Sign in to use this feature.

Years

Between: -

Subjects

remove_circle_outline
remove_circle_outline
remove_circle_outline
remove_circle_outline
remove_circle_outline
remove_circle_outline
remove_circle_outline
remove_circle_outline
remove_circle_outline

Journals

remove_circle_outline
remove_circle_outline
remove_circle_outline
remove_circle_outline
remove_circle_outline
remove_circle_outline
remove_circle_outline
remove_circle_outline
remove_circle_outline
remove_circle_outline
remove_circle_outline
remove_circle_outline
remove_circle_outline

Article Types

Countries / Regions

remove_circle_outline
remove_circle_outline
remove_circle_outline
remove_circle_outline
remove_circle_outline
remove_circle_outline
remove_circle_outline
remove_circle_outline
remove_circle_outline

Search Results (6,211)

Search Parameters:
Keywords = nitrogen fertilizer

Order results
Result details
Results per page
Select all
Export citation of selected articles as:
19 pages, 1712 KB  
Article
A Sulfur-Crosslinked Biopolymeric Matrix for Controlled Urea Release Enhances Maize Growth and Reduces Nitrogen Losses
by Ana Farioli, Pablo Cavallo, Diego Acevedo and Edith Yslas
Int. J. Mol. Sci. 2026, 27(9), 3863; https://doi.org/10.3390/ijms27093863 (registering DOI) - 27 Apr 2026
Abstract
Modern agriculture faces major challenges due to rapid population growth, climate change, and environmental constraints. Advanced polymeric systems for controlled-release fertilizers (CRFs) are essential to address these challenges. Urea is one of the most widely used nitrogen fertilizers; however, its agronomic efficiency is [...] Read more.
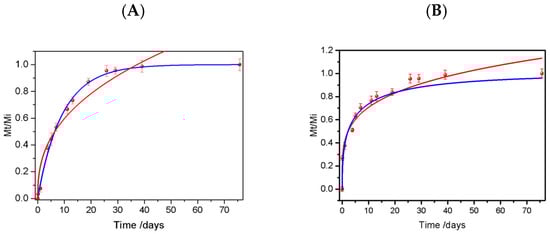
Modern agriculture faces major challenges due to rapid population growth, climate change, and environmental constraints. Advanced polymeric systems for controlled-release fertilizers (CRFs) are essential to address these challenges. Urea is one of the most widely used nitrogen fertilizers; however, its agronomic efficiency is limited by volatilization and losses. In this study, we report a sustainable strategy to encapsulate urea using a matrix derived from industrial sulfur waste and vegetable oil, improving agronomic efficiency while valorizing industrial residues and renewable resources. Through inverse vulcanization, a sponge-like polymer (Bp-SF) was synthesized. Two urea-loaded bio-composites (Bp-SF25U and Bp-SF32U) were also prepared. FT-IR analysis confirmed urea encapsulation and the formation of polymeric structures from sunflower oil. SEM revealed a porous morphology, while contact angle measurements confirmed the hydrophobic nature of the polymer matrix. Release kinetics showed sustained nitrogen release for more than 77 days, reaching approximately 60% cumulative release, governed by diffusion, with a fraction of urea retained within the matrix, potentially enabling prolonged nutrient availability. Pot experiments with maize showed that a lower dose of encapsulated urea (79 mg) produced similar plant growth responses to a higher dose of free urea (92 mg), indicating improved nitrogen use efficiency. These sulfur cross-linked biopolymers represent a promising strategy to enhance urea efficiency while supporting greener fertilization strategies aligned with circular economy principles. Full article
(This article belongs to the Special Issue Recent Advances in Polymeric Biomaterials)
Show Figures

