Next Article in Journal
Mechanism of Exogenous Dopamine Regulating Shine Muscat Grape in Response to Low-Temperature Stress
Previous Article in Journal
Effects of Synergistic Regulation of Functional Fertilisers and Vermicompost on Soil Fertility and the Growth and Quality of Two Tomato Varieties
 
 
Font Type:
Arial Georgia Verdana
Font Size:
Aa Aa Aa
Line Spacing:
Column Width:
Background:
Article

Analysis of Phenotypic Diversity and Comprehensive Evaluation of 51 Helleborus L. Hybrid Individuals

1
Zhejiang Institute of Landscape Plants and Flowers, Zhejiang Academy of Agricultural Sciences, Hangzhou 311200, China
2
College of Landscape Architecture and Arts, Northwest A&F University, Yangling 712100, China
3
Zhejiang Xiaojian Group Co., Ltd., Hangzhou 311200, China
*
Author to whom correspondence should be addressed.
Plants 2025, 14(20), 3226; https://doi.org/10.3390/plants14203226
Submission received: 8 September 2025 / Revised: 3 October 2025 / Accepted: 16 October 2025 / Published: 20 October 2025

Abstract

Helleborus orientalis L. is a valuable winter-flowering and understory landscape plant, but its application and breeding are hindered by poor heat tolerance and the lack of a robust germplasm evaluation system. In this study, 51 Helleborus L. hybrid individuals obtained through manual open pollination were evaluated using coefficient of variation (CV), Shannon–Weaver diversity index (H′), correlation analysis, principal component analysis (PCA), and cluster analysis to assess genetic diversity and ornamental value based on 17 phenotypic traits. The results showed rich phenotypic diversity among the hybrids. Quantitative traits showed CV ranging from 9.48% to 37.99% and H′ between 0.77 and 1.51, with flower count and leaf length being the most variable. Qualitative traits had H′ values from 0.52 to 1.55, with sepal color showing the highest diversity. Significant correlations were detected among heat tolerance, pest resistance, leaf and petiole length, as well as plant and flower form. PCA extracted six principal components accounting for 74.50% of cumulative variance. Cluster analysis classified the 51 germplasms into five groups. Using the AHP model, a comprehensive evaluation system was established, and 13 elite individuals were selected for variety rights application and characterization. This study provides a reference for establishing DUS test guidelines and advancing breeding and utilization of Helleborus L.

1. Introduction

Helleborus L. is a perennial evergreen herbaceous ornamental plant belonging to the Ranunculaceae family, comprising approximately 22 species native to Western Asia and Southeastern Europe [1]. Species in this genus exhibit strong adaptability to cool climates, characterized by notable shade tolerance and cold hardiness [2]. Blooming primarily in winter and early spring, they are prized as flowering groundcovers for understory planting due to their elegant flowers and evergreen foliage [3]. Additionally, Helleborus L. is also an endangered medicinal resource. Its rhizomes contain diverse bioactive compounds, demonstrating significant potential for pharmaceutical research and development [4]. Among these species, H. orientalis L. is highly valued in horticulture and widely cultivated as a high-quality potted plant and cut flower [5]. It is distinguished by its vibrant flower colors, ease of hybridization, vigorous growth, rapid development, drought tolerance at maturity, and low susceptibility to pests and diseases. Consequently, it has become a mainstream choice for commercial cultivation and low-maintenance garden landscaping across Europe, North America, and other regions worldwide.
Current research on Helleborus L. has advanced in areas such as garden cultivation [6], tissue culture [7], introduction and domestication, heat tolerance [8], and the pharmacology of rhizome extracts [9]. However, challenges persist in its practical application and breeding. Although existing H. orientalis L. hybrids demonstrate strong cold tolerance, most are sensitive to high temperature and humidity, which limits their large-scale cultivation in subtropical monsoon climate regions [8]. Meanwhile, market demand for ornamental traits of Helleborus L. continues to rise. There is an urgent need for novel cultivars featuring rare colors, unique sepal markings, double flower type, and more compact architectures suited to potted environments. Therefore, studying the ornamental traits and ecological adaptability of Helleborus L. hybrid progenies is crucial for cultivating and promoting superior germplasm.
Plant phenotypic traits are determined by both genetic background and environmental factors [10]. They are key indicators of ornamental value and are essential for parental selection and variety screening in hybrid breeding [11]. This has been confirmed in species such as Pennisetum alopecuroides, Lagerstroemia indica, and Manihot esculenta [12,13,14]. Phenotypic traits are closely related to genetic diversity. Therefore, analyzing these traits can provide valuable insights into germplasm genetic diversity and help identify germplasm with superior traits. Currently, genetic diversity is typically studied through morphological, cytological, and molecular marker methods [15]. Although SSR marker analysis has been conducted on young leaf tissues of Helleborus L. [2], the genetic basis of floral organs and plant phenotypes remains unclear. Moreover, the absence of unified ornamental evaluation standards and a dedicated Distinctness, Uniformity, and Stability (DUS) testing system for new Helleborus L. varieties has severely limited cultivar protection and commercial application. Thus, systematically elucidating the correlations among phenotypic traits and establishing a comprehensive ornamental value evaluation system for Helleborus L. are crucial for effective genetic resource utilization and breeding.
The Analytic Hierarchy Process (AHP) is a decision analysis method that combines qualitative judgment with quantitative calculation [16]. It breaks down complex problems into a hierarchical structure, using pairwise comparisons and matrix calculations to quantify subjective experience [17]. Currently, AHP has been successfully applied in evaluating plants such as Rhododendron [18], Calcareimontana [19], and Cornus spp. [20] and selecting superior varieties of Camellia spp. [21]. Since Helleborus L. is an important ornamental flowering plant, qualitative traits such as flower color, type, sepal stripe pattern, and flower posture are more significant than quantitative traits such as flower diameter and bloom count in its evaluation. Thus, the AHP method, which combines qualitative and quantitative assessments, is well-suited for the comprehensive evaluation of Helleborus L. germplasm. Its application will provide a scientific approach for establishing a robust evaluation framework for Helleborus L. resources.
This study systematically evaluated phenotypic diversity and trait variation in 51 Helleborus L. hybrid individuals, aiming to address the research gap in phenotypic trait inheritance in this genus. Furthermore, this study established a comprehensive evaluation system for ornamental value to support the development of DUS testing guidelines and germplasm assessment.

2. Results

2.1. Analysis of Phenotypic Trait Diversity in Helleborus × hybridus L. Progeny

2.1.1. Quantitative Trait Diversity

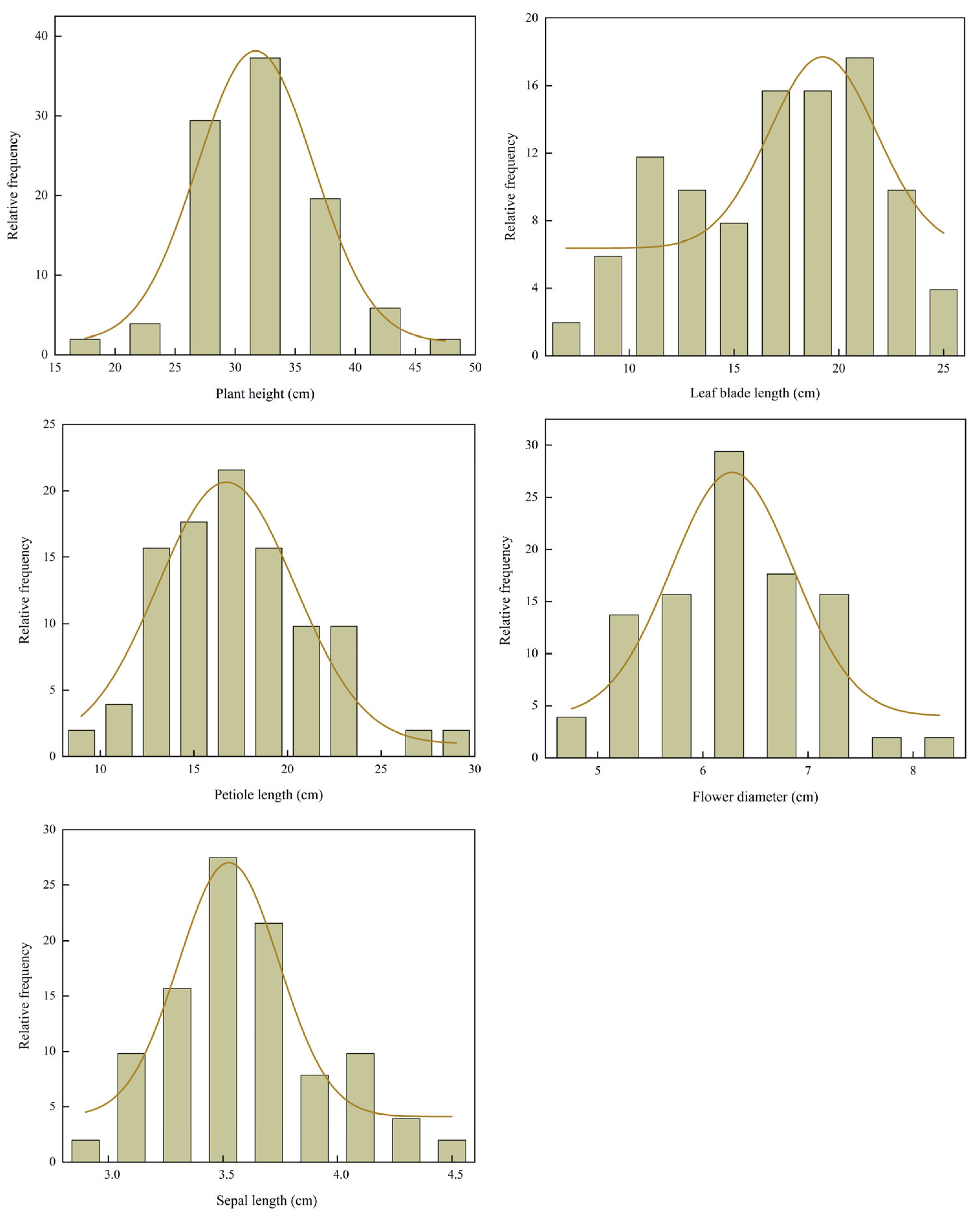
Frequency distribution histograms of seven quantitative traits (Figure 1) revealed that plant height (PHt), petiole length (PL), flower diameter (FD), and sepal length (SL) followed unimodal and approximately symmetric distributions, which did not significantly deviate from normality (p > 0.05, Shapiro–Wilk test). Their respective peaks were observed at approximately 33.00 cm, 17.00 cm, 6.50 cm, and 3.50 cm. In contrast, leaf blade length (LBL) significantly deviated from normality (p < 0.05). LBL was right-skewed, with a concentration of values between 17.00–21.00 cm and a broad spread toward higher values. Collectively, these distribution patterns suggest that traits such as PHt, PL, FD, and SL show high genetic stability in the hybrid progeny. Conversely, the skewed distributions of LBL imply that they may be influenced by environmental factors or major-effect genes.
To further investigate the variation patterns and genetic characteristics of quantitative traits, we analyzed the variation and genetic diversity of seven quantitative traits. As shown in Table 1, all traits displayed a wide range of variation, with coefficients of variation (CV) ranging from 9.48% to 37.99%. Among them, TFC displayed the highest CV (37.99%), followed by PSFC (35.04%), while SL showed the lowest (9.48%). The Shannon–Weaver diversity index (H′) revealed that LBL had the highest diversity (H′ = 1.51), followed by TFC (H′ = 1.35) and PSFC (H′ = 1.29), whereas SL had the lowest (H′ = 1.09). Notably, substantial phenotypic variation was observed in PHt and TFC. The difference between the tallest and shortest individuals in PHt was 28.60 cm, and the maximum TFC reached 46, which was 2.26 times the mean value. These findings demonstrate clear differences in both phenotypic variability (CV) and genetic diversity (H′) among the quantitative traits across the 51 hybrid progenies. Floral abundance-related traits such as TFC and PSFC exhibited high CV and H′ values, indicating strong potential for selecting high-yielding individuals. In contrast, SL and FD displayed low CV and H′ values, reflecting high genetic conservation and phenotypic stability. LBL, though moderately variable, showed the highest H′ value, indicating rich underlying genetic diversity. Moreover, the extreme phenotypes identified in this population—such as a PL of 45.60 cm and a TFC of 46—constitute valuable breeding resources for the genetic improvement of Helleborus L.

