The Invasive Mechanisms of the Noxious Alien Plant Species Bidens pilosa
Abstract
1. Introduction
2. Impacts of B. pilosa
3. Fast Growth
4. Reproduction
5. Adaptation
6. Genetic Variation
7. Effects on Microbial Community
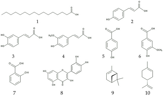
8. Allelopathy
9. Nematocidal, Fungicidal, and Insecticidal Activity
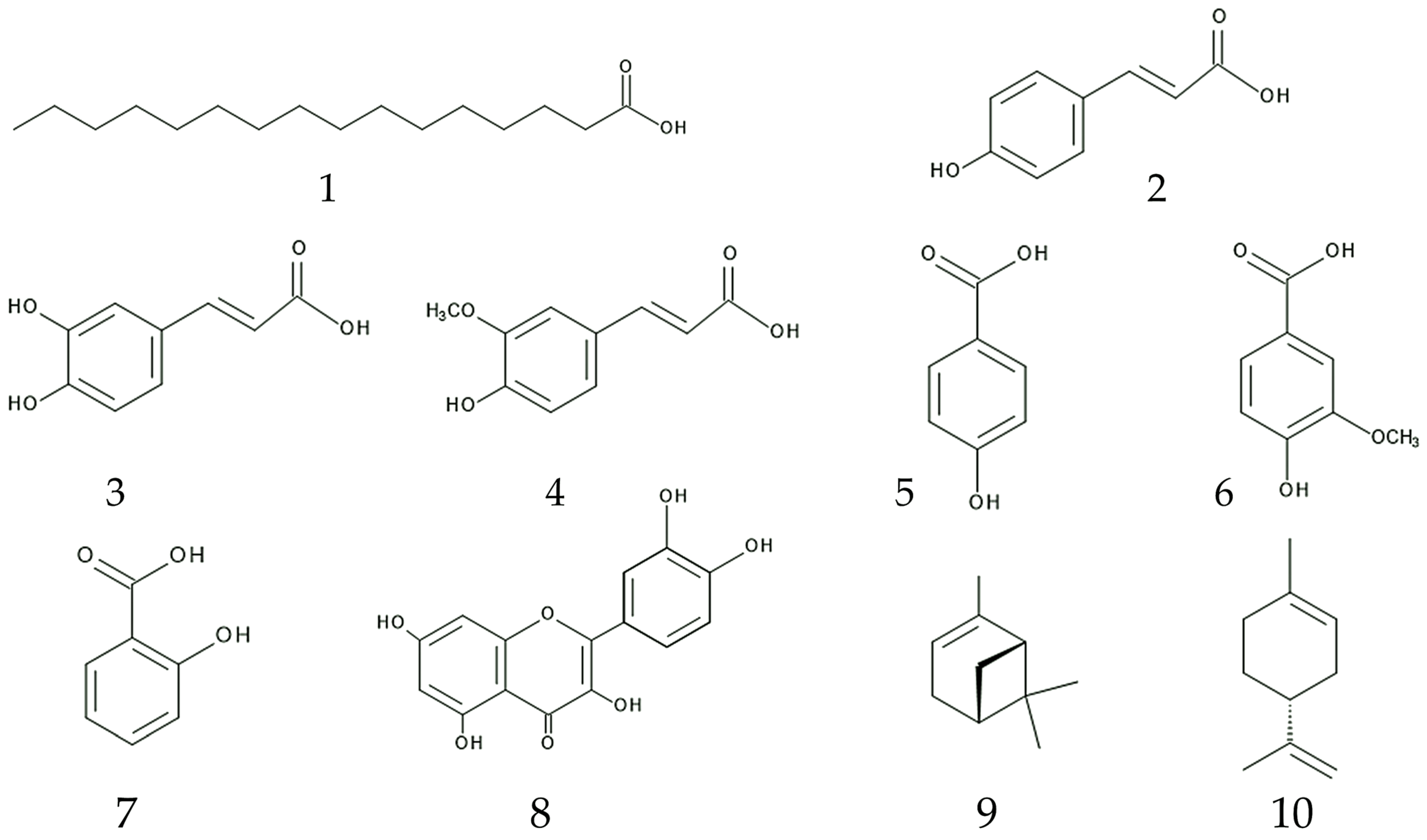
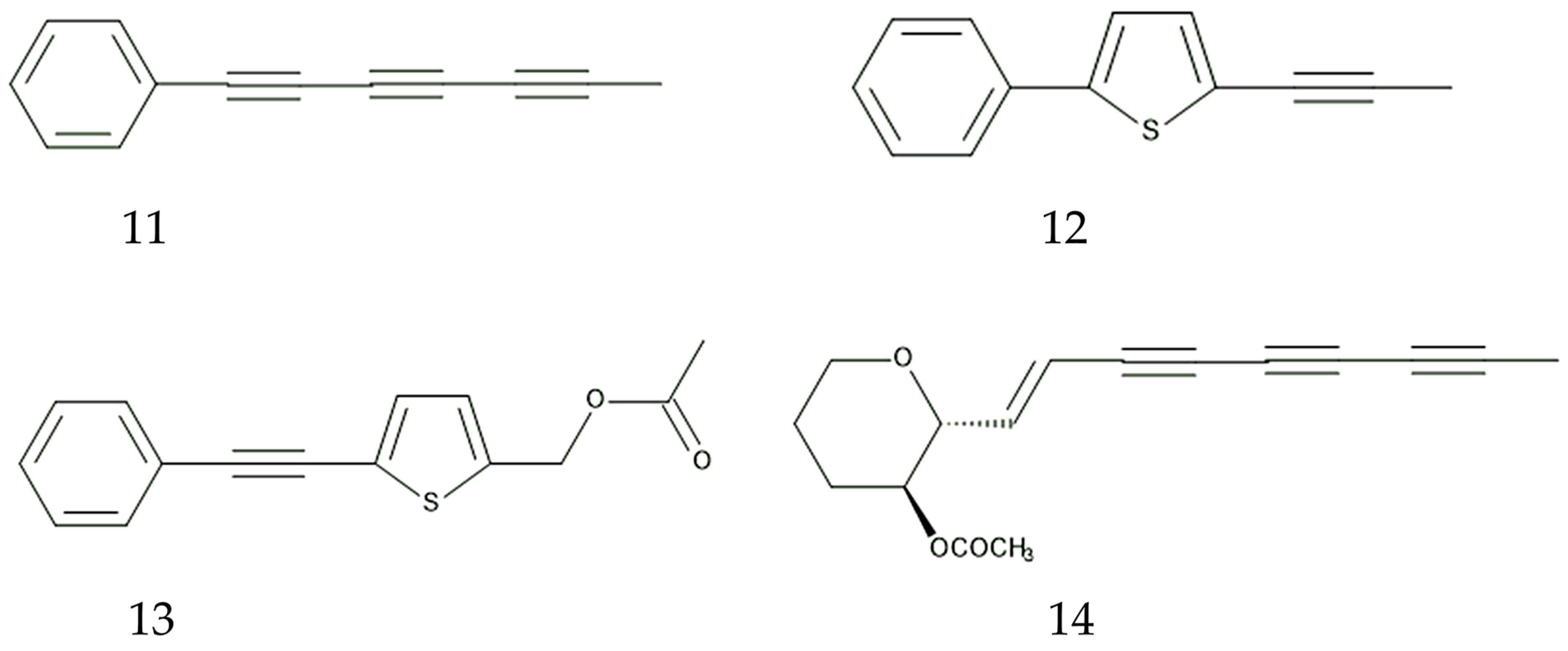
10. Secondary Metabolites
11. Prospective
12. Conclusions
Funding
Acknowledgments
Conflicts of Interest
References
- Global Invasive Species Database, Bidens pilosa. Available online: http://www.iucngisd.org/gisd/speciesname/Bidens+pilosa (accessed on 4 August 2023).
