Bioassay-Guided Isolation of Piplartine from Piper purusanum Yunck (Piperaceae) and Evaluation of Its Toxicity Against Aedes aegypti Linnaeus, 1762, Anopheles darlingi Root, 1926 (Culicidae), and Non-Target Animals
Abstract
1. Introduction
2. Results
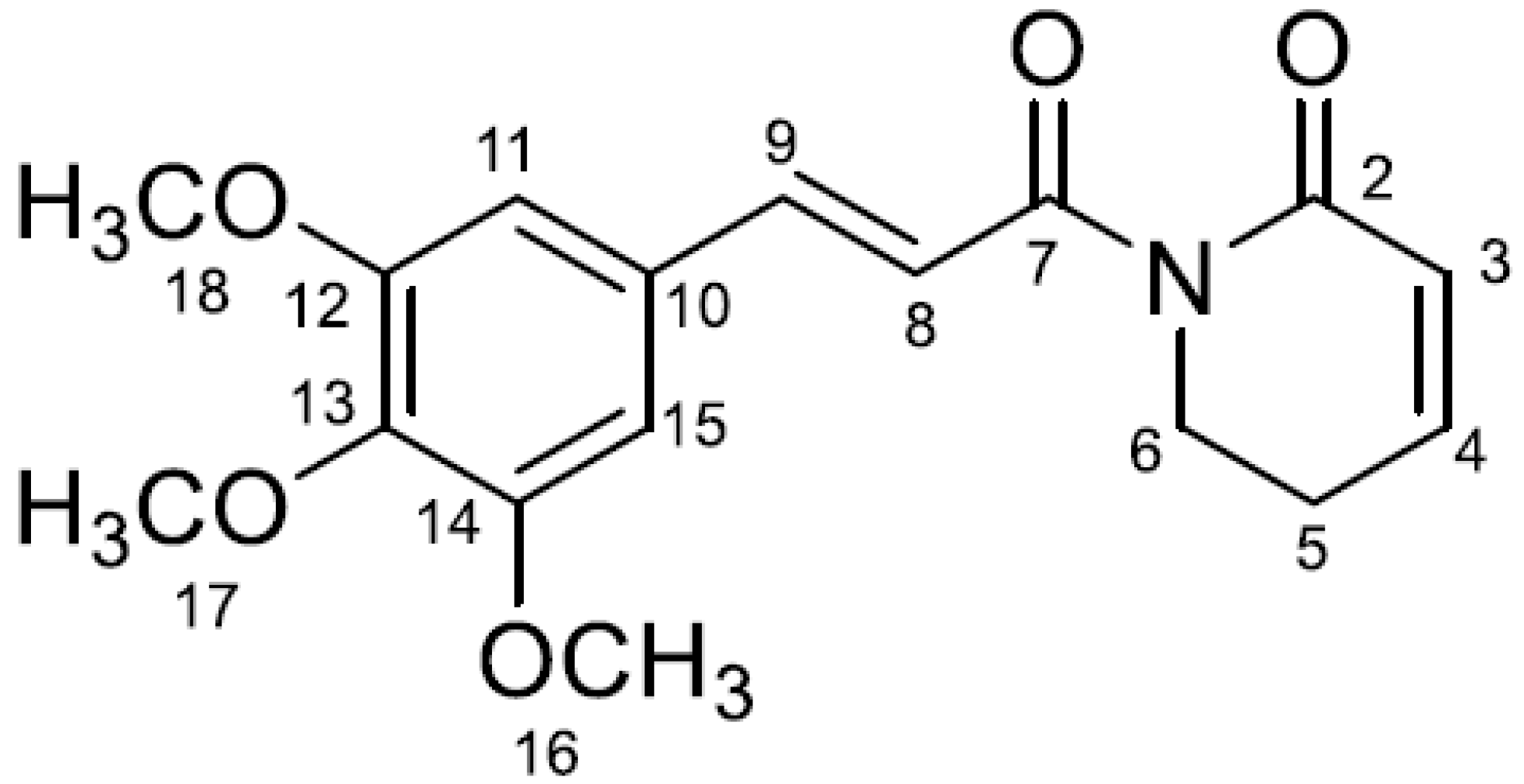
2.1. Chemical Characterization of Piplartine
2.2. Larvicidal Activity Assay
2.3. Measurement of Reactive Oxygen and Nitrogen Species (RONS)
2.4. Catalase (CAT) Activity Assay
2.5. Glutathione S-Transferase (GST) Activity Assay
2.6. Acetylcholinesterase (AChE) Activity Assay
2.7. Mixed-Function Oxidase (MFO) Activity Assay
2.8. α- and β-Esterase Activity Assay
2.9. Potential Lethal Effects on Entomological Fauna Assay
3. Discussion
4. Material and Methods
4.1. Chemicals and Reagents
4.2. General Experimental Procedures
4.3. Obtaining the Methanolic Extract
4.4. Partitioning of the Methanolic Extract
4.5. HPLC Semi-Preparative Isolation
4.6. Mosquito Rearing
4.7. Larvicidal Activity Assay
4.8. Homogenate Preparation
4.9. Measurement of Reactive Oxygen and Nitrogen Species (RONS)
4.10. Catalase (CAT) Activity Assay
4.11. Glutathione S-Transferase (GST) Activity Assay
4.12. Acetylcholinesterase (AChE) Activity Assay
4.13. Mixed-Function Oxidase (MFO) Activity Assay
4.14. α- and β-Esterase Activity Assay
4.15. Measurement of Total Protein
4.16. Potential Lethal Effects on Entomological Fauna Assay
4.17. Statistical Analysis
5. Conclusions
Supplementary Materials
Author Contributions
Funding
Institutional Review Board Statement
Data Availability Statement
Conflicts of Interest
References
- Ministry of Health. Update on Arbovirus Cases. 2024. Available online: https://www.gov.br/saude/pt-br/assuntos/saude-de-a-a-z/a/aedes-aegypti/monitoramento-das-arboviroses (accessed on 21 December 2024).
