Selection of Reference Genes in Siraitia siamensis and Expression Patterns of Genes Involved in Mogrosides Biosynthesis
Abstract
1. Introduction
2. Results
2.1. Plant Regeneration
2.2. Reference Gene Selection, Amplification Specificity and PCR Efficiency Evaluation
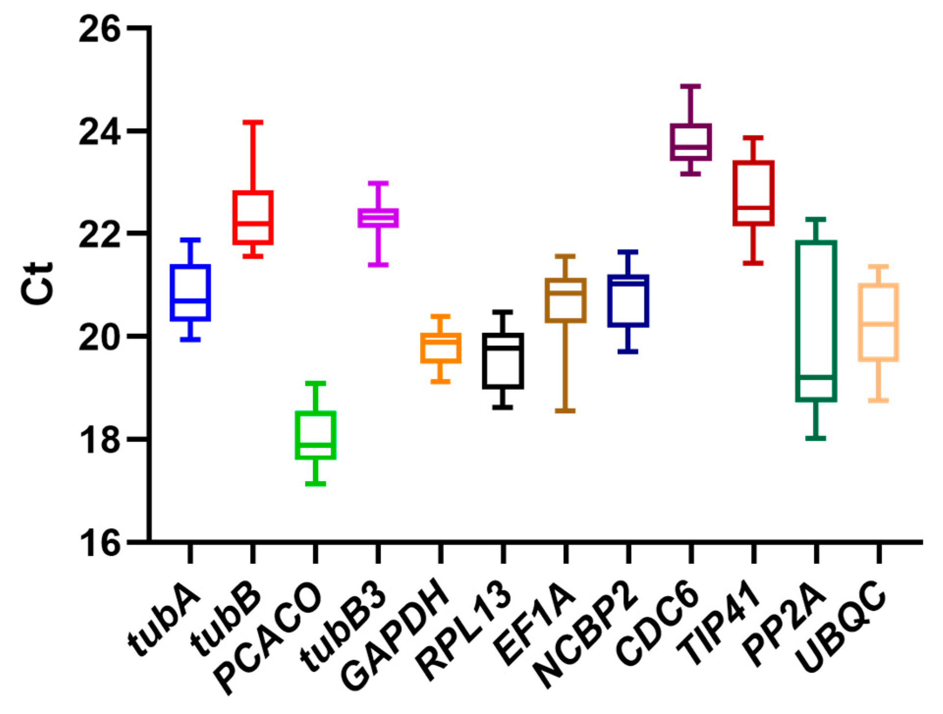
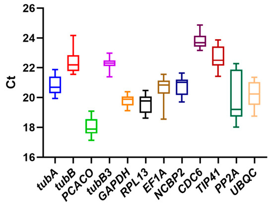
2.3. Expression Abundance Analysis of Candidate Reference Genes
2.4. Expression Stability Analysis of Candidate Reference Genes
2.4.1. GeNorm Analysis
2.4.2. NormFinder Analysis
2.4.3. BestKeeper Analysis
2.4.4. Delta Ct Analysis
2.4.5. RefFinder Analysis
2.5. Validation of Reference Genes by the Key Gene Cucurbitadienol Synthase
2.6. Different Expression Patterns of Mogrosides Synthesis Pathways under Different Treatments
3. Discussion
4. Materials and Methods
4.1. Explant Material Acquisition and Preparation of Plant Tissue Culture
4.2. Explant Nutritive Tissue Induction
4.3. Stress and Elicitor Treatment
4.4. Total RNA Extraction and cDNA Synthesis
4.5. Candidate Genes Selection and Primer Design
4.6. RT-qPCR Conditions
4.7. Analysis of Candidate Reference Gene Expression Stability
4.8. Validation of Reference Genes
5. Conclusions
Supplementary Materials
Author Contributions
Funding
Data Availability Statement
Conflicts of Interest
References
- Gong, X.; Chen, N.; Ren, K.; Jia, J.; Wei, K.; Zhang, L.; Lv, Y.; Wang, J.; Li, M. The Fruits of Siraitia Grosvenorii: A Review of a Chinese Food-Medicine. Front. Pharmacol. 2019, 10, 1400. [Google Scholar] [CrossRef] [PubMed]
- Tang, Q.; Ma, X.; Mo, C.; Wilson, I.W.; Song, C.; Zhao, H.; Yang, Y.; Fu, W.; Qiu, D. An Efficient Approach to Finding Siraitia Grosvenorii Triterpene Biosynthetic Genes by RNA-Seq and Digital Gene Expression Analysis. BMC Genom. 2011, 12, 343. [Google Scholar] [CrossRef] [PubMed]
- Kasai, R.; Nie, R.-L.; Nashi, K.; Ohtani, K.; Zhou, J.; Tag, G.-D.; Tanaka, O. Sweet Cucurbitane Glycosides from Fruits of Siraitia Siamensis (Chi-Zi Luo-Han-Guo), a Chinese Folk Medicine. Agric. Biol. Chem. 1989, 53, 3347–3349. [Google Scholar] [CrossRef]
- Pawar, R.S.; Krynitsky, A.J.; Rader, J.I. Sweeteners from Plants—With Emphasis on Stevia Rebaudiana (Bertoni) and Siraitia Grosvenorii (Swingle). Anal. Bioanal. Chem. 2013, 405, 4397–4407. [Google Scholar] [CrossRef] [PubMed]
- Çiçek, S.S. Structure-Dependent Activity of Plant-Derived Sweeteners. Molecules 2020, 25, 1946. [Google Scholar] [CrossRef]
- Xu, Y.; Zhao, L.; Chen, L.; Du, Y.; Lu, Y.; Luo, C.; Chen, Y.; Wu, X. Selective Enzymatic α-1,6- Monoglucosylation of Mogroside IIIE for the Bio-Creation of α-Siamenoside I, a Potential High-Intensity Sweetener. Food Chem. 2021, 359, 129938. [Google Scholar] [CrossRef]