2.1.2. Qualitative Trait Diversity

Frequency distribution analysis of ten qualitative traits (Table 2) indicated that flower type (FT) and curvature of sepal edges (CSE) were highly skewed in their distribution: 84.31% of individuals displayed the double flower type, and 76.47% exhibited flat sepal edges. Moderate distributional skewness was observed in plant habit (PlH), flower bearing posture (FBP), and growth vigor (GV), whereas sprouting ability (SA), heat resistance (HR), and disease and pest resistance (DPR) showed relatively balanced distributions. The main color of the sepal upper surface (MC) was highly variable, with white (33.33%) and purple (31.37%) being the most frequent, followed by pink (17.65%). Rare colors such as green and orange each accounted for less than 2%. Regarding sepal stripe pattern type (SSPT), the absence of patterns was most common (43.14%), stellate patterns were not observed, and the remaining types were distributed relatively evenly.
The Shannon–Weaver diversity index (H′) was calculated for each qualitative trait based on frequency distribution data (Table 2). The H′ values ranged from 0.52 to 1.55, reflecting considerable variation in genetic diversity across traits. Sepal-related traits generally exhibited relatively high diversity, with MC showing the highest value (H′ = 1.55), followed by SSPT (H′ = 1.31) and CSE (H′ = 1.08). SA, GV, and DPR displayed moderate diversity, whereas PlH and HR were comparatively low. The lowest diversity indices were observed for FBP (H′ = 0.66) and FT (H′ = 0.52).
In summary, qualitative traits in Helleborus × hybridus L. progeny displayed complex segregation and significant genetic differentiation. Sepal-related traits such as MC and SSPT showed high genetic diversity, while FT, FBP, and CSE (with flat edges accounting for 76.47%) exhibited high genetic conservation. Rare colors and semi-involute phenotypes occurred at very low frequencies, indicating considerable challenges for breeding improvement.

2.2. Correlation Analysis of Phenotypic Traits in Helleborus × hybridus L. Progeny

Spearman correlation analysis was performed on 17 phenotypic traits of 51 hybrid individuals. The results showed varying degrees of correlation among these traits, with some showing significant associations. Among all 136 trait pairs analyzed, 32 pairs (23.5%) showed significant correlations, with 26 of these pairs (19.1% of the total) having an absolute correlation coefficient |ρ| ≥ 0.3 (Figure 2).
Specifically, HR and DPR showed the highest correlation (ρ = 0.77), followed by LBL and PL (ρ = 0.69), as well as GV and DPR (ρ = 0.67). PlH was highly significantly positively correlated with FT, but significantly negatively correlated with SA, PL, and CSE. SA was significantly positively correlated with LBL and PL but not significantly correlated with other traits. Both PSFC and TFC were highly significantly positively correlated with PHt and GV. In addition, TFC was also significantly positively correlated with HR and negatively correlated with SL. SSPT was significantly positively correlated with CSE, HR, and DPR. Meanwhile, CSE was also significantly positively correlated with GV. Overall, phenotypic traits in the Helleborus × hybridus L. progeny were predominantly positively correlated, with few negative correlations. However, the proportion of strong correlations (|ρ| ≥ 0.3) was relatively low (19.10%), indicating a considerable degree of genetic independence among traits.

2.3. Principal Component Analysis of Phenotypic Traits in Helleborus × hybridus L. Progeny

Principal component analysis (PCA) was conducted on 17 phenotypic traits of 51 hybrid individuals (Table 3). Based on the criterion of eigenvalues greater than 1, six principal components (PCs) were extracted, with eigenvalues of 3.41, 2.58, 2.34, 1.68, 1.41, and 1.25, and variance contribution rates of 20.06%, 15.19%, 13.77%, 9.86%, 8.26%, and 7.36%, respectively. The cumulative contribution rate reached 74.50%, indicating that these six PCs retained most of the information from the original traits and effectively explained the main characteristics of the 17 phenotypic traits in the hybrid progeny.
PC1 (20.06% variance) was heavily loaded with GV, HR, and DPR, reflecting overall resistance performance. PC2 (15.19%) was associated with PHt, PSFC, and TFC, representing growth and floral productivity. PC3 (13.77%) was linked to SA, LBL, and PL, indicating vegetative growth capacity. PC4 (9.86%) was dominated by FD and SL, representing floral organ size. PC5 (8.26%) was primarily characterized by CSE, while PC6 (7.36%) showed high loadings on FT and MC, corresponding to floral morphology.
In the three-dimensional space defined by the first three PCs, the 51 hybrids showed a dispersed distribution (Figure 3), indicating clear phenotypic segregation among progeny. Overall, these results demonstrate substantial phenotypic variation in the hybrid population. Notably, DPR, HR, GV, PHt, TFC, and PSFC were identified as key traits underlying phenotypic diversity, providing important criteria for germplasm evaluation and cultivar breeding.

2.4. Cluster Analysis of Helleborus × hybridus L. Progeny

R-type and Q-type cluster analyses were performed using average linkage hierarchical clustering based on Euclidean distance, for the 17 phenotypic traits and the 51 hybrid individuals, respectively (Figure 4 and Figure 5).
The R-type clustering results (Figure 4) showed that at a Euclidean distance of 20, the 17 phenotypic traits were divided into five major clusters. Cluster I included HR, DPR, GV, SSPT, and FBP, which are associated with stress resistance and ecological adaptability. Cluster II consisted of FD, SL, LBL, PL, and SA, reflecting characteristics of nutritional and reproductive organs. Cluster III contained only CSE. Cluster IV comprised FT and MC, representing floral traits. Cluster V included PSFC, TFC, PlH, and PHt, related to flower production and plant conformation. Notably, within Cluster I, HR and DPR clustered together first, indicating the strongest correlation between the two traits, followed by the clustering of HR and GV. In Cluster II, LBL and PL were grouped initially, followed by FD and SL, which was highly consistent with the previous correlation analysis (Figure 2). The R-type clustering results revealed groups of traits with coordinated variation among specific phenotypic trait combinations. However, most other traits showed larger Euclidean distances and dispersed clustering suggest relatively independent evolution. These traits can effectively distinguish germplasm and are suitable for the classification and evaluation studies of Helleborus L. genetic resources.
The Q-type clustering results showed that at a Euclidean distance of 15, 51 hybrid individuals were divided into five major clusters (Figure 5):
  • Cluster I contained 41 hybrids, characterized by superior plant height (PHt; mean: 32.90 cm), larger flower diameter (FD; mean: 6.22 cm), and higher total flower count per plant (TFC; mean: 21.50), as shown in Table 4. The majority of individuals exhibited a dispersive plant habit (PlH; 58.54%), double flowers (FT; 85.37%), and flat sepal edges (CSE; 73.17%). However, this cluster generally displayed intermediate performance in ecological adaptability traits, as summarized in Table 5. Representative individuals were H3 and H39.
  • Cluster II comprised two hybrids, distinguished by the flower diameter (FD; mean: 8.03 cm) and a high number of flowers per stem (PSFC; mean: 4.17), as confirmed in Table 4. All individuals in this cluster showed double flowers (FT; 100%) and sepal edges with margined spotting patterns (SSPT; 100%). In addition, they were rated as strong in ecological adaptability (Table 5).
  • Cluster III contained two hybrids, which exhibited high plant height (PHt; mean: 32.60 cm), along with longer leaf blade length (LBL; mean: 20.10 cm), petiole length (PL; mean: 16.55 cm), and sepal length (SL; mean: 4.50 cm), as supported by Table 4. All individuals displayed single flowers (FT; 100%) and horizontal flower bearing posture (FBP; 100%). Traits related to ecological adaptability, including GV, HR, and DPR, were generally rated as medium, as detailed in Table 5.
  • Cluster IV included five hybrids characterized by intermediate plant height (PHt; mean: 28.61 cm) and relatively short leaf blade length (LBL; mean: 10.97 cm) and petiole length (PL; mean: 12.03 cm), as indicated in Table 4. All plants had double flowers (FT; 100%), with yellow as the predominant main color of sepal upper surface (MC; 60%). This cluster was consistently rated as poor in ecological adaptability (Table 5).
  • Cluster V contained one hybrid, which showed greater plant height (PHt; mean: 32.00 cm) and a high total flower count (TFC; mean: 21.00), according to Table 4. This individual displayed black as the main color of sepal upper surface (MC; 100%) and semi-involute sepal edges (CSE; 100%). It also showed strong performance in ecological adaptability, as summarized in Table 5.
Overall, the Helleborus × hybridus L. individuals exhibited a relatively dispersed structure with indistinct subpopulation differentiation, consistent with the R-type clustering results which showed that most traits did not form strong, cohesive clusters, as evidenced by the long branches and dispersed distribution in the dendrogram (Figure 4).