Figure 1

30 pages, 7105 KB  
Article
Vis-NIR Spectroscopy and Machine Learning for Prediction of Soil Fertility Indicators and Fertilizer Recommendation in Andean Highland and Rainforest Agroecosystems
by Samuel Pizarro, Dennis Ccopi, Kevin Ortega, Duglas Contreras, Javier Ñaupari, Deyvis Cano, Solanch Patricio, Hildo Loayza and Orly Enrique Apolo-Apolo
Remote Sens. 2026, 18(9), 1331; https://doi.org/10.3390/rs18091331 - 26 Apr 2026
Abstract
This study evaluated the use of visible and near-infrared (Vis-NIR) spectroscopy combined with machine learning (ML) algorithms to predict soil fertility-related properties in two contrasting agroecological regions of Peru: the Highlands and the Rainforest. A total of 297 soil samples were analyzed using [...] Read more.
This study evaluated the use of visible and near-infrared (Vis-NIR) spectroscopy combined with machine learning (ML) algorithms to predict soil fertility-related properties in two contrasting agroecological regions of Peru: the Highlands and the Rainforest. A total of 297 soil samples were analyzed using portable spectroradiometers covering a spectral range of 350–2500 nm, applying transformations such as Savitzky–Golay smoothing, first derivative, and band depth. Predictive models were developed using PLSR, Random Forest, Support Vector Machines, and neural networks. Results show variable predictive performance across soil properties and ecosystems. Organic matter in Highland soils and calcium in Rainforest soils achieved the strongest test-set accuracy (R2 > 0.70), while pH and texture fractions showed moderate performance (R2 = 0.42–0.67), and mobile nutrients including phosphorus, potassium, and sodium showed limited predictive accuracy due to their weak spectral expression. Spectral predictions were further integrated into a structured nutrient balance framework to assess agronomic reliability. Nitrogen fertilizer recommendations showed the strongest agreement between observed and predicted values across both ecosystems, whereas K2O and CaO recommendations in Highland soils were substantially underestimated, demonstrating that property-level statistical performance does not guarantee agronomic reliability. These findings confirm that Vis-NIR spectroscopy combined with ML represents a fast, cost-effective, and sustainable alternative to conventional soil analysis, especially in rural areas with limited laboratory infrastructure. Expanding regional calibration datasets and exploring mid-infrared FTIR spectroscopy as a complementary technology are identified as priority directions for improving predictions of agronomically critical nutrients. Full article
15 pages, 3239 KB  
Article
Genetically Encoded Fluorescent Biosensors Enable Noninvasive Real-Time Visualization of Nitrate Dynamics in Intact Living Plants
by Li Zhang, Qing Xu, Changxu Wang, Jinfeng Wang, Jing Yue, Yin Lu, Guangle Zhang, Lixue Yuan, Yonghua Wang, Bo Yu and Guozhang Kang
Biosensors 2026, 16(5), 243; https://doi.org/10.3390/bios16050243 (registering DOI) - 26 Apr 2026
Abstract
Nitrate (NO3) serves as a pivotal molecule with dual functions in nutrient supply and signaling during plant growth and development. Precise monitoring of its spatiotemporal dynamics in planta is therefore essential for dissecting the regulatory mechanisms underlying plant nitrogen metabolism. [...] Read more.
Nitrate (NO3) serves as a pivotal molecule with dual functions in nutrient supply and signaling during plant growth and development. Precise monitoring of its spatiotemporal dynamics in planta is therefore essential for dissecting the regulatory mechanisms underlying plant nitrogen metabolism. However, conventional nitrate detection methods suffer from inherent limitations, including destructive sampling, insufficient spatiotemporal resolution, and an inability to achieve real-time whole-plant monitoring. Here, we report a genetically encoded nitrate biosensor, designated NitNRCL1, constructed using a split firefly luciferase complementation system. Functional validation in both prokaryotic and eukaryotic systems demonstrates that NitNRCL1 responds to changes in nitrate availability and generates stable chemiluminescent signals in bacteria and diverse plant species. Importantly, NitNRCL1 enables non-invasive, real-time, and whole-plant monitoring of nitrate levels in living plants. Using NitNRCL1, we successfully imaged the spatiotemporal dynamics of nitrate signaling in Arabidopsis thaliana. Collectively, our findings establish NitNRCL1 as a robust and novel tool for investigating nitrate transport, signaling, and metabolic pathways in plants. This biosensor advances our mechanistic understanding of plant nitrate biology and provides a technical foundation for breeding nitrogen-use-efficient crops and developing precision fertilization strategies. Full article
Show Figures

