Effect of In Vitro Micropropagation on the Chemical, Antioxidant, and Biological Characteristics of Senecio nutans Sch. Bip., an Endemic Plant of the Atacama Desert Andean Region
Abstract
1. Introduction
2. Results and Discussion
2.1. In Vitro Cultivation and Ex Vitro Acclimation of S. nutans
2.2. Phenolic Profile of In Vitro, Ex Vitro, and Wild S. nutans
2.3. Phytochemical and Antioxidant Activity
2.3.1. Comparative Determination of Total Phenols and Flavonoids
2.3.2. Antioxidant and Radical Scavenging Activity of S. nutans
2.4. Antibacterial Activity
3. Materials and Methods
3.1. Plant Material
3.2. In Vitro Micropropagation
3.2.1. Stages of Micropropagation
3.2.2. Acclimatization
3.3. Phytochemical Analysis
3.3.1. Extraction Preparation
3.3.2. Determination of Total Phenol and Flavonoid Content
3.4. Antioxidant Activity Assays
3.4.1. Ferric-Reducing Antioxidant Power (FRAP)
3.4.2. Free Radical Scavenging (DPPH)
3.4.3. ABTS Method
3.4.4. Computational Calculations
3.5. Phenolic Profile Analysis
3.5.1. Preparation of Standard Solutions
3.5.2. High-Performance Liquid Chromatography
3.6. Antibacterial Activity
3.6.1. Strain and Growth Conditions
3.6.2. Minimum Inhibitory Concentration (MIC)
3.6.3. Minimum Bactericidal Concentration (MBC)
3.7. Statistical Analysis
4. Conclusions
Supplementary Materials
Author Contributions
Funding
Data Availability Statement
Acknowledgments
Conflicts of Interest
References
- Villagrán, C.; Romo, M.; Castro, V. Etnobotánica del sur de los Andes de la Primera Región de Chile: Un enlace entre las culturas altiplánicas y las de quebradas altas del Loa superior. Chungará 2003, 35, 73–124. [Google Scholar] [CrossRef]
- Martínez, J.L.; Calvo, C.A.; Laurido, C. Medicinal plants used in Chile for the treatment of hypertension and mountain sickness. Afr. J. Tradit. Complement. Altern. Med. 2006, 3, 50–58. [Google Scholar] [CrossRef]
- Paredes, A.; Palacios, J.; Quispe, C.; Nwokocha, C.R.; Morales, G.; Kuzmicic, J.; Cifuentes, F. Hydroalcoholic extract and pure compounds from Senecio nutans Sch. Bip (Compositae) induce vasodilation in rat aorta through endothelium-dependent and independent mechanisms. J. Ethnopharmacol. 2016, 192, 99–107. [Google Scholar] [CrossRef]
- Paredes, A.; Leyton, Y.; Riquelme, C.; Morales, G. A plant from the altiplano of Northern Chile Senecio nutans, inhibits the Vibrio cholerae pathogen. SpringerPlus 2016, 5, 1788. [Google Scholar] [CrossRef][Green Version]
- Cifuentes, F.; Paredes, A.; Palacios, J.; Munoz, F.; Carvajal, L.; Nwokocha, C.R.; Morales, G. Hypotensive and antihypertensive effects of a hydroalcoholic extract from Senecio nutans Sch Bip. (Compositae) in mice: Chronotropic and negative inotropic effect, a nifedipine-like action. J. Ethnopharmacol. 2016, 179, 367–374. [Google Scholar] [CrossRef] [PubMed]
