Effects of Combined Nitrogen–Phosphorus on Biomass Accumulation, Allocation, and Allometric Growth Relationships in Pinus yunnanensis Seedlings after Top Pruning
Abstract
1. Introduction
2. Results
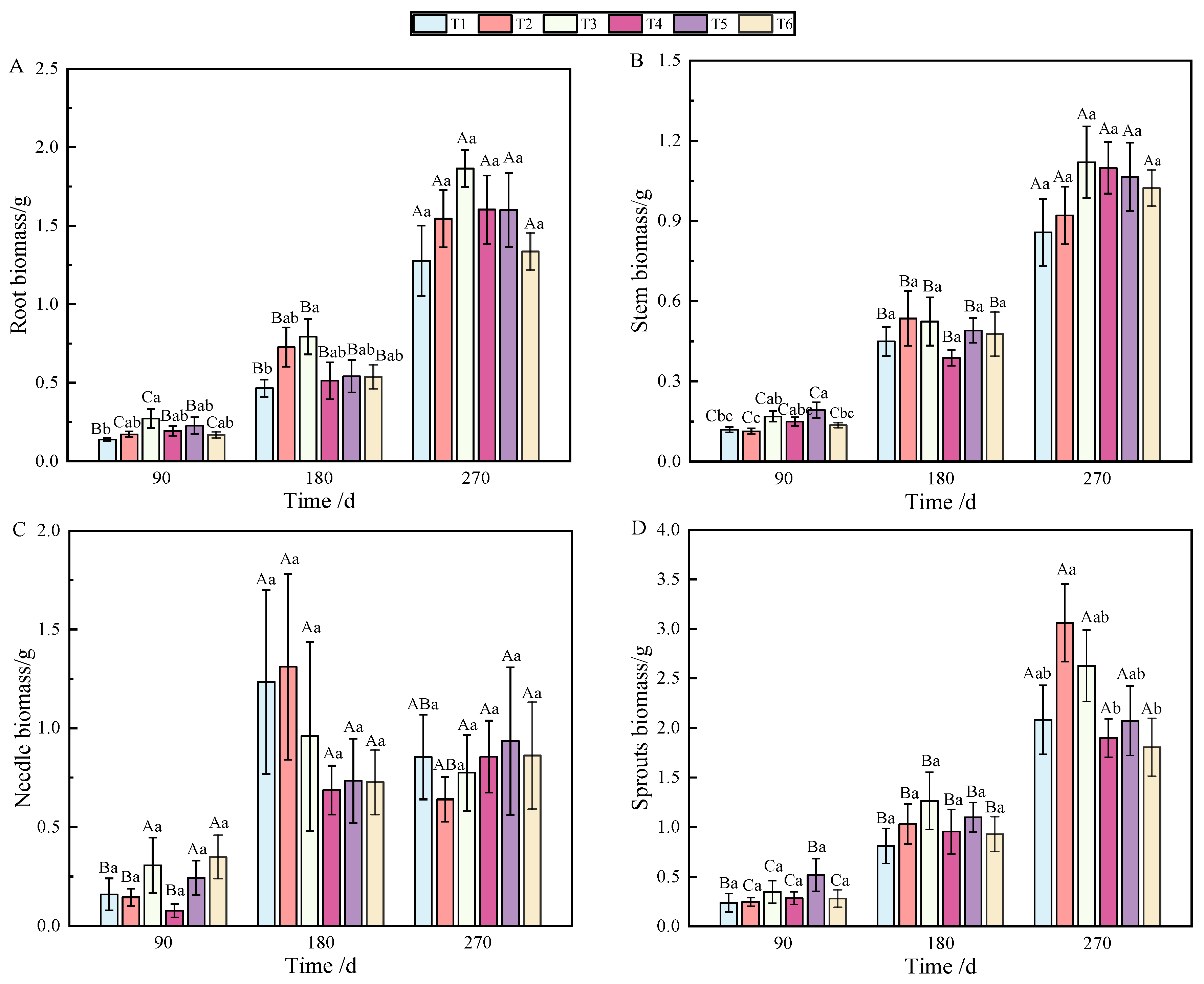
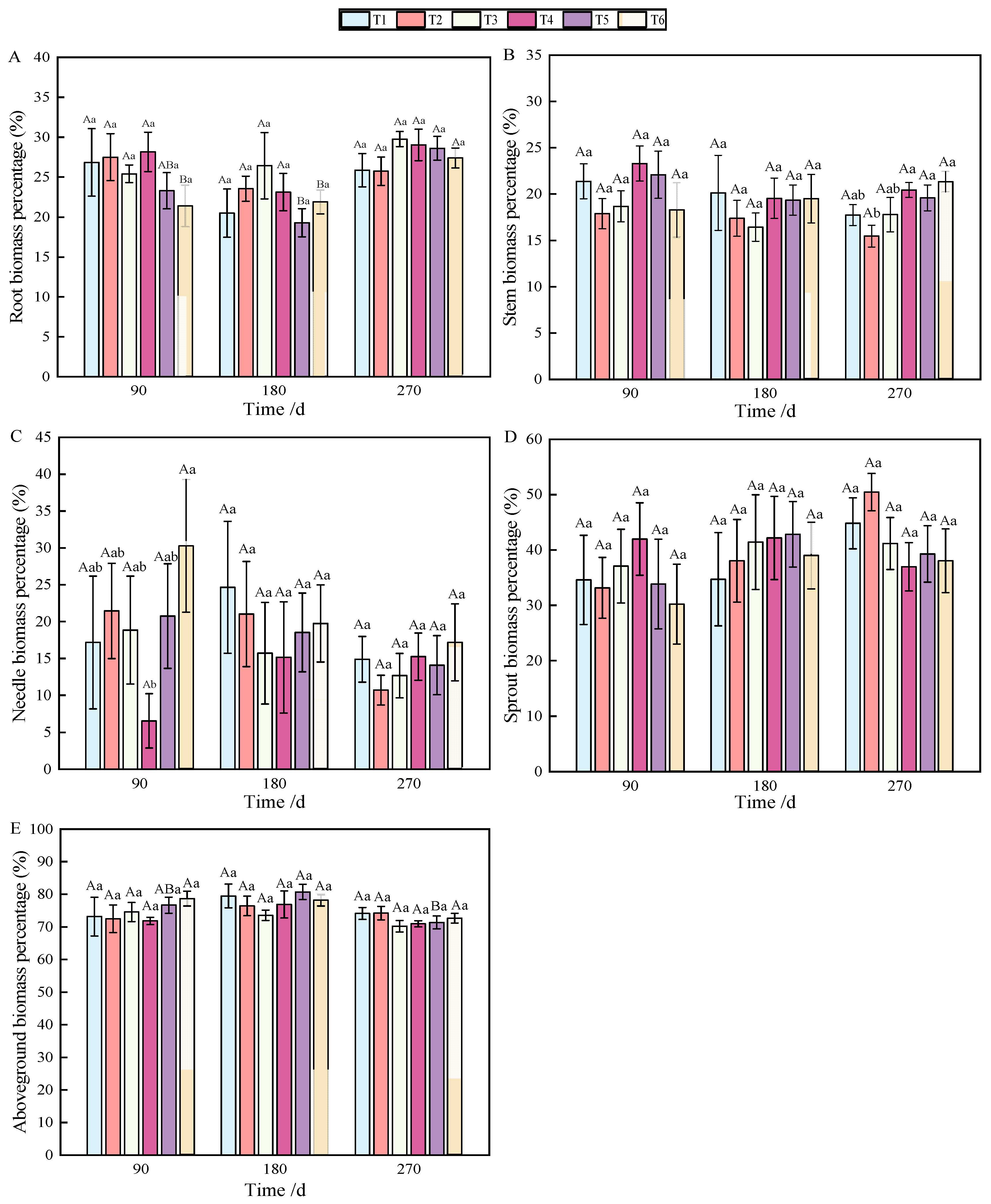
2.1. Effect of Combined Nitrogen–Phosphorus on Root Biomass Accumulation and Allocation
2.2. Effects of Combined Nitrogen–Phosphorus on Stem Biomass Accumulation and Allocation
2.3. Effects of Combined Nitrogen–Phosphorus on Needle Biomass Accumulation and Allocation
2.4. Effects of Combined Nitrogen–Phosphorus on Sprout Biomass Accumulation and Allocation
2.5. Effects of Combined Nitrogen–Phosphorus on Aboveground Biomass Accumulation and Allocation
2.6. Effects of Combined Nitrogen–Phosphorus on Biomass Accumulation Individual
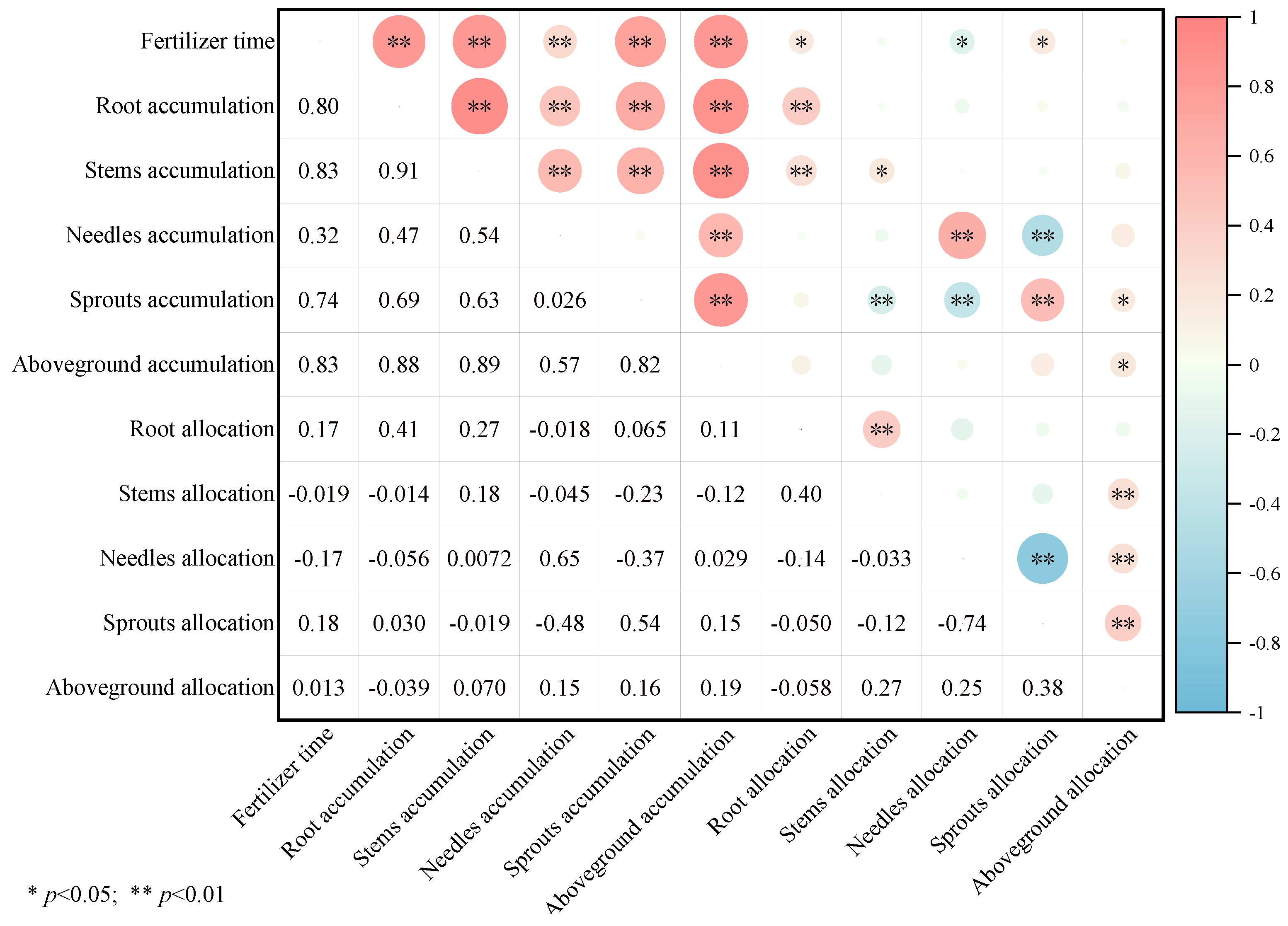
2.7. The Relationship between Biomass Accumulation and Allocation of Each Component with Time under Different Fertilization Treatments
2.8. Allometric Growth Relationships of Different Components and Individual Plant Biomass under Combined Nitrogen–Phosphorus at Different Stages
3. Discussion
3.1. Changes in Biomass Accumulation and Allocation of Various Components
3.2. Allometric Growth Relationships of Various Components and Individual Plant Biomass
4. Materials and Methods
4.1. Study Area
4.2. Experimental Design
4.3. Biomass Measurement
4.4. Data Analysis
5. Conclusions
Author Contributions
Funding
Data Availability Statement
Acknowledgments
Conflicts of Interest
References
- Poorter, H.; Niklas, K.J.; Reich, P.B.; Oleksyn, J.; Poot, P.; Mommer, L. Biomass allocation to leaves, stems and roots: Meta-analyses of interspecific variation and environmental control. New Phytol. 2012, 193, 30–50. [Google Scholar] [CrossRef] [PubMed]
- Normand, F.; Bissery, C.; Damour, G.; Lauri, P.É. Hydraulic and mechanical stem properties affect leaf–stem allometry in mango cultivars. New Phytol. 2008, 178, 590–602. [Google Scholar] [CrossRef]
- Guo, Z.; Lin, H.; Chen, S.; Yang, Q. Altitudinal patterns of leaf traits and leaf allometry in bamboo Pleioblastus amarus. Front. Plant Sci. 2018, 9, 372434. [Google Scholar] [CrossRef] [PubMed]
- McConnaughay, K.; Coleman, J. Biomass allocation in plants: Ontogeny or optimality? A test along three resource gradients. Ecology 1999, 80, 2581–2593. [Google Scholar] [CrossRef]
