The Effect of Nutrient Deficiencies on the Annual Yield and Root Growth of Summer Corn in a Double-Cropping System
Abstract
1. Introduction
2. Materials and Methods
2.1. Experimental Design and Crop Management
2.2. Sampling and Measurements
2.2.1. Yield
2.2.2. Root Morphology
2.3. Statistical Analysis
3. Results
3.1. Dry Matter Accumulation
3.2. Root Fresh Matter and Root Dry Matter
3.3. Root Characteristics of Summer Corn
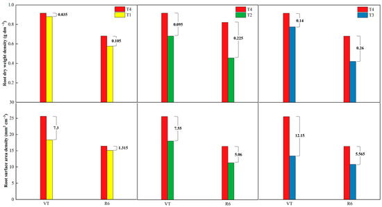
3.3.1. Root Length Density, Root Surface Area Density, and Root Dry Weight Density
3.3.2. Root Diameter and Root Length
3.4. Grain Yield
3.5. Correlation Analysis of Yield and Root Characteristics
4. Discussion
5. Conclusions
Author Contributions
Funding
Data Availability Statement
Acknowledgments
Conflicts of Interest
References
- Wang, J.; Wang, E.L.; Yang, X.G.; Zhang, F.S.; Yin, H. Increased yield potential of wheat-maize cropping system in the North China Plain by climate change adaptation. Clim. Chang. 2012, 113, 825–840. [Google Scholar] [CrossRef]
- Yang, X.-Y.; Sun, B.-H.; Zhang, S.-L. Trends of yield and soil fertility in a long-term wheat-maize system. J. Integr. Agric. 2014, 13, 402–414. [Google Scholar] [CrossRef]
- Venkatesh, M.S.; Hazra, K.K.; Ghosh, P.K.; Khuswah, B.L.; Ganeshamurthy, A.N.; Ali, M.; Singh, J.; Mathur, R.S. Long–term effect of crop rotation and nutrient management on soil–plant nutrient cycling and nutrient budgeting in Indo–Gangetic plains of India. Arch. Agron. Soil Sci. 2017, 63, 2007–2022. [Google Scholar] [CrossRef]
- Zingore, S.; Murwira, H.; Delve, R.; Giller, K. Influence of nutrient management strategies on variability of soil fertility, crop yields and nutrient balances on smallholder farms in Zimbabwe. Agric. Ecosyst. Environ. 2007, 119, 112–126. [Google Scholar] [CrossRef]
- Philippot, L.; Chenu, C.; Kappler, A.; Rillig, M.C.; Fierer, N. The interplay between microbial communities and soil properties. Nat. Rev. Microbiol. 2023, 1–14. [Google Scholar] [CrossRef]
- Sacco, D.; Moretti, B.; Monaco, S.; Grignani, C. Six-year transition from conventional to organic farming: Effects on crop production and soil quality. Eur. J. Agron. 2015, 69, 10–20. [Google Scholar] [CrossRef]
- Hazra, K.K.; Swain, D.K.; Bohra, A.; Singh, S.S.; Kumar, N.; Nath, C.P. Organic rice: Potential production strategies, challenges and prospects. Org. Agric. 2018, 8, 39–56. [Google Scholar] [CrossRef]
- Grant, C.A.; Peterson, G.A.; Campbell, C.A. Nutrient considerations for diversified cropping systems in the northern Great Plains. Agron. J. 2002, 94, 186–198. [Google Scholar] [CrossRef]
- Yang, J.; Zhang, H.; Zhang, J. Root morphology and physiology in relation to the yield formation of rice. J. Integr. Agric. 2012, 11, 920–926. [Google Scholar] [CrossRef]
