Bioactive Chalcones from Aizoon africanum: Isolation and Cytotoxicity Against Liver and Neural Cancer Cells
Abstract
1. Introduction
2. Results
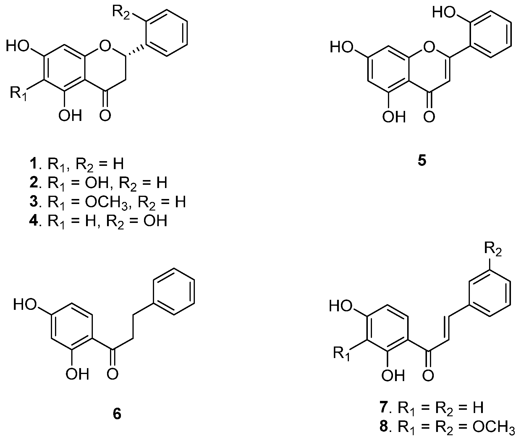
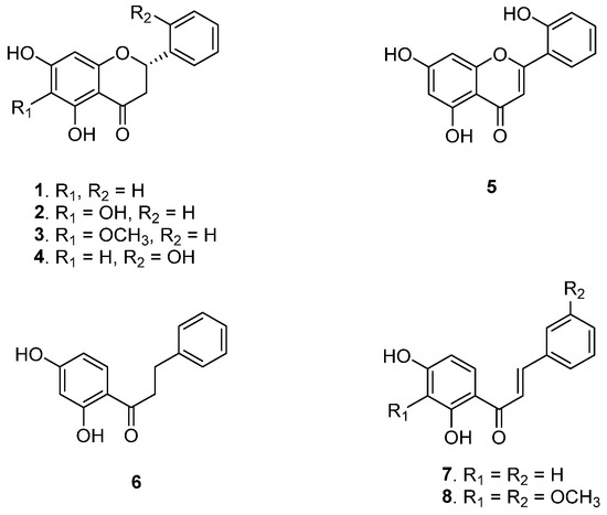
2.1. Chemical Study of a Methanolic Extract of A. africanum
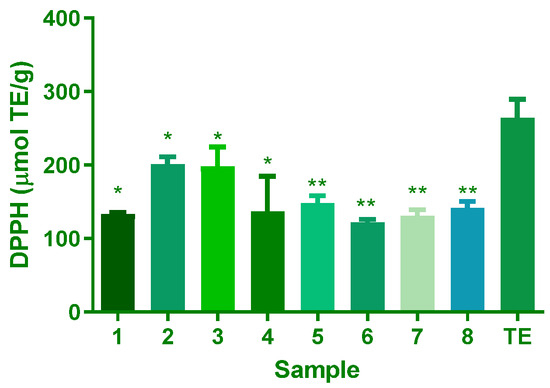
2.2. Antioxidant Activities
2.3. Comparison of Inhibitory Activities of A. africanum Phytoconstituents on Cell Proliferation of HepG2 and SH-SY5Y
2.4. Compound 7 Induced Apoptosis by Activation of Caspase-Dependent Pathways
2.5. Compound 8 Induced Necrosis as a Cell Death Mechanism
2.6. Toxicological Profile
2.7. Physiological, Pharmacokinetic, Drug-Likeness and Lead-Likeness Properties
3. Discussion
4. Materials and Methods
4.1. General
4.2. Extraction and Isolation
4.3. Antioxidant Capacity Testing
4.3.1. Ferric Reducing Antioxidant Capacity (FRAP)
4.3.2. Azinobis (3-Ethylbenzothiazoline-6-Sulfonate) (ABTS) Assay
4.3.3. DPPH
4.3.4. Cell Culture
Cell Viability Assay
ATP Quantification
Cell Death Biomarkers
4.3.5. Toxicology Profiling
4.3.6. Drug-likeness and ADME Properties
4.4. Statistical Analyses
5. Conclusions
Supplementary Materials
Author Contributions
Funding
Data Availability Statement
Acknowledgments
Conflicts of Interest
References
- World Flora Online. World Flora Online. Version 2024.05. 2024. Available online: http://www.worldfloraonline.org (accessed on 1 August 2025). [CrossRef]
- Mohamed, L.; Chakraborty, S.; ArulJothi, K.N.; Mbasa, L.; Sayah, K.; Costa-Lotufo, L.V.; Jardine, A.; Prince, S. Galenia africana plant extract exhibits cytotoxicity in breast cancer cells by inducing multiple programmed cell death pathways. Saudi Pharm. J. 2020, 28, 1155–1165. [Google Scholar] [CrossRef]
- Mabona, U.; Vuuren, S.V. Southern African medicinal plants used to treat skin diseases. S. Afr. J. Bot. 2013, 87, 175–193. [Google Scholar] [CrossRef]
- Ticha, L.A.; Klaasen, J.A.; Green, I.R.; Naidoo, S.; Baker, B.; Pietersen, R.-D. Phytochemical and Antimicrobial Screening of Flavanones and Chalcones from Galenia africana and Dicerothamnus rhinocerotis. Nat. Prod. Commun. 2015, 10, 1185–1190. [Google Scholar] [CrossRef] [PubMed]
- Lugt, J.J.V.; Schultz, R.A.; Fourie, N.; Hon, L.J.; Jordaan, P.; Labuschagne, L. Galenia africana L. poisoning in sheep and goats: Hepatic and cardiac changes. Onderstepoort J. Vet. Res. 1992, 59, 323–333. [Google Scholar]
- Riet-Correa, F.; Carvalho, K.; Riet-Correa, G.; Barros, S.; Simões, S.; Soares, M.; Medeiros, R. Periacinar liver fibrosis caused by Tephrosia cinerea in sheep. Res. Vet. Sci. 2013, 95, 200–203. [Google Scholar] [CrossRef]
- Elmore, S. Apoptosis: A Review of Programmed Cell Death. Toxicol. Pathol. 2007, 35, 495–516. [Google Scholar] [CrossRef]