- Bloom, A.J.; Chapin, F.S., III; Mooney, H.A. Resource limitation in plants-an economic analogy. Annu. Rev. Ecol. Syst. 1985, 16, 363–392. [Google Scholar] [CrossRef]
- Niklas, K.J. Plant allometry: Is there a grand unifying theory? Biol. Rev. 2004, 79, 871–889. [Google Scholar] [CrossRef]
- Poorter, H.; Nagel, O. The role of biomass allocation in the growth response of plants to different levels of light, CO2, nutrients and water: A quantitative review. Funct. Plant Biol. 2000, 27, 1191. [Google Scholar] [CrossRef]
- Poorter, H.; Jagodzinski, A.M.; Ruiz-Peinado, R.; Kuyah, S.; Luo, Y.; Oleksyn, J.; Usoltsev, V.A.; Buckley, T.N.; Reich, P.B.; Sack, L. How does biomass distribution change with size and differ among species? An analysis for 1200 plant species from five continents. New Phytol. 2015, 208, 736–749. [Google Scholar] [CrossRef] [PubMed]
- Fan, J.; Wang, K.; Harris, W.; Zhong, H.; Hu, Z.; Han, B.; Zhang, W.; Wang, J. Allocation of vegetation biomass across a climate-related gradient in the grasslands of Inner Mongolia. J. Arid. Environ. 2009, 73, 521–528. [Google Scholar] [CrossRef]
- Dybzinski, R.; Farrior, C.; Wolf, A.; Reich, P.B.; Pacala, S.W. Evolutionarily stable strategy carbon allocation to foliage, wood, and fine roots in trees competing for light and nitrogen: An analytically tractable, individual-based model and quantitative comparisons to data. Am. Nat. 2011, 177, 153–166. [Google Scholar] [CrossRef]
- Niu, S.; Li, J.; Bo, W.; Yang, W.; Zuccolo, A.; Giacomello, S.; Chen, X.; Han, F.; Yang, J.; Song, Y.; et al. The Chinese pine genome and methylome unveil key features of conifer evolution. Cell 2022, 185, 204–217.e214. [Google Scholar] [CrossRef] [PubMed]
- Liu, Y.; Jing, H.; Wu, J. Non-structural carbohydrate (NSC) content and C:N:P stoichiometry of Pinus yunnanensis seedling needles in response to shade treatment. Ind. Crops Prod. 2024, 210, 118138. [Google Scholar] [CrossRef]
- Duryea, M.L. Nursery fertilization and top pruning of slash pine seedlings. South. J. Appl. For. 1990, 14, 73–76. [Google Scholar] [CrossRef]
- South, D.B. Needle-clipping longleaf pine and top-pruning loblolly pine in bareroot nurseries. South. J. Appl. For. 1998, 22, 235–240. [Google Scholar] [CrossRef]
- Bangerth, F.L. Chun-Jan Gruber, Jörg Mutual interaction of auxin and cytokinins in regulating correlative dominance. Plant Growth Regul. 2000, 32, 205–217. [Google Scholar] [CrossRef]