- Herms, C.H.; Hennessy, R.C.; Bak, F.; Dresbøll, D.B.; Nicolaisen, M.H. Back to our roots: Exploring the role of root morphology as a mediator of beneficial plant–microbe interactions. Environ. Microbiol. 2022, 24, 3264–3272. [Google Scholar] [CrossRef]
- Wan, H.; Liu, X.; Shi, Q.; Chen, Y.; Jiang, M.; Zhang, J.; Cui, B.; Hou, J.; Wei, Z.; Hossain, M.A.; et al. Biochar amendment alters root morphology of maize plant: Its implications in enhancing nutrient uptake and shoot growth under reduced irrigation regimes. Front. Plant Sci. 2023, 14, 1122742. [Google Scholar] [CrossRef]
- Ma, J.; Chen, T.; Lin, J.; Fu, W.; Feng, B.; Li, G.; Li, H.; Li, J.; Wu, Z.; Tao, L.; et al. Functions of nitrogen, phosphorus and potassium in energy status and their influences on rice growth and development. Rice Sci. 2022, 29, 166–178. [Google Scholar]
- Brackin, R.; Näsholm, T.; Robinson, N.; Guillou, S.; Vinall, K.; Lakshmanan, P.; Schmidt, S.; Inselsbacher, E. Nitrogen fluxes at the root-soil interface show a mismatch of nitrogen fertilizer supply and sugarcane root uptake capacity. Sci. Rep. 2015, 5, 15727. [Google Scholar] [CrossRef] [PubMed]
- Mahmud, K.; Panday, D.; Mergoum, A.; Missaoui, A. Nitrogen losses and potential mitigation strategies for a sustainable agroecosystem. Sustainability 2021, 13, 2400. [Google Scholar] [CrossRef]
- Pang, J.; Wen, Z.; Kidd, D.; Ryan, M.H.; Yu, R.-P.; Li, L.; Cong, W.-F.; Siddique, K.H.; Lambers, H. Advances in understanding plant root uptake of phosphorus. Underst. Improv. Crop Root Funct. 2021, 321–372. [Google Scholar]
- Chen, X.; Liu, P.; Zhao, B.; Zhang, J.; Ren, B.; Li, Z.; Wang, Z. Root physiological adaptations that enhance the grain yield and nutrient use efficiency of maize (Zea mays L.) and their dependency on phosphorus placement depth. Field Crop. Res. 2022, 276, 108378. [Google Scholar] [CrossRef]
- Zhao, X.-H.; Yu, H.-Q.; Wen, J.; Wang, X.-G.; DU, Q.; Wang, J.; Wang, Q. Response of root morphology, physiology and endogenous hormones in maize (Zea mays L.) to potassium deficiency. J. Integr. Agric. 2016, 15, 785–794. [Google Scholar] [CrossRef]
- Hasanuzzaman, M.; Bhuyan, M.H.M.B.; Nahar, K.; Hossain, M.S.; Mahmud, J.A.; Hossen, M.S.; Masud, A.A.C.; Moumita; Fujita, M. Potassium: A vital regulator of plant responses and tolerance to abiotic stresses. Agronomy 2018, 8, 31. [Google Scholar] [CrossRef]
- Xu, Q.; Fu, H.; Zhu, B.; Hussain, H.A.; Zhang, K.; Tian, X.; Duan, M.; Xie, X.; Wang, L. Potassium Improves Drought Stress Tolerance in Plants by Affecting Root Morphology, Root Exudates, and Microbial Diversity. Metabolites 2021, 11, 131. [Google Scholar] [CrossRef]
- Wang, H.; Inukai, Y.; Yamauchi, A. Root Development and Nutrient Uptake. Crit. Rev. Plant Sci. 2007, 25, 279–301. [Google Scholar] [CrossRef]