- Pan American Health Organization (PAHO). Report on the Epidemiological Situation of Dengue in the Americas. 2024. Available online: https://www.paho.org/sites/default/files/2024-12/2024-cde-dengue-sitrep-americas-epi-week-48-19-dec.pdf (accessed on 21 December 2024).
- Pan American Health Organization (PAHO). Chikungunya Cases. 2024. Available online: https://www3.paho.org/data/index.php/en/mnu-topics/chikv-en/550-chikv-weekly-en.html. (accessed on 21 December 2024).
- World Health Organization. World Malaria Report 2022; World Health Organization: Geneva, Switzerland, 2022; Volume WHO/HTM/GM, ISBN 978-92-4-006489-8.
- Amazonas Health Surveillance Foundation, Dr. Rosemary Costa Pinto. Epidemiological Situation of Malaria in the State of Amazonas, 2023–2024. 2024. Available online: https://www.fvs.am.gov.br/media/publicacao/___Situa%C3%A7%C3%A3o_Epidemiol%C3%B3gica_da_Mal%C3%A1ria_no_Estado_do_Amazonas_2023-2024_2.pdf (accessed on 1 December 2024).
- Aguirre-Obando, O.A.; Pietrobon, A.J.; Bona, A.C.D.; Navarro-Silva, M.A. Contrasting Patterns of Insecticide Resistance and Knockdown Resistance (Kdr) in Aedes aegypti Populations from Jacarezinho (Brazil) after a Dengue Outbreak. Rev. Bras. Entomol. 2016, 60, 94–100. [Google Scholar] [CrossRef]
- Ranjith, H.V.; Sagar, D.; Kalia, V.K.; Dahuja, A.; Subramanian, S. Differential Activities of Antioxidant Enzymes, Superoxide Dismutase, Peroxidase, and Catalase Vis-à-Vis Phosphine Resistance in Field Populations of Lesser Grain Borer (Rhyzopertha dominica) from India. Antioxidants 2023, 12, 270. [Google Scholar] [CrossRef]
- Carreño Otero, A.L.; Palacio-Cortés, A.M.; Navarro-Silva, M.A.; Kouznetsov, V.V.; Duque, L.J.E. Behavior of Detoxifying Enzymes of Aedes aegypti Exposed to Girgensohnine Alkaloid Analog and Cymbopogon flexuosus Essential Oil. Comp. Biochem. Physiol. Part C Toxicol. Pharmacol. 2018, 204, 14–25. [Google Scholar] [CrossRef]
- Subahar, R.; Aulia, A.P.; Yulhasri, Y.; Felim, R.R.; Susanto, L.; Winita, R.; El Bayani, G.F.; Adugna, T. Assessment of Susceptible Culex quinquefasciatus Larvae in Indonesia to Different Insecticides through Metabolic Enzymes and the Histopathological Midgut. Heliyon 2022, 8, e12234. [Google Scholar] [CrossRef]
- Vasantha-Srinivasan, P.; Chellappandian, M.; Senthil-Nathan, S.; Ponsankar, A.; Thanigaivel, A.; Karthi, S.; Edwin, E.-S.; Selin-Rani, S.; Kalaivani, K.; Maggi, F.; et al. A Novel Herbal Product Based on Piper betle and Sphaeranthus indicus Essential Oils: Toxicity, Repellent Activity and Impact on Detoxifying Enzymes GST and CYP450 of Aedes aegypti Liston (Diptera: Culicidae). J. Asia Pac. Entomol. 2018, 21, 1466–1472. [Google Scholar] [CrossRef]
- Vontas, J.; Katsavou, E.; Mavridis, K. Cytochrome P450-Based Metabolic Insecticide Resistance in Anopheles and Aedes Mosquito Vectors: Muddying the Waters. Pestic. Biochem. Physiol. 2020, 170, 104666. [Google Scholar] [CrossRef]
- Kinareikina, A.G.; Silivanova, E.A.; Kyrov, D.N. Non-Specific Animal Esterases as Biomarkers of Pesticide Pollution of Aquatic Ecosystems (Review). Russ. J. Ecol. 2024, 55, 101–112. [Google Scholar] [CrossRef]
- De Oliveira, A.C.; Simões, R.C.; Tavares, C.P.S.; Lima, C.A.P.; Costa Sá, I.S.; da Silva, F.M.A.; Figueira, E.A.G.; Nunomura, S.M.; Nunomura, R.C.S.; Roque, R.A. Toxicity of the Essential Oil from Tetradenia riparia (Hochstetter.) Codd (Lamiaceae) and Its Principal Constituent against Malaria and Dengue Vectors and Non-Target Animals. Pestic. Biochem. Physiol. 2022, 188, 105265. [Google Scholar] [CrossRef]
- De Oliveira, A.C.; Simões, R.C.; Lima, C.A.P.; da Silva, F.M.A.; Nunomura, S.M.; Roque, R.A.; Tadei, W.P.; Nunomura, R.C.S. Essential Oil of Piper purusanum C.DC (Piperaceae) and Its Main Sesquiterpenes: Biodefensives against Malaria and Dengue Vectors, without Lethal Effect on Non-Target Aquatic Fauna. Environ. Sci. Pollut. Res. 2022, 29, 47242–47253. [Google Scholar] [CrossRef]
- Hamada, N.; Nessimian, J.L.; Querino, R.B. Aquatic Insects in the Brazilian Amazon: Taxonomy, Biology and Ecology; Editora INPA: Sao Paulo, Brazil, 2014; ISBN 9788521101239.
