Phytoremediation Potential of Different Genotypes of Salix alba and S. viminalis
Abstract
1. Introduction
2. Results
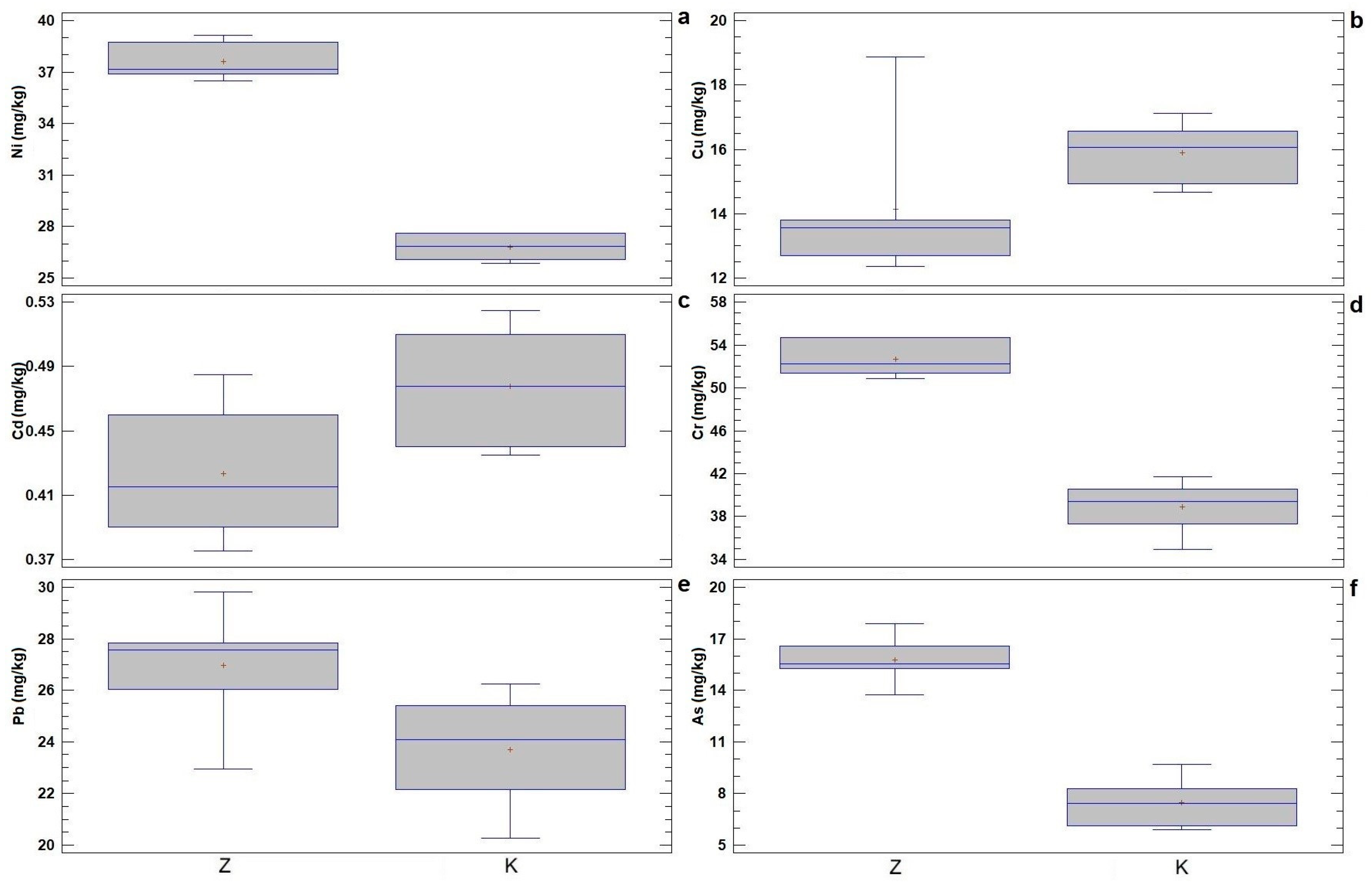
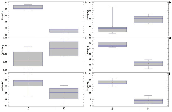
2.1. Soil Analysis
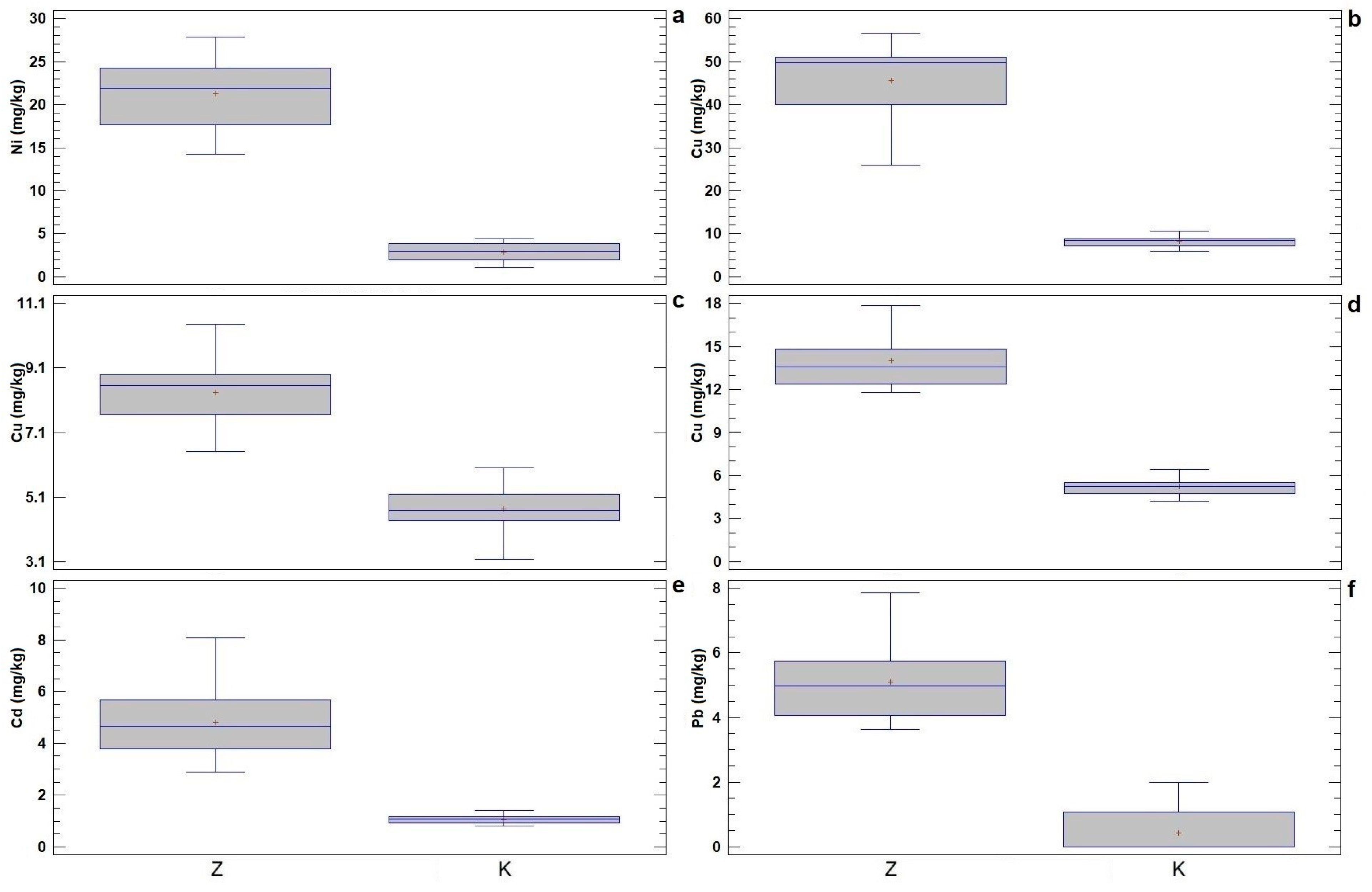
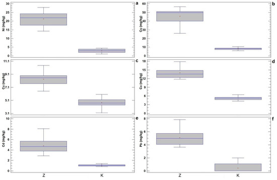
2.2. Analysis of Plant Material
3. Discussion
4. Materials and Methods
4.1. Soil Sampling and Analysis
4.2. Experiment, Sampling, and Analysis of Plant Material
4.3. Statistical Analysis
5. Conclusions
- −
- White willow and basket willow are hyperaccumulator species of heavy metals, bearing in mind the significant differences in the concentration of heavy metals [especially nickel (Ni), copper (Cu), cadmium (Cd), and lead (Pb)] between the contaminated and control plant materials;
- −
- The degree of accumulation of heavy metals by willows depends on the genotype, and there is a specificity of willow genotypes in the phytoextraction of heavy metals from the soil due to their physiological differences. Thus, it is possible to identify genotypes that are selective for the targeted pollutant and applied in the phytoremediation of soil contaminated with certain heavy metals. Compared with the basket willow, Cd and chromium (Cr) are absorbed to the greatest extent by clone 347 of the white willow and to a somewhat lesser extent by clone B-44, while clone NS 73/6 of the same species shows a less pronounced ability to accumulate Cr;
- −
- There is a specificity of willow genotypes in the phytoextraction of heavy metals and their accumulation in different plant organs. Roots the greatest ability to accumulate Ni and Pb, Cu is absorbed by all plant organs, while Cd is absorbed by the leaves. The organ that stands out for the greatest ability to accumulate heavy metals is the root, which means that willows have a limited power to translocate heavy metals to above-ground organs. The reason for the good survival of willows on soil contaminated with heavy metals lies precisely in the retention of heavy metals in the roots and their relatively weak translocation into the assimilation organs;
- −
- Absorption of Cu in the root (phytostabilization) depends on the genotype of the willow, whereby clones 347, NS 73/6, and B-44 of the white willow have a greater phytostabilization potential of this heavy metal compared with the basket willow clones;
- −
- White willow clone NS 73/6 has the highest Cd phytostabilization ability, and the B-44 clone of the same species has the ability to phytoextract (accumulate in above-ground organs), which means that the white willow has a higher Cd accumulation potential than the basket willow.
