Abstract
The choice of tea utensils used for brewing significantly impacts the sensory and chemical attributes of tea. In order to assess the influence of various tea sets on the flavor and chemical composition of different tea varieties, a combination of sensory evaluation and high-performance liquid chromatography was employed. The results showed that the content of amino acids in the tea liquid brewed with tin tea utensils was relatively higher, which could exhibit freshness in taste, thus suitable for brewing green tea and white tea. The content of polyphenols, soluble carbohydrates, and water extract in the tea liquid brewed with a porcelain tea set was relatively higher; the sweetness and thickness of the tea liquid were increased, so it was more beneficial to brew black tea. The purple sand tea set was suitable for brewing oolong tea and dark tea, and could endow their respective quality characteristics. Ultimately, these research findings provide a scientific basis for the selection of tea utensils tailored to different types of tea.
1. Introduction
There are a variety of tea types in China. The most common classification method is to divide Chinese tea into six categories according to different processing techniques and fermentation levels, namely green tea, yellow tea, dark tea, white tea, oolong tea, and black tea. The first step in green tea processing is to destroy enzymes at high temperatures, which is also the key step. Green tea is a non-fermented tea. The processing of yellow tea is to add a process of yellowing [1,2] on the basis of green tea. Yellow tea is a lightly fermented tea. The processing of dark tea involves adding a process of pile fermenting on the basis of green tea and ferment the tea through microorganisms [3]. Dark tea is a post-fermented tea. The processing of white tea, which is a micro-fermented tea, mainly uses sunlight for withering [4]. The key step in the processing of oolong tea is the rotation course (Zuo-Qing), which controls the degree of fragmentation of tea cells in order to achieve the purpose of controlling the degree of fermentation. Oolong tea is a semi-fermented tea [5]. Black tea is a fully fermented tea. Through withering, rolling, and fermentation, the polyphenols in tea are oxidized as much as possible into the substances of theaflavins and thearubigins, thus forming its special flavor.
Each type of tea has its own unique flavor, and the formation of quality is closely related to the variety of the tea plant [6], the environmental conditions of the tea plant [7], the cutting, picking, shading, and other cultivation techniques [8], and the processing technology [9,10]. Brewing is also a key step that determines the flavor; different brewing methods will give the tea different flavors. Water quality is another factor; different pH values, the total dissolved solids (TDS) content, and the ions contained will affect the volatile and non-volatile components [11,12,13]. It is necessary to choose reasonable brewing parameters according to the characteristics of different teas [14]. It is generally believed that green tea can be brewed at about 85 °C, and it is brewed no more than three times; the brewing time needs to be adjusted according to the shape of the tea [15,16,17,18]. Oolong tea is characterized by multiple brewing times and a rich flavor and is generally brewed at about 95 °C [19,20]. When brewing black tea, the concentrations of the water extract, theaflavins, and thearubigins are generally used as the evaluation criteria for the appropriate concentration. It is appropriate to brew black tea two times to keep a suitable taste, and the selection of the tea-to-water ratio may be more important [21,22]. For white tea, the main characteristic is “fresh”, so it can be steeped in cold water for a long time [23]. However, hot water could significantly increase the extraction rate of tea polyphenols and amino acids [24]. Temperature has the greatest influence on the concentration of intrinsic components in the tea extract, and the most suitable temperature for white tea is 100 °C [25,26]. Dark tea is a unique tea in China that uses mature raw materials. Due to the low leaching rate of its internal components, the brewing temperature is generally 100 °C, and the brewing time is generally over 5 min. In order to obtain a better taste, the tea-to-water ratio should not be greater than 1:75 [3,27].
