Phytochemical Composition and Acute Hypoglycemic Effect of Jefea lantanifolia (S. Schauer) Strother in Rats
Abstract
1. Introduction
2. Results
2.1. Ethnobotany and Plant Collection
2.2. Dose Calculation for Extracts and Compounds
2.3. Acute Oral Toxicity Test
2.4. HPLC/DAD Profiles
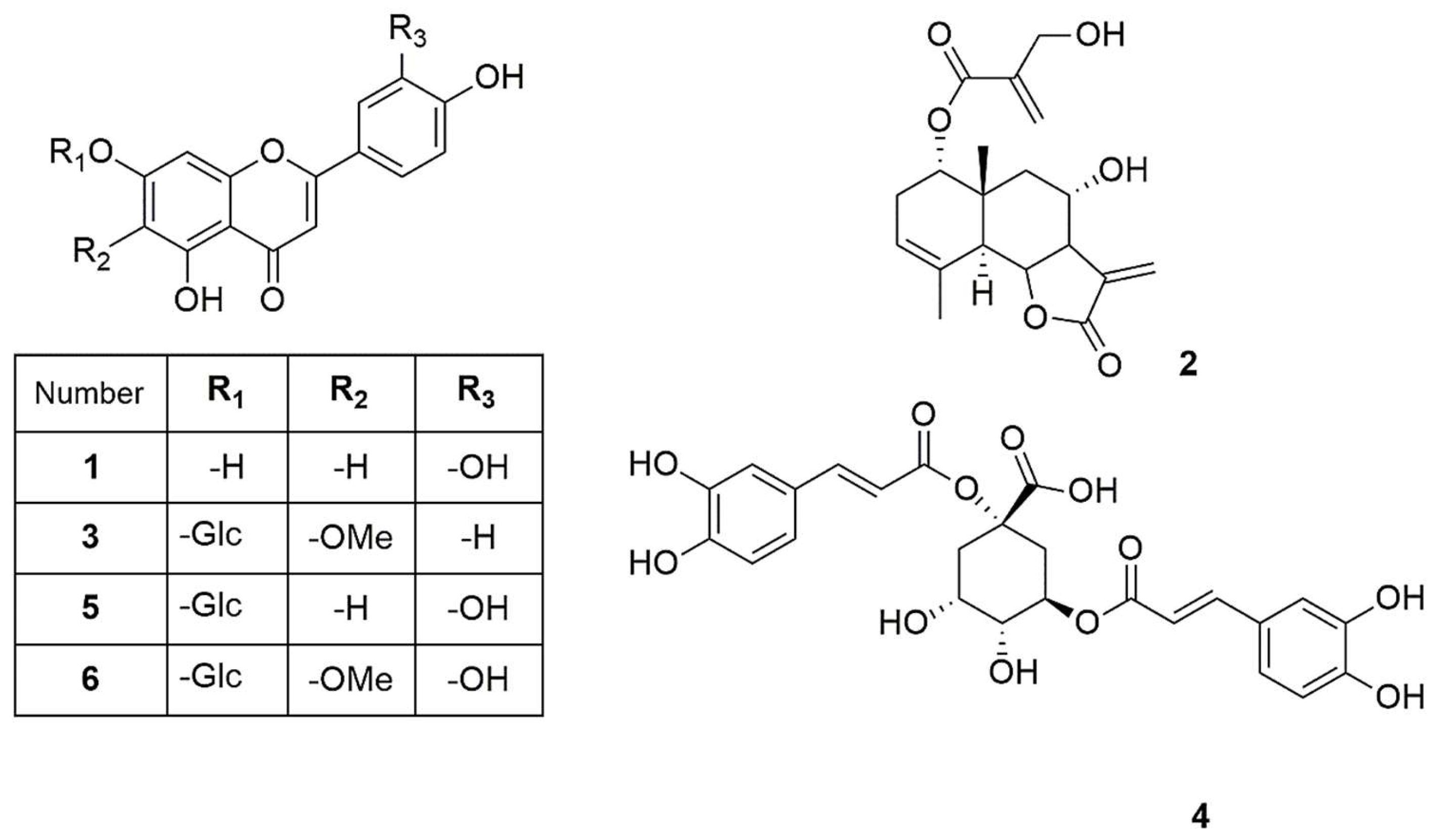
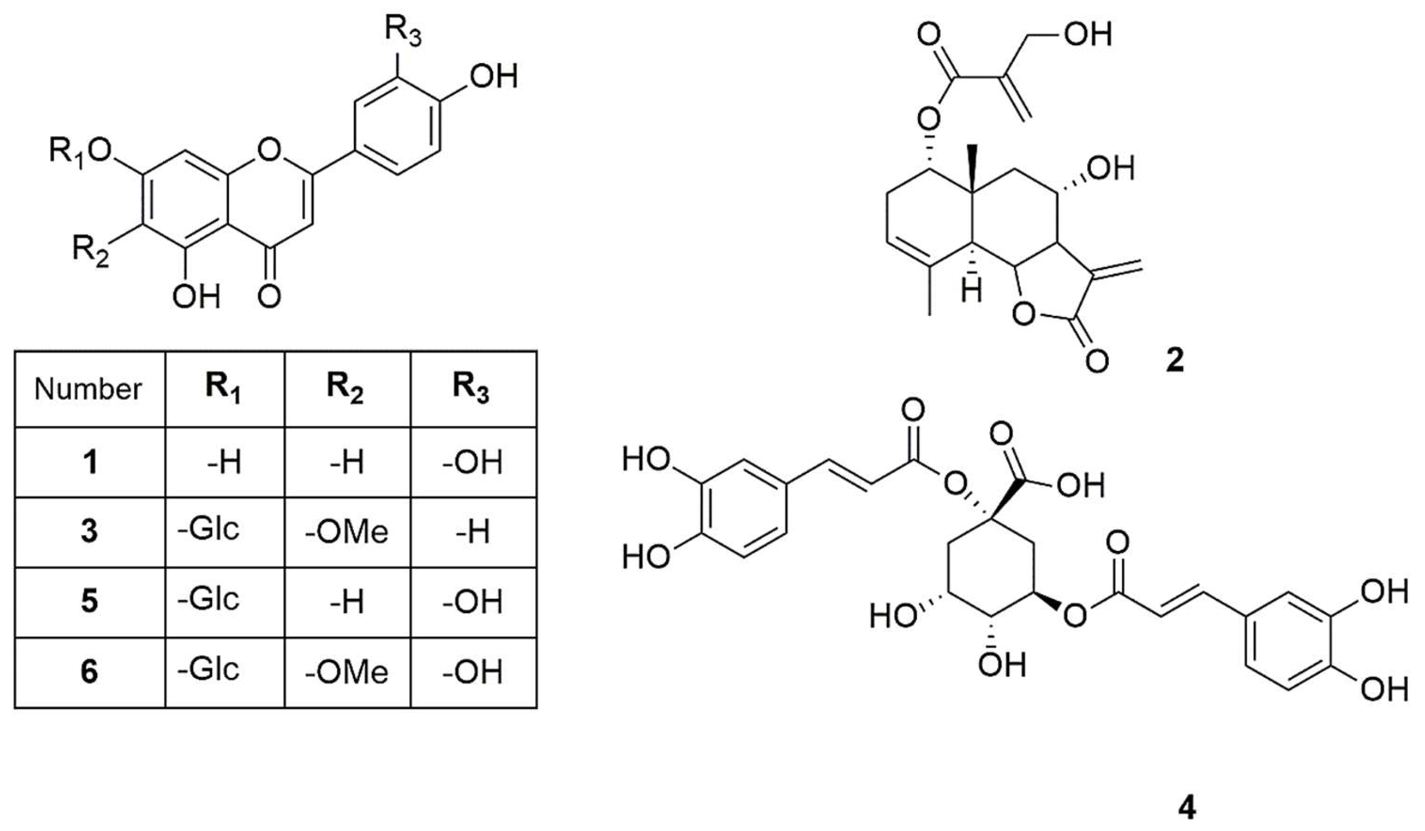
2.5. Structure Elucidation of the Pure Compounds
2.6. Acute Hypoglycemic Effect in the Fasting State
2.7. Acute Hypoglycemic Effect in the Postprandial State
3. Discussion
4. Materials and Methods
4.1. Ethnobotany and Plant Material
4.2. Experimental Techniques
4.3. Extraction
4.4. HPLC/DAD Profiles
4.5. HPLC Qualitative Analysis
4.6. Compounds Isolation
4.7. Computational Details for Theoretical Circular Dichroism
4.8. Experimental Animals
4.8.1. Acute Oral Toxicity Test
4.8.2. Induction of Hyperglycemia
4.8.3. Evaluation of Acute Hypoglycemic Effects
4.9. Statistics
5. Conclusions
Supplementary Materials
Author Contributions
Funding
Data Availability Statement
Acknowledgments
Conflicts of Interest
Abbreviations
| STZ | streptozotocin |
| NA | nicotinamide |
| T2D | type 2 diabetes |
| i.p. | intraperitoneally |
References
- IDF. I.D.F. Diabetes Facts & Figures; International Diabetes Federation: Amsterdam, The Netherlands, 2025. [Google Scholar]
- International Diabetes Federation. IDF Diabetes Atlas. Available online: https://www.diabetesatlas.org (accessed on 22 July 2025).