- Guo, L.; Yao, H.; Chen, W.; Wang, X.; Ye, P.; Xu, Z.; Zhang, S.; Wu, H. Natural Products of Medicinal Plants: Biosynthesis and Bioengineering in Post-Genomic Era. Hortic. Res. 2022, 9, uhac223. [Google Scholar] [CrossRef]
- Zhou, L.G.; Wu, J.Y. Development and Application of Medicinal Plant Tissue Cultures for Production of Drugs and Herbal Medicinals in China. Nat. Prod. Rep. 2006, 23, 789–810. [Google Scholar] [CrossRef]
- Li, J.; Mu, S.; Yang, J.; Liu, C.; Zhang, Y.; Chen, P.; Zeng, Y.; Zhu, Y.; Sun, Y. Glycosyltransferase Engineering and Multi-Glycosylation Routes Development Facilitating Synthesis of High-Intensity Sweetener Mogrosides. iScience 2022, 25, 105222. [Google Scholar] [CrossRef]
- Lin, M.; Jian, J.-B.; Zhou, Z.-Q.; Chen, C.-H.; Wang, W.; Xiong, H.; Mei, Z.-N. Chromosome-Level Genome of Entada Phaseoloides Provides Insights into Genome Evolution and Biosynthesis of Triterpenoid Saponins. Mol. Ecol. Resour. 2022, 22, 3049–3067. [Google Scholar] [CrossRef]
- Ma, D.; Zhang, Q.; Zhou, J.; Lu, Y.; Duan, X.; He, C.; Yu, J. Identification of Reliable Reference Genes under Different Stresses and in Different Tissues of Toxicodendron Succedaneum. Genes 2022, 13, 2396. [Google Scholar] [CrossRef] [PubMed]
- Li, Y.; Wang, J.; Li, L.; Song, W.; Li, M.; Hua, X.; Wang, Y.; Yuan, J.; Xue, Z. Natural Products of Pentacyclic Triterpenoids: From Discovery to Heterologous Biosynthesis. Nat. Prod. Rep. 2022, 40, 1303–1353. [Google Scholar] [CrossRef] [PubMed]
- Misra, R.C.; Maiti, P.; Chanotiya, C.S.; Shanker, K.; Ghosh, S. Methyl Jasmonate-Elicited Transcriptional Responses and Pentacyclic Triterpene Biosynthesis in Sweet Basil. Plant Physiol. 2014, 164, 1028–1044. [Google Scholar] [CrossRef]
- Balusamy, S.R.; Rahimi, S.; Yang, D.-C. Characterization of Squalene-Induced PgCYP736B Involved in Salt Tolerance by Modulating Key Genes of Abscisic Acid Biosynthesis. Int. J. Biol. Macromol. 2019, 121, 796–805. [Google Scholar] [CrossRef] [PubMed]
- Liu, R.; Shi, L.; Zhu, T.; Yang, T.; Ren, A.; Zhu, J.; Zhao, M.-W. Cross Talk between Nitric Oxide and Calcium-Calmodulin Regulates Ganoderic Acid Biosynthesis in Ganoderma Lucidum under Heat Stress. Appl. Environ. Microbiol. 2018, 84, e00043-e18. [Google Scholar] [CrossRef] [PubMed]
- Liu, Z.; Li, Y.; Cao, C.; Liang, S.; Ma, Y.; Liu, X.; Pei, Y. The Role of H2S in Low Temperature-Induced Cucurbitacin C Increases in Cucumber. Plant Mol. Biol. 2019, 99, 535–544. [Google Scholar] [CrossRef]
- Seki, H.; Tamura, K.; Muranaka, T. Plant-Derived Isoprenoid Sweeteners: Recent Progress in Biosynthetic Gene Discovery and Perspectives on Microbial Production. Biosci. Biotechnol. Biochem. 2018, 82, 927–934. [Google Scholar] [CrossRef]