In addition to water and brewing methods, tea sets also play an important role. Tea was born by water and nurtured by utensils, and the latter are always combined with and influenced by the development of tea culture, which gives it various features and aesthetic characteristics [28]. Throughout the history of Chinese tea utensils, their textures have mainly included pottery, metal, porcelain, bamboo, glass, purple sand, lacquerware, and enamel, each influencing different aspects of tea infusion [29,30]. However, there are few studies reporting the influence of different tea utensils on the brewing of different teas. The purpose of this article is to explore the infusion characteristics of different teas when brewing with different tea sets and provide a theory for scientifically selecting tea sets for brewing different teas.
2. Results and Discussion
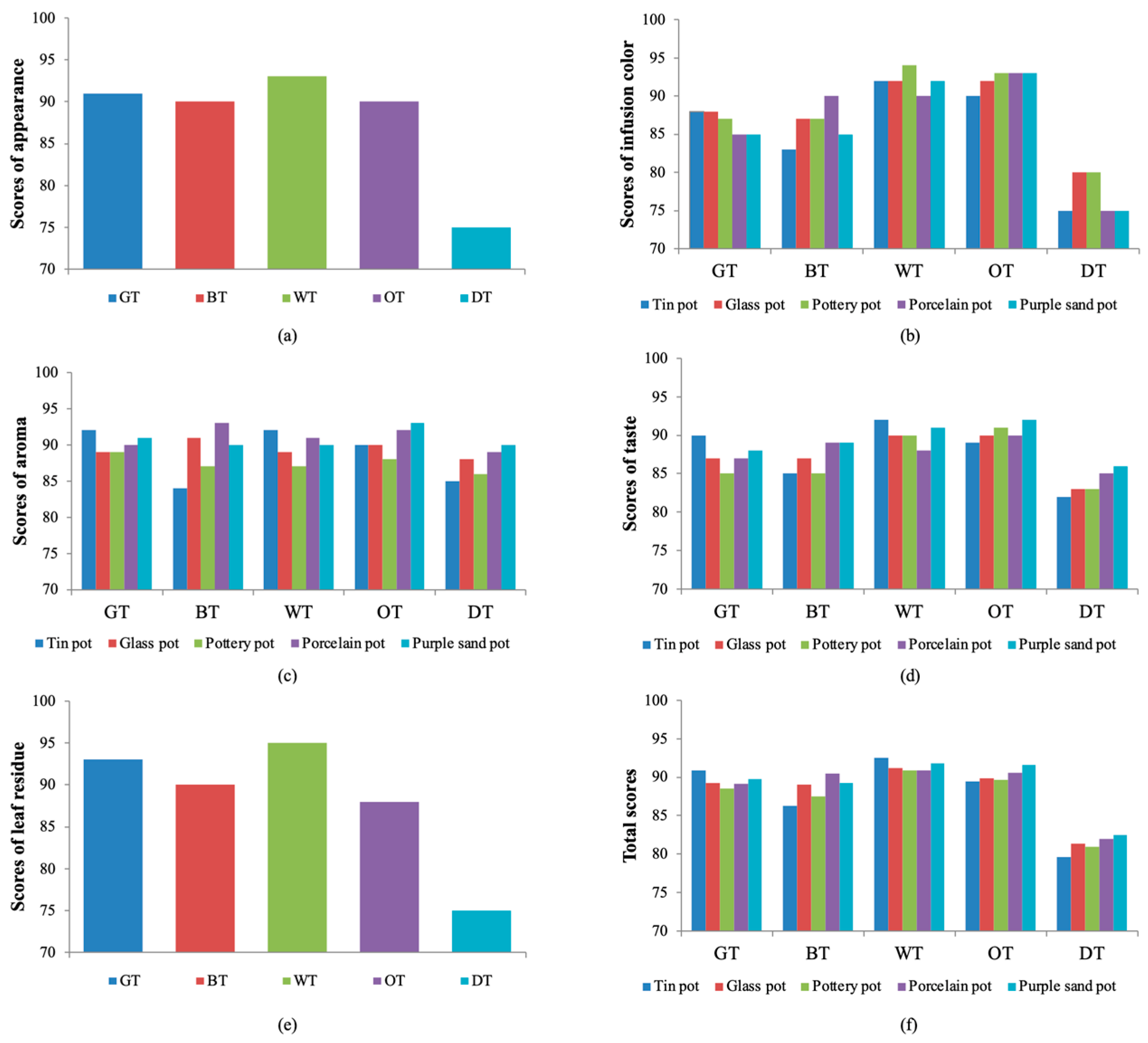
2.1. Sensory Evaluation of Teas Brewed with Various Tea Sets
In this experiment, sensory evaluations of five representative teas were carried out using tea sets with different textures (Table 1). It was found that when the same tea was brewed with different tea sets, it had different characteristics, including color, aroma, and taste. From the comprehensive score, green tea (90.85 points) and white tea (92.55 points) presented in a tin set had a better flavor. Porcelain improved the quality of black tea (90.45 points) (Figure 1). The purple sand tea set gave oolong tea (91.55 points) and black tea (82.5 points) a better flavor. After analyzing the different properties of tea soup (Figure 2), we found that brewing green tea with a tin tea set produced the best freshness and the lowest bitterness. Brewing black tea with the porcelain tea set produced the best sweetness and freshness. Brewing white tea with the tin tea set and glass tea set gave good performance in terms of freshness and sweetness, while its thickness performed badly in the glass tea set. The purple sand tea set can improve the sweetness and freshness in oolong tea and dark tea, especially for the latter, which is also the best in terms of thickness.
Table 1.
Sensory evaluation results of different teas brewed in different tea sets.
Figure 1.
The scores of sensory evaluation. The scores of (a) appearance, (b) infusion color, (c) aroma, (d) taste, (e) leaf residue, and (f) total scores of different teas brewed in different tea sets. GT, BT, WT, OT, and DT represent green tea, black tea, white tea, oolong tea, and dark tea, respectively.
Figure 2.
Taste profiles of tea liquor. (a) Green tea, (b) black tea, (c) white tea, (d) oolong tea, and (e) dark tea brewed in different tea sets.
Variations in color were observed when infusing the same teas utilizing different tea sets (Figure 3a). UV-vis spectrums of the tea infusion show an evident absorption peak only at 273 nm (Figure 3b–f), which is consistent with the characteristic absorption peak of tea polyphenols [31]. This suggests that the tea infusion contained substantial tea polyphenols, whose contents were different between teas brewed in various tea sets. Further, the brightness (L*), red-green hue (a*), and yellow-blue hue (b*) of the infusions were measured using a colorimeter to quantitatively analyze the colors. The brightness of the tea infusions brewed in the porcelain tea set was higher, while the glass and pottery sets caused darker tea infusions (Figure 3g). As for the red-green hue, the tea infusions brewed in porcelain sets were grayer, which meant less red or less green (Figure 3h). Brewing using glass and pottery sets made the tea infusions yellower (Figure 3i).
Figure 3.
Color profiles of tea infusion. (a) Photographs of tea infusion from different teas brewed in different tea sets. (b–f) UV–vis spectra of (b) green tea, (c) black tea, (d) white tea, (e) oolong tea, and (f) dark tea brewed in different tea sets. (g–i) The values of (g) brightness, (h) red–green hue, and (i) yellow–blue hue of different teas brewed in different tea sets. Note: the lowercase letters represent the significant differences between different treatments.