- Bailão, E.F.L.C.; Pereira, D.G.; Romano, C.A.; Paz, A.T.d.S.; Silva, T.M.e.; Paula, J.R.d.; Gomes, C.M.; Borges, L.L. Larvicidal Effect of the Citrus limettioides Peel Essential Oil on Aedes aegypti. South Afr. J. Bot. 2022, 144, 257–260. [Google Scholar] [CrossRef]
- Fujiwara, G.M.; Annies, V.; de Oliveira, C.F.; Lara, R.A.; Gabriel, M.M.; Betim, F.C.M.; Nadal, J.M.; Farago, P.V.; Dias, J.F.G.; Miguel, O.G.; et al. Evaluation of Larvicidal Activity and Ecotoxicity of Linalool, Methyl Cinnamate and Methyl Cinnamate/Linalool in Combination against Aedes aegypti. Ecotoxicol. Environ. Saf. 2017, 139, 238–244. [Google Scholar] [CrossRef]
- Pavela, R. Essential Oils for the Development of Eco-Friendly Mosquito Larvicides: A Review. Ind. Crops Prod. 2015, 76, 174–187. [Google Scholar] [CrossRef]
- Da Costa, M.L.L.; de Oliveira, A.C.; Roque, R.A. Oxidative Stress Induction by Essential Oil from Piper alatipetiolatum (Piperaceae) Triggers Lethality in the Larvae of Culex quinquefasciatus (Diptera: Culicidae). Pestic. Biochem. Physiol. 2024, 200, 105809. [Google Scholar] [CrossRef]
- Kaur, N.; Kocher, D.K. Ovicidal, Larvicidal and Pupicidal Potential of Neem Seed Kernel Extract against Aedes aegypti L. Int J Trop. Insect. Sci. 2023, 43, 1089–1096. [Google Scholar] [CrossRef]
- Mohamed, H.A.; Gad, H.A.; Oraby, H.K. Field Larvicidal and Pupicidal Efficacy of the Natural Insecticide, Oxymatrine against Culex Species in Beni Suef Governorate, Egypt. J. Nat. Pestic. Res. 2023, 4, 100030. [Google Scholar] [CrossRef]
- Antoine, G.; Vaissayre, V.; Meile, J.C.; Payet, J.; Conéjéro, G.; Costet, L.; Fock-Bastide, I.; Joët, T.; Dussert, S. Diterpenes of Coffea Seeds Show Antifungal and Anti-Insect Activities and Are Transferred from the Endosperm to the Seedling after Germination. Plant Physiol. Biochem. 2023, 194, 627–637. [Google Scholar] [CrossRef]
- Rattan, R.S. Mechanism of Action of Insecticidal Secondary Metabolites of Plant Origin. Crop Prot. 2010, 29, 913–920. [Google Scholar] [CrossRef]
- Ganesan, P.; Samuel, R.; Mutheeswaran, S.; Pandikumar, P.; Reegan, A.D.; Aremu, A.O.; Ignacimuthu, S. Phytocompounds for Mosquito Larvicidal Activity and Their Modes of Action: A Review. South Afr. J. Bot. 2023, 152, 19–49. [Google Scholar] [CrossRef]
- Kim, S.I.; Ahn, Y.J. Larvicidal Activity of Lignans and Alkaloid Identified in Zanthoxylum piperitum Bark toward Insecticide-Susceptible and Wild Culex pipiens Pallens and Aedes aegypti. Parasit Vectors 2017, 10, 221. [Google Scholar] [CrossRef]
- Park, I.K. Insecticidal Activity of Isobutylamides Derived from Piper nigrum against Adult of Two Mosquito Species, Culex Pipiens pallens and Aedes aegypti. Nat. Prod. Res. 2012, 26, 2129–2131. [Google Scholar] [CrossRef]
- Perumalsamy, H.; Kim, J.R.; Oh, S.M.; Jung, J.W.; Ahn, Y.J.; Kwon, H.W. Novel Histopathological and Molecular Effects of Natural Compound Pellitorine on Larval Midgut Epithelium and Anal Gills of Aedes aegypti. PLoS ONE 2013, 8, e80226. [Google Scholar] [CrossRef]
- Han, Y.; Li, L.C.; Hao, W.B.; Tang, M.; Wan, S.Q. Larvicidal Activity of Lansiumamide B from the Seeds of Clausena lansium against Aedes albopictus (Diptera: Culicidae). Parasitol. Res. 2013, 112, 511–516. [Google Scholar] [CrossRef]
- Wiwattanawanichakun, P.; Ratwatthananon, A.; Poonsri, W.; Yooboon, T.; Pluempanupat, W.; Piyasaengthong, N.; Nobsathian, S.; Bullangpoti, V. The Possibility of Using Isolated Alkaloid Compounds and Crude Extracts of Piper petrofractum (Piperaceae) as Larvicidal Control Agents for Culex quinquefasciatus (Diptera: Culicidae) Larvae. J. Med. Entomol. 2018, 55, 1231–1236. [Google Scholar] [CrossRef]
- Maleck, M.; Ferreira, B.; Mallet, J.; Guimaróes, A.; Kato, M. Cytotoxicity of Piperamides Towards Aedes Aegypti (Diptera: Culicidae). J. Med. Entomol. 2014, 51, 458–463. [Google Scholar] [CrossRef]
- Hernández-Morales, A.; Arvizu-Gómez, J.L.; Carranza-Álvarez, C.; Gómez-Luna, B.E.; Alvarado-Sánchez, B.; Ramírez-Chávez, E.; Molina-Torres, J. Larvicidal Activity of Affinin and Its Derived Amides from Heliopsis longipes A. Gray Blake against Anopheles albimanus and Aedes aegypti. J. Asia Pac. Entomol. 2015, 18, 227–231. [Google Scholar] [CrossRef]