- Matsui, H.; Inui, T.; Oka, K.; Fukui, N. The influence of pruning and harvest timing on hop aroma, cone appearance, and yield. Food Chem. 2016, 202, 15–22. [Google Scholar] [CrossRef]
- Jacobsen, A.L.; Tobin, M.F.; Toschi, H.S.; Percolla, M.I.; Pratt, R.B. Structural determinants of increased susceptibility to dehydration-induced cavitation in post-fire resprouting chaparral shrubs. Plant Cell Environ. 2016, 39, 2473–2485. [Google Scholar] [CrossRef] [PubMed]
- Pokharel, P.; Kwak, J.-H.; Chang, S.X. Growth and nitrogen uptake of jack pine seedlings in response to exponential fertilization and weed control in reclaimed soil. Biol. Fertil. Soils 2017, 53, 701–713. [Google Scholar] [CrossRef]
- Chrysargyris, A.; Panayiotou, C.; Tzortzakis, N. Nitrogen and phosphorus levels affected plant growth, essential oil composition and antioxidant status of lavender plant (Lavandula angustifolia Mill). Ind. Crops Prod. 2016, 83, 577–586. [Google Scholar] [CrossRef]
- Xu, J.; Wu, L.; Tong, B.; Yin, J.; Huang, Z.; Li, W.; Li, X. Magnesium supplementation alters leaf metabolic pathways for higher flavor quality of oolong tea. Agriculture 2021, 11, 120. [Google Scholar] [CrossRef]
- LeBauer, D.S.; Treseder, K.K. Nitrogen limitation of net primary productivity in terrestrial ecosystems is globally distributed. Ecology 2008, 89, 371–379. [Google Scholar] [CrossRef] [PubMed]
- Reich, P.B.; Oleksyn, J.; Wright, I.J. Leaf phosphorus influences the photosynthesis–nitrogen relation: A cross-biome analysis of 314 species. Oecologia 2009, 160, 207–212. [Google Scholar] [CrossRef] [PubMed]
- Yu, Q.; Chen, Q.; Elser, J.J.; He, N.; Wu, H.; Zhang, G.; Wu, J.; Bai, Y.; Han, X. Linking stoichiometric homoeostasis with ecosystem structure, functioning and stability. Ecol. Lett. 2010, 13, 1390–1399. [Google Scholar] [CrossRef]
- Vitousek, P.M.; Howarth, R.W. Nitrogen limitation on land and in the sea: How can it occur? Biogeochemistry 1991, 13, 87–115. [Google Scholar] [CrossRef]
- Hu, Y. Schmidhalter. Drought and salinity: A comparison of their effects on mineral nutrition of plants. J. Plant Nutr. Soil Sci. 2005, 168, 541–549. [Google Scholar] [CrossRef]
- Brooks, M.L. Effects of increased soil nitrogen on the dominance of alien annual plants in the Mojave Desert. J. Appl. Ecol. 2003, 40, 344–353. [Google Scholar] [CrossRef]
- Fenn, M.E.; Baron, J.S.; Allen, E.B.; Rueth, H.M.; Nydick, K.R.; Geiser, L.; Bowman, W.D.; Sickman, J.O.; Meixner, T.; Johnson, D.W. Ecological effects of nitrogen deposition in the western United States. BioScience 2003, 53, 404–420. [Google Scholar] [CrossRef]