- Invasive Species Compendium, Bidens pilosa. Available online: https://www.cabidigitallibrary.org/doi/full/10.1079/cabicompendium.9148 (accessed on 4 August 2023).
- Plants of the World. Royal Botanical Gardens-Kew, Bidens pilosa. Available online: https://powo.science.kew.org/taxon/urn:lsid:ipni.org:names:32564-2 (accessed on 4 August 2023).
- Huang, Y.L.; Chen, S.-J.; Kao, W.-Y. Floral biology of Bidens pilosa var. radiata, an invasive plant in Taiwan. Bot. Stud. 2012, 53, 501–507. [Google Scholar]
- Budumajji, U.; Raju, A.J.S. Pollination ecology of Bidens pilosa L. (Asteraceae). Taiwania 2018, 63, 89–100. [Google Scholar]
- Duke, J.A. Duke’s Handbook of Medicinal Plants of Latin America; CRC Press: Boca Raton, FL, USA, 2008; pp. 1–960. [Google Scholar]
- Mtenga, D.V.; Ripanda, A.S. A review on the potential of underutilized Blackjack (Biden Pilosa) naturally occurring in sub-Saharan Africa. Heliyon 2022, 8, e09586. [Google Scholar] [CrossRef]
- Yang, R.Y.; Keding, G.B. Nutritional contributions of important African indigenous vegetables. In African Indigenous Vegetables in Urban Agriculture; Shackleton, C.M., Pasquini, M.W., Drescher, A.W., Eds.; Earthcan Publishing: London, UK, 2009; pp. 105–136. [Google Scholar]
- Arthur, G.D.; Naidoo, K.K.; Coopoosamy, R.M. Bidens pilosa L.: Agricultural and pharmaceutical importance. J. Med. Plants Res. 2012, 6, 3282–3287. [Google Scholar] [CrossRef]
- Otang-Mbeng, W.; Mashabela, M.N. A review of beneficial phytochemicals and postharvest studies on some indigenous leafy vegetables from the Mpumalanga Province of South Africa. Med. Plants Int. J. Phytomed. Relat. Ind. 2020, 12, 533–544. [Google Scholar] [CrossRef]
- Kuo, T.F.; Yang, G.; Chen, T.Y.; Wu, Y.C.; Minh, T.R.H.; Chen, L.S.; Chen, W.C.; Huang, M.G.; Liang, Y.C.; Yang, W.C. Bidens pilosa: Nutritional value and benefits for metabolic syndrome. Food Front. 2021, 2, 32–45. [Google Scholar] [CrossRef]
- Connelly, P. Horrible weed or miracle herb?: A review of Bidens pilosa. J. Aust. Tradit.-Med. Soc. 2009, 15, 77–79. [Google Scholar]
- Bartolome, A.P.; Villaseñor, I.M.; Yang, W.C. Bidens pilosa L.(Asteraceae): Botanical properties, traditional uses, phytochemistry, and pharmacology. Evid.-Based Complement. Altern. Med. 2013, 2013, 340215. [Google Scholar] [CrossRef]
- Xuan, T.D.; Khanh, T.D. Chemistry and pharmacology of Bidens pilosa: An overview. J. Pharm. Investig. 2016, 46, 91–132. [Google Scholar] [CrossRef]
- Mzengereza, K.; Msiska, O.V.; Kapute, F.; Kang’ombe, J.; Singini, W.; Kamangira, A. Nutritional value of locally available plants with potential for diets of tilapia Rendalli in pond aquaculture in Nkhata Bay, Malawi. J. Aquac. Res. Dev. 2014, 5, 265. [Google Scholar]
- Kato-Noguchi, H. Allelopathy of knotweeds as invasive plants. Plants 2022, 11, 3. [Google Scholar] [CrossRef]
- Kato-Noguchi, H. Allelopathy and allelochemicals of Imperata cylindrica as an invasive plant species. Plants 2022, 11, 2551. [Google Scholar] [CrossRef]
- Kato-Noguchi, H. Invasive mechanisms of one of the world’s worst alien plant species Mimosa pigra and its management. Plants 2023, 12, 1960. [Google Scholar] [CrossRef]
- Sankaran, K.V.; Suresh, T.A.; FAO Regional Office for Asia and the Pacific. No.2013/06 213, Bangkok, Thailand. Available online: http://www.fao.org/asiapacific/rap/publications/pub-rap-results/en/ (accessed on 4 August 2023).
- Davidse, G.; Sousa-Sánchez, M.; Knapp, S.; Chiang, F.; Ulloa, U.C.; Pruski, J.F. Flora Mesoamericana, Vol. 5, Part 2: Asteraceae; Missouri Botanical Garden Press: St. Louis, MO, USA, 2018; pp. 1–608. [Google Scholar]
- Queensland Government, Weeds of Australia, Biosecurity Queensland Edition. Australia: Queensland Government. Available online: http://keyserver.lucidcentral.org/weeds/data/media/Html/search.html (accessed on 4 August 2023).
- Pacific Islands Ecosystems at Risk. University of Hawaii. Available online: http://www.hear.org/pier/index.html (accessed on 4 August 2023).