- Nakayama, H.; Sinha, N.R.; Kimura, S. How do plants and phytohormones accomplish heterophylly, leaf phenotypic plasticity, in response to environmental cues. Front. Plant Sci. 2017, 8, 1717. [Google Scholar] [CrossRef] [PubMed]
- Xiong, Q.; Hu, J.; Wei, H.; Zhang, H.; Zhu, J. Relationship between plant roots, rhizosphere microorganisms, and nitrogen and its special focus on rice. Agriculture 2021, 11, 234. [Google Scholar] [CrossRef]
- Shi, F.; Song, C.; Zhang, X.; Mao, R.; Guo, Y.; Gao, F. Plant zonation patterns reflected by the differences in plant growth, biomass partitioning and root traits along a water level gradient among four common vascular plants in freshwater marshes of the Sanjiang Plain, Northeast China. Ecol. Eng. 2015, 81, 158–164. [Google Scholar] [CrossRef]
- Liu, Y.; von Wirén, N. Integration of nutrient and water availabilities via auxin into the root developmental program. Curr. Opin. Plant Biol. 2022, 65, 102117. [Google Scholar] [CrossRef] [PubMed]
- Iannucci, A.; Canfora, L.; Nigro, F.; De Vita, P.; Beleggia, R. Relationships between root morphology, root exudate compounds and rhizosphere microbial community in durum wheat. Appl. Soil Ecol. 2021, 158, 103781. [Google Scholar] [CrossRef]
- Qi, W.-Z.; Liu, H.-H.; Liu, P.; Dong, S.-T.; Zhao, B.-Q.; So, H.B.; Li, G.; Liu, H.-D.; Zhang, J.-W.; Zhao, B. Morphological and physiological characteristics of corn (Zea mays L.) roots from cultivars with different yield potentials. Eur. J. Agron. 2012, 38, 54–63. [Google Scholar] [CrossRef]
- Liu, Z.; Zhu, K.; Dong, S.; Liu, P.; Zhao, B.; Zhang, J. Effects of integrated agronomic practices management on root growth and development of summer maize. Eur. J. Agron. 2017, 84, 140–151. [Google Scholar] [CrossRef]
- Saowong, K.; Saengwilai, P.J.; Fuangarworn, M.; Nakamura, A.; Jeratthitikul, E. Maize varieties and their root trait variation mediate the development of rhizosphere arthropod diversity. Appl. Soil Ecol. 2022, 180, 104615. [Google Scholar] [CrossRef]
- Giacometti, C.; Mazzon, M.; Cavani, L.; Triberti, L.; Baldoni, G.; Ciavatta, C.; Marzadori, C. Rotation and fertilization effects on soil quality and yields in a long term field experiment. Agronomy 2021, 11, 636. [Google Scholar] [CrossRef]
- Okebalama, C.B.; Marschner, B. Reapplication of biochar, sewage waste water, and NPK fertilizers affects soil fertility, aggregate stability, and carbon and nitrogen in dry-stable aggregates of semi-arid soil. Sci. Total Environ. 2023, 866, 161203. [Google Scholar] [CrossRef]
- Fageria, N.K.; Moreira, A. The role of mineral nutrition on root growth of crop plants. Adv. Agron. 2011, 110, 251–331. [Google Scholar]
- Soltangheisi, A.; Ishak, C.F.; Musa, H.M.; Zakikhani, H.; Rahman, Z.A. Phosphorus and zinc uptake and their interaction effect on dry matter and chlorophyll content of sweet corn (Zea mays var. saccharata). J. Agron. 2013, 12, 187–192. [Google Scholar] [CrossRef]
