Fate of Fertilizer Nitrogen in the Field 2 Years After Biochar Application
Abstract
1. Introduction
2. Results
2.1. N Accumulation in Aboveground Organs of Spring Wheat Plants at the Maturity Stage
2.2. Changes in 15N Abundance in Aboveground Organs of Plants at the Maturity Stage
2.3. Proportion of 15N-Labeled Fertilizer N and Soil N in Plants at the Maturity Stage
2.4. Uptake and Utilization of 15N-Labeled Fertilizer N by Aboveground Organs of Spring Wheat at the Maturity Stage
2.5. 15N-Labeled Fertilizer N in Soil at a Depth of 0–30 cm in a Spring Wheat Field at the Maturity Stage
2.6. Fate of Fertilizer N
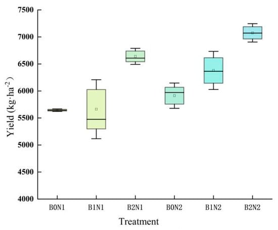
2.7. Yield of Spring Wheat and Its Components
3. Discussion
4. Materials and Methods
4.1. General Overview of the Test Site
4.2. Test Materials
4.3. Experimental Design
4.4. Determination Items and Methods
4.4.1. Collection of Plant and Soil Samples
4.4.2. Determination of Plant N and Soil N
4.4.3. Determination of 15N Abundance in Plant and Soil
4.4.4. Determination of Spring Wheat Yield
4.4.5. Soil Basic Physics and Chemistry
4.4.6. Related Calculation
4.5. Statistical Analysis
5. Conclusions
Author Contributions
Funding
Data Availability Statement
Conflicts of Interest
References
- Shen, J.; Cui, Z.; Miao, Y.; Mi, G.; Zhang, H.; Fan, M.; Zhang, C.; Jiang, R.; Zhang, W.; Li, H.; et al. Transforming agriculture in China: From solely high yield to both high yield and high resource use efficiency. Glob. Food Secur. 2013, 2, 1–8. [Google Scholar] [CrossRef]
- Chen, W.; Meng, J.; Han, X.; Lan, Y.; Zhang, W. Past, present, and future of biochar. Biochar 2019, 1, 75–87. [Google Scholar] [CrossRef]
- Niu, J.; Shao, R.; Liang, J.; Dou, M.; Li, Z.; Huang, Y.; Wang, F. Biomass-derived mesopore-dominant porous carbons with large specific surface area and high defect density as high performance electrode materials for Li-ion batteries and supercapacitors. Nano Energy 2017, 36, 322–330. [Google Scholar] [CrossRef]
- Blomström, M.; Kokko, A. From natural resources to high-tech production: The evolution of industrial competitiveness in Sweden and Finland. Nat. Resour. Neither Curse Nor Destiny 2007, 1, 213–256. [Google Scholar]
- Wu, P.; Ata-Ul-Karim, S.T.; Singh, B.P.; Wang, H.; Wu, T.; Liu, C.; Fang, G.; Zhou, D.; Wang, Y.; Chen, W. A scientometric review of biochar research in the past 20 years (1998–2018). Biochar 2019, 1, 23–43. [Google Scholar] [CrossRef]
- Wang, Y.; Ge, L.; Chendi, S.; Wang, H.; Han, J.; Guo, Z.; Lu, Y. Analysis on hydraulic characteristics of improved sandy soil with soft rock. PLoS ONE 2020, 15, e0227957. [Google Scholar] [CrossRef] [PubMed]
- Ding, Y.; Liu, Y.; Liu, S.; Li, Z.; Tan, X.; Huang, X.; Zeng, G.; Zhou, L.; Zheng, B. Biochar to improve soil fertility. A review. Agron. Sustain. Dev. 2016, 36, 36. [Google Scholar] [CrossRef]
- Xue, L.; Hou, P.; Zhang, Z.; Shen, M.; Liu, F.; Yang, L. Application of systematic strategy for agricultural non-point source pollution control in Yangtze River basin, China. Agric. Ecosyst. Environ. 2020, 304, 107148. [Google Scholar] [CrossRef]
- Chien, S.H.; Prochnow, L.I.; Cantarella, A.H. Recent developments of fertilizer production and use to improve nutrient efficiency and minimize environmental impacts. Adv. Agron. 2009, 102, 267–322. [Google Scholar]
- Hailegnaw, N.S.; Mercl, F.; Pračke, K.; Száková, J.; Tlustoš, P. High temperature-produced biochar can be efficient in nitrate loss prevention and carbon sequestration. Geoderma 2019, 338, 48–55. [Google Scholar] [CrossRef]