Figure 1

17 pages, 3577 KB  
Article
Soil Depth Stratification of Mineral Nitrogen and Functional Genes in Organic Sugar Beet Fields
by Shunlei Li, Claudia Chiodi, Francesca Ragazzi, Marco Gnudi, Federico Gavinelli, Giulia Zardinoni, Carmelo Maucieri, Maria Giordano, Lucia Giagnoni, Samathmika Ravi, Andrea Squartini, Giuseppe Concheri, Gui Geng, Yuguang Wang and Piergiorgio Stevanato
Agriculture 2026, 16(9), 952; https://doi.org/10.3390/agriculture16090952 (registering DOI) - 26 Apr 2026
Abstract
(1) Background: Soil fertility in organic systems depends on interactions between physicochemical properties and biological processes that regulate nutrient availability along the soil profile. However, information on their vertical distribution remains limited, particularly for root crops such as sugar beet. This study evaluated [...] Read more.
(1) Background: Soil fertility in organic systems depends on interactions between physicochemical properties and biological processes that regulate nutrient availability along the soil profile. However, information on their vertical distribution remains limited, particularly for root crops such as sugar beet. This study evaluated depth-related patterns in soils from three organic farms growing sugar beet. (2) Methods: Soil profiles (0–120 cm) were sampled and analyzed for physicochemical properties, mineral nitrogen (N) forms, and biological indicators, including the QBS-ar index, microbial abundance, and functional genes involved in N and carbon cycling. (3) Results: Nitrate-N and total mineral N were mainly concentrated in the 0–40 cm layer and declined markedly with depth. Microbial abundance and most N-cycling functional genes were similarly enriched in the topsoil, showing clear vertical stratification. Statistical analyses suggested that functional gene composition was associated with mineral N gradients after accounting for soil depth. (4) Conclusions: These findings provide an exploratory indication of relationships between mineral N forms and microbial indicators in an organically managed sugar beet system. Given the limited number of sampling units, results should be interpreted cautiously. However, these results highlight the value of soil profile approaches for understanding N redistribution and improving nutrient management strategies. Full article
(This article belongs to the Section Agricultural Soils)
Show Figures

Figure 1

19 pages, 1785 KB  
Article
Effects of Rotary Tillage and Fertilization on Chemical Properties and Microbial Communities of Soil Under Continuous Morchella Mushroom Cultivation
by Wei Qi, Litao Lü, Kai Huang, Jianzhao Qi, Minglei Li, Mingwen Shi and Hong Wang
Biology 2026, 15(9), 674; https://doi.org/10.3390/biology15090674 - 24 Apr 2026
Viewed by 130
Abstract
The severe continuous cropping obstacles in Morchella cultivation, driven primarily by soil microecological imbalance, critically constrain the sustainable development of the industry. To address this challenge, this study evaluated the efficacy of rotary tillage, calcium cyanamide (CaCN2), and organic fertilizer, applied [...] Read more.
The severe continuous cropping obstacles in Morchella cultivation, driven primarily by soil microecological imbalance, critically constrain the sustainable development of the industry. To address this challenge, this study evaluated the efficacy of rotary tillage, calcium cyanamide (CaCN2), and organic fertilizer, applied individually and in combination, in mitigating these obstacles and explored the underlying microbial mechanisms. The soil was treated on 5 August 2024, and soil samples were collected on 5 October 2024. Four treatments were established: continuous cropping control (CK), rotary tillage (XGX), rotary tillage combined with calcium cyanamide (MPD), and rotary tillage combined with calcium cyanamide and organic fertilizer (MPX). Soil chemical properties were analyzed in conjunction with metagenomic sequencing to characterize the responses of soil properties and microbial communities, including both eukaryotic and bacterial taxa. The results indicated that the MPD treatment showed a relatively pronounced effect in enhancing key soil fertility indicators, including soil organic matter (OM), total nitrogen (TN), available nitrogen (AN), available potassium (AK), and total phosphorus (TP). All amendments significantly altered microbial community structures. Specifically, the integrated