- Wang, S.; Xu, X.; Lv, X.; Liu, Y.; Li, J.; Du, G.; Liu, L. Construction and Optimization of the de Novo Biosynthesis Pathway of Mogrol in Saccharomyces Cerevisiae. Front. Bioeng. Biotechnol. 2022, 10, 919526. [Google Scholar] [CrossRef]
- Niu, M.; Yan, H.; Xiong, Y.; Zhang, Y.; Zhang, X.; Li, Y.; da Silva, J.A.T.; Ma, G. Cloning, Characterization, and Functional Analysis of Acetyl-CoA C-Acetyltransferase and 3-Hydroxy-3-Methylglutaryl-CoA Synthase Genes in Santalum Album. Sci. Rep. 2021, 11, 1082. [Google Scholar] [CrossRef]
- Su, H.; Liu, Y.; Xiao, Y.; Tan, Y.; Gu, Y.; Liang, B.; Huang, H.; Wu, Y. Molecular and Biochemical Characterization of Squalene Synthase from Siraitia Grosvenorii. Biotechnol. Lett. 2017, 39, 1009–1018. [Google Scholar] [CrossRef]
- Zhao, H.; Tang, Q.; Mo, C.; Bai, L.; Tu, D.; Ma, X. Cloning and Characterization of Squalene Synthase and Cycloartenol Synthase from Siraitia Grosvenorii. Acta Pharm. Sin. B 2017, 7, 215–222. [Google Scholar] [CrossRef] [PubMed]
- Qiao, J.; Luo, Z.; Cui, S.; Zhao, H.; Tang, Q.; Mo, C.; Ma, X.; Ding, Z. Modification of Isoprene Synthesis to Enable Production of Curcurbitadienol Synthesis in Saccharomyces Cerevisiae. J. Ind. Microbiol. Biotechnol. 2019, 46, 147–157. [Google Scholar] [CrossRef] [PubMed]
- Liao, J.; Xie, L.; Shi, H.; Cui, S.; Lan, F.; Luo, Z.; Ma, X. Development of an Efficient Transient Expression System for Siraitia Grosvenorii Fruit and Functional Characterization of Two NADPH-Cytochrome P450 Reductases. Phytochemistry 2021, 189, 112824. [Google Scholar] [CrossRef] [PubMed]
- Itkin, M.; Davidovich-Rikanati, R.; Cohen, S.; Portnoy, V.; Doron-Faigenboim, A.; Oren, E.; Freilich, S.; Tzuri, G.; Baranes, N.; Shen, S.; et al. The Biosynthetic Pathway of the Nonsugar, High-Intensity Sweetener Mogroside V from Siraitia Grosvenorii. Proc. Natl. Acad. Sci. USA 2016, 113, E7619–E7628. [Google Scholar] [CrossRef] [PubMed]
- Li, X.; Zheng, T.; Xie, Y.-N.; Li, F.; Jiang, X.; Hou, X.; Wu, P. Recombinase Polymerase Amplification Coupled with a Photosensitization Colorimetric Assay for Fast Salmonella Spp. Testing. Anal. Chem. 2021, 93, 6559–6566. [Google Scholar] [CrossRef]
- Bustin, S.A.; Benes, V.; Nolan, T.; Pfaffl, M.W. Quantitative Real-Time RT-PCR--a Perspective. J. Mol. Endocrinol. 2005, 34, 597–601. [Google Scholar] [CrossRef]
- Zhang, L.; Cai, Y.; Zhang, M.; Du, G.; Wang, J. Selection and Evaluation of Candidate Reference Genes for Quantitative Real-Time PCR in Aboveground Tissues and Drought Conditions in Rhododendron Delavayi. Front. Genet. 2022, 13, 876482. [Google Scholar] [CrossRef]