- Palacios, J.; Paredes, A.; Cifuentes, F.; Catalán, M.A.; García-Villalón, A.L.; Borquez, J.; Simirgiotis, M.J.; Jones, M.; Foster, A.; Greensmith, D.J. A hydroalcoholic extract of Senecio nutans SCh. Bip (Asteraceae); its effects on cardiac function and chemical characterization. J. Ethnopharmacol. 2023, 300, 115747. [Google Scholar] [CrossRef]
- Surco-Laos, F.; Garcia, J.A.; Bendezu, M.R.; Laos-Anchante, D.; Panay-Centeno, J.F.; Campos, M.V.; Palomino-Jhong, J.J.; Yarasca-Carlos, P.E.; Loja, B.; Alvarado, A.T. In vitro antioxidant properties and antimicrobial activity of the ethanolic extract of Senecio nutans Sch. Beep. (Asteraceae). J. Pharm. Pharmacogn. Res. 2022, 10, 1026–1036. [Google Scholar] [CrossRef]
- Belaunde, A.J.; Sandoval, J.G.; De Martino, L.; Senatore, F.; De Feo, V. Chemical composition and antibacterial activity of Senecio nutans essential oil. J. Essent. Oil Bear. Plants 2007, 10, 332–338. [Google Scholar] [CrossRef]
- Santander, J.; Otto, C.; Lowry, D.; Cuellar, M.; Mellado, M.; Salas, C.; Rothhammer, F.; Echiburu-Chau, C. Specific gram-positive antibacterial activity of 4-hydroxy-3-(3-methyl-2-butenyl) Acetophenone Isolated from Senecio graveolens. Microbiol. Res. J. Int. 2015, 5, 94–106. [Google Scholar] [CrossRef]
- Faraone, I.; Rai, D.K.; Chiummiento, L.; Fernandez, E.; Choudhary, A.; Prinzo, F.; Milella, L. Antioxidant Activity and Phytochemical Characterization of Senecio clivicolus Wedd. Molecules 2018, 23, 2497. [Google Scholar] [CrossRef]
- Dupré, S.; Bohlmann, F.; Knox, E. Prenylated p-Hydroxyacetophenone Derivatives from the Giant Senecio johnstonii. Biochem. Syst. Ecol. 1990, 18, 149–150. [Google Scholar]
- Palacios, J.; Paredes, A.; Catalan, M.A.; Nwokocha, C.R.; Cifuentes, F. Novel Oxime Synthesized from a Natural Product of Senecio nutans SCh. Bip. (Asteraceae) Enhances Vascular Relaxation in Rats by an Endothelium-Independent Mechanism. Molecules 2022, 27, 3333. [Google Scholar] [CrossRef] [PubMed]
- Loyola, L.A.; Pedreros, S.; Morales, G. Para-hydroxyacetophenone derivatives from senecio-graveolens. Phytochemistry 1985, 24, 1600–1602. [Google Scholar] [CrossRef]
- Takasugi, M.; Masuda, T. Three 4′-hydroxyacetophenone-related phytoalexins from Polymnia sonchifolia. Phytochemistry 1996, 43, 1019–1021. [Google Scholar] [CrossRef]
- Diaz, F.P.; Latorre, C.; Carrasco-Puga, G.; Wood, J.R.; Wilmshurst, J.M.; Soto, D.C.; Cole, T.L.; Gutierrez, R.A. Multiscale climate change impacts on plant diversity in the Atacama Desert. Glob. Change Biol. 2019, 25, 1733–1745. [Google Scholar] [CrossRef] [PubMed]
- Villagran, C.; Hinojosa, L.F. History of the forests of southern South America. 2. phytogeographical analysis. Rev. Chil. Hist. Nat. 1997, 70, 241–267. [Google Scholar]
- Torres, W.E.A.; Condo, F.; Romero, J.; Yllaconza, R.; La Torre, M.I. Flora y vegetación asociada a los rodales de Puya raimondii Harms del distrito de Huarochirí, provincia de Huarochirí, Lima, Perú. Rev. Peru. Biol. 2019, 26, 9–20. [Google Scholar] [CrossRef]