- Peng, J.; Han, X.; Li, N.; Chen, K.; Yang, J.; Zhan, X.; Luo, P.; Liu, N. Combined application of biochar with fertilizer promotes nitrogen uptake in maize by increasing nitrogen retention in soil. Biochar 2021, 3, 367–379. [Google Scholar] [CrossRef]
- Zhang, W.; Chen, W. Application Effect of Biochar on Rice. In Proceedings of the New Technology of Agricultural Engineering, Zibo, China, 27–29 May 2011; pp. 731–736. [Google Scholar]
- Amirahmadi, E.; Ghorbani, M.; Krexner, T.; Hörtenhuber, S.J.; Bernas, J.; Neugschwandtner, R.W.; Konvalina, P.; Moudrý, J. Life cycle assessment of biochar and cattle manure application in sugar beet cultivation—Insights into root yields, white sugar quality, environmental aspects in field and factory phases. J. Clean. Prod. 2024, 476, 143772. [Google Scholar] [CrossRef]
- Xie, J.; Wang, J.; Hu, Q.; Zhang, Y.; Wan, Y.; Zhang, C.; Zhang, Y.; Shi, X. Optimal N management improves crop yields and soil carbon, nitrogen sequestration in Chinese cabbage-maize rotation. Arch. Agron. Soil Sci. 2022, 69, 1071–1084. [Google Scholar] [CrossRef]
- Li, C.; Zhao, C.; Zhao, X.; Wang, Y.; Lv, X.; Zhu, X.; Song, X. Beneficial Effects of Biochar Application with Nitrogen Fertilizer on Soil Nitrogen Retention, Absorption and Utilization in Maize Production. Agronomy 2022, 13, 113. [Google Scholar] [CrossRef]
- Ladha, J.K.; Pathak, H.; Krupnik, T.J.; Six, J.; van Kessel, C. Efficiency of fertilizer nitrogen in cereal production: Retrospects and prospects. Adv. Agron. 2005, 87, 85–156. [Google Scholar]
- Stark, C.H.; Richards, K.G. The continuing challenge of nitrogen loss to the environment: Environmental consequences and mitigation strategies. Dyn. Soil Dyn. Plant 2008, 2, 41–55. [Google Scholar]
- Feng, J.; Yu, D.; Sinsabaugh, R.L.; Moorhead, D.L.; Andersen, M.N.; Smith, P.; Song, Y.; Li, X.; Huang, Q.; Liu, Y.-R.; et al. Trade-offs in carbon-degrading enzyme activities limit long-term soil carbon sequestration with biochar addition. Biol. Rev. 2023, 98, 1184–1199. [Google Scholar] [CrossRef]
- Liu, E.; Zhou, J.; Yang, X.; Jin, T.; Zhao, B.; Li, L.; Wen, Y.; Soldatova, E.; Zamanian, K.; Gopalakrishnan, S.; et al. Long-term organic fertilizer-induced carbonate neoformation increases carbon sequestration in soil. Environ. Chem. Lett. 2023, 21, 663–671. [Google Scholar] [CrossRef]
- Zhou, T.; Tang, S.; Cui, J.; Zhang, Y.; Li, X.; Qiao, Q.; Long, X.-E. Biochar amendment reassembles microbial community in a long-term phosphorus fertilization paddy soil. Appl. Microbiol. Biotechnol. 2023, 107, 6013–6028. [Google Scholar] [CrossRef]
- Dai, J.; Gui, H.; Shen, F.; Liu, Y.; Bai, M.; Yang, J.; Liu, H.; Luo, P.; Han, X.; Siddique, K.H. Fertilizer 15N balance in a soybean–maize–maize rotation system based on a 41-year long-term experiment in Northeast China. Front. Plant Sci. 2023, 14, 1105131. [Google Scholar] [CrossRef]
- Du, S.; Zhang, Z.; Chen, P.; Li, T.; Han, Y.; Song, J. Fate of each period fertilizer N in Mollisols under water and N management: A 15N tracer study. Agric. Water Manag. 2022, 272, 107872. [Google Scholar] [CrossRef]
- Zhang, X.; Zhang, S.; Li, A.; Zhu, F.; Zhao, Y.; Ma, D.; Meng, B.; Liu, M. The impact of replacing chemical nitrogen fertilizer with monosodium glutamate waste liquid residue on yield, quality, and carbon emission of rice production. Carbon Res. 2024, 3, 75. [Google Scholar] [CrossRef]
- Quan, Z.; Li, S.; Xun, Z.; Liu, C.; Liu, D.; Wang, Y.; Zhao, X.; Yang, M.; Lu, C.; Chen, X.; et al. Evaluating the Effects of Reduced N Application, a Nitrification Inhibitor, and Straw Incorporation on Fertilizer-N Fates in the Maize Growing Season: A Field 15N Tracer Study. Nitrogen 2024, 5, 584–597. [Google Scholar] [CrossRef]