- Wei, R.; Tu, D.; Huang, X.; Luo, Z.; Huang, X.; Cui, N.; Xu, J.; Xiong, F.; Yan, H.; Ma, X. Genome-Scale Transcriptomic Insights into the Gene Co-Expression Network of Seed Abortion in Triploid Siraitia Grosvenorii. BMC Plant Biol. 2022, 22, 173. [Google Scholar] [CrossRef]
- Zhao, H.; Wang, J.; Tang, Q.; Mo, C.; Guo, J.; Chen, T.; Lin, H.; Tang, J.; Guo, L.; Huang, L.; et al. Functional Expression of Two NADPH-Cytochrome P450 Reductases from Siraitia Grosvenorii. Int. J. Biol. Macromol. 2018, 120, 1515–1524. [Google Scholar] [CrossRef]
- Lin, Y.; Liu, G.; Rao, Y.; Wang, B.; Tian, R.; Tan, Y.; Peng, T. Identification and Validation of Reference Genes for QRT-PCR Analyses under Different Experimental Conditions in Allium Wallichii. J. Plant Physiol. 2023, 281, 153925. [Google Scholar] [CrossRef]
- Gao, K.; Khan, W.U.; Li, J.; Huang, S.; Yang, X.; Guo, T.; Guo, B.; Wu, R.; An, X. Identification and Validation of Reliable Reference Genes for Gene Expression Studies in Koelreuteria Paniculata. Genes 2022, 13, 714. [Google Scholar] [CrossRef] [PubMed]
- He, F.; Gui, L.; Zhang, Y.; Zhu, B.; Zhang, X.; Shen, M.; Wan, F.; Yang, L.; Xiao, J. Validation of Reference Genes for Gene Expression Analysis in Fruit Development of Vaccinium Bracteatum Thunb. Using Quantitative Real-Time PCR. Sci. Rep. 2022, 12, 16946. [Google Scholar] [CrossRef]
- You, S.; Cao, K.; Chen, C.; Li, Y.; Wu, J.; Zhu, G.; Fang, W.; Wang, X.; Wang, L. Selection and Validation Reference Genes for QRT-PCR Normalization in Different Cultivars during Fruit Ripening and Softening of Peach (Prunus Persica). Sci. Rep. 2021, 11, 7302. [Google Scholar] [CrossRef] [PubMed]
- Wang, Q.; Guo, C.; Yang, S.; Zhong, Q.; Tian, J. Screening and Verification of Reference Genes for Analysis of Gene Expression in Garlic (Allium Sativum L.) under Cold and Drought Stress. Plants 2023, 12, 763. [Google Scholar] [CrossRef]
- Zhang, Z.; Li, C.; Zhang, J.; Chen, F.; Gong, Y.; Li, Y.; Su, Y.; Wei, Y.; Zhao, Y. Selection of the Reference Gene for Expression Normalization in Papaver Somniferum L. under Abiotic Stress and Hormone Treatment. Genes 2020, 11, 124. [Google Scholar] [CrossRef] [PubMed]
- Zheng, H.; Zhao, H.; Zhang, X.; Liang, Z.; He, Q. Systematic Identification and Validation of Suitable Reference Genes for the Normalization of Gene Expression in Prunella Vulgaris under Different Organs and Spike Development Stages. Genes 2022, 13, 1947. [Google Scholar] [CrossRef] [PubMed]
- Vandesompele, J.; De Preter, K.; Pattyn, F.; Poppe, B.; Van Roy, N.; De Paepe, A.; Speleman, F. Accurate Normalization of Real-Time Quantitative RT-PCR Data by Geometric Averaging of Multiple Internal Control Genes. Genome Biol. 2002, 3, RESEARCH0034. [Google Scholar] [CrossRef]