- Jeong, B.R.; Sivanesan, I. Micropropagation, berberine content and antitumor activity of Jeffersonia dubia (Maxim.) Benth et Hook. Plant Cell Tissue Organ Cult. (PCTOC) 2016, 124, 453–458. [Google Scholar] [CrossRef]
- Pandey, A.; Belwal, T.; Tamta, S.; Bhatt, I.; Rawal, R. Phenolic compounds, antioxidant capacity and antimutagenic activity in different growth stages of in vitro raised plants of Origanum vulgare L. Mol. Biol. Rep. 2019, 46, 2231–2241. [Google Scholar] [CrossRef]
- Espinosa-Leal, C.A.; Puente-Garza, C.A.; Garcia-Lara, S. In vitro plant tissue culture: Means for production of biological active compounds. Planta 2018, 248, 1–18. [Google Scholar] [CrossRef]
- Carevic, F.S. Towards an integration of plant ecophysiological traits for the conservation of endangered species in ecosystems under water stress. Idesia (Arica) 2016, 34, 33–38. [Google Scholar] [CrossRef][Green Version]
- Beltran, H.; Galan de Mera, A. Distribution patterns of the Peruvian species of Senecio L. (Asteraceae). Rev. Peru. Biol. 2022, 29, 21463. [Google Scholar] [CrossRef]
- Collado, G.A.; Torres-Diaz, C.; Vidal, M.A.; Valladares, M.A. Genetic Diversity, Morphometric Characterization, and Conservation Reassessment of the Critically Endangered Freshwater Snail, Heleobia atacamensis, in the Atacama Saltpan, Northern Chile. Biology 2023, 12, 791. [Google Scholar] [CrossRef] [PubMed]
- Echiburú-Chau, C.; Alfaro-Lira, S.; Brown, N.; Salas, C.O.; Cuellar, M.; Santander, J.; Ogalde, J.P.; Rothhammer, F. The selective cytotoxicity elicited by phytochemical extract from Senecio graveolens (Asteraceae) on breast cancer cells is enhanced by hypoxia. Int. J. Oncol. 2014, 44, 1357–1364. [Google Scholar] [CrossRef] [PubMed]
- Bustos, L.; Echiburu-Chau, C.; Castro-Alvarez, A.; Bradshaw, B.; Simirgiotis, M.J.; Mellado, M.; Parra, C.; Cuellar, M. Cytotoxic Effects on Breast Cancer Cell Lines of Chalcones Derived from a Natural Precursor and Their Molecular Docking Analysis. Molecules 2022, 27, 4387. [Google Scholar] [CrossRef] [PubMed]
- Taner, G.; Vardar, D.O.; Aydin, S.; Aytac, Z.; Basaran, A.; Basaran, N. Use of in vitro assays to assess the potential cytotoxic, genotoxic and antigenotoxic effects of vanillic and cinnamic acid. Drug Chem. Toxicol. 2017, 40, 183–190. [Google Scholar] [CrossRef]
- Adisakwattana, S. Cinnamic Acid and Its Derivatives: Mechanisms for Prevention and Management of Diabetes and Its Complications. Nutrients 2017, 9, 163. [Google Scholar] [CrossRef]
- Singh, B.; Kumar, A.; Singh, H.; Kaur, S.; Arora, S.; Singh, B. Protective effect of vanillic acid against diabetes and diabetic nephropathy by attenuating oxidative stress and upregulation of NF-kappa B, TNF-alpha and COX-2 proteins in rats. Phytother. Res. 2022, 36, 1338–1352. [Google Scholar] [CrossRef]