- Lv, R.; Wang, Y.; Yang, X.; Wen, Y.; Tan, X.; Zeng, Y.; Shang, Q. Adsorption and leaching characteristics of ammonium and nitrate from paddy soil as affected by biochar amendment. Plant Soil Environ. 2021, 67, 8–17. [Google Scholar] [CrossRef]
- Kotuš, T.; Šimanský, V.; Drgoňová, K.; Illéš, M.; Wójcik-Gront, E.; Balashov, E.; Buchkina, N.; Aydın, E.; Horák, J. Combination of biochar with N–fertilizer affects properties of soil and N2O emissions in maize crop. Agronomy 2022, 12, 1314. [Google Scholar] [CrossRef]
- Martos, S.; Mattana, S.; Ribas, A.; Albanell, E.; Domene, X. Biochar application as a win-win strategy to mitigate soil nitrate pollution without compromising crop yields: A case study in a Mediterranean calcareous soil. J. Soils Sediments 2020, 20, 220–233. [Google Scholar] [CrossRef]
- Hegab, R. Impact of Integrating between mineral nitrogen, vermicompost and biochar on nitrogen-use efficiency and productivity of panicum plants grown on sandy soil. Egypt. J. Soil Sci. 2024, 64, 1273–1284. [Google Scholar] [CrossRef]
- Ru, C.; Hu, X.; Wang, W.; Yan, H. Impact of nitrogen on photosynthesis, remobilization, yield, and efficiency in winter wheat under heat and drought stress. Agric. Water Manag. 2024, 302, 109013. [Google Scholar] [CrossRef]
- Bakshi, S.; Banik, C.; Laird, D.A.; Smith, R.; Brown, R.C. Enhancing Biochar as Scaffolding for Slow Release of Nitrogen Fertilizer. ACS Sustain. Chem. Eng. 2021, 24, 8222–8231. [Google Scholar] [CrossRef]
- Wang, C.; Luo, D.; Zhang, X.; Huang, R.; Cao, Y.; Liu, G.; Zhang, Y.; Wang, H. Biochar-based slow-release of fertilizers for sustainable agriculture: A mini review. Environ. Sci. Ecotechnol. 2022, 10, 100167. [Google Scholar] [CrossRef] [PubMed]
- Lyu, H.; Li, Y.; Wang, Y.; Wang, P.; Shang, Y.; Yang, X.; Wang, F.; Yu, A. Drive soil nitrogen transformation and improve crop nitrogen absorption and utilization-a review of green manure applications. Front. Plant Sci. 2024, 14, 1305600. [Google Scholar] [CrossRef] [PubMed]
- Feng, W.; Yang, F.; Cen, R.; Liu, J.; Qu, Z.; Miao, Q.; Chen, H. Effects of straw biochar application on soil temperature, available nitrogen and growth of corn. J. Environ. Manag. 2021, 277, 111331. [Google Scholar] [CrossRef] [PubMed]
- Li, L.; Wu, T.; Li, Y.; Hu, X.; Wang, Z.; Liu, J.; Qin, W.; Ashraf, U. Deep fertilization improves rice productivity and reduces ammonia emissions from rice fields in China; a meta-analysis. Field Crops Res. 2022, 289, 108704. [Google Scholar] [CrossRef]
- Qu, J.; Wang, Y.; Tian, X.; Jiang, Z.; Deng, F.; Tao, Y.; Jiang, Q.; Wang, L.; Zhang, Y. KOH-activated porous biochar with high specific surface area for adsorptive removal of chromium (VI) and naphthalene from water: Affecting factors, mechanisms and reusability exploration. J. Hazard. Mater. 2021, 401, 123292. [Google Scholar] [CrossRef] [PubMed]
- Zhang, L.; Feng, Y.; Zhao, Z.; Cui, Z.; Baoyin, B.; Wang, H.; Li, Q.; Cui, J. Maize/soybean intercropping with nitrogen supply levels increases maize yield and nitrogen uptake by influencing the rhizosphere bacterial diversity of soil. Front. Plant Sci. 2024, 15, 1437631. [Google Scholar] [CrossRef]
- Zhu, E.; Liu, Z.; Ma, L.; Luo, J.; Kang, E.; Wang, Y.; Zhao, Y.; Jia, J.; Feng, X. Enhanced mineral preservation rather than microbial residue production dictates the accrual of mineral-associated organic carbon along a weathering gradient. Geophys. Res. Lett. 2024, 51, e2024GL108466. [Google Scholar] [CrossRef]