- Andersen, C.L.; Jensen, J.L.; Ørntoft, T.F. Normalization of Real-Time Quantitative Reverse Transcription-PCR Data: A Model-Based Variance Estimation Approach to Identify Genes Suited for Normalization, Applied to Bladder and Colon Cancer Data Sets. Cancer Res. 2004, 64, 5245–5250. [Google Scholar] [CrossRef]
- Pfaffl, M.W.; Tichopad, A.; Prgomet, C.; Neuvians, T.P. Determination of Stable Housekeeping Genes, Differentially Regulated Target Genes and Sample Integrity: BestKeeper--Excel-Based Tool Using Pair-Wise Correlations. Biotechnol. Lett. 2004, 26, 509–515. [Google Scholar] [CrossRef]
- Xie, F.; Xiao, P.; Chen, D.; Xu, L.; Zhang, B. MiRDeepFinder: A MiRNA Analysis Tool for Deep Sequencing of Plant Small RNAs. Plant Mol. Biol. 2012, 80, 75–84. [Google Scholar] [CrossRef]
- Xie, F.; Wang, J.; Zhang, B. RefFinder: A Web-Based Tool for Comprehensively Analyzing and Identifying Reference Genes. Funct. Integr. Genom. 2023, 23, 125. [Google Scholar] [CrossRef]
- Bhau, B.S.; Gogoi, G.; Baruah, D.; Ahmed, R.; Hazarika, G.; Ghosh, S.; Borah, B.; Gogoi, B.; Sarmah, D.K.; Nath, S.C.; et al. Development of an Effective and Efficient DNA Isolation Method for Cinnamomum Species. Food Chem. 2015, 188, 264–270. [Google Scholar] [CrossRef] [PubMed]
- Chiu, C.-H.; Wang, R.; Lee, C.-C.; Lo, Y.-C.; Lu, T.-J. Biotransformation of Mogrosides from Siraitia Grosvenorii Swingle by Saccharomyces Cerevisiae. J. Agric. Food Chem. 2013, 61, 7127–7134. [Google Scholar] [CrossRef] [PubMed]
- Yang, J.; Han, F.; Yang, L.; Wang, J.; Jin, F.; Luo, A.; Zhao, F. Identification of Reference Genes for RT-QPCR Analysis in Gleditsia Microphylla under Abiotic Stress and Hormone Treatment. Genes 2022, 13, 1227. [Google Scholar] [CrossRef]
- Mu, D.; Shao, Y.; He, J.; Zhu, L.; Qiu, D.; Wilson, I.W.; Zhang, Y.; Pan, L.; Zhou, Y.; Lu, Y.; et al. Evaluation of Reference Genes for Normalizing RT-QPCR and Analysis of the Expression Patterns of WRKY1 Transcription Factor and Rhynchophylline Biosynthesis-Related Genes in Uncaria Rhynchophylla. Int. J. Mol. Sci. 2023, 24, 16330. [Google Scholar] [CrossRef] [PubMed]
- Zhang, Y.; Mu, D.; Wang, L.; Wang, X.; Wilson, I.W.; Chen, W.; Wang, J.; Liu, Z.; Qiu, D.; Tang, Q. Reference Genes Screening and Gene Expression Patterns Analysis Involved in Gelsenicine Biosynthesis under Different Hormone Treatments in Gelsemium Elegans. Int. J. Mol. Sci. 2023, 24, 15973. [Google Scholar] [CrossRef]
- Zhou, Y.; Zhang, Y.; Mu, D.; Lu, Y.; Chen, W.; Zhang, Y.; Zhang, R.; Qin, Y.; Yuan, J.; Pan, L.; et al. Selection of Reference Genes in Evodia Rutaecarpa Var. Officinalis and Expression Patterns of Genes Involved in Its Limonin Biosynthesis. Plants 2023, 12, 3197. [Google Scholar] [CrossRef]