MPX treatment effectively reduced the relative abundance of the pathogenic fungus Olpidium while maintaining higher overall microbial diversity. It also significantly promoted the abundance of Morchella itself and beneficial bacterial phyla such as Actinomycetota and Pseudomonadota. Redundancy analysis identified AN and AK as the primary drivers of eukaryotic community variation, whereas Availa-ble phosphorus (AP) and potential of hydrogen (pH) were the key factors shaping the bacterial community. The results indicated that MPD was the showed relatively pronounced effectiveness in rapidly improving soil fertility and suppressing pathogenic fungi. In contrast, MPX showed relatively better performance in optimizing microbial community structure, enhancing microbial diversity, and strengthening overall ecological stability. These two treatments exhibited distinct advantages in soil chemical improvement and microbial community regulation, respectively, thereby providing alternative practical strategies and a theoretical basis for the ecological management of continuous-cropping obstacles in Morchella cultivation. It should be noted that this study did not include treatments with calcium cyanamide alone, organic fertilizer alone, or their combined application without rotary tillage. This is primarily because rotary tillage is a standard land preparation practice in Morchella cultivation, and the use of soil amendments without accompanying tillage is rarely adopted under practical production conditions. Full article
(This article belongs to the Section Microbiology)
15 pages, 1952 KB  
Article
Selective Cytogenetic Responses to Nano-Fertilizer Co-Exposure in Allium cepa L.: Implications for Sublethal Phytotoxicity in Agroecosystems
by Olivia Torres-Bugarín, Alejandro Sánchez-González, María Luisa Ramos-Ibarra, Idalia Yazmín Castañeda-Yslas, Nina Bogdanchikova, Alexey Pestryakov and María Evarista Arellano-García
J. Xenobiot. 2026, 16(3), 71; https://doi.org/10.3390/jox16030071 - 24 Apr 2026
Viewed by 153
Abstract
The intensive use of agricultural inputs and the increasing incorporation of nano-materials into crop management practices raise concerns about their ecotoxicological interactions in plant systems. This study evaluated phytotoxicity, cytotoxicity, and genotoxicity in Allium cepa L. under experimental nano-agrochemical exposure scenarios combining two [...] Read more.
The intensive use of agricultural inputs and the increasing incorporation of nano-materials into crop management practices raise concerns about their ecotoxicological interactions in plant systems. This study evaluated phytotoxicity, cytotoxicity, and genotoxicity in Allium cepa L. under experimental nano-agrochemical exposure scenarios combining two conventional nitrogen fertilizers—ammonium sulfate (AS) and urea—with silver nanoparticles (AgNPs). Biological responses were assessed across fertilizer concentrations (0.03–0.5 g/L), applied individually, simultaneously, and sequentially, to identify modulatory effects of AgNPs on plant proliferative activity and genomic stability. Results showed the relative stability of morphophysiological indicators associated with root growth, whereas cytogenetic biomarkers exhibited selective alterations under specific conditions. Significant increases in genetic damage markers were detected at intermediate ammonium sulfate concentrations, suggesting sublethal phytotoxicity windows not reflected by macroscopic growth parameters. In addition, modulation of the mitotic index and absence of generalized genotoxic effects in most combined or sequential treatments indicate that AgNPs primarily acted as modulators of proliferative responses rather than direct cytotoxic agents. Overall, these findings highlight the dynamic and non-linear nature of nano-agrochemical interactions in plant systems and underscore the importance of multibiomarker approaches for the early detection of genomic instability. The results provide experimental evidence relevant to the environmental risk assessment of nano-enabled fertilization strategies under realistic mixed-exposure scenarios. This study contributes to advancing the ecotoxicological understanding of emerging agricultural technologies and supports the need for further mechanistic research and field-based evaluations to guide the safe and sustainable use of nanomaterials in crop production. Full article
Show Figures