- Reaser, J.K.; Meyerson, L.A.; Cronk, Q.; De Poorter, M.A.J.; Eldrege, L.G.; Green, E.; Kairo, M.; Latasi, P.; Mark, R.N.; Mauremootoo, J.; et al. Ecological and socioeconomic impacts of invasive alien species in island ecosystems. Environ. Conser. 2007, 34, 98–111. [Google Scholar] [CrossRef]
- Russell, J.C.; Meyer, J.Y.; Holmes, N.D.; Pagad, S. Invasive alien species on islands: Impacts, distribution, interactions and management. Environ. Conser. 2017, 44, 359–370. [Google Scholar] [CrossRef]
- Huang, Y.L.; Kao, W.Y. Different breeding systems of three varieties of Bidens pilosa in Taiwan. Weed Res. 2013, 54, 162–168. [Google Scholar] [CrossRef]
- Huang, Y.L.; Kao, W.Y. Comparisons of growth, biomass allocation, and morphology of an invasive and two non-invasive varieties of Bidens pilosa in Taiwan. Taiwania 2016, 61, 288–294. [Google Scholar]
- Ng, C.C.; Wu, S.J.; Wang, C.Y.; Tzeng, W.S.; Shyu, Y.T. Emergence and growth of beggarticks (Bidens pilosa var. radiata) in different plant communities under experimental field conditions. J. Agric. Sci. Technol. A 2011, 1, 950–962. [Google Scholar]
- US Fish and Wildlife Service. Panicum fauriei var. carteri. 5-Year Review: Summary and Evaluation; US Fish and Wildlife Service: Washington, DC, USA, 2011; pp. 1–17. [Google Scholar]
- Shimamoto, Y.; Nomura, N.; Takaso, T.; Setoguchi, H. Overcompensation of seed production caused by clipping of Bidens pilosa var. radiata (Compositae): Implications for weed control on Iriomote-Jima Island, Japan. Weed Biol. Manag. 2011, 11, 118–126. [Google Scholar] [CrossRef]
- Ishimine, Y.; Miyazato, K.; Matsumoto, S. Physiological and ecological characteristics of weeds of sugarcane fields in the Ryukyu Islands. 7 Competition between sugarcane and Bidens pilosa L. var. radiata Scherff. at earlier stages of growth. Weed Res. Japan 1986, 31, 287–293. [Google Scholar] [CrossRef]
- Blanco, H.G.; Arévalo, R.A.; Blanco, F.M.G. Injury of Bidens pilosa L. on bean plants. Arq. Do Inst. Biológico 1996, 63, 35–40. [Google Scholar]
- de Carvalho, D.A. Study of specific competition of weeds on bean crop. 1. Competitive effects of Alexander grass (Brachiaria plantaginea (Link) Hitch) and hairy beggarticks (Bidens pilosa L.) in different densities on growth and mineral nutrition of common bean (Phaseolus vulgaris L.). Cienc. E Prat. 1980, 24, 1131–1137. [Google Scholar]
- Cerna, L.; Valdez, V. The influence of populations of the weeds Sorghum halepense (L.) Pers. and Bidens pilosa L. on the yield of beans (Phaseolus vulgaris L.). Pirata 2. Turrialba 1987, 37, 303–309. [Google Scholar]
- Chivinge, O.A.; Schwappenhauser, M.A. Competition of soybean with blackjack (Bidens pilosa L.) and pigweed (Amaranthus hybridus L.). Afr. Crop Sci. J. 1995, 3, 73–82. [Google Scholar] [CrossRef][Green Version]
- Christie, S.R.; Christie, R.G.; Edwardson, J.R. Transmission of a bacilliform virus of sowthistle and Bidens pilosa. Phytopathology 1974, 64, 840–845. [Google Scholar] [CrossRef]
- Andrew, O.; Dietzgen, R.G.; Goodin, M.M.; Li, Z. Development of model systems for plant rhabdovirus research. Adv. Virus Res. 2018, 202, 23–57. [Google Scholar]
- Huang, C.J.; Liu, Y.; Yu, H.Q.; Liu, B.Z.; Qing, L. Bidens pilosa is a natural host of Tomato spotted wilt virus in Yunnan Province, China. Plant Dis. 2016, 100, 1957. [Google Scholar] [CrossRef]
- Saengyot, S.; Burikam, I. Host plants and natural enemies of papaya mealybug, Paracoccus marginatus (Hemiptera: Pseudococcidae) in Thailand. Thai J. Agric. Sci. 2011, 44, 197–205. [Google Scholar]
- Ishimine, Y.; Miyazato, K.; Matsumoto, S. Physiological and ecological characteristics of weeds of sugarcane fields in the Ryukyu Islands. J. Weed Sci. Technol. 1986, 31, 16–23. [Google Scholar] [CrossRef]
- Asami, K.; Yamato, M.; Hattori, T.; Akamatsu, H.; Takeda, Y. Floristic composition and process of establishment of the Bidens pilosa var. minor—Imperata cylindrica community maintained by cutting on non-arable land in Okinawa Prefecture. Veg. Sci. 1999, 16, 1–11. [Google Scholar]
- Pan, Y.; Tang, S.; Wei, C.; Li, X. Comparison of growth, photosynthesis and phenotypic plasticity between invasive and native Bidens species under different light and water conditions. Biodivers. Sci. 2017, 25, 1257–1266. [Google Scholar]
- Chen, X.W.; Li, H.Y.; Liu, H.M.; Yang, D.L.; Huangfu, C.H. Comparison of gas exchange characteristics between invasive Parthenium hysterophorus and Bidens pilosa and co-occurring native Cirsium setosum (Asteraceae). Acta Ecol. Sin. 2016, 36, 5732–5740. [Google Scholar]
- Rocha, O.J. The effects of achene heteromorphism on the dispersal capacity of Bidens pilosa L. Int. J. Plant Sci. 1996, 157, 316–322. [Google Scholar] [CrossRef]
- Hadač, E.; Hadačová, V. Notes on the ecology and distribution of Bidens pilosa L. in Cuba. Folia Geobot. Phytotax. 1998, 6, 165–173. [Google Scholar]
- Amaral, A.; Takaki, M. Achene dimorphism in Bidens pilosa L.(Asteraceae) as determined by germination test. Braz. Arch. Biol. Technol. 1998, 41, 10–15. [Google Scholar] [CrossRef]
- Forsyth, C.; Brown, N.A.C. Germination of the dimorphic fruits of Bidens pilosa L. New Phytol. 1982, 90, 151–164. [Google Scholar] [CrossRef]
- Imbert, E.; Ronce, O. Phenotypic plasticity for dispersal ability in the seed heteromorphic Crepissancta (Asteraceae). Oikos 2001, 93, 126–134. [Google Scholar] [CrossRef]
- Gurvich, D.E.; Enrico, L.; Funes, G.; Zak, M.R. Seed mass, seed production, germination and seedling traits in two phenological types of Bidens pilosa (Asteraceae). Aust. J. Bot 2004, 52, 647–652. [Google Scholar] [CrossRef]
- Harper, J. Population Biology of Plants; Academic Press: London UK, 1977; pp. 1–892. [Google Scholar]
- García, Y.; Callaway, R.M.; Diaconu, A.; Montesinos, D. Invasive and non-invasive congeners show similar trait shifts between their same native and non-native ranges. PLoS ONE 2013, 8, e82281. [Google Scholar] [CrossRef]