- Ndlovu, B.; Kock, M.D.; Klaasen, J.; Rahiman, F. In Vitro Comparison of the Anti-Proliferative Effects of Galenia africana on Human Skin Cell Lines. Sci. Pharm. 2021, 89, 12. [Google Scholar] [CrossRef]
- Mativandlela, S.P.N.; Muthivhi, T.; Kikuchi, H.; Oshima, Y.; Hamilton, C.; Hussein, A.A.; Walt, M.L.V.D.; Houghton, P.J.; Lall, N. Antimycobacterial Flavonoids from the Leaf Extract of Galenia africana. Nat. Prod. 2009, 72, 2169–2171. [Google Scholar] [CrossRef]
- Heredia, D.; Green, I.; Klaasen, J.; Rahiman, F. Importance and Relevance of Phytochemicals Present in Galenia africana. Scientifica 2022, 2022, 5793436. [Google Scholar] [CrossRef]
- Jimoh, M.O.; JideAfolayan, A.; Lewu, F.B. Antioxidant and phytochemical activities of Amaranthus caudatus L. harvested from diferent soils at various growth stages. Sci. Rep. 2019, 9, 12965. [Google Scholar] [CrossRef] [PubMed]
- Vries, F.; Bitar, H.E.; Green, I.; Klaasen, J.; Mabusela, W.; Bodo, B.; Johnson, Q. An antifungal active extract from the aerial parts of Galenia africana. In Proceedings of the 11th NAPRECA Symposium Book of Proceedings, Antananarivo, Madagascar; 2005. [Google Scholar]
- Du, K.; Mieri, M.D.; Saxena, P.; Phungula, K.V.; Wilhelm, A.; Hrubaru, M.M.; Rensburg, E.V.; Zietsman, P.C.; Hering, S.; Westhuizen, J.H.V.D.; et al. HPLC-Based Activity Profiling for hERG Channel Inhibitors in the South African Medicinal Plant Galenia africana. Planta Med. 2015, 81, 1154–1162. [Google Scholar] [CrossRef]
- Mativandlela, S.P.N.; Meyer, J.J.M.; Hussein, A.A.; Houghton, P.J.; Hamilton, C.J.; Lall, N. Activity against Mycobacterium smegmatis andM. tuberculosis by Extract of South AfricanMedicinal Plants. Phytother. Res. 2008, 22, 841–845. [Google Scholar] [CrossRef]
- Miyaichi, Y.; Hanamitsu, E.; Kizu, H.; Tomimori, T. Studies on the Constituents of Scutellaria Species (XXII). Constituents of the Roots of Scutellaria amabilis H ARA. Chem. Pharm. Bull. 2006, 54, 435–441. [Google Scholar] [CrossRef] [PubMed]
- Choi, Y.O.; Song, H.H.; Kim, Y.M.; Kang, N.S.; Han, S.Y.; Chin, Y.W. c-Met and ALK Inhibitory Constituents fromScutellaria baicalensis. Bull. Korean Chem. Soc. 2015, 36, 402–405. [Google Scholar] [CrossRef]
- Jadalla, B.M.I.S.; Moser, J.J.; Sharma, R.; Etsassala, N.G.E.R.; Egieyeh, S.A.; Badmus, J.A.; Marnewick, J.L.; Beukes, D.; Cupido, C.N.; Hussein, A.A. In Vitro Alpha-Glucosidase and Alpha-Amylase Inhibitory Activities and Antioxidant Capacity of Helichrysum cymosum and Helichrysum pandurifolium Schrank Constituents. Separations 2022, 9, 190. [Google Scholar] [CrossRef]
- Re, R.; Pellegrini, N.; Proteggente, A.; Pannala, A.; Yang, M.; Rice-Evans, C. Antioxidant Activity Applying an Improved Abts Radical Cation Decolorization Assay. Free Radic. Biol. Med. 1999, 26, 1231–1237. [Google Scholar] [CrossRef]