- Clements, J. (Ed.) The Pharmacist’s Pocket Guide for Diabetes and Obesity; Springer Nature: Cham, Switzerland, 2025; ISBN 978-3-031-88834-2. [Google Scholar]
- Torres-Vanda, M.; Gutiérrez-Aguilar, R. Mexican Plants Involved in Glucose Homeostasis and Body Weight Control: Systematic Review. Nutrients 2023, 15, 2070. [Google Scholar] [CrossRef]
- Guyton, A.C.; Hall, J.E. Textbook of Medical Physiology, 11th ed.; Elsevier: Philadelphia, PA, USA, 2006; ISBN 0-7216-0240-1. [Google Scholar]
- Jiménez-Estrada, M.; Huerta-Reyes, M.; Tavera-Hernández, R.; Alvarado-Sansininea, J.J.; Alvarez, A.B. Contributions from Mexican Flora for the Treatment of Diabetes Mellitus: Molecules of Psacalium decompositum (A. Gray) H. Rob & Brettell. Molecules 2021, 26, 2892. [Google Scholar] [CrossRef] [PubMed]
- Amuri, B.; Maseho, M.; Simbi, L.; Okusa, P.; Duez, P.; Byanga, K. Hypoglycemic and Antihyperglycemic Activities of Nine Medicinal Herbs Used as Antidiabetic in the Region of Lubumbashi (DR Congo). Phytother. Res. 2017, 31, 1029–1033. [Google Scholar] [CrossRef] [PubMed]
- Fagbohun, O.F.; Oriyomi, O.V.; Adekola, M.B.; Msagati, T.A.M. Biochemical Applications of Kigelia africana (Lam.) Benth. Fruit Extracts in Diabetes Mellitus. Comp. Clin. Path 2009, 29, 1251–1264. [Google Scholar] [CrossRef]
- Andrade-Cetto, A.; Heinrich, M. Mexican Plants with Hypoglycaemic Effect Used in the Treatment of Diabetes. J. Ethnopharmacol. 2005, 99, 325–348. [Google Scholar] [CrossRef]
- Strother, J.L. Systematic Botany Monographs. In Systematic Botany Monographs; American Society of Plant Taxonomists: St. Louis, MO, USA, 1991; Volume 33, pp. 22–23. [Google Scholar]
- Alelign, T.; Chalchisa, D.; Fekadu, N.; Solomon, D.; Sisay, T.; Debella, A.; Petros, B. Evaluation of Acute and Sub-Acute Toxicity of Selected Traditional Antiurolithiatic Medicinal Plant Extracts in Wistar Albino Rats. Toxicol. Rep. 2020, 7, 1356–1365. [Google Scholar] [CrossRef]
- Dhiman, A.; Builders, P.F. Herbal Medicine; Arts & Science Academic Publishing: Singapore, 2020. [Google Scholar]
- Lin, L.C.; Pai, Y.F.; Tsai, T.H. Isolation of Luteolin and Luteolin-7-O-Glucoside from Dendranthema morifolium Ramat Tzvel and Their Pharmacokinetics in Rats. J. Agric. Food Chem. 2015, 63, 7700–7706. [Google Scholar] [CrossRef]
- Samek, Z. The Determination of the Stereochemistry of Five-Membered α,β-Unsaturated Lactones with an Exomethylene Double Bond Based on the Allylic Long-Range Couplings of Exomethylene Protons. Tetrahedron Lett. 1970, 11, 671–676. [Google Scholar] [CrossRef]
- Bohlmann, F.; Singh, P.; Jakupovic, J.; King, R.M.; Robinson, H. Eudesmanolides from Dimerostemma brasilianum. Phytochemistry 1982, 21, 1343–1347. [Google Scholar] [CrossRef]
- Merfort, I.; Wendisch, D. Flavonoidglycoside aus Arnica montana und Arnica chamissonis. Planta Med. 1987, 53, 434–437. [Google Scholar] [CrossRef]
- Krishnaswamy, N.R.; Seshadri, T.R.; Tahir, P.J. Nepitrin, a New Flavone Glycoside from Nepeto Hindostana, and Revision of the Structure of Pedallin. Ind. J. Chem. 1968, 6, 676–677. [Google Scholar]
- Dong, G.C.; Chuang, P.H.; Forrest, M.D.; Lin, Y.C.; Chen, H.M. Immuno-Suppressive Effect of Blocking the CD28 Signaling Pathway in T-Cells by an Active Component of Echinacea Found by a Novel Pharmaceutical Screening Method. J. Med. Chem. 2006, 49, 1845–1854. [Google Scholar] [CrossRef]
- Akah, P.A.; Okolo, C.E.; Uzodinma, S.U. Antidiabetic Activity of Aqueous and Methanol Extract and Fractions of Gongronema latifolium (Asclepidaceae) Leaves in Alloxan Diabetic Rats. J. Appl. Pharm. Sci. 2011, 01, 99–102. [Google Scholar]