2.2. Effect of Different Tea Sets on Chemical Compounds and Sensory Attributes of Various Teas
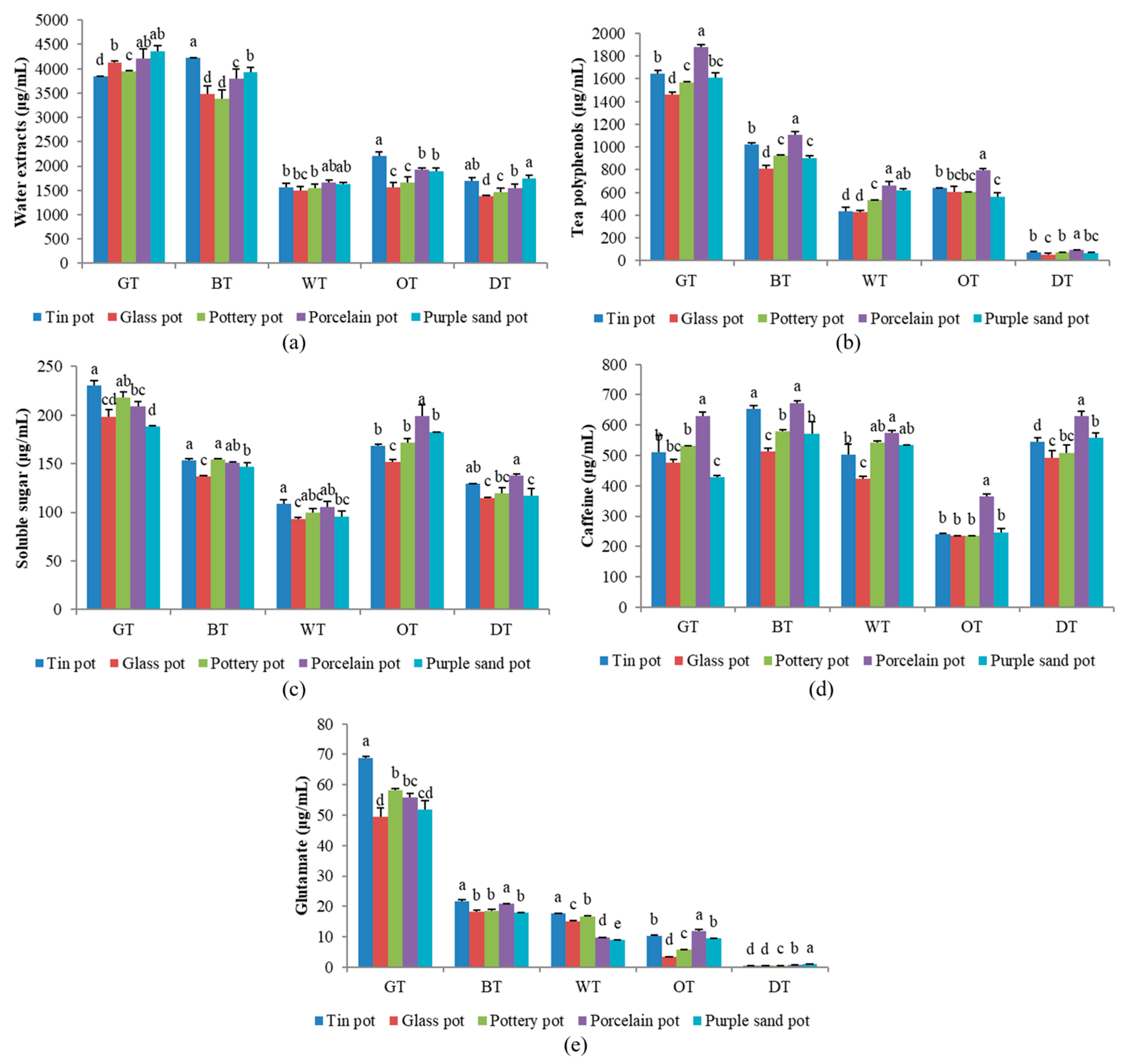
A comprehensive analysis was conducted on a total of 19 chemical compounds in all five types of tea samples brewed using five distinct tea sets. These compounds encompassed five catechins, four flavanol glycosides, caffeine, six amino acids, the total amino acid content, soluble carbohydrates, and aqueous extract. The concentrations of these components are shown in Tables S1 and S2. Moreover, Figure 4 elucidates the significant variations in the chemical contents of the different tea set treatments. The sensory attributes associated with these compounds are documented in Table 2.
Figure 4.
The contents of flavor compounds. The contents of (a) water extract, (b) tea polyphenols, (c) soluble sugar, (d) caffeine, and (e) glutamate of different tea infusions brewed in different tea sets. GT, BT, WT, OT, and DT represent green tea, black tea, white tea, oolong tea, and dark tea, respectively. Note: the lowercase letters represent the significant differences between different treatments.
Table 2.
Sensory properties of flavor compounds.
Principal component analysis (PCA) was used to extract the characteristic features of sensory attributes and chemical compounds in different teas. All the five types of tea (green tea, black tea, white tea, oolong tea, and dark tea) were analyzed by PCA, respectively. For each type of tea, a total of twenty-two parameters, including five sensory attributes and nineteen chemical compounds, of the tea samples brewed with the five tea sets were analyzed. All the scores of sensory attributes and concentrations of the chemical compounds acted as variables, and their features were extracted by reducing the dimensionality using PCA.
2.2.1. Green Tea
The relationship between sensory attributes and chemical compounds in green tea is exhibited in Figure 5. The first two principal components made up 90% of variance with PC1 = 55% and PC2 = 35%. Figure 4a shows the scores of the tea sets in the first two components. Figure 5b shows a variable correlation map, providing the relationships between sensory attributes and chemical compounds. In Figure 5a, teas brewed with a glass pot and purple sand pot show the same values in PC1 (on the horizontal axis). Compared to Figure 5b, the stongness and thickness of the aqueous extract were high positively correlated with PC1. This indicates that the teas brewed with the glass pot and purple sand pot exhibited a strong and thick taste. Teas brewed using the porcelain and tin sets exhibited opposite values in PC2. The positive values in PC2 correspond to bitterness and astringency, which are located close to ester-type catechins, quercetin glycosides, and caffeine. The negative values in PC2 correspond to freshness and briskness and seven amino acids. The results showed that green tea brewed with the porcelain set was more likely to exhibit bitter and astringency characteristics with high concentrations of catechins, while green tea exhibited a fresh and brisk taste when brewed in the tin set, with high concentrations of amino acids.
Figure 5.
Principal component analysis of green tea’s taste. (a) The scores of tea sets in two main components. (b) The correlation between the chemical components in tea infusion and the sensory factors. Note: 1. umami, 2. strong, 3. astringency, 4. gallic acid (GA), 5. epigallocatechin gallate (EGCG), 6. gallocatechin gallate (GCG), 7. epicatechin gallate (ECG), 8. catechin gallate (CG), 9. myricetin glycosides, 10. kaempferide glycosides, 11. quercetin glycosides, 12. vitexin glycosides, 13. caffeine (CAF), 14. aspartic acid (Asp), 15. glutamate (Glu), 16. asparagine (Asn), 17. glutamine (Gln), 18. γ–aminobutyric acid (γ–GABA), 19. theanine (Thea), 20. amino acid, 21. soluble sugar, 22. water extract. Note: the oval in subfigure (b) represent these attributes in circles have similar characteristics.
2.2.2. Black Tea
In the PCA results for black tea, the first two principal components had 89% of variance: PC1 = 76% and PC2 = 13%. The PC1 values could reveal most characteristics of black teas treated with different tea sets. In Figure 6a, the porcelain tea set and tin tea set show opposite positions to the other tea sets on the horizontal axis, especially to the glass pot. In Figure 6b, the porcelain tea set is correlated with sweetness, while the tin tea set is related to a strong and fresh taste. The other tea sets led to a light taste and low concentrations of chemicals. As a result of the fermentation process, some catechins in black tea are oxidized, so there is no significant correlation between ester catechins and taste (Figure 6b), while the content of tea polyphenols is positively correlated with flavonoids and caffeine content, similar with Scharbert’s results [37], which identified that flavonol-3-glycosides contribute to astringency and increase the bitterness of caffeine in tea infusions. The content of soluble sugar is closely linked to the perception of sweetness, and the thickness is positively correlated with the content of water extract.