- Gioria, M.; Pyšek, P. The legacy of plant invasions: Changes in the soil seed bank of invaded plant communities. Bioscience 2016, 66, 40–53. [Google Scholar] [CrossRef]
- Gioria, M.; Pyšek, P. Early bird catches the worm: Germination as a critical step in plant invasion. Biol. Invasions 2017, 19, 1055–1080. [Google Scholar] [CrossRef]
- Abraham, J.K.; Corbin, J.D.; D’Antonio, C.M. California native and exotic perennial grasses differ in their response to soil nitrogen, exotic annual grass density, and order of emergence. Plant Ecol. 2009, 201, 445–456. [Google Scholar] [CrossRef]
- Gioria, M.; Osborne, B. Resource competition in plant invasions: Emerging patterns and research needs. Front. Plant Sci. 2014, 5, 501. [Google Scholar] [CrossRef] [PubMed]
- Fenesi, A.; Albert, Á.J.; Ruprecht, E. Fine-tuned ability to predict future competitive environment in Ambrosia artemisiifolia seeds. Weed Res. 2014, 54, 58–69. [Google Scholar] [CrossRef]
- Ruxton, G.D.; Schaefer, H.M. The conservation physiology of seed dispersal. Philos. Trans. R Soc. Lond B Biol. Sci. 2012, 367, 1708–1718. [Google Scholar] [CrossRef]
- Wainwright, C.E.; Wolkovich, E.M.; Cleland, E.E. Seasonal priority effects: Implications for invasion and restoration in a semi-arid system. J. Appl. Ecol. 2012, 49, 234–241. [Google Scholar] [CrossRef]
- Donohue, K.; de Casas, R.R.; Burghardt, L.; Kovach, K.; Willis, C.G. Germination, post-germination adaptation, and species ecological ranges. Annu. Rev. Ecol. Evol. Syst. 2010, 41, 293–319. [Google Scholar] [CrossRef]
- Galinato, M.I.; Moody, K.; Piggin, C.M. Upland Rice Weeds of South and Southeast Asia; International Rice Institute: Los Baños, Philippines, 1999; pp. 1–156. [Google Scholar]
- Funk, J.L.; Vitousek, P.M. Resource-use efficiency and plant invasion in low-resource systems. Nature 2007, 446, 1078–1081. [Google Scholar] [CrossRef]
- Elser, J.J. Biological stoichiometry: A chemical bridge between ecosystem ecology and evolutionary biology. Am. Nat. 2006, 168, 25–35. [Google Scholar] [CrossRef] [PubMed]
- Kerkhoff, A.J.; Fagan, W.F.; Elser, J.J.; Enquist, B.J. Phylogenetic and growth form variation in the scaling of nitrogen and phosphorus in the seed plants. Am. Nat. 2006, 168, 103–122. [Google Scholar] [CrossRef] [PubMed]
- González, A.L.; Kominoski, J.S.; Danger, M.; Ishida, S.; Iwai, N.; Rubach, A. Can ecological stoichiometry help explain patterns of biological invasions. Oikos 2010, 119, 779–790. [Google Scholar] [CrossRef]
- Wang, J.; Chen, W.; Zhu, H. Ecological stoichiometry and invasive strategies of two alien species (Bidens pilosa and Mikania micrantha) in subtropical China. Ecol. Res. 2019, 34, 612–623. [Google Scholar] [CrossRef]
- de Matos, C.C.; Teixeira, R.D.S.; da Silva, I.R.; Costa, M.D.; da Silva, A.A. Interspecific competition changes nutrient: Nutrient ratios of weeds and maize. J. Plant Nutr. Soil Sci. 2019, 182, 286–295. [Google Scholar] [CrossRef]
- Wang, R.L.; Yan, W.B.; Quan, G.M.; Liu, S.W.; Zhang, J.E. Effects of light intensity on morphology and physiology of exotic invasive Bidens pilosa L. and non-invasive congener Bidens bipinnata L. Allelopath. J. 2017, 42, 157–168. [Google Scholar] [CrossRef]
- Drew, M.C. Oxygen deficiency and root metabolism: Injury and acclimation under hypoxia and anoxia. Ann. Rev. Plant Biol. 1997, 48, 223–250. [Google Scholar] [CrossRef] [PubMed]
- Fukao, T.; Bailey-Serres, J. Plant responses to hypoxia–is survival a balancing act? Trends Plant Sci. 2004, 9, 449–456. [Google Scholar] [CrossRef]
- Hsu, H.M.; Kao, W.Y. Vegetative and reproductive growth of an invasive weed Bidens pilosa L. var. radiata and its noninvasive congener Bidens bipinnata in Taiwan. Taiwania 2014, 59, 119–126. [Google Scholar]
- Yue, M.; Shen, H.; Li, W.; Chen, J.; Ye, W.; Tian, X.; Yin, A.; Cheng, S. Waterlogging tolerance of Bidens pilosa translates to increased competitiveness compared to native Bidens biternata. Plant Soil 2019, 437, 301–311. [Google Scholar] [CrossRef]
- Wen, B.; An, X.; Chen, L.; Yin, X.; Mi, L. Variation in Tolerance to High Temperature and Water Stress in Weedy Bidens pilosa Seeds from Yunnan, SW China. Research Square. 2022. Available online: https://www.researchsquare.com/article/rs-1782585/v1 (accessed on 4 August 2023).
- Zhang, R.; Chen, D.; Liu, H.; Guo, C.; Tang, L.; Wang, H.; Chen, Y.; Luo, K. Effect of temperature and water potential on the germination of seeds from three different populations of Bidens pilosa as a potential Cd hyperaccumulator. BMC Plant Biol. 2022, 22, 487. [Google Scholar] [CrossRef] [PubMed]
- de Barros, R.T.; Martins, C.C.; da Silva, G.Z.; Martins, D. Origin and temperature on the germination of beggartick seeds. Rev. Bras. Eng. Agríc. Ambient. 2017, 21, 448–453. [Google Scholar] [CrossRef][Green Version]
- Sahoo, U.K.; Jha, L.K. Effect of depth and duration of burial on seed viability and dormancy of Bidens pilosa L. and Richardsonia pilosa HBK. Seed Res. 1997, 25, 5–10. [Google Scholar]
- Chauhan, B.S.; Ali, H.H.; Florentine, S. Seed germination ecology of Bidens pilosa and its implications for weed management. Sci. Rep. 2019, 9, 16004. [Google Scholar] [CrossRef] [PubMed]
- Tsai, L.C.; Wang, J.C.; Hsieh, H.M.; Liu, K.L.; Linacre, A.; Lee, J.C.I. Bidens identification using the noncoding regions of chloroplast genome and nuclear ribosomal DNA. Forensic Sci. Int. Genet. 2008, 2, 35–40. [Google Scholar] [CrossRef] [PubMed]
- Wu, X.; Jiang, M.; Liu, M.; Wang, B.; Yu, Q.; Chen, H.; Wang, L.; Liu, C. Analysis of the complete plastomes of Bidens pilosa L. 1753 (Asteraceae, Coreopsideae) from Beijing, China reveals high genetic diversity and possible misidentifications. Mitochondrial DNA B Resour. 2023, 8, 612–618. [Google Scholar] [CrossRef] [PubMed]