Author Contributions
Funding
Data Availability Statement
Acknowledgments
Conflicts of Interest
References
- McIntyre, T. Phytoremediation of heavy metals from soils. Adv. Biochem. Engin./Biotech. 2003, 78, 97–123. [Google Scholar]
- Borišev, M. Potential of Willow Clones (Salix spp.) in Phytoextraction of Heavy Metals. Ph.D. Dissertation, University of Novi Sad, Novi Sad, Serbia, 2010. [Google Scholar]
- Kastori, R.; Petrović, N.; Petrović, M. Effect of lead on water relations, proline concentration and nitrate reductaze activity in sunflower plants. Acta Agron. Acad. Scient. Hungar. 1996, 44, 21–28. [Google Scholar]
- Blaylock, M.J.; Huang, J.W. Phytoextraction of metals. In Phytoremediation of Toxic Metals: Using Plants to Clean up the Environment; Raskin, I., Ensley, B.D., Eds.; Wiley: New York, NY, USA, 2000; pp. 53–70. [Google Scholar]
- Long, X.X.; Yang, X.E.; Ni, W.Z. Current status and perspective on phytoremediation of heavy metal polluted soils. J. Appl. Ecol. 2002, 13, 757–762. [Google Scholar]
- Pilon-Smiths, E. Phytoremediation. Ann. Rev. Plant Biol. 2005, 56, 15–39. [Google Scholar] [CrossRef] [PubMed]
- Pilipović, A.; Klašnja, B.; Orlović, S. The role of poplar in phytoremediation of soil and groundwater. Topola 2002, 169/170, 57–66. [Google Scholar]
- Barathi, S.; Lee, J.; Venkatesan, R.; Vetcher, A.A. Current Status of Biotechnological Approaches to Enhance the Phytoremediation of Heavy Metals in India—A Review. Plants 2003, 12, 3816. [Google Scholar] [CrossRef]
- Van Aken, B. Transgenic plants for enhanced phytoremediation of toxic explosives. Curr. Opin. Biotech. 2009, 20, 231–236. [Google Scholar] [CrossRef] [PubMed]
- Chaney, R.L. Plant uptake of inorganic waste constituents. In Land Treatment of Hazardous Wastes; Parr, J.F.E.A., Ed.; Noyes Data Corp.: Park Ridge, IL, USA, 1983; pp. 50–76. [Google Scholar]
- Sekara, A.; Poniedzialeek, M.; Ciura, J.; Jedrszczyk, E. Cadmium and lead accumulation and distribution in the organs of nine crops: Implications for phytoremediation. Pol. J. Environ. Stud. 2005, 14, 509–516. [Google Scholar]
- Yoon, J.; Cao, X.; Zhou, Q.; Ma, L.Q. Accumulation of Pb, Cu, and Zn in native plants growing on a contaminated Florida site. Sci. Total Environ. 2006, 368, 456–464. [Google Scholar] [CrossRef] [PubMed]
- Rafati, M.; Khorasani, N.; Moattar, F.; Shirvany, A.; Moraghebi, F.; Hosseinzadeh, S. Phytoremediation potential of Populus alba and Morus alba for cadmium, chromuim and nickel absorption from polluted soil. Int. J. Environ. Res. 2011, 5, 961–970. [Google Scholar]
- Baker, A.J.M. Accumulators and excluders—Strategies in response of plants to heavy metals. J. Plant Nutr. 1981, 3, 643–654. [Google Scholar] [CrossRef]
- Vasilachi-Mitoseru, I.-C.; Stoleru, V.; Gavrilescu, M. Integrated assessment of Pb(II) and Cu(II) metal ion phytotoxicity on Medicago sativa L., Triticum aestivum L., and Zea mays L. Plants: Insights into Germination Inhibition, Seedling Development, and Ecosystem Health. Plants 2023, 12, 3754. [Google Scholar] [CrossRef] [PubMed]
- Brieger, G.; Wells, J.R.; Hunter, R.D. Content in fly ash ecosystem. Water Air Soil Pollut. 1992, 63, 87–103. [Google Scholar] [CrossRef]
- Landberg, T.; Greger, M. Can heavy metal tolerant clones of Salix be used as vegetation filters on heavy contaminated land in willow vegetation filters for municipal wastewaters and sludges: A Biological Purification System. In Proceedings of the a Study Tour, Conference and Workshop, Ultuna, Uppsala, Sweden, 5–10 June 1994; Rapport 50. ISBN 91-576-4916-2. [Google Scholar]
- Felix, H. Vor-Ort-Reinigung schwermetallbelasteter Böden mit Hilfe von metallakkumulierenden Pflanzen (Hyperakkumulatoren). Terra Tech 1997, 2, 47–49. [Google Scholar]
- Greger, M.; Landberg, T. Use of willow in phytoextraction. Int. J. Phytoremed. 1999, 1, 115–123. [Google Scholar] [CrossRef]
- Hammar, D.; Kayser, A.; Keller, C. Phytoextraction of Cd and Zn with Salix viminalis in field trials. Soil Use Manag. 2003, 19, 187–192. [Google Scholar] [CrossRef]
- Pulford, I.D.; Riddell-Black, D.; Stewart, C. Heavy metal uptake by willow clones from sewage sludge-treated soil: The potential for phytoremediation. Int. J. Phytoremed. 2002, 4, 59–72. [Google Scholar] [CrossRef]