- Sinha, R.; Bala, M.; Prabha, P.; Ranjan, A.; Chahota, R.K.; Sharma, T.R.; Singh, A.K. Identification and Validation of Reference Genes for QRT-PCR Based Studies in Horse Gram (Macrotyloma Uniflorum). Physiol. Mol. Biol. Plants Int. J. Funct. Plant Biol. 2021, 27, 2859–2873. [Google Scholar] [CrossRef]
- Yi, S.; Lu, H.; Tian, C.; Xu, T.; Song, C.; Wang, W.; Wei, P.; Gu, F.; Liu, D.; Cai, Y.; et al. Selection of Suitable Reference Genes for Gene Expression Normalization Studies in Dendrobium Huoshanense. Genes 2022, 13, 1486. [Google Scholar] [CrossRef]
- Manoharan, B.; Qi, S.-S.; Dhandapani, V.; Chen, Q.; Rutherford, S.; Wan, J.S.; Jegadeesan, S.; Yang, H.-Y.; Li, Q.; Li, J.; et al. Gene Expression Profiling Reveals Enhanced Defense Responses in an Invasive Weed Compared to Its Native Congener During Pathogenesis. Int. J. Mol. Sci. 2019, 20, 4916. [Google Scholar] [CrossRef] [PubMed]
- Liu, H.; Lu, Y.; Wang, X.; Wang, X.; Li, R.; Lu, C.; Lan, X.; Chen, Y. Selection and Validation of Reference Genes for RT-QPCR Analysis in Tibetan Medicinal Plant Saussurea Laniceps Callus under Abiotic Stresses and Hormone Treatments. Genes 2022, 13, 904. [Google Scholar] [CrossRef] [PubMed]
- Mu, D.; Chen, W.; Shao, Y.; Wilson, I.W.; Zhao, H.; Luo, Z.; Lin, X.; He, J.; Zhang, Y.; Mo, C.; et al. Genome-Wide Identification and Expression Analysis of WRKY Transcription Factors in Siraitia Siamensis. Plants 2023, 12, 288. [Google Scholar] [CrossRef] [PubMed]
- Cao, K.; Peng, Z.; Zhao, X.; Li, Y.; Liu, K.; Arus, P.; Fang, W.; Chen, C.; Wang, X.; Wu, J.; et al. Chromosome-Level Genome Assemblies of Four Wild Peach Species Provide Insights into Genome Evolution and Genetic Basis of Stress Resistance. BMC Biol. 2022, 20, 139. [Google Scholar] [CrossRef] [PubMed]
- Tian, Y.; Chu, Z.; Wang, H.; Wang, G.; Wu, S.; Yang, Y. Selection and Validation of Reference Genes for Quantitative Real-Time PCR in Cymbidium Sinense. BioTechniques 2022, 72, 51–59. [Google Scholar] [CrossRef]
- de Oliveira, L.F.; Piovezani, A.R.; Ivanov, D.A.; Yoshida, L.; Segal Floh, E.I.; Kato, M.J. Selection and Validation of Reference Genes for Measuring Gene Expression in Piper Species at Different Life Stages Using RT-QPCR Analysis. Plant Physiol. Biochem. PPB 2022, 171, 201–212. [Google Scholar] [CrossRef]
- Chen, C.; Wu, Y.; Li, J.; Wang, X.; Zeng, Z.; Xu, J.; Liu, Y.; Feng, J.; Chen, H.; He, Y.; et al. TBtools-II: A “One for All, All for One” Bioinformatics Platform for Biological Big-Data Mining. Mol. Plant 2023, 16, 1733–1742. [Google Scholar] [CrossRef]










| Gene | Gene ID | PCR Efficiency (%) | R2 | Gene | E.C | Gene ID | PCR Efficiency (%) | R2 |