- Arzumanian, V.A.; Kiseleva, O.I.; Poverennaya, E.V. The Curious Case of the HepG2 Cell Line: 40 Years of Expertise. Int. J. Mol. Sci. 2021, 22, 13135. [Google Scholar] [CrossRef] [PubMed]
- Zhao, X.-Y.; Lu, M.-H.; Yuan, D.-J.; Xu, D.-E.; Yao, P.-P.; Ji, W.-L.; Chen, H.; Liu, W.-L.; Yan, C.-X.; Xia, Y.-Y.; et al. Mitochondrial dysfunction in neural injury. Front. Neurosci. 2019, 17, 30. [Google Scholar] [CrossRef]
- Mihajlovic, M.; Vinken, M. Mitochondria as the target of hepatotoxicity and drug-induced liver injury: Molecular mechanisms and detection methods. Int. J. Mol. Sci. 2022, 23, 3315. [Google Scholar] [CrossRef] [PubMed]
- Ehrenpreis, E.D.; Ehrenpreis, S. Cytochrome P450: Role in drug-induced hepatotoxicity. Clin. Liver Dis. 1998, 2, 457–470. [Google Scholar] [CrossRef]
- Benzie, I.F.; Strain, J.J. The ferric reducing ability of plasma (FRAP) as a measure of antioxidant power: The FRAP assay. Anal. Biochem. 1996, 239, 70–76. [Google Scholar] [CrossRef]
- Lipinski, C.A.; Lombardo, F.; Dominy, B.W.; Feeney, P.J. Experimental and computational approaches to estimate solubility and permeability in drug discovery and development settings. Adv. Drug Deliv. Rev. 1997, 23, 3–25. [Google Scholar] [CrossRef]
- Constantinescu, T.; Lungu, C.N. Anticancer activity of natural and synthetic chalcones. Int. J. Mol. Sci. 2021, 22, 11306. [Google Scholar] [CrossRef] [PubMed]
- Banerjee, P.; Kemmler, E.; Dunkel, M.; Preissner, R. ProTox 3.0: A webserver for the prediction of toxicity of chemicals. Nucleic Acids Res. 2024, 52, w513–w520. [Google Scholar] [CrossRef] [PubMed]
- Daina, A.; Michielin, O.; Zoete, V. SwissADME: A free web tool to evaluate pharmacokinetics, drug-likeness and medicinal chemistry friendliness of small molecules. Sci. Rep. 2017, 7, 42717. [Google Scholar] [CrossRef] [PubMed]
- Stander, M.A.; Van Wyk, B.-E.; Taylor, M.J.; Long, H.S. Analysis of phenolic compounds in rooibos tea (Aspalathus linearis) with a comparison of flavonoid-based compounds in natural populations of plants from different regions. J. Agric. Food Chem. 2017, 65, 10270–10281. [Google Scholar] [CrossRef]










| Position | δC | δH, multi, J(Hz) |
|---|---|---|
| 1 | 136.4 | - |
| 2 | 113.8 | 7.50 (br s) |
| 3 | 160.1 | - |
| 4 | 117.8 | 7.00 (br d, 8.0) |
| 5 | 130.4 | 7.37 (br t, 8.0) |
| 6 | 122.4 | 7.44 (br d, 8.0) |
| 1′ | 114.0 | - |
| 2′ | 159.0 | - |
| 3′ | 135.2 | - |
| 4′ | 158.4 | - |
| 5′ | 108.7 | 6.51 (d, 8.0) |
| 6′ | 127.8 | 8.01(d, 8.0) |
| C=O | 192.4 | - |
| α | 121.9 | 7.97 (d, 15.6) |
| β | 144.2 | 7.87 (d, 15.6) |
| 3′-OCH3 | 60.2 | 3.74 (s) |
| 3-OCH3 | 55.8 | 3.83 (s) |
| 2′-OH | - | 13.55 (s) |
| 4′-OH | - | 8.02 (s) |
| Sample/ Comp. | IC50 (µg/mL) | |
|---|---|---|
| HepG2 | SH-SY5Y | |
| 1 | NA | 71.36 |
| 2 | 52.9 | 265.7 |
| 3 | 166.7 | 172.7 |
| 4 | 94.9 | 228.5 |
| 5 | 38.6 | 115.5 |
| 6 | 63.27 | 99.2 |
| 7 | 3.0 | 47.5 |
| 8 | 24.14 | 19.45 |
| TE | 131.3 | 394.1 |