Figure 6.
Principal component analysis of black tea’s taste. (a) The scores of tea sets in two main components. (b) The correlation between the chemical components in tea infusion and the sensory factors. Note: 1. umami, 2. strong, 3. astringency, 4. GA, 5. EGCG, 6. GCG, 7. ECG, 8. CG, 9. myricetin glycosides, 10. kaempferide glycosides, 11. quercetin glycosides, 12. vitexin glycosides, 13. CAF, 14. Asp, 15. Glu, 16. Asn, 17. Gln, 18. γ–GABA, 19. Thea, 20. amino acid, 21. soluble sugar, 22. water extract. Note: the oval in subfigure (b) represent these attributes in circles have similar characteristics.
2.2.3. White Tea
For white tea, the variances of PC1 (61%) and PC2 (22%) were also high and could explain the characteristics of white teas treated with different tea sets. As shown in Figure 7a, teas brewed with a glass pot and purple sand pot show similar values in PC1 (on the horizontal axis). It was found that the freshness was closely related to the content of glutamic acid and theanine (Figure 7b). As for the sweetness, it is significantly positively correlated with soluble sugar, the total amount of amino acids, and the content of aspartic acid, as well as the content of caffeine and flavonoids. The integrated analysis of Figure 7a,b reveals a positive correlation between the tin tea sets and freshness, and demonstrates that both the tin and ceramic tea sets exhibited superior thickness performance. This result is similar to those of Chen Yi [38], Liu Panpan [34], and Liu Shuang [39], whose research indicated that the sweetness and freshness in Baihao Yinzhen was mainly contributed by aspartic acid and glutamate, respectively.
Figure 7.
Principal component analysis of white tea’s taste. (a) The scores of tea sets in two main components. (b) The correlation between the chemical components in tea infusion and the sensory factors. Note: 1. umami, 2. strong, 3. astringency, 4. GA, 5. EGCG, 6. GCG, 7. ECG, 8. CG, 9. myricetin glycosides, 10. kaempferide glycosides, 11. quercetin glycosides, 12. vitexin glycosides, 13. CAF, 14. Asp, 15. Glu, 16. Asn, 17. Gln, 18. γ–GABA, 19. Thea, 20. amino acid, 21. soluble sugar, 22. water extract. Note: the oval in subfigure (b) represent these attributes in circles have similar characteristics.
2.2.4. Oolong Tea
According to the analysis of the components and taste of oolong tea (Figure 8), we found that it is hard to distinguish sweetness and freshness, which are positively related to glutamic acid, theanine, γ-aminobutyric acid, and soluble sugar. The contents of ester catechins, caffeine, and flavonoids exhibit a positive correlation (PC1). Therefore, using a porcelain tea set to brew oolong tea will introduce astringency, thus lowering the quality of the tea. The purple sand tea set and tin tea set are positively correlated with fresh and sweet substances (PC2) and have a certain negative correlation with bitter substances. Therefore, the tea has a better taste. Moreover, sensory evaluation found that the purple sand tea set could greatly improve the aroma, perhaps due to its porosity and permeability.
Figure 8.
Principal component analysis of oolong tea’s taste. (a) The scores of tea sets in two main components. (b) The correlation between the chemical components in tea infusion and the sensory factors. Note: 1. umami, 2. strong, 3. astringency, 4. GA, 5. EGCG, 6. GCG, 7. ECG, 8. CG, 9. myricetin glycosides, 10. kaempferide glycosides, 11. quercetin glycosides, 12. vitexin glycosides, 13. CAF, 14. Asp, 15. Glu, 16. Asn, 17. Gln, 18. γ–GABA, 19. Thea, 20. amino acid, 21. soluble sugar, 22. water extract. Note: the oval in subfigure (b) represent these attributes in circles have similar characteristics.
2.2.5. Dark Tea
After analyzing the flavoring substances in dark tea (Figure 9), we found that the thickness was positively correlated with the water extract, total amino acids, and some amino acid components, as well as with the glycan and soluble sugar content (PC2). This observation aligns with the taste attributes commonly associated with dark tea. However, the total amount of amino acids in dark tea is relatively low, and it is difficult to perform a cluster analysis between them, so its freshness is hard to capture. The total amount of tea polyphenols is positively correlated with flavonoids, and can be clustered, but has a weak correlation with catechins (PC2), which is related to the pile process. A purple sand tea set can introduce a stale flavor as well as sweetness and mellowness to dark tea (PC2), so it is more suitable for brewing dark tea.
Figure 9.
Principal component analysis of dark tea’s taste. (a) The scores of tea sets in two main components. (b) The correlation between the chemical components in tea infusion and the sensory factors. Note: 1. umami, 2. strong, 3. astringency, 4. GA, 5. EGCG, 6. GCG, 7. ECG, 8. CG, 9. myricetin glycosides, 10. kaempferide glycosides, 11. quercetin glycosides, 12. vitexin glycosides, 13. CAF, 14. Asp, 15. Glu, 16. Asn, 17. Gln, 18. γ–GABA, 19. Thea, 20. amino acid, 21. soluble sugar, 22. water extract.
2.3. Matching of Different Tea Sets and Characteristic Taste Substances
The results of the principal component analysis revealed that the utilization of tin tea utensils for brewing tea significantly elevated the levels of glutamic acid and theanine, consequently enhancing the freshness of the tea infusion. Using a porcelain tea set to brew tea can increase the soluble sugar, flavonoid content, and total amount of tea polyphenols, so it can increase the concentration and sweetness of the tea infusion. When using a glass tea set to brew tea, the total amount of tea polyphenols, the total amino acids in the tea soup, and the soluble sugar are lower due to the heat preservation of the tea set. Xu [40] found that tea sets with different thermal insulation properties have a greater impact on the dissolution of tea components, while the insulation of tea sets is closely related to the material. Metal has good heat conduction, so when using a tin pot, the temperature drops more rapidly. This is because metal has more free electrons. These free electrons can rapidly transfer heat in the metal lattice, enabling good heat conduction [41]. Pottery tea sets and purple sand tea sets have a relatively high void ratio [30,41] and the gas permeability and the adsorptivity are relatively good, so it is easier to adsorb small molecular groups in tea infusions, thereby improving the taste of the tea soup. The air permeability of a tea set refers to the characteristics of its voids or microchannels, which allow air to circulate freely between the interior and exterior of the tea set. The bidirectional exchange of air is considered an important contributor to enhancing the taste of the tea infusion. As an illustration, the double stomatal structure of a purple sand tea set allows for enough air exposure, stimulating the liberation of aromatic compounds from the tea leaves and facilitating the interaction of bitter and sour compounds with the air. Consequently, the tea acquires a more fragrant aroma, while the tea infusion becomes more mellow.