- Szulc, P.; Ambroży-Deręgowska, K.; Waligóra, H.; Mejza, I.; Grześ, S.; Zielewicz, W.; Wróbel, B. Dry matter yield of maize (Zea mays L.) as an indicator of mineral fertilizer efficiency. Plants 2021, 10, 535. [Google Scholar] [CrossRef] [PubMed]
- Topak, R.; Acar, B.; Uyanöz, R.; Ceyhan, E. Performance of partial root-zone drip irrigation for sugar beet production in a semi-arid area. Agric. Water Manag. 2016, 176, 180–190. [Google Scholar] [CrossRef]
- Wang, X.-C.; Liu, R.; Luo, J.-N.; Zhu, P.-F.; Wang, Y.-S.; Pan, X.-C.; Shu, L.-Z. Effects of water and NPK fertigation on watermelon yield, quality, irrigation-water, and nutrient use efficiency under alternate partial root-zone drip irrigation. Agric. Water Manag. 2022, 271, 107785. [Google Scholar] [CrossRef]
- Hiltpold, I.; Turlings, T.C.J. Belowground chemical signaling in maize: When simplicity rhymes with efficiency. J. Chem. Ecol. 2008, 34, 628–635. [Google Scholar] [CrossRef]
- Guan, X.-J.; Chen, J.; Chen, X.-M.; Xie, J.; Deng, G.-Q.; Hu, L.-Z.; Li, Y.; Qian, Y.-F.; Qiu, C.-F.; Peng, C.-R. Root characteristics and yield of rice as affected by the cultivation pattern of strong seedlings with increased planting density and reduced nitrogen application. J. Integr. Agric. 2022, 21, 1278–1289. [Google Scholar] [CrossRef]
- Li, R.; Liu, P.; Dong, S.; Zhang, J.; Zhao, B. Increased maize plant population induced leaf senescence, suppressed root growth, nitrogen uptake, and grain yield. Agron. J. 2019, 111, 1581–1591. [Google Scholar] [CrossRef]
- Vetterlein, D.; Phalempin, M.; Lippold, E.; Schlüter, S.; Schreiter, S.; Ahmed, M.A.; Carminati, A.; Duddek, P.; Jorda, H.; Bienert, G.P.; et al. Root hairs matter at field scale for maize shoot growth and nutrient uptake, but root trait plasticity is primarily triggered by texture and drought. Plant Soil 2022, 478, 119–141. [Google Scholar] [CrossRef]
- Thidar, M.; Gong, D.; Mei, X.; Gao, L.; Li, H.; Hao, W.; Gu, F. Mulching improved soil water, root distribution and yield of maize in the Loess Plateau of Northwest China. Agric. Water Manag. 2020, 241, 106340. [Google Scholar] [CrossRef]
- Peng, Y.; Li, X.; Li, C. Temporal and spatial profiling of root growth revealed novel response of maize roots under various nitrogen supplies in the field. PLoS ONE 2012, 7, e37726. [Google Scholar] [CrossRef] [PubMed]
- Costa, S.; Souza, E.; Anghinoni, I.; Flores, J.; Vieira, F.; Martins, A.; Ferreira, E. Patterns in phosphorus and corn root distribution and yield in long-term tillage systems with fertilizer application. Soil Tillage Res. 2010, 109, 41–49. [Google Scholar] [CrossRef]
- Fang, H.; Li, Y.; Gu, X.; Chen, P.; Li, Y. Root characteristics, utilization of water and nitrogen, and yield of maize under biodegradable film mulching and nitrogen application. Agric. Water Manag. 2022, 262, 107392. [Google Scholar] [CrossRef]