| Compounds | Predicted LD50 (mg/kg) | Hepatoxicity (Probability) | Neurotoxicity (Probability) | BBB-Toxicity (Probability) | Mitochondrial Membrane Potential (Probability) |
|---|---|---|---|---|---|
| 1 | 3919 | Inactive (0.68) | Inactive (0.86) | Active (0.61) | active (1.0) |
| 2 | 3919 | Inactive (0.68) | Inactive (0.86) | Active (0.61) | active (1.0) |
| 3 | 4000 | Inactive (0.68) | Inactive (0.86) | Active (0.61) | active (1.0) |
| 4 | 2000 | Inactive (0.68) | Inactive (0.86) | Active (0.61) | active (1.0) |
| 5 | 2000 | Inactive (0.68) | Inactive (0.86) | Active (0.61) | active (1.0) |
| 6 | 500 | Inactive (0.61) | Inactive (0.77) | Active (0.61) | active (0.98) |
| 7 | 3600 | Inactive (0.56) | Inactive (0.71) | Active (0.61) | active (0.98) |
| 8 | 2652 | Inactive (0.56) | Inactive (0.71) | Active (0.61) | active (0.98) |
Disclaimer/Publisher’s Note: The statements, opinions and data contained in all publications are solely those of the individual author(s) and contributor(s) and not of MDPI and/or the editor(s). MDPI and/or the editor(s) disclaim responsibility for any injury to people or property resulting from any ideas, methods, instructions or products referred to in the content. |
© 2025 by the authors. Licensee MDPI, Basel, Switzerland. This article is an open access article distributed under the terms and conditions of the Creative Commons Attribution (CC BY) license (https://creativecommons.org/licenses/by/4.0/).
Share and Cite
Eltahir, A.O.E.; Sheik Abdul, N.; Docrat, T.F.; Bristow, P.; Chipofya, E.; Luckay, R.C.; Nyila, M.A.; Marnewick, J.L.; Ndjoubi, K.O.; Hussein, A.A. Bioactive Chalcones from Aizoon africanum: Isolation and Cytotoxicity Against Liver and Neural Cancer Cells. Plants 2025, 14, 2389. https://doi.org/10.3390/plants14152389
Eltahir AOE, Sheik Abdul N, Docrat TF, Bristow P, Chipofya E, Luckay RC, Nyila MA, Marnewick JL, Ndjoubi KO, Hussein AA. Bioactive Chalcones from Aizoon africanum: Isolation and Cytotoxicity Against Liver and Neural Cancer Cells. Plants. 2025; 14(15):2389. https://doi.org/10.3390/plants14152389
Chicago/Turabian StyleEltahir, Ali O. E., Naeem Sheik Abdul, Taskeen F. Docrat, Paolo Bristow, Elias Chipofya, Robert C. Luckay, Monde A. Nyila, Jeanine L. Marnewick, Kadidiatou O. Ndjoubi, and Ahmed A. Hussein. 2025. "Bioactive Chalcones from Aizoon africanum: Isolation and Cytotoxicity Against Liver and Neural Cancer Cells" Plants 14, no. 15: 2389. https://doi.org/10.3390/plants14152389
APA StyleEltahir, A. O. E., Sheik Abdul, N., Docrat, T. F., Bristow, P., Chipofya, E., Luckay, R. C., Nyila, M. A., Marnewick, J. L., Ndjoubi, K. O., & Hussein, A. A. (2025). Bioactive Chalcones from Aizoon africanum: Isolation and Cytotoxicity Against Liver and Neural Cancer Cells. Plants, 14(15), 2389. https://doi.org/10.3390/plants14152389