- Mleczek, M.; Rissmanna, I.; Rutkowski, P.; Kaczmarekc, Z.; Golinski, P. Accumulation of selected heavy metals by different genotypes of Salix. Environ. Exp. Bot. 2009, 66, 289–296. [Google Scholar] [CrossRef]
- Greger, M.; Landberg, T. Novel field data on phytoextraction: Precultivation with Salix reduces cadmium in wheat grains. Int. J. Phytorem. 2015, 17, 917–924. [Google Scholar] [CrossRef]
- Wani, K.A.; Sofi, Z.M.; Malik, J.A.; Wani, J.A. Phytoremediation of heavy metals using Salix (willows). In Bioremediation and Biotechnology; Bhat, R., Hakeem, K., Dervash, M., Eds.; Springer: Cham, Swizerland, 2020; Volume 2, pp. 257–268. [Google Scholar]
- Landberg, T.; Greger, M. Differences in uptake and tolerance to heavy metals in Salix from unpolluted and polluted areas. Appl. Geochem. 1996, 11, 175–180. [Google Scholar] [CrossRef]
- Greger, M. Salix as phytoextractor. In Proceedings of the 5th International Conference on the Biogeochemistry of Trace Elements, Boku, Vienna, Austria, 11–15 July 1999. [Google Scholar]
- Punshon, T.; Dickinson, N.M. Heavy metal resistance and accumulation characteristics in willows. Int. J. Phytoremed. 1999, 1, 361–385. [Google Scholar] [CrossRef]
- Vyslouilová, M.; Tlusto, P.; Száková, J.; Pavlíková, D. As, Cd, Pb and Zn uptake by Salix spp. clones grown in soils enriched by high loads of these elements. Plant Soil Environ. 2003, 49, 191–196. [Google Scholar] [CrossRef]
- Zacchini, M.; Pietrini, F.; Mugnozza, G.S.; Iori, V.; Pietrosanti, L.; Massaci, A. Metal tolerance, accumulation and translocation in poplar and willow clones treates with cadmium in hydroponics. Water Air Soil Pollut. 2009, 197, 23–34. [Google Scholar] [CrossRef]
- Cao, Y.; Tanac, Q.; Zhang, F.; Maa, C.; Xiao, J.; Chen, G. Phytoremediation potential evaluation of multiple Salix clones for heavy metals (Cd, Zn and Pb) in flooded soils. Sci. Total Environ. 2022, 813, 152482. [Google Scholar] [CrossRef]
- Republic of Serbia. Regulation on limit values of polluting, harmful and dangerous substances in soil. Off. Gaz. RS 2018, 30, 64. [Google Scholar]
- Vithanage, M.; Dabrowska, B.B.; Mukherjee, A.; Arifin, B.; Sandhi, A.; Bhattacharya, P. Arsenic uptake by plants and possible phytoremediation applications: A brief overview. Environ. Chem. Lett. 2012, 10, 217–224. [Google Scholar] [CrossRef]
- Bhattacharya, P.; Frisbie, S.H.; Smith, E.; Naidu, R.; Jacks, G.; Sarkar, B. Arsenic in the environment: A global perspective. In Heavy Metals in the Environment; Sarkar, B., Ed.; Marcel Dekker: New York, NY, USA, 2002; Chapter 6; pp. 147–215. [Google Scholar]
- Naidu, R.; Smith, E.; Owens, G.; Bhattacharya, P.; Nadebaum, P. Managing Arsenic in the Environment: From Soil to Human Health; CSIRO: Collingwood, VIC, Australia, 2006; p. 747. [Google Scholar]
- Anderson, A.T. Development of a Phytoremediation Handbook: Considerations for Enhancing Microbial Degradation in the Rhizosphere; Institute of Environmental and Human Health; Texas Tech University: Lubbock, TX, USA, 2002. [Google Scholar]
- Thijs, S.; Witters, N.; Janssen, J.; Ruttens, A.; Weyens, N.; Herzig, R.; Mench, M.; Van Slycken, S.; Meers, E.; Meiresonne, L. Tobacco, sunflower and high biomass SRC clones show potential for trace metal phytoextraction on a moderately contaminated field site in Belgium. Front. Plant Sci. 2018, 9, 1879. [Google Scholar] [CrossRef] [PubMed]
- Khan, S.; Rehman, S.; Khan, A.Z.; Khan, M.A.; Shah, M.T. Soil and vegetables enrichment with heavy metals from geological sources in Gilgit, northern Pakistan. Ecotoxicol. Environ. Saf. 2010, 73, 1820–1827. [Google Scholar] [CrossRef] [PubMed]
- Liu, Y.; Xiao, T.; Ning, Z.; Li, H.; Tang, J.; Zhou, G. High cadmium concentration in soil in the Three Gorges region: Geogenic source and potential bioavailability. Appl. Geochem. 2013, 37, 149–156. [Google Scholar] [CrossRef]
- Khan, S.; Munir, S.; Sajjad, M.; Li, G. Urban park soil contamination by potentially harmful elements and human health risk in Peshawar City, Khyber Pakhtunkhwa, Pakistan. J. Geochem. Explor. 2016, 165, 102–110. [Google Scholar] [CrossRef]
- Nawab, J.; Khan, S.; Aamir, M.; Shamshad, I.; Qamar, Z.; Din, I.; Huang, Q. Organic amendments impact the availability of heavy metal(loid)s in mine-impacted soil and their phytoremediation by Penisitum americanum and Sorghum bicolor. Environ. Sci. Pollut. Res. 2016, 23, 2381–2390. [Google Scholar] [CrossRef]