Graphical abstract

17 pages, 1789 KB  
Article
Nitrogen Biostimulation of Petroleum-Contaminated Sandy Podzolic Soil Under Boreal Conditions: Effects of Temperature, Nitrogen Form, and Contamination Level
by Artur V. Duryagin, Ruslan Ya. Bajbulatov and Oleg S. Sutormin
Appl. Sci. 2026, 16(9), 4190; https://doi.org/10.3390/app16094190 - 24 Apr 2026
Viewed by 105
Abstract
Petroleum contamination of soils remains a significant environmental problem in boreal regions, where low temperatures constrain natural attenuation processes and complicate bioremediation. Nitrogen biostimulation is widely used to enhance petroleum hydrocarbon degradation; however, the combined effects of temperature regime, nitrogen form, contamination level, [...] Read more.
Petroleum contamination of soils remains a significant environmental problem in boreal regions, where low temperatures constrain natural attenuation processes and complicate bioremediation. Nitrogen biostimulation is widely used to enhance petroleum hydrocarbon degradation; however, the combined effects of temperature regime, nitrogen form, contamination level, and nitrogen dosage remain insufficiently resolved for sandy podzolic soils of northern regions. This study investigated nitrogen-assisted biostimulation of petroleum-contaminated sandy podzolic soil collected in the Khanty–Mansi Autonomous Okrug (Western Siberia, Russia) using a factorial experimental design. Soil samples were artificially contaminated with crude oil at concentrations of 25, 50, and 100 g kg−1 and incubated under warm and cold temperature regimes. Two nitrogen sources, urea and ammonium nitrate, were applied at several dosages. Changes in residual petroleum hydrocarbon content were monitored together with the abundance of culturable microorganisms under the applied cultivation conditions at the intermediate contamination level on day 60. Nitrogen supplementation enhanced petroleum hydrocarbon removal relative to the untreated control, but the magnitude of the effect depended substantially on temperature, nitrogen form, and contamination level. Under the tested conditions, ammonium nitrate was generally associated with stronger hydrocarbon removal than urea, particularly at the intermediate contamination level (50 g kg−1). The results indicate that the response to nitrogen biostimulation in sandy boreal soils is controlled by interacting experimental factors rather than by nitrogen addition alone. These findings improve the positioning of nutrient-assisted remediation in cold-region soils and provide a basis for future mechanistic and field-scale studies. Full article
15 pages, 3953 KB  
Article
Additive and Nonadditive Genetic Effects on Biological Nitrogen Fixation in Common Bean
by Taine Teotonio Teixeira da Rocha, Adriano Teodoro Bruzi, Márcia Rufini, Fatima Maria de Souza Moreira, Mateus Ribeiro Piza and Christiane Augusta Diniz Melo
Agronomy 2026, 16(9), 857; https://doi.org/10.3390/agronomy16090857 - 23 Apr 2026
Viewed by 145
Abstract
Common bean grain yield is strongly influenced by nitrogen availability and can be improved through biological nitrogen fixation (BNF), which among cultivars and Rhizobium strains. This study evaluated the BNF ability of 15 common bean cultivars and their symbiotic performance with three Rhizobium [...] Read more.
Common bean grain yield is strongly influenced by nitrogen availability and can be improved through biological nitrogen fixation (BNF), which among cultivars and Rhizobium strains. This study evaluated the BNF ability of 15 common bean cultivars and their symbiotic performance with three Rhizobium strains, including a strain authorized by the Brazilian Ministry of Agriculture, to identify variability for breeding strategies and select promising inoculants. A greenhouse experiment was carried out, and data were subjected to variance analysis, with means compared by the Scott–Knott test at 5% probability. A partial diallel analysis was also performed to estimate general and specific combining ability. Based on these results, seven cultivars and two strains (UFLA 02-100 and CIAT 899) were selected for field evaluation. BNF was influenced by genotype, strain, and genotype × strain interaction, and traits related to BNF were controlled by both additive and non-additive genetic effects. Inoculation with Rhizobium promoted grain yield comparable to nitrogen fertilization. The cultivar BRSMG Zape showed superior grain yield and high general combining ability, indicating its potential for breeding programs aimed at improving BNF. The strain UFLA 02-100 resulted in higher grain yield than the reference strain CIAT 899, suggesting its potential as a recommended inoculant for common bean production. Full article
(This article belongs to the Section Crop Breeding and Genetics)
15 pages, 18036 KB  
Article
Determination of Optimal Nitrogen Application Rates to Enhance Heat Stress Tolerance in Autumn Radish (Raphanus sativus L.) Using OJIP Transient Analysis
by Tae Seon Eom, Tae Wan Kim and Sung Yung Yoo
Nitrogen 2026, 7(2), 47; https://doi.org/10.3390/nitrogen7020047 - 23 Apr 2026
Viewed by 158
Abstract
High-temperature stress severely reduces the photosynthetic efficiency of radish (Raphanus sativus L.), a cool-season crop. This study evaluated five nitrogen (N) levels {0 N, 0.5 N, 1 N (234 kg urea ha−1, based on RDA), 2 N, and 4 N} [...] Read more.
High-temperature stress severely reduces the photosynthetic efficiency of radish (Raphanus sativus L.), a cool-season crop. This study evaluated five nitrogen (N) levels {0 N, 0.5 N, 1 N (234 kg urea ha−1, based on RDA), 2 N, and 4 N} through an open-field experiment under high-temperature stress conditions. Analysis of OJIP transients revealed that high temperatures severely inhibited photosynthetic capacity in the 0 N, 0.5 N, and 4 N treatment groups. These groups exhibited a simultaneous increase in K and J-steps, signifying electron transport bottlenecks and structural damage to the oxygen-evolving complex (OEC). Consequently, energy absorption and trapping decreased, while heat dissipation increased. In contrast, the 2 N treatment maintained superior Fm(maximum fluorescence) and energy flux, demonstrating enhanced photosynthetic resilience. However, despite improved photosynthetic stability, the 2 N group did not show a significant increase in yield compared to the 0.5 N or 1 N treatment groups. These results suggest that photosynthetic protection under heat stress does not necessarily guarantee higher yields, highlighting the need to identify optimal fertilization points for sustainable production. Overall, the findings of this study provide fundamental data for strategic nitrogen management in open-field radish cultivation to mitigate the impacts of increasing climatic instability. Full article
(This article belongs to the Special Issue Nitrogen Management in Plant Cultivation)
Show Figures