This study investigated the effect of different tea utensils on the sensory and chemical quality of different teas. Nevertheless, there are several limitations to be acknowledged in exploring the mechanisms of thermal properties, air permeability, and adsorptivity of tea utensils. Both the material composition and capacity of the utensil influence its heat dissipation and retention capabilities, which alter the rate and concentration of tea chemicals released, consequently leading to variations in the sensory quality of the tea. Therefore, the selection of an appropriate utensil is of importance when aiming to brew tea of superior quality. Further investigations will utilize quantitative tools and methodologies to explore these aspects in greater detail. For instance, thermal probes will be employed to monitor the time-dependent variations in solvent temperature, allowing for a comprehensive assessment of the heat exchange properties exhibited by various tea sets. Moreover, an optical profilometer will be utilized to precisely measure the shape and surface area of containers, enabling an in-depth analysis of the influence of heat loss rate on the quality of the brewed tea infusion. Additionally, an essential aspect of future research will focus on determining the adsorption capabilities of porous containers and the mechanism underlying gas exchange. To address these aspects comprehensively, the construction of pure standard solutions will be undertaken to systematically evaluate the impact of gas permeability and adsorption phenomena on the quality of the tea.
3. Materials and Methods
3.1. Tea Samples, Tea Sets, and Water
There were five types of tea products used in this study, which were purchased from commercial tea companies. They were green tea (West Lake Longjing, Gongpai), black tea (Dianhong Gongfu, Fengpai), white tea (Baihao Yinzhen, Pinpinxiang), oolong tea (Tieguanyin, Xuandetang), and dark tea (Liupao Tea, Wuzhou Zhongcha). All the tea samples had typical flavors.
The tea sets, with equal volume, included a tin tea set, glass tea set, pottery tea set, porcelain tea set, and purple sand tea set. A tin tea set is a vessel constructed by tin, a material characterized by its rigidity, flexibility, excellent sealing properties, and notable ductility. It is commonplace for a minor proportion of other metallic elements to be incorporated into the tin to enhance its hardness. In this study, the tin tea set was made of 97% tin (Sn), with an additional 3% copper (Cu) and antimony (Sb). Glass tea sets are made of glass. Glass has a hard, brittle, and transparent texture, and its main components are silica, calcium oxide, and sodium oxide. It is formed by mixing quartz sand, limestone, soda ash, etc., and melting, forming, and cooling at high temperatures. Pottery tea sets are utensils made of clay. Due to the different percentages of various metal oxides contained in clay and the differences in firing temperature, it can appear in different colors such as red, brown-black, white, gray, blue, and yellow. The firing temperature is generally around 1000 °C, and the ceramic texture is rough and loose. This experiment used a brown glazed pottery tea set. Porcelain tea sets are utensils made of feldspar, kaolin, and quartz as raw materials. They are made by mixing the raw materials, processing it into a dry shape, and firing it at a high temperature of around 1300 °C. Porcelain is generally glazed and has a hard and dense texture, a smooth surface, and low water absorption. Purple sand tea sets are utensils made of Yixing purple clay. The purple clay has a purple-red color, a delicate texture, strong plasticity, and good permeability. After forming, it is fired at a high temperature of 1150 °C. The mineral composition of purple mud belongs to the iron-containing clay–quartz–mica system, forming a uniform particle structure. The water utilized for brewing was obtained from Nongfu Spring Co. Ltd. (Hangzhou, China). Sourced from a natural deep lake, it is widely employed in the sensory evaluation of tea. The element concentrations of the water were as follows: Ca ≥ 4.00 μg/mL, Mg ≥ 0.50 μg/mL, K ≥ 0.35 μg/mL, Na ≥ 0.80 μg/mL, and metasilicic acid (H2SiO3) ≥ 1.80 μg/mL. The pH of the water was maintained at 7.3 ± 0.5.
3.2. Chemical Materials
Acetonitrile, methanol, and acetic acid were chromatographically pure and purchased from Tedia, Fairfield, OH, USA; o-phthalaldehyde (OPA), methyl chloroformate (FMOC), gallic acid, 8 catechin monomers, 3 alkaloid monomers, 16 kinds of flavonoids, and 20 kinds of amino acid standards were purchased from Shanghai Yuanye Biotechnology Co., Ltd. (Shanghai, China); and potassium dihydrogen phosphate, disodium hydrogen phosphate, sodium potassium tartrate, ferrous sulfate, and anthrone were analytically pure and purchased from Sinopharm Chemical Reagent Co., Ltd. (Shanghai, China).
3.3. Preparation of Tea Infusions
The five tea samples were brewed with different tea sets at a tea-to-water ratio of 1:50. When brewing, the teapot was filled with the same volume of water at a temperature of 100 °C. The infusion was filtered 5 min later, except West Lake Longjing tea, which was extracted within 4 min.
3.4. Analysis of Chemical Compounds
The water extract of tea soup was determined by referring to “Determination of Tea Leachate” (GB/T8305-2013) [42]; the tea polyphenol content was determined by referring to “Detection method of tea polyphenols and catechins in tea” (GB/T8313-2018) [43]. The total amount of free amino acids was determined by referring to “Measurement of Total Amount of Free Amino Acids in Tea” (GB/T8314-2013) [44]; the content of soluble sugars was determined by the anthrone sulfuric acid method.