- Stanković, D. Research on the Impact of Traffic on the Concentration of Pollutants in the Forest Ecosystems of the NP Fruška Gora in the Function of Environmental Protection and Improvement. Ph.D. Dissertation, University of Novi Sad, Faculty of Sciences, Novi Sad, Serbia, 2006. [Google Scholar]
- Déportes, I.; Benoit-Guyod, J.L.; Zmirou, D. Hazard to man and the environment posed by the use of urban waste compost: A review. Sci. Total Environ. 1995, 172, 197–222. [Google Scholar] [CrossRef] [PubMed]
- Barcan, V.; Kovnatsky, E. Soil surface geochemical anomaly around the copper-nickel metallurgical smelter. Water Air Soil Pollut. 1998, 103, 197–218. [Google Scholar] [CrossRef]
- Karam, N.S.; Ereifej, K.I.; Shibli, R.A.; AbuKudais, H.; Alkofahi, A.; Malkawi, Y. Metal concentrations, growth, and yield of potato produced from in vitro plantlets or microtubers and grown in municipal solid-waste-amended substrates. J. Plant Nutr. 1998, 21, 725–739. [Google Scholar] [CrossRef]
- Chen, C.; Huang, D.; Liu, J. Functions and toxicity of nickel in plants: Recent advances and future prospects. Clean 2009, 37, 304–313. [Google Scholar] [CrossRef]
- Brown, P.M.; Welch, R.M.; Cary, E.E.; Checkai, R.T. Beneficial effects of nickel on plant growth. J. Plant Nutr. 1987, 10, 2125–2135. [Google Scholar] [CrossRef]
- Yang, X. Plant tolerance to nickel nutrients toxicity 2. Nickel effects on influx and transport of mineral nutrients in four plant species. J. Plant Nutr. 1996, 19, 265279. [Google Scholar] [CrossRef]
- Kastori, R.; Petrović, N.; Gašić, O.; Janjatović, V. The influence of lead on the accumulation and distribution of mineral substances in soybean (Glycine max (L.) Merr). Matica Srpska J. Nat. Sci. 1991, 80, 55–65. [Google Scholar]
- Kastori, R.; Petrović, N.; Arsenijević-Maksimović, I. Heavy metals and plants. In Heavy Metals in the Environment; Kastori, R., Ed.; Scientific Institute for Agriculture and Vegetables: Novi Sad, Serbia, 1997; pp. 197–257. [Google Scholar]
- Asher, C.J. Beneficial elements, functional nutrients and possible new essentials elements. In Micronutrients in Agriculture, 2nd ed.; Soil Science Society of America: Madison, WI, USA, 1991; Volume 4, pp. 703–723. [Google Scholar]
- Gerendas, J.; Polacco, J.; Freyermuth, K.S.; Sattelmacher, B. Significance of nickel for plant growth and metabolism. J. Plant Nutr. Soil. Sci. 1999, 162, 241–256. [Google Scholar] [CrossRef]
- Davis, R.D.; Beckett, P.H.T.; Wollan, E. Critical levels of 20 potentially toxic elements in young spring barley. Plant Soil 1978, 49, 395–404. [Google Scholar] [CrossRef]
- Magnicol, R.D.; Beckett, P.H.T. Critical tissue concentrations of potentially toxic elements. Plant Soil 1985, 85, 107–129. [Google Scholar] [CrossRef]
- Kastori, R. Neophodni Mikroelementi—Fiziološka Uloga i Značaj u Biljnoj Proizvodnji; Naučna Knjiga: Belgrade, Serbia, 1990. (In Serbian) [Google Scholar]
- Ross, M.S. Sources and form of potentially toxic metals in soil-plant sistems. In Toxic Metals in Soil-Plant Systems; Ross, M.S., Ed.; John Wiley: Chichester, UK, 1994; pp. 3–25. [Google Scholar]
- Huang, R.; Dong, M.; Mao, P.; Zhuang, P.; Paz-Ferreiro, J.; Li, Y.; Li, Y.; Hu, X.; Netherway, P.; Li, Z. Evaluation of phytoremediation potential of five Cd (hyper) accumulators in two Cd contaminated soils. Sci. Total Environ. 2020, 721, 137581. [Google Scholar] [CrossRef]
- Lux, A.; Masarovicovà, E.; Liskova, D.; Sottnikova-Stefanovicova, A.; Lunackova, L.; Marcekova, M. Physiological and structural characteristics and in vitro cultivation of some willows and poplars. In Proceedings of the Cost Action 837, Bordeaux, France, 25–27 April 2002. [Google Scholar]
- Lunackovà, L.; Masarovicovà, E.; Kràĺovà, K.; Streško, V. Response of fast-growing woody plants from family Salicaceae to cadmium treatment. Bull. Environ. Contam. Toxicol. 2003, 70, 576–585. [Google Scholar] [CrossRef]
- Borišev, M.; Pajević, S.; Nikolić, N.; Pilipović, A.; Krstić, B.; Orlović, S. Phytoextraction of Cd, Ni, and Pb using four willow clones (Salix spp.). Pol. J. Environ. Stud. 2009, 18, 553–561. [Google Scholar]