|---|---|---|---|---|---|---|---|---|
| SsRPL-13 | Ribosomal protein L-13 | 102.6 | 0.995 | SsAACT | 2.3.1.9 | acetyl-CoA C-acetyltransferase | 101.1 | 0.993 |
| SsCDC6 | Cell division control protein 6 | 100.5 | 0.994 | SsHMGS | 2.3.3.10 | hydroxymethylglutaryl-CoA synthase | 98.7 | 0.996 |
| SsTIP41 | TIP41-like family protein | 100.3 | 0.995 | SsHMGR | 1.1.1.34 | hydroxymethylglutaryl-CoA reductase | 97.8 | 0.998 |
| SstubB | β-tubulin2 | 100.6 | 0.993 | SsMK | 2.7.1.36 | mevalonate kinase | 99.5 | 0.995 |
| SsGAPDH | glyceraldehyde-3-phosphate dehydrogenase | 98.8 | 0.994 | SsPMK | 2.7.4.2 | phosphomevalonate kinase | 100.2 | 0.996 |
| SstubA | α-tubulin2 | 101.3 | 0.996 | SsMVD | 4.1.1.33 | diphosphomevalonate decarboxylase | 100.4 | 0.994 |
| SsEF1α | Elongation factor 1α | 99.7 | 0.993 | SsIPI | 5.3.3.2 | Isopentenyl-diphosphate Delta-isomerase | 99.7 | 0.996 |
| SsNCBP2 | Nuclear cap-binding protein subunit 2 | 102.2 | 0.997 | SsGPS | 2.5.1.10 | geranylpyrophosphate synthetase | 102.1 | 0.997 |
| SsUBQC | ubiquitin C | 101.3 | 0.995 | SsFPS | 2.5.1.21 | farnesyl pyrophosphate synthetase | 99.5 | 0.998 |
| SstubB3 | β-tubulin3 | 99.6 | 0.996 | SsSQS | 1.14.14.17 | squalene synthase | 101.1 | 0.994 |
| SsPP2A | Protein phosphatase 2A | 100.4 | 0.994 | SsSQE | 1.14.19.- | squalene epoxidase | 100.6 | 0.996 |
| SsPcACO | 1-aminocyclopropane-1-carboxylate oxidase A | 100.2 | 0.998 | SsCS | 5.4.99.33 | Cucurbitadienol synthase | 99.4 | 0.998 |
| SsEPH | Epoxide hydrolase | 98.9 | 0.994 | SsCYP | 1.14.-. - | Cytochrome P450 | 99.7 | 0.995 |
| Low-Temperature Treatment | High-Temperature Treatment | Ethylene Treatment | Salicylic Acid Treatment | Methyl Jasmonate Treatment | |||||||||||
|---|---|---|---|---|---|---|---|---|---|---|---|---|---|---|---|
| Rank | Std Dev | Cv% | Gene Name | Std Dev | Cv% | Gene Name | Std Dev | Cv% | Gene Name | Std Dev | Cv% | Gene Name | Std Dev | Cv% | Gene Name |
| 1 | 0.26 | 1.46 | EF1α | 0.3 | 1.48 | EF1α | 0.33 | 1.6 | PP2A | 0.35 | 1.57 | CDC6 | 0.34 | 1.65 | UBQC |
| 2 | 0.36 | 1.48 | CDC6 | 0.32 | 1.49 | NCBP2 | 0.39 | 1.73 | CDC6 | 0.37 | 1.63 | TIP41 | 0.45 | 2.02 | tubB2 |
| 3 | 0.37 | 1.56 | tubB2 | 0.37 | 1.58 | CDC6 | 0.41 | 1.84 | TIP41 | 0.39 | 2.13 | PCACO | 0.44 | 2.11 | NCBP2 |
| 4 | 0.33 | 1.56 | PP2A | 0.49 | 2.2 | tubB3 | 0.52 | 2.32 | tubB2 | 0.43 | 2.28 | GAPDH | 0.54 | 2.37 | TIP41 |
| 5 | 0.32 | 1.67 | UBQC | 0.52 | 2.34 | PP2A | 0.5 | 2.58 | NCBP2 | 0.43 | 2.28 | tubB3 | 0.54 | 2.41 | CDC6 |
| 6 | 0.37 | 2.02 | RPL-13 | 0.55 | 2.41 | TIP41 | 0.54 | 2.58 | tubB3 | 0.5 | 2.43 | NCBP2 | 0.6 | 2.82 | tubB3 |