Figure 1

16 pages, 615 KB  
Review
Nitrogen Immobilization in Organic Media: A Double-Edged Sword Affecting the Utilization of Green Waste as Growing Media
by Ruohan Li, Wenzhong Cui, Min Zhang, Zhiyong Qi and Wanlai Zhou
Plants 2026, 15(9), 1298; https://doi.org/10.3390/plants15091298 - 23 Apr 2026
Viewed by 231
Abstract
This review proposes a “phenomenon–mechanism–regulation” framework for understanding nitrogen immobilization during the conversion of green waste into growing media. Nitrogen immobilization acts as a double-edged sword: intense short-term immobilization, typically occurring within the first 1–2 weeks after substrate establishment, can rapidly deplete mineral [...] Read more.
This review proposes a “phenomenon–mechanism–regulation” framework for understanding nitrogen immobilization during the conversion of green waste into growing media. Nitrogen immobilization acts as a double-edged sword: intense short-term immobilization, typically occurring within the first 1–2 weeks after substrate establishment, can rapidly deplete mineral nitrogen and induce plant nitrogen deficiency, whereas the immobilized nitrogen is subsequently incorporated into microbial biomass and lignin-associated organic pools, forming a slow-release reservoir that enhances nitrogen retention and reduces leaching losses. Owing to its extremely high C/N ratio (often >100) and the coexistence of labile carbon fractions and recalcitrant compounds (e.g., lignin and phenolics), green waste exhibits substantially stronger immobilization potential than conventional media. Empirical evidence indicates that nitrogen immobilization can reach 10–115 mg N·L−1 within a few days in wood-derived substrates, and additional fertilization of up to 100 mg N·L−1 may be required to maintain crop growth. Mechanistically, nitrogen immobilization is governed by the coupling of microbial assimilation—driven by stoichiometric C/N imbalance (typically triggered when C/N > 20–25)—and abiotic chemical fixation, including reactions between NH4+/NO2 and lignin-derived phenolics forming stable organic nitrogen compounds. The relative dominance of these pathways is jointly regulated by carbon quality, nitrogen form, and pH. Based on these mechanisms, regulatory strategies are summarized at multiple scales, including feedstock pretreatment to reduce labile carbon availability, substrate formulation to optimize C/N balance, and model-assisted intelligent fertigation to synchronize nitrogen supply with crop demand. Overall, this study provides a theoretical basis for improving green waste valorization and promoting sustainable horticultural production. Full article
Show Figures

Figure 1

15 pages, 1850 KB  
Article
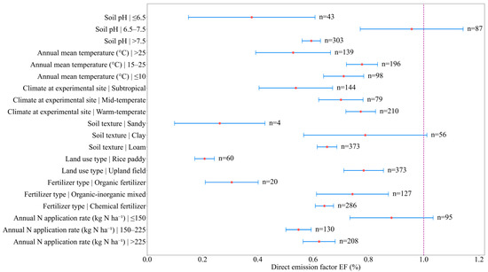
Lower Direct N2O Emission Factors in Chinese Croplands than IPCC Defaults: A Systematic Meta-Analysis
by Ke Xu, Duo Xu, Pinrong Ji and Caiqing Qin
Atmosphere 2026, 17(4), 422; https://doi.org/10.3390/atmos17040422 (registering DOI) - 21 Apr 2026
Viewed by 149
Abstract
Nitrous oxide (N2O) is a major agricultural greenhouse gas. Its direct emission factor (EF) is a key parameter for greenhouse gas inventories and developing mitigation strategies. However, the Intergovernmental Panel on Climate Change (IPCC) default EF may not reflect actual emissions [...] Read more.
Nitrous oxide (N2O) is a major agricultural greenhouse gas. Its direct emission factor (EF) is a key parameter for greenhouse gas inventories and developing mitigation strategies. However, the Intergovernmental Panel on Climate Change (IPCC) default EF may not reflect actual emissions from Chinese croplands. This study compiled extensive field observations from key agricultural regions in China. A systematic meta-analysis was conducted to evaluate annual N2O emissions and nitrogen fertilizer-induced direct emission factors. Subgroup analyses revealed that fertilizer type, land use, soil texture, and climate zone all significantly influence EF. Univariate meta-regression indicated that EF is positively correlated with nitrogen (N) application rate and mean annual temperature but negatively correlated with soil pH, highlighting these factors as key drivers of N2O emissions. The mean EF in Chinese croplands was about 0.68%, much lower than the 1% global default recommended by the IPCC. The combined effects of optimized agricultural management, cropping systems, and local environmental conditions help explain these lower emission factors. These findings provide a scientific basis for developing region-specific emission factors, improving cropland mitigation strategies, and enhancing the accuracy of greenhouse gas inventories. Full article
Show Figures