- Liu, Z.L.; Liu, Q.Z.; Du, S.S.; Deng, Z.W. Mosquito Larvicidal Activity of Alkaloids and Limonoids Derived from Evodia rutaecarpa Unripe Fruits against Aedes albopictus (Diptera: Culicidae). Parasitol. Res. 2012, 111, 991–996. [Google Scholar] [CrossRef]
- Akinbuluma, M.D.; Ewete, F.K.; Oladosu, I.A. Amide Alkaloids from Piper guineense and Its Crude Extract as Protectants against Sitophilus zeamais. J. Plant Dis. Prot. 2021, 128, 1557–1564. [Google Scholar] [CrossRef]
- Cuba, I.H.; Richoux, G.R.; Norris, E.J.; Bernier, U.R.; Linthicum, K.J.; Bloomquist, J.R. Vapor Phase Repellency and Insecticidal Activity of Pyridinyl Amides against Anopheline Mosquitoes. Curr. Res. Parasitol. Vector-Borne Dis. 2021, 1, 100062. [Google Scholar] [CrossRef]
- Guimarães, E.F.; Queiroz, G.A.; Medeiros, E.V.S.S. Piper in Flora do Brazil. Botanical Garden of Rio de Janeiro. Available online: http://floradobrasil.jbrj.gov.br/reflora/floradobrasil/FB86652 (accessed on 1 December 2024).
- Cheng, S.; Liu, J.; Huang, C.; Hsui, Y.; Chen, W.-J.; Chang, S.-T. Insecticidal Activities of Leaf Essential Oils from Cinnamomum osmophloeum against Three Mosquito Species. Bioresour. Technol. 2009, 100, 457–464. [Google Scholar] [CrossRef]
- Rossa, G.E.; Cassel, E.; Vargas, R.M.F.; Santana, O.; Díaz, C.E.; Andr, M.F. Biocidal Effects of Piper hispidinervum (Piperaceae) Essential Oil and Synergism among Its Main Components. Food Chem. Toxicol. 2017, 109, 1086–1092. [Google Scholar] [CrossRef]
- Gou, G.; Bao, W.; Li, J. Structural Diversity, Biological Activities and Biosynthetic Pathways of [2 + 2] and [4 + 2] Amide Alkaloid Dimers from Piperaceae: An Updated Review. Fitoterapia 2025, 180, 106305. [Google Scholar] [CrossRef]
- Wu, Z.; Du, Y.; Zhou, Q.; Chen, L. One Pot Solvothermal Synthesis of Novel Fluorescent Phloem-Mobile Phenylpyrazole Amide Pesticides Fused Olefin Moieties to Enhance Insecticidal Bioactivities and Photodegradation Properties. Pestic. Biochem. Physiol. 2020, 163, 51–63. [Google Scholar] [CrossRef]
- Chatterjee, A.; Dutta, C.P. Alkaloids of Piper longum Linn—I: Structure and Synthesis of Piperlongumine and Piperlonguminine. Tetrahedron 1967, 23, 1769–1781. [Google Scholar] [CrossRef]
- Filho, R.B.; De Souza, M.P.; Mattos, M.E.O. Piplartine-Dimer A, a New Alkaloid from Piper tuberculatum. Phytochemistry 1981, 20, 345–346. [Google Scholar] [CrossRef]
- Chang-Yih, D.; Yang-Chang, W.; Shang-Kwei, W. Cytotoxic Pyridone Alkaloids from Piper aborescens. Phytochemistry 1990, 29, 2689–2691. [Google Scholar] [CrossRef]
- Azevedo Da Silva, M.; Bonadeu Da Silva, F.; Matos Passarini, G.; Neri Fialho, S.; Paula De Azevedo Dos Santos, A.; Do Nascimento Martinez, L.; Bioni Garcia Teles, C.; Collins Kuehn, C.; Ribeiro Filho, J.; Oswaldo Cruz -Rondônia, F. Piplartine and Piperine: A Review of Their Biological. South Am. J. Basic Educ. Tech. Technol. 2020, 6, 818–858. [Google Scholar]
- Da Silva-Junior, E.A.; Paludo, C.R.; Gouvea, D.R.; Kato, M.J.; Furtado, N.A.J.C.; Lopes, N.P.; Vessecchi, R.; Pupo, M.T. Gas-phase Fragmentation of Protonated Piplartine and Its Fungal Metabolites Using Tandem Mass Spectrometry and Computational Chemistry. J. Mass Spectrom. 2017, 52, 517–525. [Google Scholar] [CrossRef]
- Navickiene, H.M.D.; Alécio, A.C.; Kato, M.J.; Bolzani, V.d.S.; Young, M.C.M.; Cavalheiro, A.J.; Furlan, M. Antifungal Amides from Piper hispidum and Piper tuberculatum. Phytochemistry 2000, 55, 621–626. [Google Scholar] [CrossRef]
- Schaab, E.H.; Crotti, A.E.; Iamamoto, Y.; Massuo, C.; Kato, J.; Veras, L.; Lotufo, C.; Lopes, N.P. Biomimetic Oxidation of Piperine and Piplartine Catalyzed by Iron(III) and Manganese(III) Porphyrins Fig. 1. Structures of Piperine (1) and Piplartine (2). Biol. Pharm. Bull. 2010, 33, 912–916. [Google Scholar] [CrossRef]
- Costa, M.B.S.; Simões, R.d.C.; Silva, M.J.A.; Oliveira, A.C.; Acho, L.D.R.; Lima, E.S.; Tadei, W.P.; Teles, H.L.; Oliveira, C.M. Oxidative Stress Induction by Crude Extract of Xylaria Sp. Triggers Lethality in the Larvae of Aedes aegypti (Diptera: Culicidae). Rev. Soc. Bras. Med. Trop. 2022, 55, 1–6. [Google Scholar] [CrossRef]
- Abolaji, A.O.; Kamdem, J.P.; Lugokenski, T.H.; Farombi, E.O.; Souza, D.O.; da Silva Loreto, É.L.; Rocha, J.B.T. Ovotoxicants 4-Vinylcyclohexene 1,2-Monoepoxide and 4-Vinylcyclohexene Diepoxide Disrupt Redox Status and Modify Different Electrophile Sensitive Target Enzymes and Genes in Drosophila melanogaster. Redox Biol. 2015, 5, 328–339. [Google Scholar] [CrossRef]