- Winter, A.N.; Brenner, M.C.; Punessen, N.; Snodgrass, M.; Byars, C.; Arora, Y.; Linseman, D.A. Comparison of the Neuroprotective and Anti-Inflammatory Effects of the Anthocyanin Metabolites, Protocatechuic Acid and 4-Hydroxybenzoic Acid. Oxidative Med. Cell. Longev. 2017, 2017, 6297080. [Google Scholar] [CrossRef] [PubMed]
- Bhattacharyya, P.; Kumaria, S.; Job, N.; Tandon, P. Phyto-molecular profiling and assessment of antioxidant activity within micropropagated plants of Dendrobium thyrsiflorum: A threatened, medicinal orchid. Plant Cell Tissue Organ Cult. (PCTOC) 2015, 122, 535–550. [Google Scholar] [CrossRef]
- Kumar, S.; Pandey, A.K. Chemistry and Biological Activities of Flavonoids: An Overview. Sci. World J. 2013, 2013, 162750. [Google Scholar] [CrossRef] [PubMed]
- Martinez-Morales, F.; Alonso-Castro, A.J.; Zapata-Morales, J.R.; Carranza-Alvarez, C.; Aragon-Martinez, O.H. Use of standardized units for a correct interpretation of IC50 values obtained from the inhibition of the DPPH radical by natural antioxidants. Chem. Pap. 2020, 74, 3325–3334. [Google Scholar] [CrossRef]
- Echiburu-Chau, C.; Pastén, L.; Parra, C.; Bórquez, J.; Mocan, A.; Simirgiotis, M.J. High resolution UHPLC-MS characterization and isolation of main compounds from the antioxidant medicinal plant Parastrephia lucida (Meyen). Saudi Pharm. J. 2017, 25, 1032–1039. [Google Scholar] [CrossRef] [PubMed]
- Parra, C.; Munoz, P.; Bustos, L.; Parra, F.; Simirgiotis, M.J.; Escobar, H. UHPLC-DAD Characterization of Origanum vulgare L. from Atacama Desert Andean Region and Antioxidant, Antibacterial and Enzyme Inhibition Activities. Molecules 2021, 26, 2100. [Google Scholar] [CrossRef] [PubMed]
- Gaikwad, N.K.; Moon, U.R.; Bhadoria, P.S.; Mitra, A. In vitro propagation of Canscora decussata Schult. and comparative assessment of anti-cholinesterase and antioxidant capacities of wild-harnessed and in vitro-grown plant extracts. Plant Cell Tissue Organ Cult. (PCTOC) 2015, 122, 509–516. [Google Scholar] [CrossRef]
- Rehman, R.; Chaudhary, M.; Khawar, K.; Lu, G.; Mannan, A.; Zia, M. In vitro propagation of Caralluma tuberculata and evaluation of antioxidant potential. Biologia 2014, 69, 341–349. [Google Scholar] [CrossRef]
- Galano, A.; Raul Alvarez-Idaboy, J. Computational strategies for predicting free radical scavengers’ protection against oxidative stress: Where are we and what might follow? Int. J. Quantum Chem. 2019, 119, e25665. [Google Scholar] [CrossRef]
- Ingold, K.U.; Pratt, D.A. Advances in Radical-Trapping Antioxidant Chemistry in the 21st Century: A Kinetics and Mechanisms Perspective. Chem. Rev. 2014, 114, 9022–9046. [Google Scholar] [CrossRef]
- Salvador, M.J.; Pereira, P.S.; Franca, S.C.; Candido, R.C.; Ito, I.Y.; Dias, D.A. Comparative study of antibacterial and antifugal activity of callus culture and adult plants extracts from Alternanthera maritima (Amaranthaceae). Braz. J. Microbiol 2004, 35, 131–136. [Google Scholar] [CrossRef]