2.5. Comprehensive Evaluation of Ornamental Value of Helleborus × hybridus L. Progeny

2.5.1. Construction of Judgment Matrix and Consistency Test

Experts were invited to evaluate the ornamental value indicators of Helleborus × hybridus L. progeny. The Saaty 1–9 scale method (Table 6) was used to conduct pairwise comparisons of the evaluation indicators within the same level, with independent scoring based on the relative importance of each indicator.
Based on the expert scoring results, four judgment matrices were constructed: Target Layer A-Criteria Layer (A-B1-B3), Criteria Layer B1-Index Layer (B1-C1-C5), Criteria Layer B2-Index Layer (B2-C6-C14), and Criteria Layer B3-Indicator Layer (B3-C15-C17) (Table 7). The consistency ratio (CR) of each judgment matrix was calculated using yaahp 10.1 software. When CR < 0.1, the judgment matrix was considered to have acceptable consistency, and the results were valid. The results showed that all four judgment matrices had CR values below 0.1, passing the consistency test.

2.5.2. Ranking of Phenotypic Trait Weights

The judgment matrices that passed the consistency test were subjected to weighted calculation using Excel 2019 to determine the weight values (Wi) of each element in the criteria layer (B1–B3) and the index layer (C1–C17) (Table 8).
Results of weight analysis showed that among the criteria layers, flower traits (B2) dominated with a weight of 0.60, indicating their greatest influence on the ornamental value of Helleborus × hybridus L. progeny; ecological adaptability (B3) was of secondary importance, while plant traits (B1) had the lowest weight. Within the index layer, TFC (C9) had the highest total weight (0.19) making it the primary selection indicator in Helleborus L. hybrid breeding; HR (C16) ranked second (0.17). In addition, PSFC (C8) and FBP (C10) also had relatively high comprehensive weights, at 0.12 and 0.10, respectively, whereas indicators such as LBL (C4), PL (C5), and FD (C6) had relatively low comprehensive weights (Figure 6).
Overall, in the comprehensive evaluation system for ornamental value of Helleborus × hybridus L. progeny, the weight of flower trait indicators was significantly higher than that of other trait indicators, indicating that flower-related traits are the decisive factors in ornamental value assessment. This weight distribution reflects the biological characteristics of Helleborus L. as an ornamental flowering plant and provides a reference for subsequent germplasm evaluation and selection of superior individuals.

2.5.3. Comprehensive Evaluation of Hybrid Progeny

According to the scoring criteria, the 51 hybrid individuals were quantitatively evaluated for each trait.
Combined with the total weight values (Wi) of each evaluation indicator in Table 8, the comprehensive score (S) of each individual was calculated using the weighted summation formula:
S = i = 1 17 W i × X i
(S represents the comprehensive evaluation score of the individual, Wi is the comprehensive weight value of the i-th trait, and Xi is its quantitative value).
The results (Table 9) showed that the comprehensive scores of the 51 individuals ranged from 3.08 to 4.36. Among them, H31 received the highest score, while H2 had the lowest. Based on the comprehensive scores, the hybrid progeny were classified into three grades: Grade I (S ≥ 4.0) included 13 individuals with outstanding ornamental value, representing core candidate materials for new cultivar development, such as H31, H3, and H39; Grade II (4.0 > S ≥ 3.5) consisted of 29 individuals with good ornamental value, suitable as foundational material for breeding improvement, including representatives H43, H20, and H51; Grade III (S < 3.5) contained 9 individuals with relatively poor comprehensive ornamental performance, which require careful selection in hybrid breeding, exemplified by H11, H16, and H34. The detailed scores for each trait per individual are provided in Supplementary Table S1.
Based on the comprehensive evaluation of phenotypic traits, the top three superior germplasms were H31 (score: 4.36), H3 (4.26), and H39 (4.25), which exhibited outstanding performance in multiple traits including plant height (PHt), sprouting ability (SA), flower diameter (FD), total flower count (TFC), and ecological adaptability. In contrast, the three lowest-ranked germplasms—H2 (3.08), H19 (3.10), and H23 (3.26)—were characterized by relatively short plant height, small flower diameter, absence of sepal spots, and poor ecological adaptability. Detailed phenotypic values for all individuals are provided in Supplementary Table S1.
Statistical analysis revealed that in 51 hybrid individuals, Grade I superior individuals accounted for 25.49%, Grade II for 56.86%, and Grade III for 17.65%. The combined proportion of superior and promising individuals (Grade I + Grade II) reached 82.35%, indicating significant improvement in ornamental traits within this hybrid population. These results demonstrate abundant favorable genetic resources, providing valuable germplasm for subsequent breeding of elite cultivars and selection of hybrid parents in Helleborus L.

2.6. Phenotypic Characterization of Elite Selections of Helleborus × hybridus L. Progeny

Based on comprehensive evaluation scores, 13 Grade I Helleborus × hybridus L. individuals were selected for variety rights application, and their phenotypic traits were characterized in detail (Figure 7). At the plant trait level, these superior accessions predominantly exhibited a dispersive plant habit, with H39 and H47 showing a bushy form. Plant height ranged from 30.00 to 45.00 cm, suitable for group planting in landscapes. They also displayed strong sprouting ability, promoting rapid clump formation and enhancing horticultural value. Additionally, these selections showed well-expanded leaves and long petioles, further contributing to their ornamental superiority.
Flower traits clearly highlighted the core ornamental advantages of these elite individuals. The average flower diameter reached 6.41 cm, with H14 attaining a maximum of 8.20 cm. All 13 accessions were double-flowered with rich petal layers and dense blooming, resulting in outstanding visual appeal. Flowers were primarily horizontally oriented, improving upon the drooping habit of parental plants. Sepal colors were mainly pink, white, or yellow, some with margined patterning, and relatively long sepals with curved edges enhanced esthetic quality.
In terms of ecological adaptability, the superior selections exhibited vigorous growth and demonstrated breakthroughs in heat tolerance through cultivation practice. Notably, H3 has become the first Helleborus L. cultivar capable of large-scale open-field summer cultivation in regions south of the Yangtze River.
In summary, these elite Helleborus × hybridus L. progeny display stable growth, outstanding floral traits, and high comprehensive ornamental value, making them promising candidates for winter and understory landscaping in the lower Yangtze River region of China.

3. Discussion

3.1. Variation and Diversity of Phenotypic Traits of Helleborus × hybridus L. Progeny

Plant phenotypic traits are determined by genetic factors and environmental influences [22,23]. Phenotypic diversity analysis can quantify the degree of variation and dispersion of traits, reveal patterns of variation and genetic differentiation within populations, and thereby provide a basis for mining and selecting superior germplasm resources [11]. Quantitative traits are typically controlled by polygenes, exhibit continuous variation, and are easily affected by the environment. Qualitative traits, on the other hand, are regulated by single or oligogenes and show typical discontinuous distribution [24].
This study analyzed 17 phenotypic traits in 51 manually open-pollinated Helleborus × hybridus progeny, revealing extensive variation and high diversity across traits. Among quantitative traits, TFC (CV = 37.99%, H′ = 1.35) and PSFC (CV = 36.04%, H′ = 1.29) showed the highest variation and genetic diversity (Table 1). For qualitative traits, MC (H′ = 1.55) and SSPT (H′ = 1.31) were the most diverse (Table 2). Notably, most qualitative traits exhibited higher H′ values than quantitative traits (except FT and FBP), suggesting richer discrete variation in this population. These findings align with previous studies on Chrysanthemum morifolium leaf traits [25] and Jasminum sambac genetic diversity [26]. Based on these results, traits such as TFC and LBL—showing both high CV and high heritability—will be prioritized as selection indicators in subsequent breeding. This strategy is expected to accelerate the development of new Helleborus L. varieties with improved floral abundance and leaf morphology.