- Niki, E. Lipid Peroxidation Products as Oxidative Stress Biomarkers. BioFactors 2008, 34, 171–180. [Google Scholar] [CrossRef]
- Lima, S.C.; de Oliveira, A.C.; Tavares, C.P.S.; Costa, M.L.L.; Roque, R.A. Essential Oil from Piper tuberculatum Jacq. (Piperaceae) and Its Majority Compound β-Caryophyllene: Mechanism of Larvicidal Action against Aedes aegypti (Diptera: Culicidae) and Selective Toxicity. Environ. Sci. Pollut. Res. 2024, 31, 33454–33463. [Google Scholar] [CrossRef]
- De Oliveira, A.C.; Sá, I.S.C.; Mesquita, R.S.; Pereira, B.L.; Pocrifka, L.A.; de Souza, T.P.; Rodriguez Amado, J.R.; Azevedo, S.G.; Sanches, E.A.; Nunomura, S.M.; et al. Nanoemulsion Loaded with Volatile Oil from Piper alatipetiolatum as an Alternative Agent in the Control of Aedes aegypti. Braz. J. Pharmacogn. 2020, 30, 667–677. [Google Scholar] [CrossRef]
- Janner, D.E.; Gomes, N.S.; Poetini, M.R.; Poleto, K.H.; Musachio, E.A.S.; de Almeida, F.P.; de Matos Amador, E.C.; Reginaldo, J.C.; Ramborger, B.P.; Roehrs, R.; et al. Oxidative Stress and Decreased Dopamine Levels Induced by Imidacloprid Exposure Cause Behavioral Changes in a Neurodevelopmental Disorder Model in Drosophila melanogaster. Neurotoxicology 2021, 85, 79–89. [Google Scholar] [CrossRef]
- Johnson, T.O.; Ojo, O.A.; Ikiriko, S.; Ogunkua, J.; Akinyemi, G.O.; Rotimi, D.E.; Oche, J.R.; Adegboyega, A.E. Biochemical Evaluation and Molecular Docking Assessment of Cymbopogon citratus as a Natural Source of Acetylcholine Esterase (AChE)-Targeting Insecticides. Biochem. Biophys. Rep. 2021, 28, 101175. [Google Scholar] [CrossRef]
- Barbosa, K.B.F.; Costa, N.M.B.; De Cássia Gonçalves Alfenas, R.; De Paula, S.O.; Minim, V.P.R.; Bressan, J. Oxidative Stress: Concept, Implications, and Modulatory Factors. J. Nutr. 2010, 23, 629–643. [Google Scholar]
- Pavela, R.; Govindarajan, M. The Essential Oil from Zanthoxylum monophyllum a Potential Mosquito Larvicide with Low Toxicity to the Non-Target Fish Gambusia affinis. J. Pest. Sci. 2017, 90, 369–378. [Google Scholar] [CrossRef]
- Taktak, N.E.M.; Badawy, M.E.I. Potential of Hydrocarbon and Oxygenated Monoterpenes against Culex pipiens Larvae: Toxicity, Biochemical, Pharmacophore Modeling and Molecular Docking Studies. Pestic. Biochem. Physiol. 2019, 158, 156–165. [Google Scholar] [CrossRef]
- Castillo-Morales, R.M.; Carreño Otero, A.L.; Mendez-Sanchez, S.C.; Da Silva, M.A.N.; Stashenko, E.E.; Duque, J.E. Mitochondrial Affectation, DNA Damage and AChE Inhibition Induced by Salvia officinalis Essential Oil on Aedes aegypti Larvae. Comp. Biochem. Physiol. C Toxicol. Pharmacol. 2019, 221, 29–37. [Google Scholar] [CrossRef]
- Doorandishan, M.; Pirhadi, S.; Swilam, M.M.; Gholami, M.; Ebrahimi, P.; El-Seedi, H.R.; Jassbi, A.R. Molecular Docking and Simulation Studies of a Novel Labdane Type-Diterpene from Moluccella aucheri Scheen (Syn. Otostegia Aucheri) as Human-AChE Inhibitor. J. Mol. Struct. 2021, 1245, 131034. [Google Scholar] [CrossRef]
- Jin, Z.; Zhang, C.; Liu, M.; Jiao, S.; Zhao, J.; Liu, X.; Lin, H.; Chi-cheong Wan, D.; Hu, C. Synthesis, Biological Activity, Molecular Docking Studies of a Novel Series of 3-Aryl-7 H-Thiazolo[3,2-b]-1,2,4-Triazin-7-One Derivatives as the Acetylcholinesterase Inhibitors. J. Biomol. Struct. Dyn. 2021, 39, 2478–2489. [Google Scholar] [CrossRef]
- Stalin, A.; Daniel Reegan, A.; Rajiv Gandhi, M.; Saravanan, R.R.; Balakrishna, K.; Hesham, A.E.L.; Ignacimuthu, S.; Zhang, Y. Mosquitocidal Efficacy of Embelin and Its Derivatives against Aedes aegypti L. and Culex quinquefasciatus Say. (Diptera: Culicidae) and Computational Analysis of Acetylcholinesterase 1 (AChE1) Inhibition. Comput. Biol. Med. 2022, 146, 105535. [Google Scholar] [CrossRef]
- Clasen, B.; Loro, V.L.; Murussi, C.R.; Tiecher, T.L.; Moraes, B.; Zanella, R. Bioaccumulation and Oxidative Stress Caused by Pesticides in Cyprinus carpio Reared in a Rice-Fish System. Sci. Total Environ. 2018, 626, 737–743. [Google Scholar] [CrossRef]