- Li, H.; Mollier, A.; Ziadi, N.; Shi, Y.; Parent, L.; Morel, C. The long-term effects of tillage practice and phosphorus fertilization on the distribution and morphology of corn root. Plant Soil 2017, 412, 97–114. [Google Scholar] [CrossRef]
- Çakir, R. Effect of water stress at different development stages on vegetative and reproductive growth of corn. Field Crop. Res. 2004, 89, 1–16. [Google Scholar] [CrossRef]
- Calleja-Cabrera, J.; Boter, M.; Oñate-Sánchez, L.; Pernas, M. Root growth adaptation to climate change in crops. Front. Plant Sci. 2020, 11, 544. [Google Scholar] [CrossRef]




| Year | OM (g/kg) | pH | TN (g/kg) | TP (g/kg) | TK (g/kg) | HN (mg/kg) | AP (mg/kg) | AK (mg/kg) |
|---|---|---|---|---|---|---|---|---|
| 2021 | 12.94 | 8.57 | 0.96 | 0.86 | 15.74 | 54.2 | 11.3 | 113 |
| 2022 | 13.06 | 8.49 | 0.93 | 0.75 | 16.08 | 63.5 | 10.9 | 109 |
| Year | Soil Layer | Treatment | VT | R6 | ||||
|---|---|---|---|---|---|---|---|---|
| Root Length Density (mm cm−3) | Root Surface Area Density (mm2 cm−3) | Root Dry Weight Density (g dm−3) | Root Length Density (mm cm−3) | Root Surface Area Density (mm2 cm−3) | Root dry Weight Density (g dm−3) | |||
| 2021 | 0–20 | T4 | 9.2 a | 16.2 a | 0.44 a | 2.1 a | 6.2 a | 0.41 a |
| T3 | 3.1 c | 5.9 c | 0.27 b | 2.2 a | 5.2 b | 0.38 a | ||
| T2 | 5.8 b | 11.2 b | 0.43 a | 1.6 b | 4.5 bc | 0.25 c | ||
| T1 | 2.9 c | 9.8 b | 0.15 c | 2.3 a | 4.9 bc | 0.30 b | ||
| CK | 3.0 c | 5.0 c | 0.15 c | 1.8 b | 4.1 c | 0.29 b | ||
| 20–40 | T4 | 1.4 a | 3.1 a | 0.38 bc | 0.33 a | 0.63 b | 0.03 a | |
| T3 | 1.5 a | 2.2 b | 0.47 b | 0.32 a | 0.77 a | 0.04 a | ||
| T2 | 0.8 b | 1.5 b | 0.37 bc | 0.22 bc | 0.53 c | 0.02 b | ||
| T1 | 1.5 a | 2.9 a | 0.66 a | 0.20 c | 0.44 c | 0.02 b | ||
| CK | 0.9 b | 2.3 ab | 0.34 c | 0.27 b | 0.53 c | 0.03 a | ||
| 40–60 | T4 | 2.1 a | 4.8 a | 0.38 a | 0.23 ab | 0.48 a | 0.02 a | |
| T3 | 1.2 b | 2.0 b | 0.41 a | 0.26 a | 0.53 a | 0.01 a | ||
| T2 | 1.0 b | 1.8 b | 00.29 b | 0.15 c | 0.26 b | 0.01 a | ||
| T1 | 0.9 b | 1.8 b | 0.42 a | 0.19 b | 0.35 b | 0.02 a | ||
| CK | 1.3 b | 1.4 b | 0.19 b | 0.15 c | 0.32 b | 0.01 a | ||
| 2022 | 0–20 | T4 | 5.2 a | 16.2 a | 0.49 a | 8.7 a | 21.8 a | 0.79 a |
| T3 | 3.3 b | 10.4 b | 0.3 b | 6.0 b | 12.1 b | 0.34 b | ||
| T2 | 5.0 a | 14.6 a | 0.45 a | 5.6 b | 15.4 b | 0.56 a | ||
| T1 | 4.8 a | 15.1 a | 0.47 a | 8.6 a | 21.2 a | 0.73 a | ||
| CK | 3.3 b | 10.5 b | 0.28 b | 4.0 c | 8.0 c | 0.31 b | ||
| 20–40 | T4 | 2.6 a | 5.4 a | 0.07 a | 1.1 a | 2.0 a | 0.06 a | |
| T3 | 2.0 a | 3.8 ab | 0.06 a | 1.0 a | 2.0 a | 0.04 a | ||
| T2 | 2.3 a | 4.2 a | 0.06 a | 0.6 b | 1.3 b | 0.05 a | ||
| T1 | 2.0 ab | 3.7 bc | 0.04 b | 0.7 b | 2.3 a | 0.06 a | ||
| CK | 1.6 b | 2.7 c | 0.06 a | 0.5 c | 1.1 b | 0.03 a | ||