Determination of catechins and alkaloids: HPLC-UV detection, column: Agilent TC-C18 column (4.6 mm × 250 mm, 5 μm); mobile phase: flow A was 3% acetonitrile +5% acetic acid; mobile phase B was 30% acetonitrile + 5% acetic acid; flow rate: 1 mL/min; elution procedure: 0 min B phase was 20%; at 0–40 min, it linearly rose to 75%, then immediately dropped to 20% for 5 min, and ended at 45 min; column temperature: 28 °C; detection wavelength: 280 nm; sample size: 10 μL. Determination of flavonoid content: HPLC-UV detection, column: Agilent TC-C18 column (4.6 mm × 250 mm, 5 μm). Detection of flavonoid content: mobile phase: flow A was 0.1% formic acid, mobile phase B was 0.1% acetonitrile, flow rate was 1 mL/min; elution procedure: 0 min B phase was 20%; at 0–40 min, it linearly rose to 40%, then immediately dropped to 20% for 5 min, and ended at 45 min; column temperature: 28 °C; detection wavelength: 360 nm; injection volume: 10 μL. Detection of free amino acid component content [45]: pre-column derivatization HPLC-FLD assay, column: Zorbax Eclipse-AAA column (4.6 mm × 150 mm, 3.5 μm). Mobile phase A was 40 mmol/L Na2HPO3, mobile phase B was acetonitrile/methanol/water = 45:45:10, flow rate: 1.5 mL/min; elution procedure: 0–18 min B phase increased linearly from 5% to 60%; at 18–23 min, it linearly rose to 100%, immediately dropped to 5% at 23 min and remained for 5 min, ending at 28 min; column temperature: 40 °C; excitation wavelength: 340 nm; emission wavelength: 450 nm; injection volume: 10 μL.
3.5. Sensory Analysis
According to the national standard of China Methods for Tea Sensory Evaluation (GB/T23776-2018) [46], the appearance, infusion color, aroma, taste, and leaf of each tea sample are, respectively, described with terms and scored. (The Methods for Tea Sensory Evaluation (GB/T23776-2018) can be found at the following link: https://std.samr.gov.cn/gb/search/gbDetailed?id=71F772D82CD3D3A7E05397BE0A0AB82A (Accessed on 21 February 2024)) The appearance was assessed in terms of dry leaf shape, maturity, color, and uniformity. The tea infusion color was scored according to brightness and clarity. The aroma was inspected according to flavor, strength, purity, and permanency. The taste was assessed in terms of freshness, strongness, astringency, and sweetness. Infused leaves were scored according to tea leaf maturity and color.
The total score was calculated according to Equation (1).
where is the total score; are the scores of appearance, infusion color, aroma, taste, and leaf residue, respectively; and are the weights of each factor which are shown in Table S3.
The taste profiles of the tea infusions were determined according to the national standard of China Sensory Analysis Method—Flavor Profile Test (GB 12313-90) [47], corresponding to the international standard Sensory Analysis—Methodology Flavor Profile Methods (ISO 6564-1985) [48]. The taste of the green tea infusion was divided into three sub-attributes, which were freshness and briskness, strongness and thickness, and bitterness and astringency. The taste profiles of the other teas (black tea, white tea, oolong tea, and dark tea) were evaluated based on freshness and briskness, strongness and thickness, and sweetness. The 5-point system with a precision of 0.5 was applied. Higher scores represented enhanced properties. The sensory evaluations were conducted by a panel of five experienced assessors, comprising three females and two males. Each assessor had professional training, with a cumulative experience of over 8000 h in the sensory analysis of tea. The sensory evaluations were conducted in a double-blind manner, ensuring that all panelists were unaware of any information pertaining to the teas. The outcomes and scores derived from the sensory assessment represent the consensus achieved by the panel following thorough deliberation.
3.6. Quantitative Analysis of Tea Infusion Color
Ultraviolet and visible spectrum (UV-vis) analysis was performed using a micro-plate reader (BioTek, Winooski, VT, USA). And the EGCG solution was placed in a 96-well quartz plate to measure its optical properties between 200 and 1000 nm. A spectrocolorimeter (CM-3600d, Konica Minolta, Hong Kong, China) was used to measure the brightness (L*), red-green hue (a*), and yellow-blue hue (b*) of the infusion.
3.7. Statistical Analysis
All the chemical compounds were analyzed in triplicate. Data processing was performed in Excel, with the data presented as means ± standard deviations. The differences between tea-brewing sets’ treatments were analyzed by Duncan’s new multiple range test in IBM SPSS Statistics 21 software (IBM, Armonk, NY, USA). p < 0.05 was considered as a significant difference. Correlations between variables and observations were analyzed using principal component analysis performed on XLSTAT 2018 (Addinsoft, New York, NY, USA).
4. Conclusions
Incorporating chemical analysis and sensory evaluation, this study determined that various types of teas have their respective optimal tea set pairings. Tin tea sets demonstrate optimal compatibility with green tea and white tea, effectively accentuating their freshness and briskness. Additionally, porcelain tea sets are deemed most suitable for brewing black tea, resulting in enhanced sweetness and richness. Moreover, the purple sand tea set is identified as the ideal choice for oolong tea and dark tea, effectively accentuating their unique stylistic characteristics. This study establishes a theoretical foundation for scientifically selecting appropriate tea utensils to brew different types of tea.
Supplementary Materials
The following supporting information can be downloaded at: https://www.mdpi.com/article/10.3390/plants13050669/s1, Table S1. Contents of water extract, tea polyphenols, soluble sugar, and CAF in tea infusions (μg/mL). Table S2. Contents of flavonoids and amino acids in tea infusions (μg/mL). Table S3. Weight of evaluation factors for each tea category (%).
Author Contributions
Conceptualization, H.G.; data curation, Y.F.; formal analysis, Y.P.; funding acquisition, Q.C.; investigation, Y.P. and Y.C.; methodology, H.G.; project administration, Q.C.; resources, Y.F.; software, C.L. and Y.P.; supervision, Q.C.; validation, C.L.; visualization, P.C.; writing—original draft, H.G.; writing—review and editing, Y.P. and P.C. All authors have read and agreed to the published version of the manuscript.
Funding
This work was funded by Science Technology Department of Zhejiang Province (“Pioneer Leading Goose +X” Research and Development Program of Zhejiang, ID:2024C04008).
Data Availability Statement
Data are contained within the article and Supplementary Materials.
Acknowledgments
Thanks to Jingli Cheng for their help with chemical component analysis.
Conflicts of Interest
The authors declare no conflicts of interest.
References
- ISO 6564-1985; Sensory Analysis; Methodology; Flavour Profile Methods. International Organization for Standardization: Geneva, Switzerland, 1985.
