albic Soil Area of China. Plants 2025, 14, 810. https://doi.org/10.3390/plants14050810
Ma X, Zhao Y, Zheng Y, Wang L, Zhang Y, Sun Y, Ji J, Hao X, Liu S, Sun N. Effect of Different Fertilization on Soil Fertility, Biological Activity, and Maize Yield in the Albic Soil Area of China. Plants. 2025; 14(5):810. https://doi.org/10.3390/plants14050810
Chicago/Turabian StyleMa, Xingzhu, Yue Zhao, Yu Zheng, Lingli Wang, Yulan Zhang, Yi Sun, Jinghong Ji, Xiaoyu Hao, Shuangquan Liu, and Nan Sun. 2025. "Effect of Different Fertilization on Soil Fertility, Biological Activity, and Maize Yield in the Albic Soil Area of China" Plants 14, no. 5: 810. https://doi.org/10.3390/plants14050810
APA StyleMa, X., Zhao, Y., Zheng, Y., Wang, L., Zhang, Y., Sun, Y., Ji, J., Hao, X., Liu, S., & Sun, N. (2025). Effect of Different Fertilization on Soil Fertility, Biological Activity, and Maize Yield in the Albic Soil Area of China. Plants, 14(5), 810. https://doi.org/10.3390/plants14050810