Figure 1

14 pages, 2065 KB  
Article
Nitrogen Form Regulates Aluminum Partitioning and Physiological Responses in Young Highbush Blueberry Plants Grown in Acidic Volcanic Soil
by Pamela Artacho, Paulina Fernández, María Ignacia Arias and Claudia Bonomelli
Agronomy 2026, 16(8), 842; https://doi.org/10.3390/agronomy16080842 - 21 Apr 2026
Viewed by 222
Abstract
Aluminum (Al) toxicity constrains plant performance in acidic volcanic soils, yet nitrogen (N) fertilization may influence Al availability and plant responses. This study evaluated the effects of N source and rate under contrasting soil liming conditions on vegetative growth, mineral nutrition, and physiological [...] Read more.
Aluminum (Al) toxicity constrains plant performance in acidic volcanic soils, yet nitrogen (N) fertilization may influence Al availability and plant responses. This study evaluated the effects of N source and rate under contrasting soil liming conditions on vegetative growth, mineral nutrition, and physiological performance of non-bearing northern highbush blueberry (Vaccinium corymbosum L. cv. Blue Ribbon®) plants. A split–split-plot experiment was conducted in southern Chile using urea or potassium nitrate applied at 0, 20, or 40 kg N ha−1 to plants grown in unlimed soil or soil amended with calcium carbonate or magnesium oxide. Vegetative growth, tissue mineral composition, stomatal conductance, chlorophyll fluorescence, and leaf chlorophyll were monitored during the first season. Growth responded primarily to soil liming rather than N supply, indicating low N demand and substantial soil N mineralization under the experimental conditions. Foliar N increased from 1.36 to 1.70% with increasing N rates. Urea nutrition reduced foliar Al concentration by 12% compared with nitrate. Under unlimed conditions, representing maximal soil Al availability, urea fertilization was associated with 70% higher Al retention in roots relative to nitrate. Chlorophyll content was consistently higher under urea supply, while the maximum photochemical efficiency of photosystem II remained unaffected. These findings indicate that N form influences plant Al partitioning independently of growth responses. Although the underlying mechanisms were not directly assessed, the observed patterns suggest that urea fertilization may reduce Al translocation to shoots under conditions of high Al availability. Full article
Show Figures

Figure 1

21 pages, 3035 KB  
Article
Waste-Derived Fertilizers for Sustainable Soil Management: A Life Cycle and Multi-Indicator Assessment Within an Eco-Environment–Health Framework
by Angela Maffia, Federica Alessia Marra, Santo Battaglia, Carmelo Mallamaci, Emilio Attinà and Adele Muscolo
Environments 2026, 13(4), 226; https://doi.org/10.3390/environments13040226 - 20 Apr 2026
Viewed by 251
Abstract
The growing global food demand has increased the use of chemical fertilizers, causing environmental issues. Previous studies have often assessed waste-derived fertilizers separately in terms of soil improvement or environmental impact, with limited integration of these aspects across different recycling processes. This study [...] Read more.
The growing global food demand has increased the use of chemical fertilizers, causing environmental issues. Previous studies have often assessed waste-derived fertilizers separately in terms of soil improvement or environmental impact, with limited integration of these aspects across different recycling processes. This study evaluated the effects on soil quality and the environmental impact of fertilizers produced with different percentages of food wastes and different recycling processes. The fertilizers investigated include vermicompost (VC, 70% wood sawdust + 30% food wastes), Compost 1 (C1, 50% wood sawdust + 50% food wastes), Compost 2 (C2, 10% straw + 90% food wastes), and sulfur–bentonite (SBC, 90% SB + 10% food wastes). Six months post-fertilization, vermicompost significantly improved soil properties, increasing soil organic matter from 3.01% to 4.70% (+56%) and total nitrogen from 0.15% to 0.22%, along with an increase in microbial biomass compared to the unfertilized control. Compost treatments also improved soil quality, although to a lesser extent. A Life Cycle Assessment (LCA) was performed across the entire life cycle of the fertilizers. Vermicompost showed the lowest environmental impact, with a global warming potential of 45 kg CO2 eq ton−1, compared to 93 and 100 kg CO2 eq ton−1 for C1 and C2, respectively, and 167 kg CO2 eq ton−1 for SBC. The results evidenced that vermicompost improved soil quality by increasing soil organic matter, total nitrogen, microbial biomass, and biological activity and that it emitted less CO2 eq, SO2 eq and PO43− during the vermicomposting process, emphasizing its environmental sustainability. The two composts improved soil quality with a moderate environmental impact. SBC positively affected soil properties but with a strong negative environmental impact. From the benefit–cost perspective, the sustainable fertilizer ranking was VC > C2 > C1 > SBC. These findings underscore that these waste management processes represent a possible transition to sustainable fertilizers derived from waste materials to mitigate the environmental degradation associated with the production and use of conventional fertilizers. By adopting these practices, the agricultural sector can boost productivity while maintaining environmental sustainability standards. Full article
Show Figures