3.2. Correlation Analysis of Phenotypic Traits

Phenotypic trait analysis is widely used to study the classification and genetic diversity of ornamental plants, as demonstrated in species such as Chimonanthus praecox [27], Rhododendron [18], and Xanthoceras sorbifolium [28]. Correlation analysis among phenotypic traits helps reveal inter-trait relationships, enabling indirect selection to improve efficiency and accelerate breeding progress [29]. In this study, correlation analysis uncovered complex association patterns among 17 phenotypic traits in Helleborus × hybridus L. progeny, with particularly notable relationships between floral and growth traits. PSFC and TFC were highly significantly positively correlated with PHt and GV (Figure 2). FT was highly significantly positively correlated with PlH, and SL with LBL, indicating coordinated regulation between floral organ development and vegetative growth. Conversely, significant negative correlations were observed between PlH and SA, PL, and CSE, implying a potential developmental trade-off during morphogenesis. These association patterns provide valuable references for breeding and establish a foundation for future molecular marker techniques (such as SSR or SNP).
PCA reduced the 17 phenotypic traits to six principal components, collectively explaining 74.50% of the total variance (Table 3). PC1–PC3 primarily represent vegetative growth capacity, ecological adaptability, and flower production traits, offering selection criteria for high-yield and stress-tolerant varieties. PC4–PC6 mainly reflect floral organ traits, providing a basis for selecting improved flower forms and colors. This approach simplifies the evaluation of ornamental traits and facilitates early selection in breeding, as successfully applied in Rosa [30] and Nymphaea [31]. Q-type cluster analysis classified the 51 hybrids into five distinct groups (Figure 5), revealing clear phenotypic differentiation. PlH, PHt, TFC, FT, MC, SSPT, and ecological adaptability were identified as key traits for distinguishing germplasm resources. This classification provides diverse parental materials for breeding and supports improved breeding efficiency.

3.3. Comprehensive Evaluation of Ornamental Value of Helleborus × hybridus L. Progeny Based on AHP

The Analytic Hierarchy Process (AHP) is a decision-making method that combines subjective judgment with quantitative analysis, enabling the calculation of factor weights through pairwise comparisons and judgment matrices [32]. It has been widely applied in germplasm evaluation of plants such as Iris [33], Rhododendron [18] and Impatiens oxyanthera [34]. As germplasm resources form the material basis for breeding new varieties, systematic evaluation is crucial for ornamental plant research [35]. Comprehensive evaluation of ornamental plants typically involves multiple aspects such as plant morphology, leaf characteristics, flower traits, and ecological adaptability [36]. As a typical flowering ornamental plant, the ornamental value of Helleborus × hybridus L. is primarily determined by flower traits, which play a decisive role in its evaluation. Since the observed indicators in this study were dominated by floral traits, and qualitative traits significantly outnumbered quantitative traits, the AHP method was more suitable than Principal Component Analysis (PCA) for the comprehensive evaluation of ornamental value of Helleborus × hybridus L. progeny.
Given that floral traits dominated the observed indicators and qualitative traits significantly outnumbered quantitative ones in this study, AHP was more suitable than PCA for comprehensively evaluating the ornamental value of Helleborus × hybridus progeny. For the first time, 51 hybrid individuals were systematically assessed from a horticultural perspective using an AHP model comprising 3 criterion layers and 17 indicators. Among the criterion layers, flower traits (B2) had the highest weight (0.60), and among the indicators, total flower count (C9; 0.19) and heat tolerance (C16; 0.17) ranked highest (Table 8), indicating that floral performance and adaptation to high-temperature environments are key factors determining ornamental value. Based on comprehensive scores, the hybrids were classified into three grades (Table 9), with 13 Grade I elite individuals selected for variety rights application, facilitating the breeding and commercialization of new cultivars. This evaluation highlights the dominant role of floral traits in ornamental quality. As an evergreen perennial, Helleborus L. also exhibits significant ornamental potential in leaf morphology and color. Future efforts could focus on improving leaf traits such as venation patterns and coloration to enhance landscape performance during non-flowering periods and broaden breeding applications.

4. Materials and Methods

4.1. Experimental Conditions

The test materials were cultivated in the Helleborus L. germplasm nursery of Zhejiang Institute of Landscape Plants and Flowers (30°04′06.94″ N, 120°13′39.17″ E). Located in a subtropical monsoon climate at 17 m elevation, the site has an average annual temperature of 17.8 °C, 1435 mm of precipitation, a frost-free period of 230–260 days, and relative humidity between 74% and 85%. The nursery was shaded 75% from May to September annually. Climatic conditions during the growing period are shown in Figure 8. The flat planting area has well-established drainage, irrigation, and ventilation systems. To assess natural phenotypic traits and resistance levels under natural climatic conditions and pest stress, no artificial irrigation, fungicides, or insecticides were used during the experimental period.

4.2. Plant Materials

Select horticultural varieties such as ‘Allen Purple’, ‘Black Swan’, and ‘White Primadress’, with excellent ornamental characteristics as hybrid parents (Figure 9 and Table 10). The parental materials were purchased from Zhejiang Licai Horticulture Co., Ltd. (Hangzhou, China) (‘Allen Purple’, ‘Emotions Anemone Picotee’, ‘Tutu’, ‘Ruby’, ‘Petal Princess’, ‘Golden Jade’, ‘Bella’, ‘Mint Princess’), Kunming Lakeland Agricultural Technology Co., Ltd. (Kunming, China) (‘Quintessa Pink’, ‘Candy’), and Yunnan Yingmao Modern Agriculture Co., Ltd. (Kunming, China) (‘Black Swan’, ‘Peach Primadress’, ‘White Primadress’, ‘Elegance Honey Wine’, ‘Apricot Gelato’, ‘Ellen Green’).
Open manual pollination was conducted during the flowering period in March 2019 to obtain hybrid seeds. These hybrid seeds were sown in October 2019, germinated in January 2020, repotted in April of the same year, and transplanted to the germplasm nursery in December 2020. Initial flowering occurred from February to April 2021. From over 2000 hybrid progeny that survived after sowing, 51 hybrid individuals with stable phenotypic traits and excellent ornamental performance over two consecutive years were preliminarily selected. These were propagated by division in September–October 2022 (the fourth autumn after sowing). Each divided clump retained 3–5 buds and was planted with a spacing of 30 × 50 cm. Systematic observation and recording of the phenotypic traits of the hybrid individuals were conducted in the third year after natural flowering following division (i.e., in February 2025, from the sixth winter to the seventh spring after sowing).

4.3. Selection and Measurement of Phenotypic Traits

Since there is no unified evaluation standard for the ornamental value of Helleborus L. genus nor an international UPOV test guideline for new varieties, this study referred to the DUS test guidelines for Helleborus L. in Japan [37]. Based on its system of 38 standardized trait observations, combined with evaluation standards for related plants such as Paeonia lactiflora [38] and Clematis [39] and relevant expert experience, 17 key ornamental traits including plant habit, flower diameter, and main color of sepal upper surface were selected as observation indicators. During the full blooming period, three plants from each hybrid line were randomly selected for systematic measurement. The complete list of phenotypic parameters with their abbreviations and measurement units is provided in Supplementary Table S2.
Specific measurement methods were as follows: plant height (PHt), leaf blade length (LBL), and petiole length (PL) were measured using a tape measure; flower diameter (FD) and sepal length (SL) were measured with a vernier caliper. Plant habit (PlH) was determined by the height-to-width ratio: >1 for erect, =1 for bushy, and <1 for dispersive. Flower type (FT) was classified based on the number of petals or the degree of nectary petalization. The main color of sepal upper surface (MC) was identified using the RHS Color Chart (Royal Horticultural Society, 2015). Flower bearing posture (FBP) was visually recorded: horizontal (parallel to pedicel), downward (<90°), or semi-erect (>90°). Sepal stripe pattern type (SSPT) and curvature of sepal edges (CSE) were documented visually. The primary stem flower count (PSFC) referred to the total number of flowers on the earliest flowering stalk, while the total flower count (TFC) was the sum of the flower counts of all main flower stalks. Sprouting ability (SA) and growth vigor (GV) were evaluated from December to February, while heat tolerance (HR) and disease and pest resistance (DPR) were assessed in September over three consecutive years. SA was graded by rhizome bud count: bad (<3 buds), medium (4–8 buds), or strong (>8 buds). HR was graded based on damage: strong (minimal damage, occasional leaf scorch), medium (<30% leaf margin scorching), or bad (>30% leaf scorching or burn). DPR was graded: strong (no damage), medium (<30% leaf spots from single pest/disease), or bad (>50% leaf spots with >30% rhizome rot from multiple pests/diseases). The phenotypic data for all 51 hybrid individuals, including detailed measurements for all 17 traits (Table 11), were recorded and are provided in Supplementary Table S2.

4.4. Coefficient of Variation and Shannon–Weaver Diversity Index

The coefficient of variation (CV) was used to evaluate the phenotypic variability of seven quantitative traits, including plant height, leaf blade length, petiole length, flower diameter, primary stem flower count, total flower count, and sepal length. The Shannon–Weaver diversity index (H′) was applied to analyze the genetic diversity of all 17 phenotypic traits. Prior to calculation, both quantitative and qualitative traits were preprocessed [27]. Continuous data of quantitative traits were discretized using equal-width binning, categorizing the 51 hybrid individuals into five grades. Discrete data of qualitative traits were grouped, and the frequency distribution of each grade was calculated (Table 2).
The formula for the coefficient of variation (CV) is:
C V = σ μ × 100 %
where σ is the standard deviation and μ is the mean.
The formula for the Shannon–Weaver diversity index (H′) is:
H = i = 1 k p i ln ( p i )
where H′ is the genetic diversity index, k is the number of grades, and pi is the frequency of the phenotypic trait in the i-th grade.