- Grombone-Guaratini, M.T.; Semir, J.; Solferini, V.N. Low allozymic variation in the Bidens pilosa L. complex (Asteraceae). Biochem. Genet. 2005, 43, 335–345. [Google Scholar] [CrossRef]
- van der Putten, W.H. Impacts of soil microbial communities on exotic plant invasions. Trends Ecol. Evol. 2010, 25, 512–519. [Google Scholar]
- Castro-Diez, P.; Godoy, O.; Alonso, A.; Gallardo, A.; Saldana, A. What explains variation in the impacts of exotic plant invasions on the nitrogen cycle? A meta-analysis. Ecol. Lett. 2014, 17, 1–12. [Google Scholar] [CrossRef]
- Callaway, R.M.; Maron, J.L. What have exotic plant invasions taught us over the past 20 years? Trends Ecol. Evol. 2006, 21, 369–374. [Google Scholar] [CrossRef]
- Sun, X.; Gao, C.; Guo, L. Changes in soil microbial community and enzyme activity along an exotic plant Eupatorium adenophorum invasion in a Chinese secondary forest. Chin. Sci. Bull. 2013, 58, 4101–4108. [Google Scholar] [CrossRef]
- Fenner, M. The inhibition of germination of Bidens pilosa seeds by leaf canopy shade in some natural vegetation types. New Phytol. 1980, 84, 95–101. [Google Scholar] [CrossRef]
- Elgersma, K.J.; Ehrenfeld, J.G. Linear and non-linear impacts of a non-native plant invasion on soil microbial community structure and function. Biol. Invasions 2010, 13, 757–768. [Google Scholar] [CrossRef]
- Li, W.; Zhang, C.; Jiang, H.; Xin, G.; Yang, Z. Changes in soil microbial community associated with invasion of the exotic weed, Mikania micrantha H.B.K. Plant Soil 2006, 281, 309–324. [Google Scholar] [CrossRef]
- Hawkes, C.V.; Wren, I.F.; Herman, D.J.; Firestone, M.K. Plant invasion alters nitrogen cycling by modifying the soil nitrifying the soil nitrifying community. Ecol. Lett. 2005, 8, 976–985. [Google Scholar] [CrossRef]
- Wang, L.; Li, Q.; Li, C.; Wu, C.; Chen, F.; Chen, X.; Zhang, F. Nitrate nitrogen and pH correlate with changes in rhizosphere microbial community assemblages during invasion of Ambrosia artemisiifolia and Bidens pilosa. Microbiol. Spectr. 2023, 11, e03649-22. [Google Scholar] [CrossRef] [PubMed]
- Cui, Q.G.; He, W.M. Soil biota, but not soil nutrients, facilitate the invasion of Bidens pilosa relative to a native species Saussurea deltoidea. Weed Res. 2009, 49, 201–206. [Google Scholar] [CrossRef]
- Wei, H.; Yan, W.; Quan, G.; Zhang, J.; Liang, K. Soil microbial carbon utilization, enzyme activities and nutrient availability responses to Bidens pilosa and a non-invasive congener under different irradiances. Sci. Rep. 2017, 7, 11309. [Google Scholar] [CrossRef]
- Smith, S.E.; Read, D.J. Mycorrhizal Symbiosis, 3rd ed.; Academic Press: London, UK, 2008; pp. 1–815. [Google Scholar]
- Diagne, N.; Ngom, M.; Djighaly, P.I.; Fall, D.; Hocher, V.; Svistoonoff, S. Roles of arbuscular mycorrhizal fungi on plant growth and performance: Importance in biotic and abiotic stressed regulation. Diversity 2020, 12, 370. [Google Scholar] [CrossRef]
- Tang, H.; Hassan, M.U.; Feng, L.; Nawaz, M.; Shah, A.N.; Qari, S.H.; Liu, Y.; Miao, J. The critical role of arbuscular mycorrhizal fungi to improve drought tolerance and nitrogen use efficiency in crops. Front. Plant Sci. 2022, 13, 919166. [Google Scholar] [CrossRef]
- Brundrett, M. Mycorrhizas in natural ecosystems. Adv. Ecol. Res. 1991, 21, 171–313. [Google Scholar]
- Vandenkoornhuyse, P.; Ridgway, K.P.; Watson, I.J.; Fitter, A.H. Co-existing grass species have distinctive arbuscular mycorrhizal communities. Mol. Ecol. 2003, 12, 3085–3095. [Google Scholar] [CrossRef] [PubMed]
- Zhang, F.J.; Li, Q.; Yerger, E.H.; Chen, X.; Shi, Q.; Wan, F.H. AM fungi facilitate the competitive growth of two invasive plant species, Ambrosia artemisiifolia and Bidens pilosa. Mycorrhiza 2018, 28, 703–715. [Google Scholar] [CrossRef]
- He, Y.; Jiang, C.; Yang, H.; Wang, Y.; Zhong, Z. Arbuscular mycorrhizal fungal composition affects the growth and nutrient acquisition of two plants from a karst area. Sains Malays. 2017, 46, 1701–1708. [Google Scholar] [CrossRef]
- Shen, K.; He, Y.; Xu, X.; Umer, M.; Liu, X.; Xia, T.; Guo, Y.; Wu, B.; Xu, H.; Zang, L.; et al. Effects of AMF on plant nutrition and growth depend on substrate gravel content and patchiness in the karst species Bidens pilosa L. Front. Plant Sci. 2022, 13, 968719. [Google Scholar] [CrossRef] [PubMed]
- Song, H.; Zhong, Z.; Yang, W.; Chen, Q. Analysis of the activities of protective enzymes in Bidens pilosa L. inoculated with Glomus mosseae under drought stress. Acta Ecol. Sinica 2011, 31, 2471–2477. [Google Scholar]
- Callaway, R.M.; Aschehoug, E.T. Invasive plants versus their new and old neighbors: A mechanism for exotic invasion. Science 2000, 290, 521–523. [Google Scholar] [CrossRef]
- Cappuccino, N.; Arnason, J.T. Novel chemistry of invasive exotic plants. Biol. Lett. 2006, 2, 189–193. [Google Scholar] [CrossRef]
- Wang, C.; Zhu, M.; Chen, X.; Qu, B. Review on allelopathy of exotic invasive plants. Procedia Engin. 2011, 18, 240–246. [Google Scholar]
- Meiners, S.J.; Kong, C.H.; Ladwig, L.M.; Pisula, N.L.; Lang, K.A. Developing an ecological context for allelopathy. Plant. Ecol. 2012, 213, 1861–1867. [Google Scholar] [CrossRef]
- Callaway, R.M.; Ridenour, W.M. Novel weapons: Invasive success and the evolution of increased competitive ability. Front Ecol. Environ. 2004, 2, 436–443. [Google Scholar] [CrossRef]
- Kato-Noguchi, H.; Kato, M. Evolution of the secondary metabolites in invasive plant species Chromolaena odorata for the defense and allelopathic functions. Plants 2023, 12, 521. [Google Scholar] [CrossRef]
- Kato-Noguchi, H.; Kurniadie, D. Allelopathy and allelochemicals of Leucaena leucocephala as an invasive plant species. Plants 2022, 11, 1672. [Google Scholar] [CrossRef]
- Kato-Noguchi, H.; Kato, M. Allelopathy and allelochemicals of Solidago canadensis L. and S. altissima L. for their naturalization. Plants 2022, 11, 3235. [Google Scholar] [CrossRef] [PubMed]