Graphical abstract

17 pages, 1706 KB  
Article
Comparisons of Soil C–N Pools and Microbial Communities Among Saline–Alkali, Straw-Returning, and Conventional Farmlands in the Ningxia Yellow River Irrigation District, China
by Huirong Zhang, Tianyi Chen, Chuhan Yang, Xuantong Zheng, Man Wang, Taotao Zhan, Xuxin Ding, Ping Wang, Qingqian Yao, Fang Wang and Jinpeng Liu
Agronomy 2026, 16(8), 833; https://doi.org/10.3390/agronomy16080833 - 20 Apr 2026
Viewed by 262
Abstract
The Ningxia Yellow River Irrigation District in China has long been influenced by flood irrigation and intensive fertilizer input under its particular geological and climatic constraints, and this region is characterized by low soil organic matter, poor nutrient status, low permeability, high pH, [...] Read more.
The Ningxia Yellow River Irrigation District in China has long been influenced by flood irrigation and intensive fertilizer input under its particular geological and climatic constraints, and this region is characterized by low soil organic matter, poor nutrient status, low permeability, high pH, and widespread salinization. This cross-sectional field study compared the soil physicochemical properties and microbial communities among saline–alkali soil (SAS), straw-returning farmland (SR), and traditionally managed farmland (FM). EC was higher in SAS (approximately 4.21 dS·m−1) than in SR and FM (approximately 0.23 and 0.30 dS·m−1, respectively), whereas TOC and C/N were higher in SR (approximately 1.00% and 10.58, respectively) than in FM (approximately 0.78% and 8.69) and SAS (approximately 0.43% and 8.81). Bacterial and fungal communities showed different distribution patterns among the three farmland types. Compared with fungi, bacterial community structure and richness varied more clearly across soils differing in salinity and organic matter status. Variations in microbial community composition were accompanied by differences in soil salinity and carbon- and nitrogen-related properties. Acidobacteriota was positively correlated with soil carbon and nitrogen variables and negatively correlated with pH and EC, while Ascomycota was positively correlated with total carbon (TC) and TOC. These results show that straw-returning farmland differed from saline–alkali soil and traditionally managed farmland in both soil properties and microbial community characteristics, highlighting potential soil–microbe associations in saline-affected agricultural systems. Full article
(This article belongs to the Special Issue Risk Assessment of Heavy Metal Pollution in Farmland Soil)
Show Figures

Figure 1

13 pages, 630 KB  
Perspective
Engineering Symbiotic Nitrogen Fixation for Agriculture: Predominant Role of Host Plants and Fine-Tuning Regulation
by Ting Wang, Fuxi Wang, Shuai Su, Luyang Yan, Zhiying Hao, Jinbo Xu, Huiru Han, Yan Wu, Dexiao Li and Senlei Zhang
Plants 2026, 15(8), 1256; https://doi.org/10.3390/plants15081256 - 19 Apr 2026
Viewed by 346
Abstract
Symbiotic nitrogen fixation (SNF) can provide a sustainable and self-sufficient nitrogen (N) source for plants. Since its discovery, SNF has remained a central focus of both breeders and fundamental researchers. For decades, extending the utility of SNF to broader agricultural systems has been [...] Read more.
Symbiotic nitrogen fixation (SNF) can provide a sustainable and self-sufficient nitrogen (N) source for plants. Since its discovery, SNF has remained a central focus of both breeders and fundamental researchers. For decades, extending the utility of SNF to broader agricultural systems has been considered a promising strategy to reduce reliance on synthetic N fertilizers, thereby lowering production costs and mitigating environmental pollution caused by N overuse. This review summarizes recent advances in understanding the molecular and regulatory mechanisms governing SNF in legume plants and highlights emerging strategies to optimize and extend its application in agricultural systems. Particular emphasis is placed on approaches that aim to achieve dominant, fine-tuned, and controllable regulation of N fixation to support sustainable crop production. Full article
(This article belongs to the Special Issue Molecular Mechanisms of Legume–Rhizobium Symbiosis)
Show Figures

Graphical abstract

Back to TopTop