- Pählosson-Balsberg, A.M. Toxycity of heavy metals (Zn, Cu, Cd, Pb) to vascular plants. Water Air Soil Pollut. 1989, 47, 287–319. [Google Scholar] [CrossRef]
- Landberg, T.; Greger, M. Phytoremediation using willow in industrial contaminated soil. Sustainability 2022, 14, 8449. [Google Scholar] [CrossRef]
- Tlustoš, P.; Száková, J.; Vysloužilová, M.; Pavlíková, D.; Weger, J.; Javorská, H. Variation in the uptake of Arsenic, Cadmium, Lead, and Zinc by different species of willows Salix spp. grown in contaminated soils. Cent. Eur. J. Biol. 2007, 2, 254–275. [Google Scholar] [CrossRef]
- Ernst, W.H.O. Bioavailability of heavy metals and decontamination of soil by plants. Appl. Geochem. 1996, 11, 63–167. [Google Scholar] [CrossRef]
- Krstić, B.; Oljača, R.; Stanković, D. Physiology of Woody Plants; Grafomark: Laktaši, Bosnia and Herzegovina, 2011. [Google Scholar]
- Savage, W.; Berry, W.; Reed, C.A. Effects of trace element stress on the morphology of developing seedlings of lettuce (Lactuca sativa L. grand rapids) as shown by scanning electron microscopy. J. Plant Nutr. 1981, 3, 129–138. [Google Scholar] [CrossRef]
- Chen, G.C.; Liu, Z.; Zhang, J.; Gary, O. Phytoaccumulation of copper in willow seedlings under different hydrological regimes. Ecol. Eng. 2012, 44, 285–289. [Google Scholar] [CrossRef]
- Greger, M.; Lindberg, S. Effects of Cd2+ and EDTA on young sugar beets (Beta vulgaris). II. Net uptake and distribution of Mg2+, Ca2+, and Fe2+/Fe3+. Physiol. Plant. 1987, 69, 81–86. [Google Scholar] [CrossRef]
- Greger, M.; Brammer, E.; Lindberg, S.; Larsson, G.; Idestam-Almqist, J. Uptake and physiological effects of cadmium in sugar beet (Beta vulgaris) related to mineral provision. J. Exp. Bot. 1991, 6, 729–737. [Google Scholar] [CrossRef]
- Wallace, A.; Wallace, G.A.; Cha, J.W. Some modifications in trace metal toxicities and deficiencies in plants resulting from interactions with other elements and chelating agents. The special case of iron. J. Plant Nutr. 1992, 15, 1589–1598. [Google Scholar] [CrossRef]
- Pál, M.; Horváth, E.; Janda, T.; Páldi, E.; Szalal, G. Physiological changes and defense mechanisms induced by cadmium stress in maize. J. Plant Nutr. Soil Sci. 2006, 169, 239–246. [Google Scholar] [CrossRef]
- Tőzsér, D.; Magura, T.; Simon, E. Heavy metal uptake by plant parts of willow species: A meta-analysis. J. Hazard. Mater. 2017, 336, 101–109. [Google Scholar] [CrossRef] [PubMed]
- Dos Santos Utmazian, M.N.; Wieshammer, G.; Vega, R.; Wenzel, W.W. Hydroponic screening for metal resistance and accumulation of cadmium and zinc in twenty clones of willows and poplars. Environ. Pollut. 2007, 148, 155–165. [Google Scholar] [CrossRef] [PubMed]
- Malkowski, E.; Kurtyka, R.; Kita, A.; Karcz, W. Accumulation of Pb and Cd and its effect on Ca distribution in maize seedlings (Zea mays L.). Pol. J. Environ. Stud. 2005, 14, 203–207. [Google Scholar]
- Kurtyka, R.; Malkowski, E.; Kita, A.; Karcz, W. Effect of calcium and cadmium on growth and accumulation of cadmium, calcium, potassium and sodium in maize seedlings. Pol. J. Environ. Stud. 2007, 1, 51–56. [Google Scholar]
- Stoltz, E.; Greger, M. Accumulation properties of As, Cd, Cu, Pb and Zn by four wetland plant species growing on submerged mine tailings. Environ. Exp. Bot. 2002, 3, 271–280. [Google Scholar] [CrossRef]
- Cools, N.; De Vos, B. Sampling and Analysis of Soil. In Manual on Methods and Criteria for Harmonized Sampling, Assessment, Monitoring and Analysis of the Effects of Air Pollution on Forests; 2020–2021 ver.; UNECE ICP Forests Programme Co-Ordinating Centre, Ed.; Thünen Institute of Forest Ecosystems: Eberswalde, Germany, 2020; Part X; p. 29. Available online: http://www.icp-forests.org/manual.htm (accessed on 19 August 2021).
- Rautio, P.; Fürst, A.; Stefan, K.; Raitio, H.; Bartels, U. Sampling and Analysis of Needles and Leaves. In Manual on Methods and Criteria for Harmonized Sampling, Assessment, Monitoring and Analysis of the Effects of Air Pollution on Forests; UNECE ICP Forests Programme Co-ordinating Centre, Ed.; Thünen Institute of Forest Ecosystems: Eberswalde, Germany, 2016; Part XII; Available online: https://www.icp-forests.org/pdf/manual/2016/ICP_Manual_2017_01_part12.pdf (accessed on 19 August 2021).