- Govindarajan, M.; Benelli, G. α-Humulene and β-Elemene from Syzygium zeylanicum (Myrtaceae) Essential Oil: Highly Effective and Eco-Friendly Larvicides against Anopheles subpictus, Aedes albopictus, and Culex tritaeniorhynchus (Diptera: Culicidae). Parasitol. Res. 2016, 115, 2771–2778. [Google Scholar] [CrossRef]
- Marques, A.M.; Velozo, L.S.; Carvalho, M.A.; Serdeiro, M.T.; Honório, N.A.; Kaplan, M.A.C.; Maleck, M. Larvicidal Activity of Ottonia anisum Metabolites against Aedes aegypti: A Potential Natural Alternative Source for Mosquito Vector Control in Brazil. J. Vector Borne Dis. 2017, 54, 61–68. [Google Scholar] [CrossRef]
- Marques, A.M.; Kaplan, M.A.C. Active Metabolites of the Genus Piper against Aedes aegypti: Natural Alternative Sources for Dengue Vector Control. Univ. Sci. 2015, 20, 61–82. [Google Scholar] [CrossRef]
- Lopes Martins, R.; Bruno Lobato Rodrigues, A.; de Menezes Rabelo, É.; Lima Santos, L.; Barreto Brandão, L.; Gomes Faustino, C.; Luzia Ferreira Farias, A.; Maria da Cunha Sá, D.; de Castro Cantuária, P.; Kardec Ribeiro Galardo, A.; et al. Development of Larvicide Nanoemulsion from the Essential Oil of Aeollanthus suaveolens Mart. Ex Spreng against Aedes aegypti, and Its Toxicity in Non-Target Organism. Arab J. Chem. 2021, 14, 103148. [Google Scholar] [CrossRef]
- Soares de Oliveira, M.; dos Santos Pereira, G.; Carlos Martinez, L.; Beatriz Reis, A.; Tudor Cândido Santos de Resende, M.; Lemos da Silva, L.; Cola Zanuncio, J.; Eduardo Serrão, J. Effects of Chronic Oral Exposure to Insecticide Teflubenzuron on the Midgut of the Honey Bee Apis mellifera Workers: Histopathological Insights into Pesticide Toxicity. Environ. Sci. Pollut. Res. 2024, 31, 44908–44919. [Google Scholar] [CrossRef]
- Fernanda, L.; Lopes, P.; Rocha, G.S.; Ferreira De Medeiros, J.; Cassiana, ·; Montagner, C.; Luiz, E.; Espíndola, G. The Acute Effects of Fipronil and 2,4-D, Individually and in Mixture: A Threat to the Freshwater Calanoida copepod Notodiaptomus Iheringi. Environ. Sci. Pollut. Res. 2023, 30, 80335–80348. [Google Scholar] [CrossRef]
- Kumar, P.; Kumar, R.; Thakur, K.; Mahajan, D.; Brar, B.; Sharma, D.; Kumar, S.; Sharma, A.K. Impact of Pesticides Application on Aquatic Ecosystem and Biodiversity: A Review. Biol. Bull. 2023, 50, 1362–1375. [Google Scholar] [CrossRef]
- Abajue, M.C.; Izah, S.C. Arthropods as a Sustainable Biomonitoring Tool for Environmental Pollution. Biomonitor Pollut Glob. South 2024, 535–567. [Google Scholar] [CrossRef]
- Nanda, S.; Ganguly, A.; Mandi, M.; Sarkar, S.; Das, K.; Ghanty, S.; Biswas, G.; Rajak, P. Neonicotinoid Contamination in the Aquatic Ecosystems—What We Know? In Neonicotinoids in the Environment; Springer: Cham, Switzerland, 2024; pp. 29–42. [Google Scholar] [CrossRef]
- Luz, T.R.S.A.; de Mesquita, L.S.S.; do Amaral, F.M.M.; Coutinho, D.F. Essential Oils and Their Chemical Constituents against Aedes aegypti L. (Diptera: Culicidae) Larvae. Acta Trop. 2020, 212, 105705. [Google Scholar] [CrossRef]
- Kiari, F.Z.; Meddah, B.; Tir Touil Meddah, A. In vitro Study on the Activity of Essential Oil and Methanolic Extract from Algerian nigella Sativa L. Seeds on the Growth Kinetics of Micro-Organisms Isolated from the Buccal Cavities of Periodontal Patients. Saudi Dent. J. 2018, 30, 312–323. [Google Scholar] [CrossRef]
- 73. Santos, C.L.G.; Neves, K.O.G.; Silva-Filho, F.A.; Lima, B.R.; Costa, E.V.; Souza, A.D.L.; Koolen, H.H.F.; Pinheiro, M.L.B.; Silva, F.M.A. LC-MS Guided Isolation of N,β-Glucopyranosyl Vincosamide and Other Compounds from the Curare Ingredient Strychnos Peckii. Front. Nat. Prod. 2023, 2, 1189619. [Google Scholar] [CrossRef]
- World Health Organization. World Health Organization. World Health Organization Communicable Disease Control, Prevention and Eradication Who Pesticide Evaluation Scheme. In Guidelines for Laboratory and Field Testing of Mosquito Larvicides; World Health Organization: Geneva, Switzerland, 2005; pp. 1–41. [Google Scholar]
- Silva, A.P.B.; Alves, W.S.; Martins Junior, A.J.; Tadei, W.P.; Santos, J.M.M. Adaptation of a Simplified Bioassay to Assess Susceptibility Status in Larvae of Anopheles darlingi and Anopheles marajoara to Pyrethroid Deltamethrin. BioAssay 2014, 9, 139. [Google Scholar] [CrossRef]
- WHO. Manual of Practival Entomology in Malaria Part 2; World Health Organization: Geneva, Switzerland, 1975.