| 7 | 0.47 | 2.14 | TIP41 | 0.51 | 2.66 | UBQC | 0.64 | 3.08 | GAPDH | 0.66 | 3.07 | tubB2 | 0.73 | 3.74 | tubA |
| 8 | 0.46 | 2.24 | NCBP2 | 0.5 | 2.67 | RPL-13 | 0.59 | 3.13 | tubA | 0.69 | 3.27 | UBQC | 0.75 | 3.84 | GAPDH |
| 9 | 0.53 | 2.47 | tubA | 0.68 | 2.92 | tubB2 | 0.67 | 3.8 | PCACO | 0.64 | 3.34 | EF1α | 0.74 | 3.97 | RPL-13 |
| 10 | 0.57 | 3.22 | PCACO | 0.82 | 3.77 | GAPDH | 0.75 | 4.2 | RPL-13 | 0.8 | 4.18 | tubA | 0.79 | 4.37 | PCACO |
| 11 | 0.69 | 3.25 | tubB3 | 0.73 | 3.81 | tubA | 0.84 | 4.36 | EF1α | 0.92 | 4.58 | PP2A | 0.81 | 4.7 | PP2A |
| 12 | 0.88 | 4.63 | GAPDH | 1.05 | 5.37 | PCACO | 0.97 | 4.84 | UBQC | 0.87 | 4.78 | RPL-13 | 0.99 | 5.08 | EF1α |
| Level | Factor | ||
|---|---|---|---|
| NAA (mg/L) | IBA (mg/L) | Activated Carbon (mg/L) | |
| 1 | 0.1 | 0.3 | 100 |
| 2 | 0.3 | 0.5 | 200 |
| 3 | 0.5 | 0.7 | 300 |
Disclaimer/Publisher’s Note: The statements, opinions and data contained in all publications are solely those of the individual author(s) and contributor(s) and not of MDPI and/or the editor(s). MDPI and/or the editor(s) disclaim responsibility for any injury to people or property resulting from any ideas, methods, instructions or products referred to in the content. |
© 2024 by the authors. Licensee MDPI, Basel, Switzerland. This article is an open access article distributed under the terms and conditions of the Creative Commons Attribution (CC BY) license (https://creativecommons.org/licenses/by/4.0/).
Share and Cite
Chen, W.; Lin, X.; Wang, Y.; Mu, D.; Mo, C.; Huang, H.; Zhao, H.; Luo, Z.; Liu, D.; Wilson, I.W.; et al. Selection of Reference Genes in Siraitia siamensis and Expression Patterns of Genes Involved in Mogrosides Biosynthesis. Plants 2024, 13, 2449. https://doi.org/10.3390/plants13172449
Chen W, Lin X, Wang Y, Mu D, Mo C, Huang H, Zhao H, Luo Z, Liu D, Wilson IW, et al. Selection of Reference Genes in Siraitia siamensis and Expression Patterns of Genes Involved in Mogrosides Biosynthesis. Plants. 2024; 13(17):2449. https://doi.org/10.3390/plants13172449
Chicago/Turabian StyleChen, Wenqiang, Xiaodong Lin, Yan Wang, Detian Mu, Changming Mo, Huaxue Huang, Huan Zhao, Zuliang Luo, Dai Liu, Iain W. Wilson, and et al. 2024. "Selection of Reference Genes in Siraitia siamensis and Expression Patterns of Genes Involved in Mogrosides Biosynthesis" Plants 13, no. 17: 2449. https://doi.org/10.3390/plants13172449
APA StyleChen, W., Lin, X., Wang, Y., Mu, D., Mo, C., Huang, H., Zhao, H., Luo, Z., Liu, D., Wilson, I. W., Qiu, D., & Tang, Q. (2024). Selection of Reference Genes in Siraitia siamensis and Expression Patterns of Genes Involved in Mogrosides Biosynthesis. Plants, 13(17), 2449. https://doi.org/10.3390/plants13172449