- Szkudelski, T. Streptozotocin-Nicotinamide-Induced Diabetes in the Rat. Characteristics of the Experimental Model. Exp. Biol. Med. 2012, 237, 481–490. [Google Scholar] [CrossRef] [PubMed]
- Mata-Torres, G.; Andrade-Cetto, A.; Espinoza-Hernández, F.A.; Cárdenas-Vázquez, R. Hepatic Glucose Output Inhibition by Mexican Plants Used in the Treatment of Type 2 Diabetes. Front. Pharmacol. 2020, 11, 494552. [Google Scholar] [CrossRef] [PubMed]
- Charalambous, G. Spices, Herbs and Edible Fungi, 1st ed.; Elsavier: Amsterdam, The Netherlands, 1994; Volume 34. [Google Scholar]
- Junio, H.A.; Sy-Cordero, A.A.; Ettefagh, K.A.; Burns, J.T.; Micko, K.T.; Graf, T.N.; Richter, S.J.; Cannon, R.E.; Oberlies, N.H.; Cech, N.B. Synergy-Directed Fractionation of Botanical Medicines: A Case Study with Goldenseal (Hydrastis canadensis). J. Nat. Prod. 2011, 74, 1621–1629. [Google Scholar] [CrossRef] [PubMed]
- Caesar, L.K.; Cech, N.B.; Kubanek, J.; Linington, R.; Luesch, H. Synergy and Antagonism in Natural Product Extracts: When 1 + 1 Does Not Equal 2. Nat. Prod. Rep. 2019, 36, 869–888. [Google Scholar] [CrossRef]
- Stoev, G.; Stoyanov, A. Comparison of the Reliability of the Identification with Diode Array Detector and Mass Spectrometry. J. Chromatogr. A 2007, 1150, 302–311. [Google Scholar] [CrossRef]
- Salvamani, S.; Gunasekaran, B.; Shaharuddin, N.A.; Ahmad, S.A.; Shukor, M.Y. Antiartherosclerotic Effects of Plant Flavonoids. Biomed. Res. Int. 2014, 2014, 480258. [Google Scholar] [CrossRef]
- Sok Yen, F.; Shu Qin, C.; Tan Shi Xuan, S.; Jia Ying, P.; Yi Le, H.; Darmarajan, T.; Gunasekaran, B.; Salvamani, S. Hypoglycemic Effects of Plant Flavonoids: A Review. Evid. Based Complement. Alternat. Med. 2021, 2021, 2057333. [Google Scholar] [CrossRef]
- Hlila, M.B.; Majouli, K.; Jannet, H.B.; Mastouri, M.; Aouni, M.; Selmi, B. Antioxidant and Anti α-Glucosidase of Luteolin and Luteolin 7-O-Glucoside Isolated from Scabiosa arenaria Forssk. J. Coast. Life Med. 2017, 5, 317–320. [Google Scholar] [CrossRef]
- Park, M.S.; Zhu, Y.X.; Pae, H.O.; Park, S.H. In Vitro and In Vivo α-Glucosidase and α-Amylase Inhibitory Effects of the Water Extract of Leaves of Pepper (Capcicum annuum L. Cultivar Dangjo) and the Active Constituent Luteolin 7-O-Glucoside. J. Food Biochem. 2016, 40, 696–703. [Google Scholar] [CrossRef]
- Azevedo, M.F.; Camsari, Ç.; Sá, C.M.; Lima, C.F.; Fernandes-Ferreira, M.; Pereira-Wilson, C. Ursolic Acid and Luteolin-7-Glucoside Improve Lipid Profiles and Increase Liver Glycogen Content through Glycogen Synthase Kinase-3. Phytother. Res. 2010, 24 (Suppl. S2), S220–S224. [Google Scholar] [CrossRef] [PubMed]
- Wu, L.; Niu, Y.; Liu, F.; Tian, J.; Ma, Z.; Yang, J.; Guo, X.; Sun, Y. Flavonoids of Mao Jian Green Tea Ameliorate Glycemic Metabolism in Type-2-Diabetic Rats via AMPK Signaling Pathways and Gut Microbiota Regulation. Foods 2025, 14, 2402. [Google Scholar] [CrossRef] [PubMed]
- Devi, S.; Rangra, N.K.; Rawat, R.; Alrobaian, M.M.; Alam, A.; Singh, R.; Singh, A. Anti-Atherogenic Effect of Nepitrin-7-O-Glucoside: A Flavonoid Isolated from Nepeta hindostana via Acting on PPAR—α Receptor. Steroids 2021, 165, 108770. [Google Scholar] [CrossRef] [PubMed]
- Li, J.; Guo, X.; Luo, Z.; Wu, D.; Shi, X.; Xu, L.; Zhang, Q.; Xie, C.; Yang, C. Chemical Constituents from the Flowers of Inula japonica and Their Anti-Inflammatory Activity. J. Ethnopharmacol. 2024, 318, 117052. [Google Scholar] [CrossRef]
- Al-Ghoul, A.M.; Abdelhalim, A.R. Effects of Hesperidin and Nepitrin (Salvia rosmarinus) on the Response of GABAA Receptors Expressed in Xenopus Oocytes and Their Neuropharmacological Activities. South Asian Res. J. Nat. Prod. 2024, 7, 169–176. [Google Scholar]