- Escobar, H.A.; Villalobos, V.M.; Villegas, A. Opuntia micropropagation by axillary proliferation. Plant Cell Tissue Organ Cult. 1986, 7, 269–277. [Google Scholar] [CrossRef]
- Murashige, T.; Skoog, F. A revised medium for rapid growth and bio assays with tobacco tissue cultures. Physiol. Plant. 1962, 15, 473–497. [Google Scholar] [CrossRef]
- Parra, C.; Soto, E.; León, G.; Salas, C.O.; Heinrich, M.; Echiburú-Chau, C. Nutritional composition, antioxidant activity and isolation of scopoletin from Senecio nutans: Support of ancestral and new uses. Nat. Prod. Res. 2018, 32, 719–722. [Google Scholar] [CrossRef] [PubMed]
- Frisch, M.J.; Trucks, G.W.; Schlegel, H.B.; Scuseria, G.E.; Robb, M.A.; Cheeseman, J.R.; Scalmani, G.; Barone, V.; Mennucci, B.; Petersson, G.A.; et al. Gaussian 09; Gaussian, Inc.: Wallingford, CT, USA, 2009. [Google Scholar]
- Lipparini, F.; Mennucci, B. Perspective: Polarizable continuum models for quantum-mechanical descriptions. J. Chem. Phys. 2016, 144, 160901. [Google Scholar] [CrossRef] [PubMed]
- Soto, E.; Bustos, L.; Simirgiotis, M.J.; Parra, C. Potential of Baccharis alnifolia Meyen & Walpan (Chilka) from northern Chile used as a medicinal infusion. Ciência Rural 2019, 49, e20190428. [Google Scholar] [CrossRef]
- Simirgiotis, M.J.; Burton, D.; Parra, F.; López, J.; Muñoz, P.; Escobar, H.; Parra, C. Antioxidant and Antibacterial Capacities of Origanum vulgare L. Essential Oil from the Arid Andean Region of Chile and its Chemical Characterization by GC-MS. Metabolites 2020, 10, 414. [Google Scholar] [CrossRef]







| Peak | Phenolic Compound * | rt | Wild | Ex Vitro | In Vitro |
|---|---|---|---|---|---|
| (mg/100 g of DW) | |||||
| 1 | 4-Hydroxybenzoic acid | 4.38 | 280.03 ± 22.43 a | 93.12 ± 15.31 b | 47.89 ± 9.14 c |
| 2 | Vanillic acid | 4.82 | 116.09 ± 12.52 a | 146.39 ± 14.43 b | 64.62 ± 11.25 c |
| 3 | Ferulic acid | 6.75 | 82.10 ± 12.01 a | 31.03 ± 8.98 b | 14.21 ± 5.10 c |
| 4 | 4-Hydroxy-3-(3-methyl-2-butenyl) acetophenone | 12.70 | 4356.22 ± 84.99 a | 4339.30 ± 93.12 a | 4202.73 ± 99.35 a |
| 5 | Chlorogenic acid | 13.72 | 24.21 ± 6.64 a | 31.00 ± 6.19 a | 20.52 ± 4.87 a |
| 6 | Cinnamic acid | 13.98 | 44.56 ± 8.98 a | 82.54 ± 18.13 b | 18.77 ± 2.66 c |
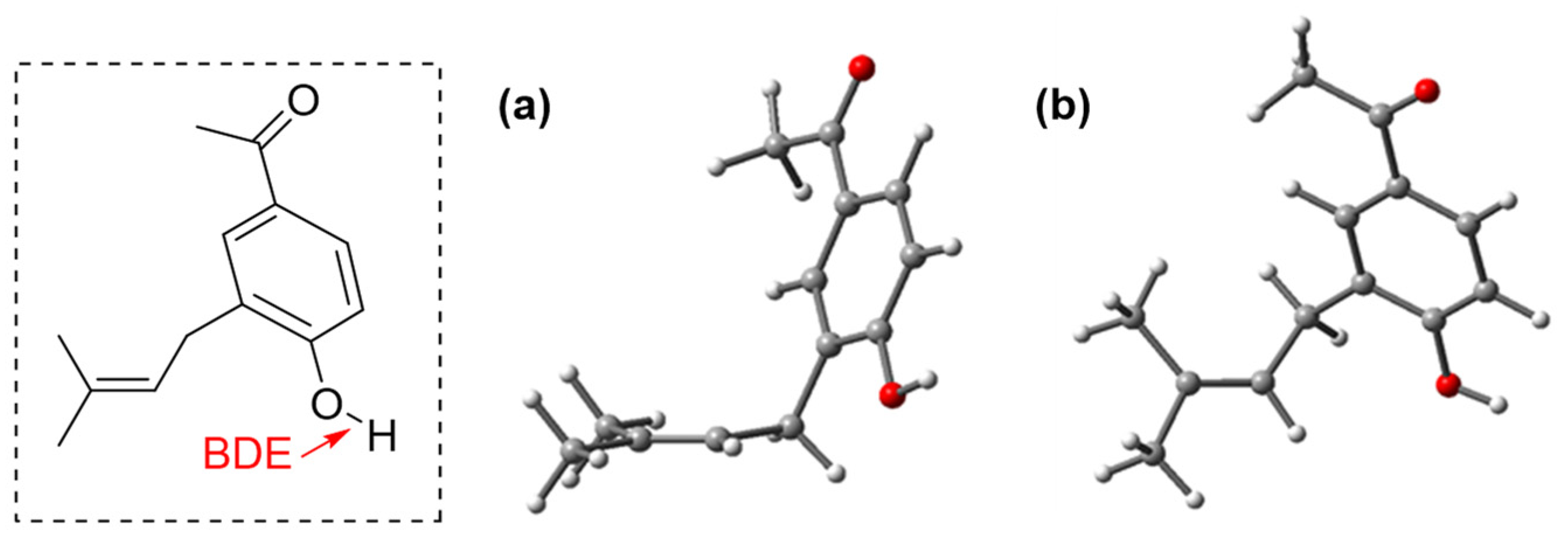
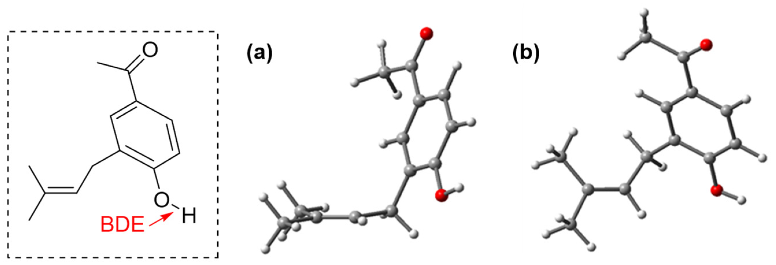
| Compound | BDE (kcal/mol) | IP (kcal/mol) |
|---|---|---|
| 4 | 86.14 | 186.34 |
| Bacterium | MIC 1 (mg/mL) | MBC 2 (mg/mL) | ||||||||
|---|---|---|---|---|---|---|---|---|---|---|
| IS | EV | IV | 4 | Kan 3 | IS | EV | IV | 4 | Kan 3 | |
| Escherichia coli (ATCC 23716) | 0.625 | 1.25 | 1.25 | 1.25 | 5.00 | 5.00 | 5.00 | 5.00 | 5.00 | 10.00 |
| Pseudomonas aeruginosa (ATCC 19429) | 1.25 | 1.25 | 1.25 | 0.625 | 5.00 | 5.00 | 5.00 | 5.00 | 2.50 | 10.00 |
| Salmonella enterica (ATCC 13311) | 0.313 | 0.313 | 1.25 | 0.16 | 2.50 | 2.50 | 2.50 | 2.50 | 0.625 | 5.00 |
| Bacillus subtilis (ATCC 6051) | 0.625 | 0.625 | 0.625 | 0.16 | 1.25 | N.D. | N.D. | N.D. | 0.625 | 20.00 |