- Wiseman, D.; Smethurst, P.; Pinkard, L.; Wardlaw, T.; Beadle, C.; Hall, M.; Baillie, C.; Mohammed, C. Pruning and fertiliser effects on branch size and decay in two Eucalyptus nitens plantations. For. Ecol. Manag. 2006, 225, 123–133. [Google Scholar] [CrossRef]
- Litton, C.M.; Raich, J.W.; Ryan, M.G. Carbon allocation in forest ecosystems. Glob. Change Biol. 2007, 13, 2089–2109. [Google Scholar] [CrossRef]
- Moretti, B.d.S.; Furtini Neto, A.E.; Pinto, S.I.d.C.; Furtini, I.V.; Magalhães, C.A.d.S. Crescimento e nutrição mineral de mudas de cedro australiano (Toona ciliata) sob omissão de nutrientes. Cerne 2011, 17, 453–463. [Google Scholar] [CrossRef][Green Version]
- da Silva Moretti, B.; Neto, A.E.F.; Benatti, B.P.; Deccetti, S.; de Jesus Lacerda, J.J.; de Castro Stehling, E. Nitrogen, potassium and phosphorous fertilizer suggestions for australian red cedar in Oxisol. Floresta 2015, 45, 599–608. [Google Scholar] [CrossRef]
- de Niro Gazola, R.; Buzetti, S.; Teixeira Filho, M.C.M.; Dinalli, R.P.; de Moraes, M.L.T.; de Souza Celestrino, T.; da Silva, P.H.M.; Dupas, E. Doses of N, P and K in the cultivation of eucalyptus in soil originally under Cerrado vegetation. Semin. Ciências Agrárias 2015, 36, 1895–1911. [Google Scholar] [CrossRef]
- DiManno, N.M.; Ostertag, R. Reproductive response to nitrogen and phosphorus fertilization along the Hawaiian archipelago’s natural soil fertility gradient. Oecologia 2016, 180, 245–255. [Google Scholar] [CrossRef] [PubMed]
- Dumroese, R.K.; Page-Dumroese, D.S.; Salifu, K.F.; Jacobs, D.F. Exponential fertilization of Pinus monticola seedlings: Nutrient uptake efficiency, leaching fractions, and early outplanting performance. Can. J. For. Res. 2005, 35, 2961–2967. [Google Scholar] [CrossRef]
- Jokela, E.J.S.-S.; Stephen, C. Fertilization of established southern pine stands: Effects of single and split nitrogen treatments. South. J. Appl. For. 1993, 17, 135–138. [Google Scholar] [CrossRef]
- Borders, B.; Will, R.; Markewitz, D.; Clark, A.; Hendrick, R.; Teskey, R.; Zhang, Y. Effect of complete competition control and annual fertilization on stem growth and canopy relations for a chronosequence of loblolly pine plantations in the lower coastal plain of Georgia. For. Ecol. Manag. 2004, 192, 21–37. [Google Scholar] [CrossRef]