4.5. Correlation Analysis and Principal Component Analysis

The original data of quantitative traits were standardized using Z-Score normalization, while qualitative traits were assigned quantitative values according to the grading rules outlined in Table 12. Based on the preprocessed data, correlation analysis and PCA were performed using SPSS 27.0 software [27]. Correlation analysis was conducted using Spearman’s rank correlation method to generate a correlation coefficient matrix among traits, with the significance level set at p < 0.05. Principal components were extracted based on eigenvalues (λ > 1). The component loadings were then used to interpret the principal components. Eigenvalues, variance contribution rates, and cumulative variance contribution rates were calculated. The suitability for factor analysis was assessed using the KMO measure (0.61; see Supplementary Table S3 for individual MSA values) and Bartlett’s test of sphericity (p < 0.001), which confirmed that the variables were sufficiently correlated for the analysis.

4.6. Construction of AHP Analysis and Evaluation Model

Based on 17 key phenotypic traits, the AHP model was established to develop a comprehensive evaluation system for Helleborus L. phenotypes. This system quantifies trait weights through expert decision-making, enabling systematic hierarchical evaluation of germplasm resources. According to the growth characteristics, ornamental traits of Helleborus L., and expert opinions, the comprehensive evaluation system was divided into three hierarchical levels. The first level is the Target Layer (A), which represents the comprehensive evaluation of ornamental value in Helleborus × hybridus L. progeny. The second level is the Criteria Layer (B), comprising three first-level indicators: plant traits (B1), flower traits (B2), and ecological adaptability (B3). The third level is the Index Layer (C), which includes 17 specific phenotypic traits such as plant habit (C1), plant height (C2), flower diameter (C6), flower type (C7), growth vigor (C15), heat tolerance (C16), and disease and pest resistance (C17) (Table 13). Yaaph 10.1 software was used to construct judgment matrices and perform consistency tests (CR < 0.1).
Through consultations with experts and referencing evaluation systems for ornamental plants such as Rhododendron [18], Paeonia lactiflora [40], and Phalaenopsis Aphrodite [41], scoring criteria for the 17 evaluation indicators were established based on the growth characteristics and phenotypic observation data of Helleborus × hybridus L. (Table 14). Each indicator was classified into five grades according to measured data and assigned a score from 1 to 5, with higher scores indicating better trait performance. During the scoring phase, five experts were invited to conduct on-site evaluations independently and rate each indicator based on landscape ornamental value. To minimize subjective bias, the arithmetic mean of the scores for each indicator was used as the final evaluation result.

4.7. Data Processing and Analysis

Microsoft Excel 2019 was used to calculate the maximum, minimum, mean, standard deviation, variance, and coefficient of variation for quantitative traits, as well as the distribution frequency and Shannon–Weaver diversity index (H′) for qualitative traits. Spearman correlation analysis, PCA, and cluster analysis were performed using SPSS 27 software [42]. Finally, frequency distribution histograms for quantitative traits, heatmaps of correlation coefficients, three-dimensional PCA scatter plots, and weight distribution charts were generated using Origin 2024 software.

5. Conclusions

In summary, the 51 Helleborus L. hybrid individuals displayed rich phenotypic diversity, including extreme phenotypes with high breeding potential. Analysis of trait variation revealed that total flower count (TFC), primary stem flower count (PSFC), main sepal color of sepal upper surface (MC), and sepal stripe pattern type (SSPT) showed particularly high diversity, offering a genetic basis for selecting high-yield individuals and novel floral traits. Correlation analysis indicated the strongest association between heat tolerance (HR) and disease and pest resistance (DPR). Although most traits were positively correlated, the low proportion of strong correlations suggested relative trait independence. PCA extracted six principal components explaining 74.50% of total variance, identifying disease and pest resistance (DPR), heat tolerance (HR), and growth vigor (GV) as key drivers of phenotypic variation. Q-type cluster analysis classified the hybrids into five distinct groups. The AHP-based evaluation confirmed the predominant role of floral traits—particularly total flower count, primary stem flower count, and flower bearing posture—in determining ornamental value. The superior individuals selected through comprehensive scoring provide valuable germplasm resources for future Helleborus L. breeding programs.

Supplementary Materials

The following supporting information can be downloaded at: https://www.mdpi.com/article/10.3390/plants14203226/s1; Table S1: Detailed phenotypic trait scores for the 51 Helleborus × hybridus L. progeny; Table S2: Basic information and phenotypic parameters of the 51 Helleborus × hybridus L. progeny; Table S3: Individual Measures of Sampling Adequacy (MSA) for the 17 phenotypic traits used in the factor analysis.

Author Contributions

Conceptualization, X.S. and L.Q.; methodology, L.Q.; software, B.Y.; validation, L.Q. and X.W.; formal analysis, L.Q.; investigation, B.Y., X.W. and J.G.; resources, X.S.; data curation, L.Q.; writing—original draft preparation, L.Q.; writing—review and editing, X.S. and J.L.; visualization, J.G.; supervision, X.S.; project administration, X.S.; funding acquisition, X.S. All authors have read and agreed to the published version of the manuscript.

Funding

This research was partially supported by the following projects: Development, Research, and Production Demonstration of Key Technologies for Breeding and Industrialization of New Varieties of Land-scape Plants, a Major Science and Technology Project of Xiaoshan District Industrial Development (2023103); Research and Demonstration of Key Technologies of New Varieties breeding and Industrialization of Helleborus under the Scientific and Technological Cooperation Plan of ‘Three Agriculture and Nine Parties’ in Zhejiang Province (2023SNJF032).

Data Availability Statement

The data provided in this study are available upon request from the corresponding author. Due to privacy concerns, these data are not publicly available.

Conflicts of Interest

Author Jia Guo is employed by Zhejiang Xiaojian Group Co., Ltd. The company had no role in the design of the study; in the collection, analyses, or interpretation of data; in the writing of the manuscript, or in the decision to publish the results. The remaining authors declare no competing interests.

Abbreviations

The following abbreviations are used in this manuscript:
PlHPlant habit
PHtPlant height
SASprouting ability
LBLLeaf blade length
PLPetiole length
FDFlower diameter
FTFlower type
PSFCPrimary stem flower count
TFCTotal flower count
FBPFlower bearing posture
MCMain color of sepal upper surface
SSPTSepal stripe pattern type
SLSepal length
CSECurvature of sepal edges
GVGrowth vigor
HRHeat resistance
DPRDisease and pest resistance