| Soil | Ni | Cu | Cd | Cr | Pb | As | |
|---|---|---|---|---|---|---|---|
| Contaminated | 37.60 | 14.14 | 0.42 | 52.69 | 26.96 | 15.75 | |
| MIN | 36.47 | 12.36 | 0.38 | 50.89 | 22.94 | 13.73 | |
| MAX | 39.17 | 18.87 | 0.49 | 54.70 | 29.81 | 17.90 | |
| SD | 1.09 | 2.39 | 0.04 | 1.69 | 2.31 | 1.40 | |
| CV% | 2.91 | 16.87 | 9.98 | 3.21 | 8.58 | 8.88 | |
| Control | 26.80 | 15.90 | 0.48 | 38.90 | 23.71 | 7.48 | |
| MIN | 25.85 | 14.68 | 0.44 | 34.94 | 20.27 | 5.89 | |
| MAX | 27.63 | 17.11 | 0.53 | 41.71 | 26.24 | 9.71 | |
| SD | 0.82 | 0.94 | 0.04 | 2.45 | 2.23 | 1.44 | |
| CV% | 3.08 | 5.89 | 7.57 | 6.30 | 9.39 | 19.33 | |
| ANOVA | F | 372.90 | 2.83 | 5.69 | 128.75 | 6.15 | 101.66 |
| p 1 | 0.0000 | 0.1232 | 0.0383 | 0.0000 | 0.0326 | 0.0000 |
| Plant Material | Ni | Cu | Cd | Cr | Pb | As | |||||||||||||
|---|---|---|---|---|---|---|---|---|---|---|---|---|---|---|---|---|---|---|---|
| R | S | L | R | S | L | R | S | L | R | S | L | R | S | L | R | S | L | ||
| Contaminated | 21.26 | 1.49 | 2.24 | 45.60 | 8.34 | 13.98 | 3.37 | 3.32 | 4.79 | 5.01 | 3.18 | 1.30 | 5.08 | 0.67 | 0.29 | 5.87 | 1.29 | 0.71 | |
| MIN | 14.21 | 0.00 | 0.00 | 25.87 | 6.51 | 11.78 | 1.46 | 1.80 | 2.88 | 1.93 | 1.43 | 0.00 | 3.62 | 0.00 | 0.00 | 0.55 | 0.00 | 0.00 | |
| MAX | 27.83 | 5.59 | 6.09 | 56.67 | 10.45 | 17.84 | 6.27 | 5.62 | 8.09 | 8.62 | 5.78 | 5.47 | 7.86 | 2.70 | 1.87 | 11.65 | 3.76 | 4.78 | |
| SD | 4.05 | 2.01 | 1.72 | 9.32 | 0.89 | 1.93 | 1.73 | 1.42 | 1.43 | 1.76 | 1.27 | 1.68 | 1.10 | 1.00 | 0.53 | 3.56 | 1.61 | 1.33 | |
| CV% | 19.06 | 134.69 | 76.84 | 20.43 | 10.71 | 13.81 | 51.27 | 42.76 | 29.87 | 35.23 | 40.02 | 129.16 | 21.64 | 150.08 | 183.32 | 60.73 | 125.41 | 185.84 | |
| Control | 2.87 | 0.38 | 0.92 | 8.29 | 4.73 | 5.26 | 0.35 | 0.54 | 1.06 | 3.17 | 1.41 | 0.22 | 0.43 | 0.00 | 0.00 | 0.00 | 0.00 | 0.00 | |
| MIN | 1.06 | 0.00 | 0.00 | 5.85 | 3.18 | 4.23 | 0.24 | 0.49 | 0.80 | 0.43 | 0.00 | 0.00 | 0.00 | 0.00 | 0.00 | 0.00 | 0.00 | 0.00 | |
| MAX | 4.40 | 1.32 | 3.40 | 10.56 | 6.01 | 6.43 | 0.47 | 0.60 | 1.42 | 6.17 | 2.96 | 1.86 | 1.99 | 0.00 | 0.00 | 0.00 | 0.01 | 0.00 | |
| SD | 1.03 | 0.48 | 1.00 | 1.24 | 0.68 | 0.52 | 0.06 | 0.03 | 0.16 | 1.68 | 0.67 | 0.48 | 0.69 | 0.00 | 0.00 | 0.00 | 0.00 | 0.00 | |
| CV% | 35.80 | 126.27 | 108.16 | 14.98 | 14.29 | 9.97 | 18.46 | 6.36 | 15.06 | 53.07 | 47.66 | 215.53 | 161.00 | 0.00 | 00.00 | 0.00 | 424.26 | 0.00 | |
| ANOVA | F | 389.89 | 6.66 | 10.04 | 378.44 | 239.50 | 436.49 | 66.95 | 68.63 | 161.13 | 13.01 | 33.57 | 8.40 | 297.50 | 9.75 | 6.85 | 62.30 | 11.37 | 6.95 |
| p 1 | 0.0000 | 0.0132 | 0.0028 | 0.0000 | 0.0000 | 0.0000 | 0.0000 | 0.0000 | 0.0000 | 0.0008 | 0.0000 | 0.0059 | 0.0000 | 0.0032 | 0.0122 | 0.0000 | 0.0017 | 0.0114 | |
| Genotype | Ni | Cu | Cd | Cr | Pb | As | |||||||||||
|---|---|---|---|---|---|---|---|---|---|---|---|---|---|---|---|---|---|
| Z | K | Z | K | Z | K | Z | K | Z | K | Z | K | ||||||
| Clone 1 | 1 | 7.33 a | 1.22 a | 19.68 a | 6.19 a | 2.94 c | 0.70 a | 2.17 b | 1.39 b | 2.03 a | 0.04 b | 3.77 a | 0.00 a | ||||
| MIN | 0.03 | 0.00 | 7.86 | 4.23 | 1.46 | 0.24 | 0.00 | 0.00 | 0.00 | 0.00 | 0.00 | 0.00 | |||||
| MAX | 22.49 | 3.40 | 32.71 | 10.03 | 5.72 | 1.42 | 4.10 | 3.03 | 6.73 | 0.71 | 11.65 | 0.00 | |||||
| SD | 7.85 | 0.87 | 9.23 | 1.81 | 1.46 | 0.42 | 1.13 | 1.09 | 2.31 | 0.17 | 4.29 | 0.00 | |||||
| CV% | 107.13 | 71.38 | 46.92 | 29.20 | 49.50 | 59.99 | 52.00 | 78.06 | 113.75 | 424.26 | 113.71 | 0.00 | |||||
| Clone 2 | 8.98 a | 1.46 a | 24.47 a | 6.16 a | 4.15 b | 0.73 a | 3.55 ab | 1.17 b | 2.03 a | 0.38 a | 1.84 a | 0.00 a | |||||
| MIN | 0.00 | 0.00 | 6.51 | 3.94 | 2.88 | 0.35 | 0.00 | 0.00 | 0.00 | 0.00 | 0.00 | 0.00 | |||||