- Cano-Ruiz, J.; Sanz, M.; Curt, M.; Plaza, A.; Lobo, M.; Mauri, P. Fertigation of Arundo donax L. with different nitrogen rates for biomass production. Biomass Bioenergy 2020, 133, 105451. [Google Scholar] [CrossRef]
- Ju, X.T.; Kou, C.L.; Christie, P.; Dou, Z.; Zhang, F. Changes in the soil environment from excessive application of fertilizers and manures to two contrasting intensive cropping systems on the North China Plain. Environ. Pollut. 2007, 145, 497–506. [Google Scholar] [CrossRef] [PubMed]
- Niklas, K.J.; Enquist, B.J. Canonical rules for plant organ biomass partitioning and annual allocation. Am. J. Bot. 2002, 89, 812–819. [Google Scholar] [CrossRef]
- Robinson, D. The responses of plants to non-uniform supplies of nutrients. New Phytol. 1994, 127, 635–674. [Google Scholar] [CrossRef]
- Forde, B.; Lorenzo, H. The nutritional control of root development. Plant Soil 2001, 232, 51–68. [Google Scholar] [CrossRef]
- Oliet, J.A.; Puértolas, J.; Planelles, R.; Jacobs, D.F. Nutrient loading of forest tree seedlings to promote stress resistance and field performance: A Mediterranean perspective. New For. 2013, 44, 649–669. [Google Scholar] [CrossRef]
- Shalizi, M.N.; Goldfarb, B.; Burney, O.T.; Shear, T.H. Effects of five growing media and two fertilizer levels on polybag—Raised Camden whitegum (Eucalyptus benthamii Maiden & Cambage) seedling morphology and drought hardiness. Forests 2019, 10, 543. [Google Scholar] [CrossRef]
- Dovrat, G.; Meron, E.; Shachak, M.; Golodets, C.; Osem, Y. Plant size is related to biomass partitioning and stress resistance in water-limited annual plant communities. J. Arid. Environ. 2019, 165, 1–9. [Google Scholar] [CrossRef]
- Feng, L.; Zhang, J.-G.; Zhang, Z.-S.; Guo, Q.; Li, X.-R. Growth and biomass allocation dynamics of Artemisia ordosica in sand-fixing vegetation of the Tengger Desert of China. Chin. J. Plant Ecol. 2009, 33, 1132. [Google Scholar] [CrossRef]
- Ohlberger, J. Climate warming and ectotherm body size–from individual physiology to community ecology. Funct. Ecol. 2013, 27, 991–1001. [Google Scholar] [CrossRef]
- Malerba, M.E.; White, C.R.; Marshall, D.J. Eco-energetic consequences of evolutionary shifts in body size. Ecol. Lett. 2018, 21, 54–62. [Google Scholar] [CrossRef] [PubMed]
- Lindmark, M.; Ohlberger, J.; Huss, M.; Gårdmark, A.; Snyder, R. Size-based ecological interactions drive food web responses to climate warming. Ecol. Lett. 2019, 22, 778–786. [Google Scholar] [CrossRef]