- Feng, X.; Yang, S.; Pan, Y.; Zhou, S.; Ma, S.; Ou, C.; Fan, F.; Gong, S.; Chen, P.; Chu, Q. Yellow tea: More than turning green leaves to yellow. Crit. Rev. Food Sci. Nutr. 2023. [Google Scholar] [CrossRef]
- Shi, Y.; Wang, M.; Dong, Z.; Zhu, Y.; Shi, J.; Ma, W.; Lin, Z.; Lv, H. Volatile components and key odorants of Chinese yellow tea (Camellia sinensis). LWT—Food Sci. Technol. 2021, 146, 111512. [Google Scholar] [CrossRef]
- Feng, X.; Chen, M.; Song, H.; Ma, S.; Ou, C.; Li, Z.; Hu, H.; Yang, Y.; Zhou, S.; Pan, Y.; et al. A systemic review on Liubao tea: A time-honored dark tea with distinctive raw materials, process techniques, chemical profiles, and biological activities. Compr. Rev. Food Sci. Food Saf. 2023, 22, 5063–5085. [Google Scholar] [CrossRef]
- Su, Z.; Zhang, J.; Ma, S.; Ou, C.; Feng, X.; Pan, Y.; Gong, S.; Fan, F.; Chen, P.; Chu, Q. Recent advances on white tea: Manufacturing, compositions, aging characteristics and bioactivities. Trends Food Sci. Technol. 2023, 134, 41–55. [Google Scholar]
- He, C.; Zhou, J.; Li, Y.; Zhang, D.; Ntezimana, B.; Zhu, J.; Wang, X.; Xu, W.; Wen, X.; Chen, Y.; et al. The aroma characteristics of oolong tea are jointly determined by processing mode and tea cultivars. Food Chem. X 2023, 18, 100730. [Google Scholar] [CrossRef] [PubMed]
- Liu, Q.; Jiang, Y.; Jiang, H.; Zhang, J.; Hua, J.; Xu, B.; Xue, J. Effect of varieties on tea pigment and chromatic aberration of black tea influsion. Agric. Sci. Technol. 2014, 15, 1654–1659. [Google Scholar]
- Liu, Z.; Yang, D.; Zhang, G.; Zheng, L.; Chen, C.; Sun, X.; Yu, F. Effects of Soil Physical and Chemical Properties on the Quality of Nanjing ‘Yuhua’ Tea, a Type of Famous Green Tea. Horticulturae 2023, 9, 189. [Google Scholar] [CrossRef]
- Lin, J.; Wang, Y.; Chen, L.; Yang, Y.; Tu, Z.; Ye, Y. Effect of the Presence of Stem on Quality of Oolong Tea. Foods 2022, 11, 3439. [Google Scholar] [CrossRef] [PubMed]
- Zhao, X.; Yu, P.; Huang, H.; Zhong, N.; Zheng, H. Influence of Drying Method on Volatile Flavor Substances of Raw Dark Tea Investigated by HS-GC-IMS. J. Food Sci. Biotechnol. 2022, 41, 104–111. [Google Scholar]
- Chen, L.; Liu, F.; Yang, Y.; Tu, Z.; Lin, J.; Ye, Y.; Xu, P. Oxygen-enriched fermentation improves the taste of black tea by reducing the bitter and astringent metabolites. Food Res. Int. 2021, 148, 110613. [Google Scholar] [CrossRef] [PubMed]
- Cao, Q.; Wang, F.; Wang, J.; Chen, J.; Yin, J.; Li, L.; Meng, F.; Cheng, Y.; Xu, Y. Effects of brewing water on the sensory attributes and physicochemical properties of tea infusions. Food Chem. 2021, 364, 130235. [Google Scholar] [CrossRef]
- Li, M.; Feng, Z.; Wang, F.; Chen, J.; Fan, J.; Wang, J.; Liu, Z.; Yin, J. Effects of brewing water on the volatile composition of tea infusions. Food Chem. 2023, 429, 136971. [Google Scholar] [CrossRef]
- Li, X. A Study on the Influence of Different Water Qualities on the Quality of Green Tea Beverages. China Tea Process. 2001, 2, 28–30. [Google Scholar]
- Yiğit, R.; Çoklar, H.; Akbulut, M. Some physicochemical and phytochemical properties of Syringa vulgaris L. fower tea: Infuence of fower drying technique, brewing method and brewing time. J. Food Meas. Charact. 2022, 16, 4185–4197. [Google Scholar] [CrossRef]
- Zhang, Y.; Gong, S.; Shao, X. A Study on Extractability of Biluochun Tea. J. Tea 2006, 32, 88–92. [Google Scholar]
- Shao, X.; Gong, S.; Zhang, Y. Effect of infusion conditions on extraction rate and tea liquor concentration of Xihu Longjing Tea. J. Tea 2006, 32, 92–96. [Google Scholar]
- Luo, W.; Gong, S.; Shao, X.; Zhang, Y. Studies on the Infusing Concentration and Infusing Rate of Main Flavour Development Materials in Huangshan Maofeng Tea. J. Chin. Inst. Food Sci. Technol. 2007, 7, 69–73. [Google Scholar]
- Zhang, Y.; Shao, X.; Gong, S.; Gu, Z. A Study on Tea Polyphenols Extraction Disciplinarian of Famous Green Tea with Representative Shape. J. Tea 2008, 34, 89–94. [Google Scholar]
- Zhang, S.; Yang, Y.; Cheng, X.; Thangaraj, K.; Arkorful, E.; Chen, X.; Li, X. Prediction of suitable brewing cuppages of Dahongpao tea based on chemical composition, liquor colour and sensory quality in diferent brewing. Sci. Rep. 2020, 10, 945. [Google Scholar] [CrossRef]
- Su, X.; Duan, J.; Jiang, Y.; Shi, J.; Kakuda, Y. Effects of soaking conditions on the antioxidant potentials of oolong tea. J. Food Compos. Anal. 2006, 19, 348–353. [Google Scholar] [CrossRef]
- Wang, R.; Wang, B.; Li, M.; Tan, L.; Xiao, W. Study on brewing technology of black tea with suitable taste. Food Mach. 2023, 39, 207–213. [Google Scholar]
- Li, M.; Zhang, C.; Yin, B.; Liu, Z. Effects of brewing methods on the quality of Keemun black tea soup. J. Food Saf. Qual. 2021, 12, 9507–9513. [Google Scholar]
- Yue, W.; Yuan, D.; Yue, F.; Yang, Z.; Zeng, Q. A Study on the Leaching Law of Inclusive Substances in Baihao Silver Needle Tea. Tea Sci. Technol. 2011, 4, 28–32. [Google Scholar]
- Zheng, S.; Lin, H.; Wu, B.; Shi, Y. Effects of Different Brewing Methods on Dissolution of Main Quality Components of White Peony Tea Cake. Food Sci. 2022, 11, 171–174. [Google Scholar]