| Staphylococcus aureus (ATCC 29737) | 0.313 | 0.625 | 1.25 | 0.16 | 2.50 | 2.50 | 2.50 | 2.50 | 0.313 | 10.00 |
| Erwinia rhapontici (MK883065) | 0.625 | 0.625 | 1.25 | 0.625 | 1.25 | 5.00 | 5.00 | 5.00 | 2.50 | 2.50 |
| Pseudomonas syringae (MF547632) | 0.625 | 0.625 | 1.25 | 0.625 | 1.25 | 2.50 | 2.50 | 2.50 | 2.50 | 2.50 |
| Pantoea agglomerans (MK883087) | 0.625 | 0.625 | 0.625 | 0.625 | 2.50 | 5.00 | 5.00 | 5.00 | 2.50 | 5.00 |
| Agrobacterium tumefaciens (ATCC 19358) | 1.25 | 1.25 | 1.25 | 0.08 | 1.25 | 2.50 | 2.50 | 2.50 | 0.313 | 5.00 |
Disclaimer/Publisher’s Note: The statements, opinions and data contained in all publications are solely those of the individual author(s) and contributor(s) and not of MDPI and/or the editor(s). MDPI and/or the editor(s) disclaim responsibility for any injury to people or property resulting from any ideas, methods, instructions or products referred to in the content. |
© 2024 by the authors. Licensee MDPI, Basel, Switzerland. This article is an open access article distributed under the terms and conditions of the Creative Commons Attribution (CC BY) license (https://creativecommons.org/licenses/by/4.0/).
Share and Cite
Parra, C.; Muñoz-Torres, P.; Escobar, H.; Simirgiotis, M.J.; Contreras-Contreras, G.; Ruiz-Fernández, Á.; Maulen, C.; Martínez-Cifuentes, M.; Mariotti-Celis, M.S. Effect of In Vitro Micropropagation on the Chemical, Antioxidant, and Biological Characteristics of Senecio nutans Sch. Bip., an Endemic Plant of the Atacama Desert Andean Region. Plants 2024, 13, 755. https://doi.org/10.3390/plants13060755
Parra C, Muñoz-Torres P, Escobar H, Simirgiotis MJ, Contreras-Contreras G, Ruiz-Fernández Á, Maulen C, Martínez-Cifuentes M, Mariotti-Celis MS. Effect of In Vitro Micropropagation on the Chemical, Antioxidant, and Biological Characteristics of Senecio nutans Sch. Bip., an Endemic Plant of the Atacama Desert Andean Region. Plants. 2024; 13(6):755. https://doi.org/10.3390/plants13060755
Chicago/Turabian StyleParra, Claudio, Patricio Muñoz-Torres, Hugo Escobar, Mario J. Simirgiotis, Gabriela Contreras-Contreras, Álvaro Ruiz-Fernández, Cristian Maulen, Maximiliano Martínez-Cifuentes, and María Salomé Mariotti-Celis. 2024. "Effect of In Vitro Micropropagation on the Chemical, Antioxidant, and Biological Characteristics of Senecio nutans Sch. Bip., an Endemic Plant of the Atacama Desert Andean Region" Plants 13, no. 6: 755. https://doi.org/10.3390/plants13060755
APA StyleParra, C., Muñoz-Torres, P., Escobar, H., Simirgiotis, M. J., Contreras-Contreras, G., Ruiz-Fernández, Á., Maulen, C., Martínez-Cifuentes, M., & Mariotti-Celis, M. S. (2024). Effect of In Vitro Micropropagation on the Chemical, Antioxidant, and Biological Characteristics of Senecio nutans Sch. Bip., an Endemic Plant of the Atacama Desert Andean Region. Plants, 13(6), 755. https://doi.org/10.3390/plants13060755