References

  1. Tutin, T.G.; Burges, N.A.; Chater, A.O.; Edmondson, J.R.; Heywood, W.H.; Moore, D.M.; Valentine, D.H.; Walters, S.M.; Webb, D.A. Flora Europaea, 2nd ed.; Cambridge University Press: Cambridge, UK, 2010; Volume 1, pp. 250–251. [Google Scholar]
  2. Shi, X.H.; Ma, G.Y.; Zou, Q.C.; Tian, D.Q. Preliminary Analysis of Transcriptome Information and SSR Markers in Young Leaves of Helleborus thibetanus. Mol. Plant Breed. 2019, 17, 3297–3304. [Google Scholar] [CrossRef]
  3. Yang, L.; Gong, X.Y.; Cao, X.Y.; Jiang, L.Q.; Du, L.J. The Seed Morphology and Germination Characteristics of Helleborus thibetanus. J. Northeast For. Univ. 2024, 52, 1–6. [Google Scholar] [CrossRef]
  4. Fan, M.; He, W.W.; Shi, Y.L.; Niu, L.L.; Jin, L.; Guo, Y.X. Study on Ecological Suitability Zoning of Endangered Medicinal Material Helleborus thibetanus Franch. Chin. J. Inf. Tradit. Chin. Med. 2024, 31, 1–4. [Google Scholar] [CrossRef]
  5. Gabryszewska, E. Propagation in vitro of Hellebores (Helleborus L.): A Review. Acta Sci. Pol. Hortorum Cultus 2017, 16, 61–72. [Google Scholar]
  6. Liu, J.D.; Wang, X.M.; Sun, H. Effects of Formula Fertilization on the Growth of Helleborus thibetanus. Agric. Technol. Serv. 2023, 40, 39–42. [Google Scholar]
  7. Nowakowska, K.; Kowalczyk, K.; Pawełczak, A.; Gajc-Wolska, J. Energy Efficiency of LEDs during Micropropagation of Helleborus ‘Molly’s White’. Agriculture 2023, 13, 1265. [Google Scholar] [CrossRef]
  8. Jin, H.D.; Zhao, L.; Shi, X.H.; Du, L.J. Heat Tolerance of Nine Helleborus orientalis Cultivars. J. Northwest A&F Univ. (Nat. Sci. Ed.) 2023, 51, 112–122. [Google Scholar] [CrossRef]
  9. Segneanu, A.-E.; Grozescu, J.; Cziple, F.; Berki, D.; Damian, D.; Niculite, C.M.; Florea, A.; Leabu, M. Helleborus purpurascens—Amino Acid and Peptide Analysis Linked to the Chemical and Antiproliferative Properties of the Extracted Compounds. Molecules 2015, 20, 22170–22187. [Google Scholar] [CrossRef]
  10. Haworth, M.; Marino, G.; Atzori, G.; Fabbri, A.; Daccache, A.; Killi, D.; Carli, A.; Montesano, V.; Conte, A.; Balestrini, R.; et al. Plant Physiological Analysis to Overcome Limitations to Plant Phenotyping. Plants 2023, 12, 4015. [Google Scholar] [CrossRef]
  11. Zheng, S.; Kong, Q.; Yan, H.; Liu, J.; Tang, R.; Zhou, L.; Yang, H.; Jiang, X.; Feng, S.; Ding, C.; et al. Phenotypic Diversity Analysis and Integrative Evaluation of Camellia oleifera Germplasm Resources in Ya’an, Sichuan Province. Plants 2025, 14, 2249. [Google Scholar] [CrossRef]
  12. Tian, H.; Dang, Z.; Zhang, H.; Xiong, J.; Lu, J.; Wu, X.; Liu, Y. Phenotypic Trait Diversity Analysis and Comprehensive Ornamental Evaluation of 31 Pennisetum alopecuroides Germplasms. Jiangsu J. Agric. Sci. 2025, 41, 1270–1279. [Google Scholar]
  13. Tian, S.; Wang, X.; Tang, L.; Wang, X.; Qiao, Z.; Chen, Y.; Zeng, H.; Li, Y. Analysis of Genetic Diversity of Phenotypic Traits in 76 New Varieties of Lagerstroemia indica. J. Cent. South Univ. For. Technol. 2025, 45, 53–64. [Google Scholar] [CrossRef]
  14. Lu, L.; Yan, H.; Zeng, W.; Cao, S.; Cheng, D.; Xiao, L.; Shi, P.; Long, Z.; Li, X.; Shang, X. Phenotypic Identification and Genetic Diversity Analysis of Self-Bred Segregating Population of Edible Cassava Gui 11. J. Plant Genet. Resour. 2025, 26, 1154–1165. [Google Scholar]
  15. Zhu, Y.; Liang, D.; Song, Z.; Tan, Y.; Guo, X.; Wang, D. Genetic Diversity Analysis and Core Germplasm Collection Construction of Camellia oleifera Based on Fruit Phenotype and SSR Data. Genes 2022, 13, 2351. [Google Scholar] [CrossRef]
  16. Gao, F.; Zhao, Z. Comprehensive Evaluation of Colored-leaf Plants in Hefei City Based on AHP. J. Landsc. Res. 2025, 17, 58–60, 64. [Google Scholar]
  17. Pan, J.; Xu, N.; Tang, Y.; Cheng, M.; Zhang, L.; Wang, B.; Lan, J. Quantitative Evaluation of Plants on Top Surface of the Great Wall in Dazhuangke Using the Analytical Hierarchy Process. Herit. Sci. 2023, 11, 191. [Google Scholar] [CrossRef]
  18. Liang, J.; Chen, Y.; Tang, X.; Lu, Y.; Yu, J.; Wang, Z.; Zhang, Z.; Ji, H.; Li, Y.; Wu, P.; et al. Comprehensive Evaluation of Appreciation of Rhododendron Based on Analytic Hierarchy Process. Plants 2024, 13, 558. [Google Scholar] [CrossRef] [PubMed]
  19. Yin, J.; Cai, X.Z.; Liu, Y.Z.; Li, S.J. AHP-based ornamental value evaluation of sect. Calcareimontana (Impatiens L.). N. Hortic. 2018, 22, 93–97. [Google Scholar]
  20. Cui, Y.; Lin, X.; Yang, L.; Fu, X. Comprehensive Evaluation on Ornamental Values of Different Cornus spp. J. Plant Resour. Environ. 2022, 31, 43–51. [Google Scholar] [CrossRef]
  21. Chen, Y.; Pan, H.; Wei, Y. Principal Component Analysis and Comprehensive Evaluation on Ornamental Value of Varieties of Camellia. Fujian J. Agric. Sci. 2019, 34, 551–559. [Google Scholar] [CrossRef]
  22. He, Z.; Liu, C.; Wang, X.; Wang, R.; Chen, Y.; Tian, Y. Assessment of Genetic Diversity in Camellia oleifera Abel. Accessions Using Morphological Traits and Simple Sequence Repeat (SSR) Markers. Breed. Sci. 2020, 70, 586–593. [Google Scholar] [CrossRef] [PubMed]
  23. Herrera González, M.P.; Zamora Jerez, A.; Cifuentes Velasquez, R.; Arévalo Rodríguez, L.A.; Pereira Lorenzo, S. Comprehensive Evaluation and Selection of Cardamom (Elettaria cardamomum (L.) Maton) Germplasm Using Morphological Traits. Plants 2024, 13, 2786. [Google Scholar] [CrossRef] [PubMed]
  24. Zhang, M.; Liu, Y.-H.; Xu, W.; Smith, C.W.; Murray, S.C.; Zhang, H.-B. Analysis of the genes controlling three quantitative traits in three diverse plant species reveals the molecular basis of quantitative traits. Sci. Rep. 2020, 10, 10074. [Google Scholar] [CrossRef]
  25. Sun, J.; Wen, C. Genetic Analysis of Quantitative Traits in Leaves of Spray Chrysanthemum in Open Pollination. Tianjin Agric. Sci. 2024, 30, 1–5. [Google Scholar]
  26. Li, C.; Bu, Z.; Du, Y.; Su, Q.; Huang, Z.; Wang, H.; Lu, J.; Li, X. Genetic Diversity Analysis and Parental Identification of Open Pollination Lines of Jasminum sambac. Mol. Plant Breed. 2025, 23, 5478–5484. [Google Scholar] [CrossRef]
  27. Zhao, Y.; Wang, X.; Wang, J.; Zhang, J.; Zhou, D.; Li, Q. Flower Phenotypic Diversity Analysis and Comprehensive Evaluation of 190 Cultivars (Lines) of Chimonanthus praecox from Yanling County, Henan Province. J. Plant Resour. Environ. 2024, 33, 50–61. [Google Scholar] [CrossRef]
  28. Zhou, C.; Wu, H.; Sheng, Q.; Cao, F.; Zhu, Z. Study on the Phenotypic Diversity of 33 Ornamental Xanthoceras sorbifolium Cultivars. Plants 2023, 12, 2448. [Google Scholar] [CrossRef]
  29. Rui, W.; Wang, X.; Zhang, Q.; Hu, X.; Hu, X.; Fu, J.; Gao, Y.; Li, J. Genetic Diversity Analysis of 353 Tomato Germplasm Resources by Phenotypic Traits. Acta Hortic. Sin. 2018, 45, 561–570. [Google Scholar]
  30. Cheng, W.H.; Liang, Q.; Mu, W.J.; Zhang, T.Y.; Cheng, P.L.; Ou, C.; Yang, S.Z.; Huang, C.B. Phenotypic Diversity Analysis and Comprehensive Evaluation of 226 Rose Germplasm Resources. Jiangsu Agric. Sci. 2024, 52, 173–181. [Google Scholar] [CrossRef]
  31. Pan, Q.L.; Fu, Y.G.; Gu, J.; Sheng, Y.H.; Li, Q.X.; Rao, Y.; Zhu, T.L.; Zhou, Y.; Shi, Y.H.; Zhao, Y.; et al. Analysis of Phenotypic Diversity of Nymphaea L. in Hainan, China. Chin. J. Trop. Crops 2021, 42, 2777–2788. [Google Scholar]
  32. Shen, G.; Wang, W. Circlize Package in R and Analytic Hierarchy Process (AHP): Contribution Values of ABCDE and AGL6 Genes in the Context of Floral Organ Development. PLoS ONE 2022, 14, e0261232. [Google Scholar] [CrossRef]
  33. Yang, Z.; Meng, T.; Bi, X.; Lei, J. Investigation and Evaluation of Wild Iris Resources in Liaoning Province, China. Genet. Resour. Crop Evol. 2017, 64, 967–978. [Google Scholar] [CrossRef]
  34. Tao, J.; Yang, Y.; Wang, Q. Two Growing-Season Warming Partly Promoted Growth but Decreased Reproduction and Ornamental Value of Impatiens oxyanthera. Plants 2024, 13, 511. [Google Scholar] [CrossRef]
  35. Cicevan, R.; Sestras, A.F.; Plazas, M.; Boscaiu, M.; Vilanova, S.; Gramazio, P.; Vicente, O.; Prohens, J.; Sestras, R.E. Biological Traits and Genetic Relationships Amongst Cultivars of Three Species of Tagetes (Asteraceae). Plants 2022, 11, 760. [Google Scholar] [CrossRef] [PubMed]
  36. Chu, Y.X.; Ren, L.; Deng, S.; Li, S.G.; Huang, J.Y.; Chen, H.R. Comprehensive Evaluation of Anthurium andraeanum Germplasm Resources by AHP Method. Acta Agric. Shanghai 2023, 39, 40–47. [Google Scholar] [CrossRef]
  37. Ministry of Agriculture, Forestry and Fisheries (MAFF). Helleborus (Christmas Rose) Genus Examination Guidelines. 2019. Available online: https://www.hinshu2.maff.go.jp (accessed on 31 August 2025).
  38. Qian, J.Y.; Lu, L.L.; Li, Q.; Tang, Y.H.; Tao, J.; Zhao, D.Q. Evaluation of Paeonia lactiflora Varieties for Introduction to Yangzhou. Fujian J. Agric. Sci. 2023, 38, 349–364. [Google Scholar] [CrossRef]
  39. Yuan, M.X.; Song, W.; Liu, H.H.; Yan, Y.Q.; Zhong, P.Y.; Wang, H.Y. Diversity Analysis and Comprehensive Evaluation of Floral Phenotypic Traits in Clematis Species. Jiangsu Agric. Sci. 2024, 52, 200–208. [Google Scholar] [CrossRef]
  40. Ying, M.Y.; Shi, J.Y.; Ye, Q.P.; Shen, Q.Y.; Yu, W. Comprehensive Evaluation on the Ornamental Value of 13 Paeonia lactiflora Varieties Based on Analytic Hierarchy Process. Subtrop. Plant Sci. 2024, 53, 577–583. [Google Scholar] [CrossRef]
  41. Song, Y.L.; Zhang, Y.J.; Sun, J.X.; Zhang, J.W.; Guo, W.J.; Wang, L.; Liu, X.Q. Comprehensive Evaluation of 70 Ornamental Characters of Phalaenopsis. Chin. J. Trop. Crops 2020, 41, 043–048. [Google Scholar] [CrossRef]
  42. Jin, Y.; Bai, X.; Zhang, K.; Feng, L.; Yu, Z.; Jiao, X.; Guo, Y. Assessment of Breeding Potential of Foxtail Millet Varieties Using a TOPSIS Model Constructed Based on Distinctness, Uniformity, and Stability Test Characteristics. Plants 2024, 13, 2102. [Google Scholar] [CrossRef]
Figure 1. Frequency distribution histograms of quantitative traits of Helleborus × hybridus L. progeny. (The lines in the frequency distribution histogram represent the distribution curves).
Figure 1. Frequency distribution histograms of quantitative traits of Helleborus × hybridus L. progeny. (The lines in the frequency distribution histogram represent the distribution curves).
Plants 14 03226 g001
Figure 2. Correlation heat map of phenotypic traits of Helleborus × hybridus L. progeny (Significance levels: * p < 0.05, ** p < 0.01, *** p < 0.001).
Figure 2. Correlation heat map of phenotypic traits of Helleborus × hybridus L. progeny (Significance levels: * p < 0.05, ** p < 0.01, *** p < 0.001).
Plants 14 03226 g002
Figure 3. Phenotypic distribution of Helleborus × hybridus L. progeny in PCA space (PC1/PC2/PC3) (PCA was performed based on 17 phenotypic traits, with the cumulative contribution rate of PC1-PC3 being 49.1%; blue scatter points represent different sample individuals, and arrows correspond to different phenotypic trait variables).
Figure 3. Phenotypic distribution of Helleborus × hybridus L. progeny in PCA space (PC1/PC2/PC3) (PCA was performed based on 17 phenotypic traits, with the cumulative contribution rate of PC1-PC3 being 49.1%; blue scatter points represent different sample individuals, and arrows correspond to different phenotypic trait variables).
Plants 14 03226 g003
Figure 4. R-cluster analysis of 17 phenotypic traits of Helleborus × hybridus L. progeny.
Figure 4. R-cluster analysis of 17 phenotypic traits of Helleborus × hybridus L. progeny.
Plants 14 03226 g004
Figure 5. Q-cluster analysis of 51 Helleborus L. hybrid individuals.
Figure 5. Q-cluster analysis of 51 Helleborus L. hybrid individuals.
Plants 14 03226 g005
Figure 6. Weights of comprehensive evaluation indicators of Helleborus × hybridus L. progeny.
Figure 6. Weights of comprehensive evaluation indicators of Helleborus × hybridus L. progeny.
Plants 14 03226 g006