- Malerba, M.E.; Marshall, D.J. Size-abundance rules? Evolution changes scaling relationships between size, metabolism and demography. Ecol. Lett. 2019, 22, 1407–1416. [Google Scholar] [CrossRef]
- Carreras Pereira, K.; Wolf, A.A.; Kou-Giesbrecht, S.; Akana, P.R.; Funk, J.L.; Menge, D.N. Allometric relationships for eight species of 4–5 year old nitrogen-fixing and non-fixing trees. PLoS ONE 2023, 18, e0289679. [Google Scholar] [CrossRef]
- Haynes, B.E.; Gower, S.T. Belowground carbon allocation in unfertilized and fertilized red pine plantations in northern Wisconsin. Tree Physiol. 1995, 15, 317–325. [Google Scholar] [CrossRef] [PubMed]
- Reich, P.B.; Walters, M.; Tjoelker, M.; Vanderklein, D.; Buschena, C. Photosynthesis and respiration rates depend on leaf and root morphology and nitrogen concentration in nine boreal tree species differing in relative growth rate. Funct. Ecol. 1998, 12, 395–405. [Google Scholar] [CrossRef]
- Reich, P.B.; Oleksyn, J. Global patterns of plant leaf N and P in relation to temperature and latitude. Proc. Natl. Acad. Sci. USA 2004, 101, 11001–11006. [Google Scholar] [CrossRef] [PubMed]
- Garnier, E. Resource capture, biomass allocation and growth in herbaceous plants. Trends Ecol. Evol. 1991, 6, 126–131. [Google Scholar] [CrossRef] [PubMed]
- Enquist, B.J.N.; Karl, J. Invariant scaling relations across tree-dominated communities. Nature 2001, 410, 655–660. [Google Scholar] [CrossRef]
- Enquist, B.J.N.; Karl, J. Global allocation rules for patterns of biomass partitioning in seed plants. Science 2002, 295, 1517–1520. [Google Scholar] [CrossRef]
- Lusk, C.; Falster, D.; Jara-Vergara, C.; Jimenez-Castillo, M.; Saldaña-Mendoza, A. Ontogenetic variation in light requirements of juvenile rainforest evergreens. Funct. Ecol. 2008, 22, 454–459. [Google Scholar] [CrossRef]
- Warton, D.I.; Wright, I.J.; Falster, D.S.; Westoby, M. Bivariate line-fitting methods for allometry. Biol. Rev. Camb. Philos. Soc. 2006, 81, 259–291. [Google Scholar] [CrossRef]
- Warton, D.I.; Duursma, R.A.; Falster, D.S.; Taskinen, S. smatr 3–an R package for estimation and inference about allometric lines. Methods Ecol. Evol. 2012, 3, 257–259. [Google Scholar] [CrossRef]








| Time/d | 90 | 180 | 270 | ||||||||
|---|---|---|---|---|---|---|---|---|---|---|---|
| Source of Variation | df | SS | MS | F | SS | MS | F | SS | MS | F | |
| root | N | 1 | 0.000 | 0.000 | 0.007 | 0.272 | 0.272 | 3.645 | 0.032 | 0.032 | 0.754 |