| 40–60 | T4 | 2.8 a | 5.5 a | 0.07 a | 0.94 a | 1.69 a | 0.05 a | |
| T3 | 1.3 c | 2.6 b | 0.04 b | 0.52 b | 1.07 b | 0.03 b | ||
| T2 | 1.8 b | 2.8 b | 0.04 b | 0.42 c | 0.69 c | 0.02 b | ||
| T1 | 2.0 b | 3.3 b | 0.02 c | 0.13 d | 0.98 c | 0.02 b | ||
| CK | 0.5 d | 0.7 c | 0.05 ab | 0.42 c | 0.26 d | 0.01 c | ||
| Year | * | ** | ** | ** | ** | * | ||
| Soil Layer | ** | ** | * | ** | ** | ** | ||
| Treatment | * | ** | NS | NS | NS | * | ||
| Year × Soil Layer | NS | * | ** | ** | ** | NS | ||
| Year × Treatment | NS | NS | NS | * | NS | * | ||
| S L × T | NS | * | NS | * | NS | NS | ||
| Year | Soil Layer | Treatment | VT | R6 | ||
|---|---|---|---|---|---|---|
| Root Diameter (cm) | Root Length (m) | Root Diameter (cm) | Root Length (m) | |||
| 2021 | 0–20 | T4 | 9.2 a | 269.4 a | 5.4 a | 63.1 a |
| T3 | 3.5 b | 90.1 c | 5.0 a | 63.3 a | ||
| T2 | 7.6 a | 171.8 b | 4.2 b | 46.5 b | ||
| T1 | 3.4 b | 148.6 b | 5.1 a | 49.7 b | ||
| CK | 4.2 b | 84.4 c | 4.2 b | 54.6 b | ||
| 20–40 | T4 | 1.8 a | 49.1 a | 1.1 a | 9.3 a | |
| T3 | 1.7 ab | 43.6 a | 0.8 b | 9.7 a | ||
| T2 | 1.4 bc | 33.9 b | 0.5 c | 6.4 b | ||
| T1 | 1.4 bc | 34.5 b | 0.4 c | 5.9 b | ||
| CK | 1.2 c | 35.0 b | 0.6 bc | 6.5 b | ||
| 40–60 | T4 | 1.53 a | 42.8 a | 0.4 a | 6.7 ab | |
| T3 | 1.53 a | 35.6 a | 0.4 a | 7.5 a | ||
| T2 | 1.51 a | 30.2 b | 0.2 a | 4.5 c | ||
| T1 | 1.4 a | 38.9 a | 0.3 a | 5.5 b | ||
| CK | 1.5 a | 26.4 b | 0.4 a | 4.5 c | ||
| 2022 | 0–20 | T4 | 6.9 a | 159.2 a | 7.7 a | 256.5 a |
| T3 | 4.6 bc | 107.9 c | 3.9 bc | 176.4 c | ||
| T2 | 6.0 ab | 148.2 ab | 6.1 a | 163.8 c | ||
| T1 | 6.0 ab | 142.2 b | 7.6 a | 215.8 b | ||
| CK | 4.0 c | 97.5 c | 3.2 c | 114.5 d | ||
| 20–40 | T4 | 1.7 a | 76.1 a | 1.3 a | 29.3 a | |
| T3 | 1.3 ab | 58.6 b | 1.1 a | 25.1 a | ||
| T2 | 1.3 ab | 67.8 a | 0.9 b | 18.4 b | ||
| T1 | 0.9 b | 48.4 c | 0.9 b | 18.9 b | ||
| CK | 1.3 ab | 45.9 c | 0.8 b | 18.0 b | ||
| 40–60 | T4 | 1.6 a | 60.3 a | 0.7 a | 19.2 a | |
| T3 | 0.8 b | 37.8 c | 0.7 a | 15.2 b | ||
| T2 | 0.8 b | 52.2 b | 0.4 c | 12.4 b | ||
| T1 | 0.2 c | 36.8 c | 0.1 c | 13.3 b | ||
| CK | 1.0 b | 38.6 c | 0.6 b | 4.0 c | ||
| Year | NS | ** | ** | ** | ||
| Soil Layer | ** | ** | ** | ** | ||
| Treatment | * | ** | ** | NS | ||
| Year × Soil Layer | NS | ** | * | ** | ||
| Year × Treatment | NS | ** | ** | * | ||
| S L × T | * | ** | * | ** | ||
| Year | Treatment | Harvest Ear Number (ears·ha−1) | Grains per Ear | 1000-Grain Weight (g) | Yield (kg·ha−1) | Annual Yield (kg ha−1) |
|---|---|---|---|---|---|---|
| 2021 | T1 | 52,500 a | 538 a | 295 a | 9693 b | |
| T2 | 51,100 a | 530 a | 299 a | 9387 b | ||
| T3 | 52,500 a | 512 b | 283 b | 8862 bc | ||
| T4 | 55,300 a | 565 a | 300 a | 10,888 a | ||
| CK | 53,000 a | 478 b | 282 b | 8306 c | ||
| 2022 | T1 | 48,000 ab | 578 c | 316 a | 8957 b | 21,036 b |