Figure 7. Selected superior individuals of Helleborus × hybridus L. progeny.
Figure 7. Selected superior individuals of Helleborus × hybridus L. progeny.
Plants 14 03226 g007
Figure 8. Monthly mean temperature and precipitation conditions from 2019 to 2024.
Figure 8. Monthly mean temperature and precipitation conditions from 2019 to 2024.
Plants 14 03226 g008
Figure 9. Phenotype of Helleborus × hybridus L. hybridization.
Figure 9. Phenotype of Helleborus × hybridus L. hybridization.
Plants 14 03226 g009
Table 1. Analysis of variation and diversity in quantitative traits of Helleborus × hybridus L. progeny.
Table 1. Analysis of variation and diversity in quantitative traits of Helleborus × hybridus L. progeny.
TraitsMaxMinMean ± SDRangeCV (%)H′
PHt (cm)45.6017.0032.07 ± 5.1917.00–47.6016.181.04
LBL (cm)24.007.4016.79 ± 4.517.40–24.0026.871.51
PL (cm)28.009.3017.17 ± 3.879.30–28.0022.531.26
FD (cm)8.204.866.20 ± 0.724.86–8.2011.580.94
PSFC8.003.004.65 ± 1.633–635.041.29
TFC46.007.0020.33 ± 7.737–4637.991.35
SL (cm)4.402.903.58 ± 0.342.90–4.409.480.77
Table 2. Analysis of variation and diversity in qualitative traits of Helleborus × hybridus L. progeny.
Table 2. Analysis of variation and diversity in qualitative traits of Helleborus × hybridus L. progeny.
TraitsHybrid F1 Generation Trait Grading and Segregation Ratio (%)H′
1234567
PlH56.8613.7329.41 0.95
SA13.7345.1041.18 1.00
FT3.9211.7684.31 0.52
FBP37.2562.750 0.66
MC33.3331.3717.651.961.969.803.921.55
SSPT43.1419.6119.61017.65 1.31
CSE76.4721.571.96 1.08
GV19.6135.2945.10 1.04
HR13.7352.9433.33 0.92
DPR11.7652.9435.29 0.96
Table 3. Loading matrix of PCA for phenotypic traits of Helleborus × hybridus L. progeny.
Table 3. Loading matrix of PCA for phenotypic traits of Helleborus × hybridus L. progeny.
TraitsPrincipal ComponentTotal Load
123456
PlH−0.180.48−0.500.08−0.430.20−0.35
PHt−0.110.830.090.10−0.16−0.220.53
SA0.19−0.200.700.25−0.020.141.06
LBL−0.220.2100.780.21−0.02−0.250.71
PL0.010.370.77−0.070.18−0.091.17
FD0.11−0.040.070.840.11−0.120.97
FT0.090.26−0.200.15−0.010.741.03
PSFC0.150.610.10−0.220.350.271.26
TFC0.330.750.07−0.130.040.111.17
FBP0.420.040.16−0.49−0.42−0.29−0.58
MC−0.12−0.250.04−0.33−0.170.76−0.07
SSPT0.60−0.33−0.080.060.32−0.120.45
SL0.10−0.050.230.80−0.130.000.95
CSE0.090.030.120.030.91−0.121.06
GV0.740.360.120.210.20−0.031.60
HR0.870.160.010.050.030.201.32
DPR0.91−0.01−0.01−0.010−0.11−0.080.69
Table 4. Descriptive statistics of quantitative traits in Helleborus × hybridus L. progeny clusters.
Table 4. Descriptive statistics of quantitative traits in Helleborus × hybridus L. progeny clusters.
GroupCluster ICluster IICluster IIICluster IVCluster V
PHt (cm)Mean32.9023.1532.6028.6132.00
CV (%)15.8410.086.079.59-
LBL (cm)Mean17.2715.9420.1010.9721.00
CV (%)24.3158.203.5223.01-
PL (cm)Mean17.8314.8716.5512.0322.00
CV (%)20.7617.4011.5419.18-
FD (cm)Mean6.228.035.555.824.86
CV (%)9.372.996.3713.46-
PSFCMean4.784.173.553.412.90
CV (%)37.054.415.9814.81-
TFCMean21.501510.5016.7221.00
CV (%)37.3137.7147.1419.56-
SL (cm)Mean3.594.504.503.8811.00
CV (%)8.2015.7147.1419.49-
Table 5. Frequency distribution of qualitative traits in Helleborus × hybridus L. progeny clusters.
Table 5. Frequency distribution of qualitative traits in Helleborus × hybridus L. progeny clusters.
GroupCluster ICluster IICluster IIICluster IVCluster V
PlHModeDispersiveDispersiveDispersiveDispersiveDispersive
Frequency (%)58.5410010080100
SAModeStrongStrong or MediumMediumMediumStrong
Frequency (%)48.785010060100
FTModeDoubleDoubleSingleDoubleDouble
Frequency (%)85.37100100100100
FBPModeHorizontalHorizontal or DownwardHorizontalHorizontalHorizontal
Frequency (%)65.855010065.85100
MCModeWhite or PurpleWhite or PurpleWhiteYellowBlack
Frequency (%)34.155010060100
SSPTModeAbsentMarginedAbsent or VeinedAbsentAbsent
Frequency (%)39.021005080100
CSEModeFlatFlatFlatFlatSemi-involute
Frequency (%)73.17100100100100
GVModeStrongStrongMedium or StrongBadBad
Frequency (%)51.221005080100
HRModeMediumStrongBad or StrongBad or MediumMedium
Frequency (%)63.411005040100
DPRModeMediumStrongMedium or StrongMediumBad
Frequency (%)53.661005080100
Table 6. 1–9 Ratio scaling method.
Table 6. 1–9 Ratio scaling method.
Significance ScaleSignificance of Corresponding Scale
1Indicates that two elements are of equal importance
3Indicates moderate importance of one element over another
5Indicates strong importance of one element over another
7Indicates very strong importance of one element over another
9Indicates extreme importance of one element over another
2, 4, 6, 8Intermediate values between two adjacent judgments
Reciprocal of scaleIf element i has one of the above non-zero numbers assigned to it when compared to element j, then j has the reciprocal value when compared to i
Table 7. Judgment matrix and consistency test.
Table 7. Judgment matrix and consistency test.
Hierarchical ModelJudgment MatrixConsistency Test
A-BiAB1B2B3 λ = 3.0055;
CR = 0.0053
B111/51/2
B2512
B321/21
B1-CiB1C1C2C3C4C5 λ = 5.4029;
CR = 0.0899
C1151/277
C21/511/663
C326175
C41/71/61/711/2
C51/71/31/521
B2-CiB2C6C7C8C9C10C11C12C13C14λ = 10.0708;
CR = 0.0917
C611/21/71/61/61/61/621/3
C7211/61/61/61/31/341/2
C87611/214467
C9662147766
C106611/412467
C11631/41/71/21175
C12631/41/71/41153
C131/21/41/61/61/61/71/511/4
C14321/71/61/71/51/341
B3-CiB3C15C16C17 λ = 3.1013;
CR = 0.0974
C1511/36
C16317
C171/61/71
Table 8. Weights and ranking of evaluation criteria.
Table 8. Weights and ranking of evaluation criteria.
Target LayerCriteria LayerSub-Weight Value (Wi)Index LayerSub-Weight Value (Wi)Total Weight Value (Wi)Ranking
Comprehensive evaluation of ornamental value of Helleborus × hybridus L. progenyPlant characteristics (B1)0.1285C1 PHt0.33290.04289
C2 PlH0.13260.017013
C3 SA0.43180.05557
C4 LBL0.03980.005117
C5 PL0.06290.008116
Flower characteristics (B2)0.5949C6 FD0.02630.015614
C7 FT0.040.023811
C8 PSFC0.19690.11713
C9 TFC0.31710.18861
C10 FBP0.16960.10094
C11 MC0.09920.05906
C12 SSPT0.08270.04928
C13 SL0.02130.012715
C14 CSE0.0470.028010
Ecological adaptability (B3)0.2766C15 GV0.29810.08255
C16 HR0.63250.17492
C17 DPR0.06940.019212
Table 9. Evaluation and ranking of composite scores for ornamental value of 51 Helleborus × hybridus L. individuals.
Table 9. Evaluation and ranking of composite scores for ornamental value of 51 Helleborus × hybridus L. individuals.
RankingCultivar NumberB1 ScoreB2 ScoreB3 ScoreComposite ScoreGradeRankingCultivar NumberB1 ScoreB2 ScoreB3 ScoreComposite ScoreGrade
1H310.392.591.384.36I27H350.492.171.113.77II
2H30.472.401.384.26I28H320.412.051.303.76II
3H390.632.241.384.25I29H50.482.051.213.74II
4H210.392.461.384.23I30H460.472.121.113.69II
5H290.472.361.384.21I31H130.412.171.113.69II
6H470.602.201.384.18I32H420.491.981.193.65II
7H140.372.431.384.18I33H150.451.811.383.65II
8H270.392.401.384.18I34H480.482.051.113.64II
9H60.482.331.364.18I35H120.432.061.113.60II
10H300.452.301.384.14I36H440.452.121.023.60II
11H240.422.251.384.04I37H370.362.111.113.57II
12H280.392.261.384.03I38H360.422.021.113.55II
13H250.312.341.384.03I39H410.422.011.113.53II
14H430.502.301.193.99II40H490.372.161.003.53II
15H200.352.221.383.95II41H100.422.260.833.51II
16H510.472.271.193.93II42H170.422.051.023.50II
17H400.492.191.193.87II43H110.421.961.113.49III
18H10.452.191.213.85II44H160.372.091.023.48III
19H180.412.251.193.85II45H340.352.001.113.45III
20H380.372.191.283.84II46H330.371.951.023.35III
21H90.522.231.093.84II47H40.412.090.833.33III
22H450.512.141.193.84II48H220.402.040.853.29III
23H80.542.211.093.83II49H230.311.931.023.26III
24H70.422.281.133.82II50H190.361.920.833.10III
25H500.432.171.193.79II51H20.401.760.933.08III
26H260.412.261.113.78II
Table 10. Key traits of parental lines in Helleborus × hybridus L. hybridization.
Table 10. Key traits of parental lines in Helleborus × hybridus L. hybridization.
Variety NameMain Color of Sepal Upper SurfaceSepal Stripe Pattern TypeFlower Type
‘Black Swan’BlackAbsentDouble
‘Ruby’Purple RedAbsentDouble
‘White Primadress’WhiteAbsentDouble
‘Bella’WhiteMarginedDouble
‘Allen Purple’PurpleDustedDouble
‘Peach Primadress’Dark pinkMottledDouble
‘Tutu’PurpleDustedSemi-double
‘Quintessa Pink’PinkVeinedDouble
‘Mint Princess’PinkMarginedDouble
‘Petal Princess’PinkDustedDouble
‘Candy’PinkVeinedDouble
‘Emotions Anemone Picotee’Dark pinkMarginedSingle
‘Ellen Green’GreenAbsentDouble
‘Golden Jade’YellowAbsentDouble
‘Apricot Gelato’OrangeAbsentDouble
‘Elegance Honey Wine’Light YellowMarginedDouble
Table 11. Characterization of 17 qualitative and quantitative traits.
Table 11. Characterization of 17 qualitative and quantitative traits.
TraitsAbbreviationUnitCategory
Plant habitPlH-qualitative
Plant heightPHtcmquantitative
Sprouting abilitySA-qualitative
Leaf blade lengthLBLcmquantitative
Petiole lengthPLcmquantitative
Flower diameterFDcmquantitative
Flower typeFT-qualitative
Primary stem flower countPSFCcountquantitative
Total flower countTFCcountquantitative
Flower bearing postureFBP-qualitative
Main color of sepal upper surfaceMC-qualitative
Sepal stripe pattern typeSSPT-qualitative
Sepal lengthSLcmquantitative
Curvature of sepal edgesCSE-qualitative
Growth vigorGV-qualitative
Heat resistanceHR-qualitative
Disease and pest resistanceDPR-qualitative
Table 12. Grouping description of qualitative traits of Helleborus × hybridus L. progeny.
Table 12. Grouping description of qualitative traits of Helleborus × hybridus L. progeny.
GroupQualitative Traits
PlHSAFTFBPMCSSPTCSEGVHRDPR
1DispersiveBadSingleDownwardWhiteAbsentFlatBadBadBad
2ErectMediumSemi-doubleHorizontalPurpleDusted/mottledSemi-involuteMediumMediumMedium
3BushyStrongDoubleSemi-erectPinkVeined/radialInvoluteStrongStrongStrong
4 GreenStellate
5 OrangeMargined
6 Yellow
7 Black
Table 13. Hierarchical structure of comprehensive evaluation of ornamental traits of Helleborus × hybridus L. progeny.
Table 13. Hierarchical structure of comprehensive evaluation of ornamental traits of Helleborus × hybridus L. progeny.
Target Layer (A)Criteria Layer (B)Index Layer (C)
Comprehensive evaluation of ornamental value of Helleborus × hybridus L. progenyLeaf characteristics (B1)C1 Plant habit
C2 Plant height
C3 Sprouting ability
C4 Leaf blade length
C5 Petiole length
Flower characteristics (B2)C6 Flower diameter
C7 Flower type
C8 Primary stem flower count
C9 Total flower count
C10 Flower bearing posture
C11 Main color of sepal upper surface
C12 Sepal stripe pattern type
C13 Sepal length
C14 Curvature of sepal edges
Ecological adaptability (B3)C15 Growth vigor
C16 Heat resistance
C17 Disease and pest resistance
Table 14. Evaluation criteria and scoring system for key ornamental traits of Helleborus × hybridus L. progeny.
Table 14. Evaluation criteria and scoring system for key ornamental traits of Helleborus × hybridus L. progeny.
TraitsScore
54321
C1 PlHBushyErectDispersive
C2 PHt (cm)>4540–4535–4030–35<30
C3 SAStrongMediumBad
C4 LBL (cm)>2016–2012–168–12<8
C5 PL (cm)>2018–2016–1814–16<14
C6 FD (cm)>87–85–63–4<3
C7 FTDoubleSemi-doubleSingle
C8 PSFC>108–96–74–5<4
C9 TFC>3525–3515–245–15<5
C10 FBPSemi-erectHorizontalDownward
C11 MCRare color (black)Solid colors (yellow, orange, green)Solid colors (purple-red, pink)Solid color (purple)White
C12 SSPTMarginedStellateVeined or radialDusted or mottledAbsent
C13 SL>4.54–4.53.5–43–3.5<3
C14 CSEInvoluteSemi-involuteFlat
C15 GVStrongMediumBad
C16 HRStrongMediumBad
C17 DPRStrongMediumBad
Disclaimer/Publisher’s Note: The statements, opinions and data contained in all publications are solely those of the individual author(s) and contributor(s) and not of MDPI and/or the editor(s). MDPI and/or the editor(s) disclaim responsibility for any injury to people or property resulting from any ideas, methods, instructions or products referred to in the content.