- Rice, E.L. Allelopathy, 2nd ed.; Academic Press: Orlando, FL, USA, 1984; pp. 1–422. [Google Scholar]
- Bais, H.P.; Weir, T.L.; Perry, L.G.; Gilroy, S.; Vivanco, J.M. The role of root exudates in rhizosphere interactions with plants and other organisms. Annu. Rev. Plant Biol. 2006, 57, 233–266. [Google Scholar] [CrossRef]
- Kato-Noguchi, H. Defensive molecules momilactones A and B: Function, biosynthesis, induction and occurrence. Toxins 2023, 15, 241. [Google Scholar] [CrossRef] [PubMed]
- Bonanomi, G.; Sicurezza, M.G.; Caporaso, S.; Esposito, A.; Mazzoleni, S. Phytotoxicity dynamics of decaying plant materials. New Phytol. 2006, 169, 571–578. [Google Scholar] [CrossRef]
- Belz, R.G. Allelopathy in crop/weed interactions—An update. Pest. Manag. Sci. 2007, 63, 308–326. [Google Scholar] [CrossRef]
- Hong, N.H.; Xuan, T.D.; Eiji, T.; Khanh, T.D. Paddy weed control by higher plants from Southeast Asia. Crop Prot. 2004, 23, 255–261. [Google Scholar] [CrossRef]
- Krumsri, R.; Suwunnamek, U.; Homhaul, W.; Laosinwattana, C.; Poonpaiboonpipattana, T. Allelopathic effects of Bidens pilosa var. radiata and its preliminary utilization to control weeds in rice. J. Agric. Technol. 2015, 11, 1875–1886. [Google Scholar]
- Hsueh, M.T.; Fan, C.; Chang, W.L. Allelopathic effects of Bidens pilosa L. var. radiata Sch. Bip. on the tuber sprouting and seedling growth of Cyperus rotundus L. Plants 2020, 9, 742. [Google Scholar] [CrossRef]
- Stevens, G.A., Jr.; Tang, C.S. Inhibition of seedling growth of crop species by recirculating root exudates of Bidens pilosa L. J. Chem. Ecol. 1985, 11, 1411–1425. [Google Scholar] [CrossRef]
- Khanh, T.D.; Cong, L.C.; Xuan, T.D.; Uezato, Y.; Deba, F.; Toyama, T.; Tawata, S. Allelopathic plants: 20. Hairy beggarticks (Bidens pilosa L.). Allelopath. J. 2009, 24, 243–259. [Google Scholar]
- Zhang, K.M.; Shen, Y.; Zhou, X.Q.; Fang, Y.M.; Liu, Y.; Ma, L.Q. Photosynthetic electron-transfer reactions in the gametophyte of Pteris multifida reveal the presence of allelopathic interference from the invasive plant species Bidens pilosa. J. Photochem. Photobiol. B Biol. 2016, 158, 81–88. [Google Scholar] [CrossRef] [PubMed]
- Zhang, K.M.; Shen, Y.; Yang, J.; Miu, X.; Bhowmik, P.C.; Zhou, X.; Fang, Y.M.; Xing, B.S. The defense system for Bidens pilosa root exudate treatments in Pteris multifida gametophyte. Ecotoxicol. Environ. Saf. 2019, 173, 203–213. [Google Scholar] [CrossRef]
- Khasabulli, B.D.; Musyimi, D.M.; George, O.; Gichuhi, M.N. Allelopathic effect of Bidens pilosa on seed germination and growth of Amaranthus dubius. J. Asian Sci. Res. 2018, 8, 103–112. [Google Scholar] [CrossRef]
- Hsu, H.M.; Kao, W.Y. Contrasting effects of aqueous tissue extracts from an invasive plant, Bidens pilosa L. var. radiata, on the performance of its sympatric plant species. Taiwania 2009, 54, 255–260. [Google Scholar]
- Poonpaiboonpipat, T.; Poolkum, S. Utilization of Bidens pilosa var. radiata (Sch. Bip.) Sherff integrated with water irrigation for paddy weed control and rice yield production. Weed Biol. Manag. 2019, 19, 31–38. [Google Scholar] [CrossRef]
- Deba, F.; Xuan, T.D.; Yasuda, M.; Tawata, S. Herbicidal and fungicidal activities and identification of potential phytotoxins from Bidens pilosa L. var. radiata Scherff. Weed Biol. Manag. 2007, 7, 77–83. [Google Scholar] [CrossRef]
- Macías, F.A.; Molinillo, J.M.; Varela, R.M.; Galindo, J.C. Allelopathy—A natural alternative for weed control. Pest Manag. Sci. 2007, 63, 327–348. [Google Scholar] [CrossRef]
- Anh, L.H.; van Quan, N.; Nghia, L.T.; Xuan, T.D. Phenolic allelochemicals: Achievements, limitations, and prospective approaches in weed management. Weed Biol. Manag. 2021, 21, 37–67. [Google Scholar]
- Hussain, M.I.; Danish, S.; Sánchez-Moreiras, A.M.; Vicente, Ó.; Jabran, K.; Chaudhry, U.K.; Branca, F.; Reigosa, M.J. Unraveling sorghum allelopathy in agriculture: Concepts and implications. Plants 2021, 10, 1795. [Google Scholar] [CrossRef]
- Barkosky, R.R.; Einhellig, F.A.; Butler, J.L. Caffeic acid-induced changes in plant-water relationships and photosynthesis in leafy spurge Euphorbia esula. J. Chem. Ecol. 2000, 26, 2095–2109. [Google Scholar] [CrossRef]
- Einhellig, F.A. Mode of action of allelochemical action of phenolic compounds. In Chemistry and Mode of Action of Allelochemicals; Macías, F.A., Galindo, J.C.G., Molino, J.M.G., Cutler, H.G., Eds.; CRC Press: Boca Raton, FL, USA; London, UK; New York, NY, USA; Washington, DC, USA, 2004; pp. 217–238. [Google Scholar]
- Dalton, B.R. The occurrence and behavior of plant phenolic acids in soil environments and their potential involvement in allelochemical interference interactions: Methodological limitations in establishing conclusive proof of allelopathy. In Principals and Practices in Plant Ecology: Allelochemical Interactions; Inderjit, Dakshini, K.M.M., Foy, C.L., Eds.; CRC Press: Boca Raton, FL, USA, 1999; pp. 57–74. [Google Scholar]
- Klessig, D.F.; Malamy, J. The salicylic acid signal in plants. Plant Mol. Biol. 1994, 26, 1439–1458. [Google Scholar] [CrossRef]
- Muhsinah, A.B.; Alsayari, A.; Thajudeen, K.Y.; Asiri, Y.I.; Nanjaian, M. Simultaneous estimation of rutin and quercetin in Bidens pilosa, Convolvulus arvensis and neurada procumbens by RP-HPLC. Res. J. Pharm. Technol. 2020, 13, 3305–3310. [Google Scholar] [CrossRef]
- Parvez, M.M.K.; Yokotani, T.; Fujii, Y.; Konishi, T.; Iwashina, T. Effects of quercetin and its seven derivatives on the growth of Arabidopsis thaliana and Neurospora crassa. Biochem. Syst. Ecol. 2004, 32, 631–635. [Google Scholar] [CrossRef]
- Okada, S.; Iwasaki, A.; Kataoka, I.; Suenaga, K.; Kato-Noguchi, H. Isolation and identification of a phytotoxic substance in kiwifruit leaves. Acta Hortic. 2018, 1218, 207–212. [Google Scholar] [CrossRef]