- Liang, Y.Y.; Wan, X.H.; Niu, F.J.; Xie, S.M.; Guo, H.; Yang, Y.Y.; Guo, L.Y.; Zhou, C.Z. Salvia plebeia R. Br.: An Overview about Its Traditional Uses, Chemical Constituents, Pharmacology and Modern Applications. Biomed. Pharmacother. 2020, 121, 109589. [Google Scholar] [CrossRef]
- Meng, N.; Chen, K.; Wang, Y.; Hou, J.; Chu, W.; Xie, S.; Yang, F.; Sun, C. Dihydrohomoplantagin and Homoplantaginin, Major Flavonoid Glycosides from Salvia plebeia R. Br. Inhibit OxLDL-Induced Endothelial Cell Injury and Restrict Atherosclerosis via Activating Nrf2 Anti-Oxidation Signal Pathway. Molecules 2022, 27, 1990. [Google Scholar] [CrossRef]
- He, B.; Zhang, B.; Wu, F.; Wang, L.; Shi, X.; Qin, W.; Lin, Y.; Ma, S.; Liang, J. Homoplantaginin Inhibits Palmitic Acid-Induced Endothelial Cells Inflammation by Suppressing TLR4 and NLRP3 Inflammasome. J. Cardiovasc. Pharmacol. 2016, 67, 93–101. [Google Scholar] [CrossRef]
- Fan, L.; Zhang, X.; Huang, Y.; Zhang, B.; Li, W.; Shi, Q.; Lin, Y.; Wu, F. Homoplantaginin Attenuates High Glucose-Induced Vascular Endothelial Cell Apoptosis through Promoting Autophagy via the AMPK/TFEB Pathway. Phytother. Res. 2023, 37, 3025–3041. [Google Scholar] [CrossRef]
- Lankatillake, C.; Huynh, T.; Dias, D.A. Abrus Precatorius Leaf Extract Stimulates Insulin-Mediated Muscle Glucose Uptake: In Vitro Studies and Phytochemical Analysis. Planta Med. 2024, 90, 388–396. [Google Scholar] [CrossRef] [PubMed]
- Sarawek, S.; Derendorf, H.; Butterweck, V. Pharmacokinetics of Luteolin and Metabolites in Rats. Nat. Prod. Commun. 2008, 3, 2029–2036. [Google Scholar] [CrossRef]
- Shimoi, K.; Okada, H.; Furugori, M.; Goda, T.; Takase, S.; Suzuki, M.; Hara, Y.; Yamamoto, H.; Kinae, N. Intestinal Absorption of Luteolin and Luteolin 7-O-β-Glucoside in Rats and Humans. FEBS Lett. 1998, 438, 220–224. [Google Scholar] [CrossRef] [PubMed]
- Cong, Y.; Wu, S.; Han, J.; Chen, J.; Liu, H.; Sun, Q.; Wu, Y.; Fang, Y. Pharmacokinetics of Homoplantaginin in Rats Following Intravenous, Peritoneal Injection and Oral Administration. J. Pharm. Biomed. Anal. 2016, 129, 405–409. [Google Scholar] [CrossRef]
- Moujir, L.; Callies, O.; Sousa, P.M.C.; Sharopov, F.; Seca, A.M.L. Applications of Sesquiterpene Lactones: A Review of Some Potential Success Cases. Appl. Sci. 2020, 10, 3001. [Google Scholar] [CrossRef]
- Chaturvedi, D.; Dwivedi, P.K. Recent Developments on the Antidiabetic Sesquiterpene Lactones and Their Semisynthetic Analogues. In Discovery and Development of Antidiabetic Agents from Natural Products; Elsevier: Amsterdam, The Netherlands, 2017; pp. 185–207. [Google Scholar] [CrossRef]
- Chen, Y.; Geng, S.; Liu, B. Three Common Caffeoylquinic Acids as Potential Hypoglycemic Nutraceuticals: Evaluation of α-Glucosidase Inhibitory Activity and Glucose Consumption in HepG2 Cells. J. Food Biochem. 2020, 44, e13361. [Google Scholar] [CrossRef]
- Deng, A.; Wang, Y.; Huang, K.; Xie, P.; Mo, P.; Liu, F.; Chen, J.; Chen, K.; Wang, Y.; Xiao, B. Artichoke (Cynara scolymus L.) Water Extract Alleviates Palmitate-Induced Insulin Resistance in HepG2 Hepatocytes via the Activation of IRS1/PI3K/AKT/FoxO1 and GSK-3β Signaling Pathway. BMC Complement. Med. Ther. 2023, 23, 460. [Google Scholar] [CrossRef]
- Nazni, P.; Poongodi Vijayakumar, T.; Alagianambi, P.; Amirthaveni, M. Hypoglycemic and Hypolipidemic Effect of Cynara scolymus among Selected Type 2 Diabetic Individuals. Pakistan J. Nutr. 2006, 5, 147–151. [Google Scholar] [CrossRef]
- ISE Code of Ethics; The International Society of Ethnobiology: Bristol, VT, USA, 2006.