| P | 2 | 0.105 | 0.052 | 4.267 * | 1.024 | 0.512 | 6.853 ** | 1.458 | 0.729 | 0.116 | |
| N × P | 2 | 0.007 | 0.003 | 0.266 | 0.135 | 0.067 | 0.900 | 0.360 | 0.180 | 0.577 | |
| stem | N | 1 | 0.007 | 0.007 | 2.703 | 0.035 | 0.035 | 0.913 | 0.125 | 0.125 | 1.472 |
| P | 2 | 0.019 | 0.009 | 3.443 * | 0.376 | 0.188 | 4.917 * | 1.555 | 0.778 | 9.192 ** | |
| N × P | 2 | 0.011 | 0.005 | 2.003 | 0.182 | 0.091 | 2.374 | 0.197 | 0.098 | 1.162 | |
| needle | N | 1 | 0.002 | 0.002 | 0.352 | 1.951 | 1.951 | 2.530 | 0.316 | 0.316 | 0.13 |
| P | 2 | 0.451 | 0.226 | 3.582 * | 0.359 | 0.180 | 0.233 | 1.782 | 0.891 | 2.578 | |
| N × P | 2 | 0.024 | 0.012 | 0.189 | 0.102 | 0.102 | 0.132 | 1.959 | 0.979 | 2.834 | |
| sprout | N | 1 | 0.072 | 0.072 | 0.830 | 0.053 | 0.053 | 0.159 | 5.981 | 5.981 | 6.416 * |
| P | 2 | 0.100 | 0.05 | 0.578 | 2.648 | 1.324 | 3.977 * | 0.267 | 0.134 | 0.143 | |
| N × P | 2 | 0.019 | 0.010 | 0.111 | 0.252 | 0.126 | 0.378 | 6.514 | 3.257 | 3.494 * | |
| aboveground | N | 1 | 0.092 | 0.092 | 0.717 | 2.060 | 2.060 | 2.779 | 2.529 | 2.529 | 2.083 |
| P | 2 | 0.571 | 0.286 | 2.232 | 10.289 | 5.144 | 6.939 ** | 7.087 | 3.543 | 2.918 | |
| N × P | 2 | 0.235 | 0.117 | 0.916 | 1.858 | 0.929 | 1.253 | 3.026 | 1.513 | 1.246 | |
| Time/d | 90 | 180 | 270 | ||||||||
|---|---|---|---|---|---|---|---|---|---|---|---|
| Source of Variation | df | SS | MS | F | SS | MS | F | SS | MS | F | |
| root | N | 1 | 0.011 | 0.011 | 1.814 | 0.008 | 0.008 | 1.369 | 0.002 | 0.002 | 0.759 |
| P | 2 | 0.002 | 0.001 | 0.190 | 0.009 | 0.004 | 0.798 | 0.001 | 0.000 | 0.191 | |
| N × P | 2 | 0.054 | 0.027 | 4.520 * | 0.025 | 0.013 | 2.275 | 0.000 | 0.000 | 0.033 | |
| stem | N | 1 | 0.003 | 0.003 | 0.834 | 0.003 | 0.003 | 0.640 | 0.016 | 0.016 | 12.307 ** |
| P | 2 | 0.012 | 0.006 | 1.634 | 0.016 | 0.008 | 1.551 | 0.011 | 0.005 | 4.040 | |
| N × P | 2 | 0.015 | 0.008 | 1.993 | 0.011 | 0.005 | 1.079 | 0.003 | 0.001 | 1.022 | |
| needles | N | 1 | 0.002 | 0.002 | 0.044 | 0.004 | 0.004 | 0.155 | 0.012 | 0.012 | 1.660 |
| P | 2 | 0.436 | 0.218 | 4.900 * | 0.698 | 0.349 | 13.215 ** | 0.030 | 0.015 | 1.989 | |
| N × P | 2 | 0.018 | 0.009 | 0.202 | 0.050 | 0.025 | 0.950 | 0.053 | 0.026 | 3.520 * | |
| sprout | N | 1 | 0.000 | 0.000 | 0.000 | 0.009 | 0.009 | 0.273 | 0.074 | 0.074 | 4.128 * |
| P | 2 | 0.314 | 0.157 | 4.152 * | 0.620 | 0.310 | 9.414 ** | 0.057 | 0.029 | 1.604 | |
| N × P | 2 | 0.041 | 0.021 | 0.548 | 0.062 | 0.031 | 0.938 | 0.082 | 0.041 | 2.282 | |