- Moreland, D.E.; Novitzky, W.P. Effects of phenolic acids, coumarins, and flavonoids on isolated chloroplasts and mitochondria. In Allelochemicals: Role in Agriculture and Forestry; Waller, E.D., Ed.; Series 330; ACS Publications: Washington, DC, USA, 1987; pp. 247–274. [Google Scholar]
- Einhellig, F.A. Mechanisms of action of allelochemicals in allelopathy. In Allelopathy; Inderjit, Dakshini, K.M.M., Einhellig, F.A., Eds.; Series 582; ACS Publications: Washington, DC, USA, 1995; pp. 96–116. [Google Scholar]
- Priestap, H.A.; Bennett, B.C.; Quirke, J.M.E. Investigation of the essential oils of Bidens pilosa var. minor, Bidens alba and Flaveria linearis. J. Essent. Oil Res. 2008, 20, 396–402. [Google Scholar] [CrossRef]
- Gershenzon, J.; Dudareva, N. The function of terpene natural products in the natural world. Nat. Chem. Biol. 2007, 3, 408–414. [Google Scholar] [CrossRef] [PubMed]
- M’sou, S.; Alifriqui, M.; Romane, A. Phytochemical study and biological effects of the essential oil of Fraxinus dimorpha Coss & Durieu. Nat. Prod. Res. 2017, 31, 2797–2800. [Google Scholar] [PubMed]
- Riccobono, L.; Maggio, A.; Bruno, M.; Spadaro, V.; Raimondo, F.M. Chemical composition and antimicrobial activity of the essential oils of some species of Anthemis sect Anthemis (Asteraceae) from Sicily. Nat. Prod. Res. 2017, 31, 2759–2767. [Google Scholar] [CrossRef]
- Winters, A.E.; White, A.M.; Dewi, A.S.; Mudianta, I.W.; Wilson, N.G.; Forster, L.C.; Garson, M.J.; Cheney, K.L. Distribution of defensive metabolites in nudibranchmolluscs. J. Chem. Ecol. 2018, 44, 384–396. [Google Scholar] [CrossRef]
- Sarles, L.; Boullis, A.; Fassotte, B.; Lognay, G.; Verhaeghe, A.; Francis, F.; Verheggen, F.J. Identification of walnut husk (Juglans regia L.) volatiles and the behavioural response of the invasive walnut husk fly, Rhagoletis completa Cresson. Pest. Manag. Sci. 2017, 73, 2100–2104. [Google Scholar] [CrossRef]
- Boncan, D.A.T.; Tsang, S.S.K.; Li, C.; Lee, I.H.T.; Lam, H.M.; Chan, T.F.; Hui, J.H.L. Terpenes and Terpenoids in Plants: Interactions with Environment and Insects. Int. J. Mol. Sci. 2020, 21, 7382. [Google Scholar] [CrossRef] [PubMed]
- Macías, F.A.; Mejías, F.J.; Molinillo, J.M. Recent advances in allelopathy for weed control: From knowledge to applications. Pest Manag. Sci. 2019, 75, 2413–2436. [Google Scholar] [CrossRef] [PubMed]
- Mack, R.M. Predicting the identity and fate of plant invaders: Emergent and emerging approaches. Biol. Conserv. 1996, 78, 107–121. [Google Scholar] [CrossRef]
- Keane, R.M.; Crawley, M.L. Exotic plant invasions and the enemy release hypothesis. Trend. Ecol. Evol. 2002, 17, 164–170. [Google Scholar] [CrossRef]
- Warren, R.J.; Matt Candeias, M.; Labatore, A.; Olejniczak, M.; Yang, L. Multiple mechanisms in woodland plant species invasion. J. Plant Ecol. 2019, 12, 201–209. [Google Scholar] [CrossRef]
- Liu, J.; Xu, G.; Yin, L.; Xu, X.; Armitage, D.W.; Dong, T. Invasive plants exert disproportionately negative allelopathic effects on the growth and physiology of the earthworm Eisenia fetida. Sci. Total Environ. 2020, 747, 141534. [Google Scholar] [CrossRef]
- Taba, S.; Sawada, J.; Moromizato, Z.I. Nematicidal activity of Okinawa Island plants on the root-knot nematode Meloidogyne incognita (Kofoid and White) Chitwood. Plant Soil 2008, 303, 207–216. [Google Scholar] [CrossRef]
- Taba, S.; Ashikaga, K.; Oohama, T.; Ajitomi, A.; Kiyuna, C.; Kinjo, M.; Sekine, K.T. Bidens pilosa extract effects on pine wilt: Causal agents and their natural enemies. Forest Sci. 2020, 66, 284–290. [Google Scholar] [CrossRef]
- Ahmed, S.S.; Abdel-Aziz, S.Y.; Taha, A.; Elhefny, A. Insecticidal effects of two plant extracts of (Bidens pilosa and Rumex dentatus) and neem oil against certain stored grains insects. Egyp. Acad. J. Biol. Sci. F. Toxicol Pest Control 2021, 13, 149–158. [Google Scholar] [CrossRef]
- Mkindi, A.; Mpumi, N.; Tembo, Y.; Stevenson, P.C.; Ndakidemi, P.A.; Mtei, K.; Machunda, R.; Belmain, S.R. Invasive weeds with pesticidal properties as potential new crops. Ind. Crops Prod. 2017, 110, 113–122. [Google Scholar] [CrossRef]
- Li, B.L.; Xie, J.D.; Xie, F.D.; Li, H.Y.; Hu, J.J.; Li, Q.R.; Liang, H.J.; Ao, Z.H.; Fan, Y.W.; Zhang, W.J.; et al. Polyacetylenes from Bidens pilosa Linn., promising insecticides with anti-inflammatory effects on HaCaT cells. Ind. Crops Prod. 2021, 171, 113929. [Google Scholar] [CrossRef]
- Kimura, Y.; Hiraoka, K.; Kawano, T.; Fujioka, S.; Shimada, A. Nematicidal activities of acetylene compounds from Coreopsis lanceolata L. Z. Naturforsch. C 2008, 63, 843–847. [Google Scholar] [CrossRef] [PubMed]
- Campbell, G.; Lambert, J.D.; Arnason, T.; Towers, G.N. Allelopathic properties of α-terthienyl and phenylheptatriyne, naturally occurring compounds from species of Asteraceae. J. Chem. Ecol. 1982, 8, 961–972. [Google Scholar] [CrossRef] [PubMed]
- Chiang, Y.M.; Chuang, D.Y.; Wang, S.Y.; Kuo, Y.H.; Tsai, P.W.; Shyur, L.F. Metabolite profiling and chemopreventive bioactivity of plant extracts from Bidens pilosa. J. Ethnopharmacol. 2004, 95, 409–419. [Google Scholar] [CrossRef]
- Bairwa, K.; Kumar, R.; Sharma, R.J.; Roy, R.K. An updated review on Bidens pilosa L. Der Pharma Chem. 2010, 2, 325–337. [Google Scholar]
- Cortés-Rojas, D.F.; Chagas-Paula, D.A.; Da Costa, F.B.; Souza, C.R.; Oliveira, W.P. Bioactive compounds in Bidens pilosa L. populations: A key step in the standardization of phytopharmaceutical preparations. Rev. Bras. Farmacogn. 2013, 23, 28–35. [Google Scholar] [CrossRef]
- Yang, W.C. Botanical, pharmacological, phytochemical, and toxicological aspects of the antidiabetic plant Bidens pilosa L. Evid.-Based Complement. Altern. Med. 2014, 2014, 698617. [Google Scholar] [CrossRef]
- Silva, L.F.; Fischer, D.C.H.; Tavares, F.J.; Silva, S.S.M.; de Athayde-Filho, F.P.; Barbosa-Filho, J.M. Compilation of secondary metabolites from Bidens pilosa L. Molecules 2011, 16, 1070–1102. [Google Scholar] [CrossRef]