| T2 | 47,700 ab | 649 a | 320 a | 9925 ab | 23,723 a | |
| T3 | 44,700 ab | 598 b | 267 b | 7221 c | 20,157 c | |
| T4 | 51,100 a | 618 ab | 323 a | 10,202 a | 23,531 a | |
| CK | 43,000 b | 614 a | 287 b | 7653 c | 19,452 c | |
| Year | ** | ** | NS | ** | ||
| Treatment | * | * | ** | ** | ||
| Year × Treatment | NS | * | NS | * |
| Yield | Root Length | Root Diameter | Root Length Density | Root Surface Area Density | Root Dry Weight Density | Root Fresh Matter | Root Dry Matter | Dry Matter per Plant | |
|---|---|---|---|---|---|---|---|---|---|
| Yield | 1 | ||||||||
| Root length | 0.919 ** | 1 | |||||||
| Root diameter | 0.781 * | 0.658 * | 1 | ||||||
| Root length density | 0.824 ** | 0.989 ** | 0.695 * | 1 | |||||
| Root surface area density | 0.779 * | 0.973 ** | 0.792 ** | 0.983 ** | 1 | ||||
| Root dry weight density | 0.723 * | 0.858 ** | 0.932 ** | 0.872 ** | 0.935 ** | 1 | |||
| Root fresh matter | 0.975 ** | 0.591 | 0.545 | 0.544 | 0.593 | 0.616 | 1 | ||
| Root dry matter | 0.891 ** | 0.842 ** | 0.842 ** | 0.832 ** | 0.890 ** | 0.925 ** | 0.678 * | 1 | |
| dry matter per plant | 0.865 * | 0.814 ** | 0.77 ** | 0.808 ** | 0.841 ** | 0.811 ** | 0.563 | 0.837 ** | 1 |
Disclaimer/Publisher’s Note: The statements, opinions and data contained in all publications are solely those of the individual author(s) and contributor(s) and not of MDPI and/or the editor(s). MDPI and/or the editor(s) disclaim responsibility for any injury to people or property resulting from any ideas, methods, instructions or products referred to in the content. |
© 2024 by the authors. Licensee MDPI, Basel, Switzerland. This article is an open access article distributed under the terms and conditions of the Creative Commons Attribution (CC BY) license (https://creativecommons.org/licenses/by/4.0/).
Share and Cite
Wang, C.; Ma, Y.; Zhao, R.; Sun, Z.; Wang, X.; Gao, F. The Effect of Nutrient Deficiencies on the Annual Yield and Root Growth of Summer Corn in a Double-Cropping System. Plants 2024, 13, 682. https://doi.org/10.3390/plants13050682
Wang C, Ma Y, Zhao R, Sun Z, Wang X, Gao F. The Effect of Nutrient Deficiencies on the Annual Yield and Root Growth of Summer Corn in a Double-Cropping System. Plants. 2024; 13(5):682. https://doi.org/10.3390/plants13050682
Chicago/Turabian StyleWang, Chuangyun, Yankun Ma, Rong Zhao, Zheng Sun, Xiaofen Wang, and Fei Gao. 2024. "The Effect of Nutrient Deficiencies on the Annual Yield and Root Growth of Summer Corn in a Double-Cropping System" Plants 13, no. 5: 682. https://doi.org/10.3390/plants13050682
APA StyleWang, C., Ma, Y., Zhao, R., Sun, Z., Wang, X., & Gao, F. (2024). The Effect of Nutrient Deficiencies on the Annual Yield and Root Growth of Summer Corn in a Double-Cropping System. Plants, 13(5), 682. https://doi.org/10.3390/plants13050682