- Agilent Technologies Agilent OpenLAB CDS Data Analysis Reference Guide; Agilent Technologies, Inc.: Waldbronn, Germany, 2016.
- Bruhn, T.; Schaumlöffel, A.; Hemberger, Y.; Bringmann, G. SpecDis: Quantifying the Comparison of Calculated and Experimental Electronic Circular Dichroism Spectra. Chirality 2013, 25, 243–249. [Google Scholar] [CrossRef]
- National Research Council Guide for the Care and Use of Laboratory Animals. Guide for the Care and Use of Laboratory Animals; The National Academies Press: Washington, DC, USA, 2011. [Google Scholar] [CrossRef]
- OECD Test, No. 425: Acute Oral Toxicity: Up-and-Down Procedure. Available online: https://www.oecd.org/en/publications/2022/06/test-no-425-acute-oral-toxicity-up-and-down-procedure_g1gh2953.html (accessed on 30 November 2024).
- Andrade-Cetto, A.; Medina-Hernández, A.E. Hypoglycemic Effect of Bromelia plumieri (E. Morren) L.B. Sm., Leaves in STZ-NA-Induced Diabetic Rats. Front. Pharmacol. 2013, 4, 46506. [Google Scholar] [CrossRef]
- Masiello, P.; Broca, C.; Gross, R.; Roye, M.; Manteghetti, M.; Hillaire-Buys, D.; Novelli, M.; Ribes, G. Experimental NIDDM: Development of a New Model in Adult Rats Administered Streptozotocin and Nicotinamide. Diabetes 1998, 47, 224–229. [Google Scholar] [CrossRef]
- Tahsin, M.R.; Tithi, T.I.; Mim, S.R.; Haque, E.; Sultana, A.; Bahar, N.B.; Ahmed, R.; Chowdhury, J.A.; Chowdhury, A.A.; Kabir, S.; et al. In Vivo and In Silico Assessment of Diabetes Ameliorating Potentiality and Safety Profile of Gynura Procumbens Leaves. Evid. Based Complement. Alternat Med. 2022, 2022, 9095504. [Google Scholar] [CrossRef]




| Position | δH (1) | δH (3) | δC (3) |
|---|---|---|---|
| 2 | - | - | 167.5 |
| 3 | 6.51, s | 6.62, s | 102.8 |
| 4 | - | - | 184.2 |
| 5 | - | - | 157.9 |
| 6 | 6.17, d (2.16) | - | 134.3 |
| 7 | - | - | 154.3 |
| 8 | 6.40, d (2.13) | 6.96, s | 95.8 |
| 9 | - | - | 158.0 |
| 10 | - | - | 107.4 |
| 1′ | - | - | 121.1 |
| 2′ | 7.38, d (2.0) | 7.86, d (8.7) | 128.2 |
| 3′ | - | 6.86, d (8.8) | 118.1 |
| 4′ | - | - | 165.8 |
| 5′ | 6.89, d (9.1) | 6.86, d (8.8) | 118.1 |
| 6′ | 7.37, m | 7.86, d (8.7) | 128.2 |
| 1″ | - | 5.13, d (7.35) | 102.0 |
| 2″ | - | 3.53, m | 77.8 |
| 3″ | - | 3.56, m | 71.2 |
| 4″ | - | 3.59, m | 74.7 |
| 5″ | - | 3.56, m | 73.8 |
| 6″ | - | 3.95, dd (12.13, 2.09) 3.72, dd (12.18, 6.0) | 62.5 |
| OHC3 | - | 3.89, s | 61.5 |
| Position | δH | δC | HMBC | NOESY |
|---|---|---|---|---|
| 1 | 4.76, d (4.62) | 74.9 | C-1′, C-3, C-5 | H-2α H-2 β, H-9β, H-14 |
| 2 | α 2.14, m β 2.45, m | 28.9 | C-1, C-4 | α: H-1, H-2α, H-3 β:H-1, H-2α, H-3, H-9, H-14 |
| 3 | 5.32, br s | 119.4 | C-15 | H-2α and β, H-15 |
| 4 | - | 132.9 | - | - |