| MAX | 25.78 | 3.83 | 53.79 | 9.29 | 6.27 | 1.19 | 6.17 | 2.97 | 7.86 | 1.82 | 4.62 | 0.00 | |||||
| SD | 11.09 | 1.39 | 19.99 | 1.85 | 1.28 | 0.39 | 1.95 | 0.94 | 2.89 | 0.63 | 1.81 | 0.00 | |||||
| CV% | 123.52 | 95.05 | 81.71 | 30.05 | 30.79 | 53.31 | 54.88 | 80.50 | 142.07 | 165.43 | 98.53 | 0.00 | |||||
| Clone 3 | 6.68 a | 1.07 a | 24.13 a | 6.14 a | 2.84 c | 0.63 a | 2.86 ab | 1.26 b | 1.96 a | 0.00 b | 1.79 a | 0.00 a | |||||
| MIN | 0.00 | 0.00 | 7.94 | 3.18 | 1.80 | 0.27 | 0.00 | 0.00 | 0.00 | 0.00 | 0.00 | 0.00 | |||||
| MAX | 21.68 | 4.04 | 56.67 | 10.56 | 4.83 | 1.04 | 7.22 | 3.87 | 6.94 | 0.00 | 5.60 | 0.00 | |||||
| SD | 8.54 | 1.56 | 20.11 | 2.24 | 1.21 | 0.25 | 2.45 | 1.23 | 2.52 | 0.00 | 2.07 | 0.00 | |||||
| CV% | 127.91 | 146.64 | 83.33 | 36.41 | 42.72 | 39.37 | 85.56 | 97.87 | 128.61 | 0.00 | 115.38 | 0.00 | |||||
| Clone 4 | 10.72 a | 1.59 a | 23.52 a | 6.00 a | 5.38 a | 0.64 a | 4.28 a | 2.76 a | 2.25 a | 0.20 ab | 3.09 a | 0.00 a | |||||
| MIN | 0.00 | 0.00 | 7.40 | 4.37 | 3.66 | 0.29 | 0.00 | 0.00 | 0.00 | 0.00 | 0.00 | 0.00 | |||||
| MAX | 27.83 | 4.40 | 50.32 | 8.86 | 8.09 | 1.09 | 8.62 | 6.17 | 5.19 | 1.99 | 10.03 | 0.01 | |||||
| SD | 11.10 | 1.58 | 18.56 | 1.43 | 1.33 | 0.27 | 2.74 | 2.43 | 1.83 | 0.58 | 4.09 | 0.00 | |||||
| CV% | 103.58 | 99.09 | 78.91 | 23.88 | 24.69 | 42.54 | 63.99 | 88.04 | 81.30 | 286.29 | 132.06 | 412.31 | |||||
| ANOVA 2 | F | 0.62 | 0.47 | 0.26 | 0.04 | 14.67 | 0.35 | 2.87 | 4.01 | 0.04 | 2.69 | 1.60 | 0.94 | ||||
| p | 0.6041 | 0.7008 | 0.8561 | 0.9897 | 0.0000 | 0.7876 | 0.0432 | 0.0111 | 0.9881 | 0.0538 | 0.1969 | 0.4277 | |||||
| CDA | Eigenvalues | Percentage | Eigenvalues | ||||||||||||||
| Z | K | Z | K | ||||||||||||||
| DA1 | 200.03 | 25.57 | 84.97 | 67.08 | 0.24 | 0.28 | 0.90 | 0.08 | −0.10 | 1.02 | 0.03 | −0.32 | 0.45 | 0.00 | 0.01 | 0.00 | |
| DA2 | 26.61 | 6.35 | 11.30 | 16.67 | 0.12 | 0.82 | −0.02 | 0.61 | 1.01 | 0.29 | −0.13 | −0.39 | −0.02 | 0.66 | −0.18 | 0.00 | |
Disclaimer/Publisher’s Note: The statements, opinions and data contained in all publications are solely those of the individual author(s) and contributor(s) and not of MDPI and/or the editor(s). MDPI and/or the editor(s) disclaim responsibility for any injury to people or property resulting from any ideas, methods, instructions or products referred to in the content. |
© 2024 by the authors. Licensee MDPI, Basel, Switzerland. This article is an open access article distributed under the terms and conditions of the Creative Commons Attribution (CC BY) license (https://creativecommons.org/licenses/by/4.0/).
Share and Cite
Urošević, J.; Stanković, D.; Jokanović, D.; Trivan, G.; Rodzkin, A.; Jović, Đ.; Jovanović, F. Phytoremediation Potential of Different Genotypes of Salix alba and S. viminalis. Plants 2024, 13, 735. https://doi.org/10.3390/plants13050735
Urošević J, Stanković D, Jokanović D, Trivan G, Rodzkin A, Jović Đ, Jovanović F. Phytoremediation Potential of Different Genotypes of Salix alba and S. viminalis. Plants. 2024; 13(5):735. https://doi.org/10.3390/plants13050735
Chicago/Turabian StyleUrošević, Jelena, Dragica Stanković, Dušan Jokanović, Goran Trivan, Aleh Rodzkin, Đorđe Jović, and Filip Jovanović. 2024. "Phytoremediation Potential of Different Genotypes of Salix alba and S. viminalis" Plants 13, no. 5: 735. https://doi.org/10.3390/plants13050735
APA StyleUrošević, J., Stanković, D., Jokanović, D., Trivan, G., Rodzkin, A., Jović, Đ., & Jovanović, F. (2024). Phytoremediation Potential of Different Genotypes of Salix alba and S. viminalis. Plants, 13(5), 735. https://doi.org/10.3390/plants13050735