| aboveground | N | 1 | 0.011 | 0.011 | 1.814 | 0.008 | 0.008 | 1.369 | 0.002 | 0.002 | 0.759 |
| P | 2 | 0.002 | 0.001 | 0.190 | 0.009 | 0.0041 | 0.798 | 0.001 | 0.000 | 0.191 | |
| N × P | 2 | 0.054 | 0.027 | 4.520 * | 0.025 | 0.013 | 2.275 | 0.000 | 0.000 | 0.033 | |
| Treatment | N/(g/plant−1) | P/(g/plant−1) |
|---|---|---|
| N1P1 (TI) | 0.0 | 0.0 |
| N1P2 (T2) | 0.0 | 2.0 |
| N1P3 (T3) | 0.0 | 4.0 |
| N2P1 (T4) | 0.6 | 0.0 |
| N2P2 (T5) | 0.6 | 2.0 |
| N2P3 (T6) | 0.6 | 4.0 |
Disclaimer/Publisher’s Note: The statements, opinions and data contained in all publications are solely those of the individual author(s) and contributor(s) and not of MDPI and/or the editor(s). MDPI and/or the editor(s) disclaim responsibility for any injury to people or property resulting from any ideas, methods, instructions or products referred to in the content. |
© 2024 by the authors. Licensee MDPI, Basel, Switzerland. This article is an open access article distributed under the terms and conditions of the Creative Commons Attribution (CC BY) license (https://creativecommons.org/licenses/by/4.0/).
Share and Cite
Tang, G.; Wang, Y.; Lu, Z.; Cheng, S.; Hu, Z.; Chen, S.; Chen, L.; Tang, J.; Xu, Y.; Cai, N. Effects of Combined Nitrogen–Phosphorus on Biomass Accumulation, Allocation, and Allometric Growth Relationships in Pinus yunnanensis Seedlings after Top Pruning. Plants 2024, 13, 2450. https://doi.org/10.3390/plants13172450
Tang G, Wang Y, Lu Z, Cheng S, Hu Z, Chen S, Chen L, Tang J, Xu Y, Cai N. Effects of Combined Nitrogen–Phosphorus on Biomass Accumulation, Allocation, and Allometric Growth Relationships in Pinus yunnanensis Seedlings after Top Pruning. Plants. 2024; 13(17):2450. https://doi.org/10.3390/plants13172450
Chicago/Turabian StyleTang, Guangpeng, Yu Wang, Zhuangyue Lu, Sili Cheng, Zhaoliu Hu, Shi Chen, Lin Chen, Junrong Tang, Yulan Xu, and Nianhui Cai. 2024. "Effects of Combined Nitrogen–Phosphorus on Biomass Accumulation, Allocation, and Allometric Growth Relationships in Pinus yunnanensis Seedlings after Top Pruning" Plants 13, no. 17: 2450. https://doi.org/10.3390/plants13172450
APA StyleTang, G., Wang, Y., Lu, Z., Cheng, S., Hu, Z., Chen, S., Chen, L., Tang, J., Xu, Y., & Cai, N. (2024). Effects of Combined Nitrogen–Phosphorus on Biomass Accumulation, Allocation, and Allometric Growth Relationships in Pinus yunnanensis Seedlings after Top Pruning. Plants, 13(17), 2450. https://doi.org/10.3390/plants13172450