- Chen, J.; Liu, C.; Liu, W.; Zhuo, X. The effect of brewing conditions on the polyphenol content and antioxidant activity of Fuding white tea soup. China Tea 2020, 42, 38–43. [Google Scholar]
- Pan, J.; Duan, Y.; Jiang, Y.; Lv, Y.; Zhang, H.; Zhu, Y.; Zhang, S. Evaluation of Fuding white tea flavor using electronic nose and electronic tongue. Sci. Technol. Food Ind. 2017, 38, 25–30. [Google Scholar]
- Liu, Y.; Hu, J.; Yu, L.; Yu, M.; Liu, S. Optimization and Application of the brewing conditions for Loose Teas fermented by Eurotium Cristatum. J. Tea Commun. 2019, 46, 463–471. [Google Scholar]
- Liao, Z.; Chen, Y.; Cheng Tzen, J.; Kuo, P.; Lee, M.; Mai, F.; Rairate, T.; Chou, C. Effect of teapot materials on the chemical composition of oolong tea infusions. J. Sci. Food Agric. 2018, 98, 751–757. [Google Scholar] [CrossRef]
- Wang, C.; Wang, Y. On the evolution of porcelain teapot under the influence of tea culture. Agric. Archaeol. 2015, 5, 70–76. [Google Scholar]
- Zhan, W.; Chen, J.; Zhang, Z.; Deng, H. An Analysis on the Practicability in Product Design from the Material Development of Tea Set. J. Eng. Graph. 2008, 1, 127–132. [Google Scholar]
- Li, C.; Guo, H.; Zong, B.; He, P.; Fan, F.; Gong, S. Rapid and non-destructive discrimination of special-grade flat green tea using Near-infrared spectroscopy. Spectrochim. Acta Part A Mol. Biomol. Spectrosc. 2019, 206, 254–262. [Google Scholar] [CrossRef] [PubMed]
- Chen, M.; Tang, D.; Gong, S.; Yang, J.; Zhang, Y. Quantitative analysis and correlation evaluation on the taste quality of green tea. Journal of Zhejiang University (Agric.& Life Sci.) 2014, 40, 670–678. [Google Scholar]
- Chen, Y.; Yuan, D.; Sun, M. Correlation analysis between sensory quality and chemical composition of Xinyang Maojian tea. Jiangsu Agric. Sci. 2014, 11, 342–344. [Google Scholar]
- Peng, A. Study on Taste Characteristics of Strong Feeling, Astringency, Umami and Sweetness of Famous Green Teas based on Sensory Omics. Master’s Thesis, Zhejiang University, Hangzhou, China, 2021. [Google Scholar]
- Cui, M. Study on Contral Methods of Several Typical Food Bitterness. Master’s Thesis, South China University of Technology, Guangzhou, China, 2013. [Google Scholar]
- Pan, Y.; Lv, H.; Zhang, F.; Chen, S.; Cheng, Y.; Ma, S.; Hu, H.; Liu, X.; Cai, X.; Fan, F.; et al. Green tea extracts alleviate acetic acid-induced oral inflammation and reconstruct oral microbial balance in mice. J. Food Sci. 2023, 88, 5291–5308. [Google Scholar] [CrossRef] [PubMed]
- Scharbert, S.; Hofmann, T. Molecular definition of black tea taste by means of interested studies, taste reconstitution, and omission experiments. J. Agric. Food Chem. 2005, 53, 5377–5384. [Google Scholar] [CrossRef]
- Liu, P.; Deng, Y.; Yin, J.; Zhang, Y.; Chen, G.; Wang, F.; Chen, J.; Yuan, H.; Xu, Y. Quantification of Green Tea Taste and Its Correlation with Chemical Compositions. J. Chin. Inst. Food Sci. Technol. 2014, 12, 173–181. [Google Scholar]
- Liu, S.; Yang, T.; Tan, J.; Lv, H.; Guo, L.; Lin, Z.; Lu, C. Quantitative Descriptive Analysis and Its Correlation Between Chemical Components of Taste in Green Tea. Chin. Agric. Sci. Bull. 2014, 24, 40–46. [Google Scholar]
- Xu, Y. Study on Several Components of Xinyang Maojian Tea Dissolution in Different Tea Sets. Master’s Thesis, Henan University, Kaifeng, China, 2012. [Google Scholar]
- Ye, X. Taste quality constitute of white tea based on modern quality instrumental assessment. Master’s Thesis, Fujian Agriculture and Forestry University, Fuzhou, China, 2015. [Google Scholar]
- GB/T 8305-2013; Tea-Determination of Water Extracts Content. Standardization Administration: Beijing, China, 2013. (In Chinese)
- GB/T 8313-2018; Determination of Total Polyphenols and Catechins Content in Tea. Standardization Administration: Beijing, China, 2018. (In Chinese)
- Jiang, X.; Wu, J.; Zhang, M.; Wu, J.; Li, Q.; Yu, Y.; Liang, D.; Fang, T. Study on properties of Yixing purple sand mud. Jiangsu Ceram. 2011, 3, 20–25. [Google Scholar]
- GB/T 8314-2013; Tea-Determination of Free Amino Acids Content. Standardization Administration: Beijing, China, 2013. (In Chinese)
- GB/T 23776-2018; Methodology for Sensory Evaluation of Tea. Standardization Administration: Beijing, China, 2018. (In Chinese)
- GB 12313-90; Sensory Analysis Method-Flavour Profile Test. Standardization Administration: Beijing, China, 1990. (In Chinese)
Disclaimer/Publisher’s Note: The statements, opinions and data contained in all publications are solely those of the individual author(s) and contributor(s) and not of MDPI and/or the editor(s). MDPI and/or the editor(s) disclaim responsibility for any injury to people or property resulting from any ideas, methods, instructions or products referred to in the content. |
© 2024 by the authors. Licensee MDPI, Basel, Switzerland. This article is an open access article distributed under the terms and conditions of the Creative Commons Attribution (CC BY) license (https://creativecommons.org/licenses/by/4.0/).