Share and Cite

MDPI and ACS Style

Qu, L.; Yuan, B.; Wen, X.; Guo, J.; Luo, J.; Shi, X. Analysis of Phenotypic Diversity and Comprehensive Evaluation of 51 Helleborus L. Hybrid Individuals. Plants 2025, 14, 3226. https://doi.org/10.3390/plants14203226

AMA Style

Qu L, Yuan B, Wen X, Guo J, Luo J, Shi X. Analysis of Phenotypic Diversity and Comprehensive Evaluation of 51 Helleborus L. Hybrid Individuals. Plants. 2025; 14(20):3226. https://doi.org/10.3390/plants14203226

Chicago/Turabian Style

Qu, Liuqing, Bingyu Yuan, Xiaohui Wen, Jia Guo, Jianrang Luo, and Xiaohua Shi. 2025. "Analysis of Phenotypic Diversity and Comprehensive Evaluation of 51 Helleborus L. Hybrid Individuals" Plants 14, no. 20: 3226. https://doi.org/10.3390/plants14203226

APA Style

Qu, L., Yuan, B., Wen, X., Guo, J., Luo, J., & Shi, X. (2025). Analysis of Phenotypic Diversity and Comprehensive Evaluation of 51 Helleborus L. Hybrid Individuals. Plants, 14(20), 3226. https://doi.org/10.3390/plants14203226

Note that from the first issue of 2016, this journal uses article numbers instead of page numbers. See further details here.

Article Metrics

Back to TopTop