- Lockwood, J.L.; Simberloff, D.; McKinney, M.L.; Von Holle, B. How many, and which, plants will invade natural areas. Biol. Invasions 2001, 3, 1–8. [Google Scholar] [CrossRef]
- Kato-Noguchi, H.; Kurniadie, D. Allelopathy of Lantana camara as an invasive plant. Plants 2021, 10, 1028. [Google Scholar] [CrossRef]
- Kato-Noguchi, H. Involvement of allelopathy in the invasive potential of Tithonia diversifolia. Plants 2020, 9, 766. [Google Scholar] [CrossRef] [PubMed]
- Walther, G.R.; Roques, A.; Hulme, P.E.; Sykes, M.T.; Pyšek, P.; Kühn, I.; Zobel, M.; Bacher, S.; Botta-Dukát, Z.; Bugmann, H. Alien species in a warmer world: Risks and opportunities. Trends Ecol. Evol. 2009, 24, 686–693. [Google Scholar] [CrossRef] [PubMed]
- Mainka, S.A.; Howard, G.W. Climate change and invasive species: Double jeopardy. Integr. Zool. 2010, 5, 102–111. [Google Scholar] [CrossRef] [PubMed]
- Verlinden, M.; Nijs, I. Alien plant species favoured over congeneric natives under experimental climate warming in temperate Belgian climate. Biol. Invasions 2010, 12, 2777–2787. [Google Scholar] [CrossRef]
- Rogers, C.E.; McCarty, J.P. Climate change and ecosystems of the Mid-Atlantic region. Clim. Res. 2000, 14, 235–244. [Google Scholar] [CrossRef]
- Bradley, B.A.; Wilcove, D.S.; Oppenheimer, M. Climate change increases risk of plant invasion in the Eastern United States. Biol. Invasions 2010, 12, 1855–1872. [Google Scholar] [CrossRef]
- Duell, E.B.; Londe, D.W.; Hickman, K.R.; Greer, M.J.; Wilson, G.W.T. Superior performance of invasive grasses over native counterparts will remain problematic under warmer and drier conditions. Plant Ecol. 2021, 222, 993–1006. [Google Scholar] [CrossRef]
- Osaki, S.; Wasaki, J.; Nakatsubo, T. Phenological shifts of the invasive annual weed Bidens pilosa var. pilosa in response to warmer temperature. Plant Ecol. 2022, 223, 1155–1165. [Google Scholar] [CrossRef]
- Kishun, R.; Chand, R. New collateral hosts for Pseudomonas solanacearum. Indian J. Mycol. Plant Pathol. 1987, 17, 237–249. [Google Scholar]
- Phillips, A.J.L. Some common weed species as alternative hosts for Sclerotinia sclerotiorum. Phytophylactica 1992, 24, 207–210. [Google Scholar]
- Guatimosim, E.; Pinto, H.J.; Pereira, O.L.; Fuga, C.A.; Vieira, B.S.; Barreto, R.W. Pathogenic mycobiota of the weeds Bidens pilosa and Bidens subalternans. Trop. Plant Pathol. 2015, 40, 298–317. [Google Scholar] [CrossRef]
- Ferreira, F.A.; da Silva, A.A.; Ferreira, L.R. Effectiveness of nicosulfuron in two formulations, in controlling weeds in maize (Zea mays L.). Ciênc. Agrotec. 1996, 20, 19–24. [Google Scholar]
- Paulo, E.M.; Fujiwara, M.; Terra, M.M.; Martins, F.P.; Pires, E.J.P. Chemical weed control in grapevine Niagara Rosada. Bragantia 1997, 56, 135–143. [Google Scholar] [CrossRef]
- Takano, H.K.; Oliveira, O.S.D., Jr.; Constantin, J.; Braz, G.B.P.; Franchini, L.H.M.; Burgos, N.R. Multiple resistance to atrazine and imazethapyr in hairy beggarticks (Bidens pilosa). Ciênc. Agrotec. 2016, 40, 547–554. [Google Scholar] [CrossRef]
- la Cruz, R.A.; Fernández-Moreno, P.T.; Ozuna, C.V.; Rojano-Delgado, A.M.; Cruz-Hipolito, H.E.; Domínguez-Valenzuela, J.A.; Baro, F.; de Prado, R. Target and non-target site mechanisms developed by glyphosate-resistant hairy beggarticks (Bidens pilosa L.) populations from Mexico. Front. Plant Sci. 2016, 7, 1492. [Google Scholar]
- Feng, P.C.C.; CaJacob, C.A.; Martino-Catt, S.J.; Cerny, R.E.; Elmore, G.A.; Heck, G.R.; Haung, J.; Kruger, W.M.; Malven, M.; Miklos, J.A.; et al. Glyphosate-resistant crops: Developing the next generation products. In Glyphosate Resistance in Crops and Weeds, History, Development, and Management; Nandula, V.K., Ed.; Wiley: New York, NY, USA, 2010; pp. 45–65. [Google Scholar]
- Green, J.M.; Castle, L.A. Transitioning from single to multiple herbicide resistant crops. In Glyphosate Resistance in Crops and Weeds, History, Development, and Management; Nandula, V.K., Ed.; Wiley: New York, NY, USA, 2010; pp. 67–91. [Google Scholar]
- Heap, I. Global perspective of herbicide-resistant weeds. Pest Manag. Sci. 2014, 70, 1306–1315. [Google Scholar] [CrossRef] [PubMed]
- Henckes, J.R.; Cechin, J.; Schmitz, M.F.; Piasecki, C.; Vargas, L.; Agostinetto, D. Fitness cost and competitive ability of ryegrass susceptible and with multiple resistance to glyphosate, iodosulfuron-methyl, and pyroxsulam. Planta Daninha 2019, 37, e019197532. [Google Scholar] [CrossRef]





Disclaimer/Publisher’s Note: The statements, opinions and data contained in all publications are solely those of the individual author(s) and contributor(s) and not of MDPI and/or the editor(s). MDPI and/or the editor(s) disclaim responsibility for any injury to people or property resulting from any ideas, methods, instructions or products referred to in the content. |
© 2024 by the authors. Licensee MDPI, Basel, Switzerland. This article is an open access article distributed under the terms and conditions of the Creative Commons Attribution (CC BY) license (https://creativecommons.org/licenses/by/4.0/).
Share and Cite
Kato-Noguchi, H.; Kurniadie, D. The Invasive Mechanisms of the Noxious Alien Plant Species Bidens pilosa. Plants 2024, 13, 356. https://doi.org/10.3390/plants13030356
Kato-Noguchi H, Kurniadie D. The Invasive Mechanisms of the Noxious Alien Plant Species Bidens pilosa. Plants. 2024; 13(3):356. https://doi.org/10.3390/plants13030356
Chicago/Turabian StyleKato-Noguchi, Hisashi, and Denny Kurniadie. 2024. "The Invasive Mechanisms of the Noxious Alien Plant Species Bidens pilosa" Plants 13, no. 3: 356. https://doi.org/10.3390/plants13030356
APA StyleKato-Noguchi, H., & Kurniadie, D. (2024). The Invasive Mechanisms of the Noxious Alien Plant Species Bidens pilosa. Plants, 13(3), 356. https://doi.org/10.3390/plants13030356