| 5 | 2.73, d (11.93) | 44.9 | C-6, C-4 | H-7, H-15, H-9α |
| 6 | 3.97, dd (11.69, 10.74) | 79.1 | C-4, C-8, C-11, C-14 | H-8, H-14, H-15 |
| 7 | 2.56, tt (10.60, 3.10) | 56.8 | C-5, C-6, C-11 | H-5, H-9α |
| 8 | 4.15, td (10.42, 4.50) | 67.1 | C-6, C-7, C-11 | H-9β, H-13β, H-14 |
| 9 | α 1.62, m β 1.74, dd (12.68, 4.56) | 44.5 | C-1, C-5, C-7, C-8, C-14 | α: H-7, H-5, H-9β β: H-8, H-9α H-14 |
| 10 | - | 39.4 | - | - |
| 11 | - | 137.0 | - | - |
| 12 | - | 170.5 | - | - |
| 13 | α 6.16, d (3.38) β 5.97, d (3.00) | 120.2 | C-7, C-11, C-12 | a:H-13b b:H-8, H-13a |
| 14 | 0.96, s | 18.5 | C-1, C-10, C-9 | H-1, H-2β, H-6, H-8, H-9β, H-15 |
| 15 | 1.90, t (1.93) | 23.8 | C-3, C-4, C-5 | H-3, H-6, H-14 |
| 1′ | - | 165.9 | - | - |
| 2′ | - | 139.6 | - | - |
| 3′ | 4.33, br s | 62.5 | C-1′, C-2′, C-4′ | H-4′ |
| 4′ | α 6.24, d (1.14) β 5.86, d (1.31) | 126.5 | C-1′, C-2′, C-3′ | H-3′ |
| Position | δH | δC |
|---|---|---|
| 1 | - | 82.6 |
| 2 | 2.33 α, dd (16.48, 2.87)/3.05 β, dt (16.37, 2.60) | 30.7 |
| 3 | 5.27, m | 73.3 |
| 4 | 3.80, dd (9.88, 3.62) | 73.6 |
| 5 | 4.38, td (11.14, 4.56) | 66.9 |
| 6 | 1.79 α, dd (13.58, 11.42)/2.46b, dt (13.25, 3.65) | 40.8 |
| 7 | - | 177.5 |
| 1′, 1″ | - | 126.6, 126.8 |
| 2′, 2″ | 6.75 d (1.95) | 114.6, 114.7 |
| 3′,3″ | - | 143.8 |
| 4′, 4″ | - | 146.8 |
| 5′, 5″ | 6.61, d (8.44); 6.68 d (8.18) | 115.6, 115.7 |
| 6′, 6″ | 6.79 d (7.50) | 122.5 |
| 7′, 7″ | 7.45 d (15.98); 7.33 d (16.00) | 146.8, 146.3 |
| 8′, 8″ | 6.16 d (15.97); 6.27 d (15.97) | 114.3, 115.1 |
| 9′, 9″ | - | 169.1, 168.43 |
| Treatments | Dose (mg/kg) | Blood Glucose Levels (mg/dL) | ||||
|---|---|---|---|---|---|---|
| 0 min | 30 min | 60 min | 90 min | 120 min | ||
| N | n/a | 101 ± 1.5 b (100%) | 101 ± 2 b (100%) | 98 ± 0.7 b (97%) | 100 ± 0.8 b (99%) | 99 ± 1.6 b (98%) |
| H | n/a | 313 ± 13 (100%) | 319 ± 12 (102%) | 303 ± 10 (97%) | 308 ± 13 (98%) | 298 ± 13 (95%) |
| H + Gli | 5 | 307 ± 5 (100%) | 284 ± 7 * (93%) | 229 ± 13 b,* (75%) | 176 ± 12 b,* (57%) | 151 ± 10 b,* (49%) |
| H + AE | 364 | 303 ± 6 (100%) | 298 ± 8 (98%) | 252 ± 9 b,* (83%) | 236 ± 12 b,* (78%) | 203 ± 11 b,* (67%) |
| H + EWE | 348 | 314 ± 11 (100%) | 295 ± 12 * (94%) | 260 ± 14 * (83%) | 240 ± 13 b,* (76%) | 212 ± 12 b,* (68%) |
| H + compound 2 | 0.58 | 339 ± 4 (100%) | 296 ± 16 (87%) | 295 ± 7 (87%) | 246 ± 10 b,* (73%) | 197 ± 11 b,* (58%) |
| H + compound 3 | 0.27 | 329 ± 12 (100%) | 298 ± 11 * (91%) | 254 ± 9 * (77%) | 217 ± 8 b,* (66%) | 198 ± 8 b,* (60%) |
| H + compound 4 | 1.7 | 329 ± 15 (100%) | 296 ± 14 (90%) | 257 ± 8 * (78%) | 221 ± 4 b,* (67%) | 207 ± 4 b,* (63%) |
| Treatments | Dose (mg/kg) | Blood Glucose Levels (mg/dL) | ||||