- Consoli, R.A.G.B.; De Oliveira, R.L. Main Mosquitoes of Sanitary Importance in Brazil; FIOCRUZ: Rio de Janeiro, Brazil, 1994; ISBN 8585676035. [Google Scholar]
- De Oliveira, A.C.; Simões, R.C.; da Silva, F.M.A.; Sá, I.S.C.; da Costa, M.L.L.; Nunomura, S.M.; Nunomura, R.C.S.; Roque, R.A. Essential Oil and Fenchone Extracted from Tetradenia riparia (Hochstetter.) Codd (Lamiaceae) Induce Oxidative Stress in Culex quinquefasciatus Larvae (Diptera: Culicidae) without Causing Lethal Effects on Non-Target Animals. Environ. Sci. Pollut. Res. 2024, 31, 32998–33010. [Google Scholar] [CrossRef]
- Pérez-Severiano, F.; Santamaría, A.; Pedraza-Chaverri, J.; Medina-Campos, O.N.; Ríos, C.; Segovia, J. Increased Formation of Reactive Oxygen Species, but No Changes in Glutathione Peroxidase Activity, in Striata of Mice Transgenic for the Huntington’s Disease Mutation. Neurochem. Res. 2004, 29, 729–733. [Google Scholar] [CrossRef]
- Aebi, H. Catalase in Vitro. In Methods in Enzymology; Elsevier: Amsterdam, The Netherlands, 1984; Volume 105, pp. 121–126. [Google Scholar]
- Habig, W.H.; Jakoby, W.B. Assays for Differentiation of Glutathione S-Transferases. In Methods in Enzymology; Elsevier: Amsterdam, The Netherlands, 1981; Volume 77, pp. 398–405. [Google Scholar]
- Ellman, G.L.; Courtney, K.D.; Andres, V.; Featherstone, R.M. A New and Rapid Colorimetric Determination of Acetylcholinesterase Activity. Biochem. Pharmacol. 1961, 7, 88–95. [Google Scholar] [CrossRef]
- Valle, D.; Montella, I.R.; Ribeiro, R.; Medeiros, P.; Martins-Júnior, A.; Lima, J. Quantification Methodology for Enzyme Activity Related to Insecticide Resistance in Aedes aegypti; Ministry of Health of Brazil, Oswaldo Cruz Foundation: Rio de Janeiro, Brazil, 2006; p. 128. [Google Scholar]
- Sivagnaname, N.; Kalyanasundaram, M. Laboratory Evaluation of Methanolic Extract of Atlantia monophylla (Family: Rutaceae) against Immature Stages of Mosquitoes and Non-Target Organisms. Mem. Inst. Oswaldo Cruz 2004, 99, 115–118. [Google Scholar] [CrossRef] [PubMed]
- De Lima, B.R.; Lima, J.M.; Maciel, J.B.; Valentim, C.Q.; Nunomura, R.; de, C.S.; Lima, E.S.; Koolen, H.H.F.; de Souza, A.D.L.; Pinheiro, M.L.B.; et al. Synthesis and Inhibition Evaluation of New Benzyltetrahydroprotoberberine Alkaloids Designed as Acetylcholinesterase Inhibitors. Front. Chem. 2019, 7, 629. [Google Scholar] [CrossRef] [PubMed]
- Kishore, J.; Goel, M.; Khanna, P. Understanding Survival Analysis: Kaplan-Meier Estimate. Int. J. Ayurveda Res. 2010, 1, 274. [Google Scholar] [CrossRef] [PubMed]
- Mizukami, A.; Matsue, Y.; Naruse, Y.; Kowase, S.; Kurosaki, K.; Suzuki, M.; Matsumura, A.; Nogami, A.; Aonuma, K.; Hashimoto, Y. Kaplan–Meier Survival Analysis and Cox Regression Analyses Regarding Right Ventricular Septal Pacing: Data from Japanese Pacemaker Cohort. Data Brief 2016, 8, 1303–1307. [Google Scholar] [CrossRef] [PubMed]







| Position | δH (J in Hz) | δH (J in Hz) a |
|---|---|---|
| 2 | - | - |
| 3 | 6.01 (dt, 9.8, 1.8) | 6.03 (dt, 9.7, 1.6) |
| 4 | 7.08 (dt, 9.8; 4.3) | 6.94 (dt, 9.7; 4.1) |
| 5 | 2.51 (tdd, 6.6; 4.3; 1.8) | 2.47 (m) |
| 6 | 3.99 (t, 6.6) | 4.03 (t, 6.4) |
| 7 | - | - |
| 8 | 7.38 (d, 15.9) | 7.41 (d, 15.6) |
| 9 | 7.61 (d, 15.9) | 7.66 (d, 15.6) |
| 10 | - | - |
| 11 | 6.92 (s) | 6.79 (s) |
| 12 | - | - |
| 13 | - | - |
| 14 | - | - |
| 15 | 6.92 (s) | 6.79 (s) |
| 16 | 3.88 (s) | 3.88 (s) |