- Kalu, S.; Seppänen, A.; Mganga, K.Z.; Sietiö, O.M.; Glaser, B.; Karhu, K. Biochar reduced the mineralization of native and added soil organic carbon: Evidence of negative priming and enhanced microbial carbon use efficiency. Biochar 2024, 6, 7. [Google Scholar] [CrossRef]
- Sultan, H.; Li, Y.; Ahmed, W.; Shah, A.; Faizan, M.; Ahmad, A.; Abbas, H.M.M.; Nie, L.; Khan, M.N. Biochar and nano biochar: Enhancing salt resilience in plants and soil while mitigating greenhouse gas emissions: A comprehensive review. J. Environ. Manag. 2024, 355, 120448. [Google Scholar] [CrossRef] [PubMed]
- Xu, P.; Gao, Y.; Cui, Z.; Wu, B.; Yan, B.; Wang, Y.; Zaitongguli, K.; Wen, M.; Wang, H.; Jing, N.; et al. Research progress on effects of biochar on soil environment and crop nutrient absorption and utilization. Sustainability 2023, 15, 4861. [Google Scholar] [CrossRef]
- Wang, X.; Fan, J.; Ying, Y.; Xu, G.; Wang, H.; Deng, J.; Wang, Y.; Zhang, F.; Li, P.; Li, Z. The effects of mulch and nitrogen fertilizer on the soil environment of crop plants. Adv. Agron. 2019, 153, 121–173. [Google Scholar]
- Lu, C.; Chen, X.; Shen, S.; Shi, Y.; Ma, J.; Zhao, M. Use efficiency and residual effect of 15N-labelled ryegrass green manure over a 9-year field micro-plot experiment. J. Soil Sci. Plant Nutr. 2013, 13, 544–555. [Google Scholar] [CrossRef]









| Year | Total Nitrogen (g·kg−1) | Total Phosphorus (g·kg−1) | Total Potassium (g·kg−1) | Organic Matter (g·kg−1) | Alkaline Hydrolysis of Nitrogen (mg·kg−1) | Quick-Acting Phosphorus (mg·kg−1) | pH |
|---|---|---|---|---|---|---|---|
| Winter wheat 2021–2022 | 1.09 | 1.22 | 28.21 | 18.40 | 69.32 | 17.96 | 8.34 |
| Spring wheat in 2023 | 1.16 | 1.24 | 28.10 | 23.29 | 52.71 | 19.12 | 7.76 |
| Biochar Material | Carbonization Temperature (°C) | Carbonization Time (h) | pH | Total Nitrogen (g·kg−1) | Total Phosphorus (g·kg−1) | Total Potassium (g·kg−1) | Alkaline Hydrolysis of Nitrogen (mg·kg−1) | Quick-Acting Phosphorus (mg·kg−1) |
|---|---|---|---|---|---|---|---|---|
| Corn stalk biochar | 450 | 4 | 9.3 | 21.7 | 10.5 | 21.4 | 5.3 | 200.9 |
Disclaimer/Publisher’s Note: The statements, opinions and data contained in all publications are solely those of the individual author(s) and contributor(s) and not of MDPI and/or the editor(s). MDPI and/or the editor(s) disclaim responsibility for any injury to people or property resulting from any ideas, methods, instructions or products referred to in the content. |
© 2025 by the authors. Licensee MDPI, Basel, Switzerland. This article is an open access article distributed under the terms and conditions of the Creative Commons Attribution (CC BY) license (https://creativecommons.org/licenses/by/4.0/).
Share and Cite
Zhao, L.; Yang, W.; Wang, Z.; Zhang, J.; Zhang, L.; Yang, M.; Meng, X.; Ma, L. Fate of Fertilizer Nitrogen in the Field 2 Years After Biochar Application. Plants 2025, 14, 682. https://doi.org/10.3390/plants14050682
Zhao L, Yang W, Wang Z, Zhang J, Zhang L, Yang M, Meng X, Ma L. Fate of Fertilizer Nitrogen in the Field 2 Years After Biochar Application. Plants. 2025; 14(5):682. https://doi.org/10.3390/plants14050682
Chicago/Turabian StyleZhao, Lining, Weijun Yang, Zi Wang, Jinshan Zhang, Liyue Zhang, Mei Yang, Xiangrui Meng, and Lei Ma. 2025. "Fate of Fertilizer Nitrogen in the Field 2 Years After Biochar Application" Plants 14, no. 5: 682. https://doi.org/10.3390/plants14050682
APA StyleZhao, L., Yang, W., Wang, Z., Zhang, J., Zhang, L., Yang, M., Meng, X., & Ma, L. (2025). Fate of Fertilizer Nitrogen in the Field 2 Years After Biochar Application. Plants, 14(5), 682. https://doi.org/10.3390/plants14050682