|---|---|---|---|---|---|---|
| 0 min | 30 min | 60 min | 90 min | 120 min | ||
| N | n/a | 109 ± 5 b (100%) | 167 ± 3 b,* (153%) | 142 ± 8 b,* (130%) | 120 ± 5 b (110%) | 111 ± 3 b (102%) |
| H | n/a | 298 ± 8 (100%) | 521 ± 8 * (175%) | 531 ± 12 * (178%) | 416 ± 15 * (140%) | 406 ± 11 * (136%) |
| H + Rep | 1 | 312 ± 9 (100%) | 350 ± 7 b,* (112%) | 310 ± 11 b (99%) | 260 ± 17 b,* (83%) | 220 ± 21 b,* (71%) |
| H + AE | 364 | 324 ± 15 (100%) | 456 ± 14 * (141%) | 416 ± 16 b,* (128%) | 366 ± 9 * (113%) | 339 ± 8 (105%) |
| H + EWE | 348 | 339 ± 8 (100%) | 436 ± 14 b,* (129%) | 391 ± 13 b (115%) | 366 ± 13 (108%) | 342 ± 11 b (101%) |
| H + compound 2 | 0.58 | 348 ± 5 (100%) | 462 ± 8 b,* (133%) | 430 ± 11 b,* (124%) | 391 ± 10 * (112%) | 354 ± 5 b (102%) |
| H + compound 3 | 0.27 | 338 ± 16 (100%) | 441 ± 20 * (130%) | 411 ± 9 b,* (122%) | 369 ± 14 * (109%) | 332 ± 17 (98%) |
| H + compound 4 | 1.7 | 325 ± 15 (100%) | 452 ± 9 b,* (139%) | 423 ± 4 b,* (130%) | 398 ± 5 (122%) | 375 ± 9 (115%) |
Disclaimer/Publisher’s Note: The statements, opinions and data contained in all publications are solely those of the individual author(s) and contributor(s) and not of MDPI and/or the editor(s). MDPI and/or the editor(s) disclaim responsibility for any injury to people or property resulting from any ideas, methods, instructions or products referred to in the content. |
© 2025 by the authors. Licensee MDPI, Basel, Switzerland. This article is an open access article distributed under the terms and conditions of the Creative Commons Attribution (CC BY) license (https://creativecommons.org/licenses/by/4.0/).
Share and Cite
Safavi, F.; Escandón-Rivera, S.M.; Andrade-Cetto, A.; Rosas-Ramírez, D. Phytochemical Composition and Acute Hypoglycemic Effect of Jefea lantanifolia (S. Schauer) Strother in Rats. Plants 2025, 14, 3054. https://doi.org/10.3390/plants14193054
Safavi F, Escandón-Rivera SM, Andrade-Cetto A, Rosas-Ramírez D. Phytochemical Composition and Acute Hypoglycemic Effect of Jefea lantanifolia (S. Schauer) Strother in Rats. Plants. 2025; 14(19):3054. https://doi.org/10.3390/plants14193054
Chicago/Turabian StyleSafavi, Fereshteh, Sonia M. Escandón-Rivera, Adolfo Andrade-Cetto, and Daniel Rosas-Ramírez. 2025. "Phytochemical Composition and Acute Hypoglycemic Effect of Jefea lantanifolia (S. Schauer) Strother in Rats" Plants 14, no. 19: 3054. https://doi.org/10.3390/plants14193054
APA StyleSafavi, F., Escandón-Rivera, S. M., Andrade-Cetto, A., & Rosas-Ramírez, D. (2025). Phytochemical Composition and Acute Hypoglycemic Effect of Jefea lantanifolia (S. Schauer) Strother in Rats. Plants, 14(19), 3054. https://doi.org/10.3390/plants14193054