| 17 | 3.80 (s) | 3.86 (s) |
| 18 | 3.88 (s) | 3.88 (s) |
| Sample | Larvae | LC50 (μg/mL) (LCL-UCL) | LC90 (μg/mL) (LCL-UCL) | χ2 (Df) | Linear Equation | Relative Potency |
|---|---|---|---|---|---|---|
| Piplartine | Ae. aegypt | 14.56 b (13.742- 15.364) | 23.80 b (22.243- 25.871) | 5.272 (4) * | Y = −6.992 + 2.610 | 0.0017 |
| An. darlingi | 16.49 c (15.642–17.332) | 26.44 b (24.716–28.771) | 4.004 (4) * | Y = −7.611 + 6.252 | 0.0013 | |
| α-Cypermethrin | Ae. aegypt | 0.023 a (0.021–0.025) | 0.049 a (0.045–0.056) | 8.091 (4) * | Y = −6.386 + 3.908 | 1 |
| An. darlingi | 0.025 a (0.023–0.026) | 0.043 a (0.040–0.048) | 3.112 (4) * | Y = −8.429 + 5.250 | 1 |
| Covariates | Coefficient (B) | Exp(B) * (Odds Ratio) | Confidence Interval (95%) | p-Value |
|---|---|---|---|---|
| Piplartine | −0.001 | 0.999 | 0.500 to 1.500 | 1.000 |
| DMSO | −0.001 | 0.999 | 0.500 to 1.500 | 1.000 |
| α-Cypermethrin | 4.000 | 54.598 | 1.500 to 199.700 | 0.030 |
| Order | 0.005 | 1.005 | 0.811 to 1.245 | 0.964 |
Disclaimer/Publisher’s Note: The statements, opinions and data contained in all publications are solely those of the individual author(s) and contributor(s) and not of MDPI and/or the editor(s). MDPI and/or the editor(s) disclaim responsibility for any injury to people or property resulting from any ideas, methods, instructions or products referred to in the content. |
© 2025 by the authors. Licensee MDPI, Basel, Switzerland. This article is an open access article distributed under the terms and conditions of the Creative Commons Attribution (CC BY) license (https://creativecommons.org/licenses/by/4.0/).
Share and Cite
de Oliveira, A.C.; da Silva, F.M.A.; de Sá, I.S.; Leocadio, B.R.C.; Lima, S.C.; Lima da Costa, M.L.; Roque, R.A.; Nunomura, R.d.C.S. Bioassay-Guided Isolation of Piplartine from Piper purusanum Yunck (Piperaceae) and Evaluation of Its Toxicity Against Aedes aegypti Linnaeus, 1762, Anopheles darlingi Root, 1926 (Culicidae), and Non-Target Animals. Plants 2025, 14, 774. https://doi.org/10.3390/plants14050774
de Oliveira AC, da Silva FMA, de Sá IS, Leocadio BRC, Lima SC, Lima da Costa ML, Roque RA, Nunomura RdCS. Bioassay-Guided Isolation of Piplartine from Piper purusanum Yunck (Piperaceae) and Evaluation of Its Toxicity Against Aedes aegypti Linnaeus, 1762, Anopheles darlingi Root, 1926 (Culicidae), and Non-Target Animals. Plants. 2025; 14(5):774. https://doi.org/10.3390/plants14050774
Chicago/Turabian Stylede Oliveira, André Correa, Felipe Moura Araujo da Silva, Ingrity Suelen de Sá, Brenda Reis Coelho Leocadio, Suelen Costa Lima, Maria Luiza Lima da Costa, Rosemary Aparecida Roque, and Rita de Cássia Saraiva Nunomura. 2025. "Bioassay-Guided Isolation of Piplartine from Piper purusanum Yunck (Piperaceae) and Evaluation of Its Toxicity Against Aedes aegypti Linnaeus, 1762, Anopheles darlingi Root, 1926 (Culicidae), and Non-Target Animals" Plants 14, no. 5: 774. https://doi.org/10.3390/plants14050774
APA Stylede Oliveira, A. C., da Silva, F. M. A., de Sá, I. S., Leocadio, B. R. C., Lima, S. C., Lima da Costa, M. L., Roque, R. A., & Nunomura, R. d. C. S. (2025). Bioassay-Guided Isolation of Piplartine from Piper purusanum Yunck (Piperaceae) and Evaluation of Its Toxicity Against Aedes aegypti Linnaeus, 1762, Anopheles darlingi Root, 1926 (Culicidae), and Non-Target Animals. Plants, 14(5), 774. https://doi.org/10.3390/plants14050774

