Postponed Application of Phosphorus and Potassium Fertilizers Mitigates the Damage of Late Spring Coldness by Improving Winter Wheat Root Physiology
Abstract
1. Introduction
2. Results
2.1. Morphological Traits of Wheat Roots
2.2. Soluble Sugar and Soluble Protein Content of Wheat Roots
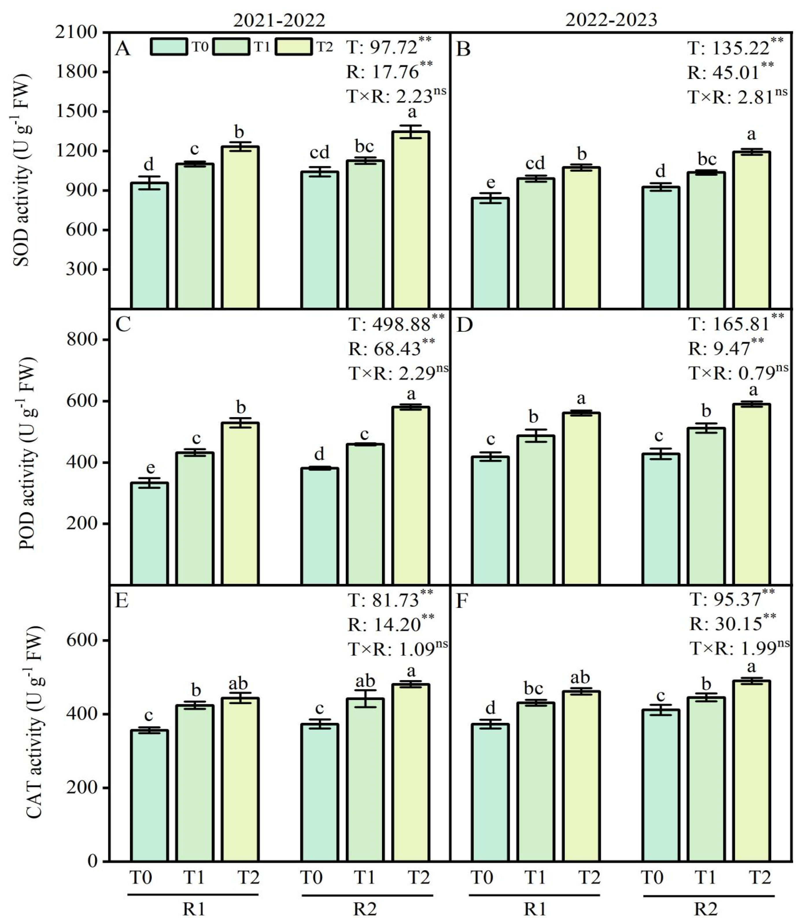
2.3. Antioxidant System Enzyme Activities of Wheat Roots
2.4. ROS Contents of Wheat Roots
2.5. Endogenous Hormone Content of Wheat Roots
2.6. Acid Phosphatase and Alkaline Phosphatase Activities of Wheat Roots
2.7. Phosphorus Accumulation and Potassium Accumulation Contents of Wheat Roots
2.8. Correlation Coefficients between Root Morphological Traits, Antioxidant Enzymes, Osmotic Adjustment Substance, Endogenous Hormone, Phosphatase Activity, and Nutrient Accumulation
3. Discussion
3.1. Optimizing P and K Application Improved the Growth of Wheat Root Under LT Stress
3.2. Optimizing P and K Application Alleviated Root Physiology in Wheat under LT Stress
3.3. Optimizing P and K Application Enhanced Phosphatase Activity and Nutrient Accumulation in Wheat Root under LT Stress
4. Materials and Methods
4.1. Plant Growth Conditions
4.2. Experimental Design and Cropping Management
4.3. Sampling and Measurements
4.3.1. Root Morphological Traits
4.3.2. Root Physiology
4.3.3. Root Nutrient Accumulation
4.4. Statistical Analysis
5. Conclusions
Author Contributions
Funding
Data Availability Statement
Conflicts of Interest
References
- Wu, M.M.; Xu, J.Y.; Nie, Z.J.; Shi, H.; Liu, H.Y.; Zhang, Y.P.; Li, C.; Zhao, P.; Liu, H.E. Physiological, Biochemical and Transcriptomic Insights into the Mechanisms by Which Molybdenum Mitigates Cadmium Toxicity in Triticum aestivum L. J. Hazard. Mater. 2024, 472, 134516. [Google Scholar] [CrossRef] [PubMed]
- Zhang, Y.; Cai, H.M.; Liu, L.Z.; Xu, H.; Chen, X.; Li, J.C. Screening of Varieties Resistant to Late-Spring Coldness in Wheat and Effects of Late-Spring Coldness on the Ultrastructure of Wheat Cells. Agronomy 2023, 13, 3011. [Google Scholar] [CrossRef]
- Jiang, G.; Hassan, M.A.; Muhammad, N.; Arshad, M.; Chen, X.; Xu, Y.H.; Xu, H.; Ni, Q.Q.; Liu, B.B.; Yang, W.K.; et al. Comparative Physiology and Transcriptome Analysis of Young Spikes in Response to Late Spring Coldness in Wheat (Triticum aestivum L.). Front. Plant Sci. 2022, 13, 811884. [Google Scholar] [CrossRef]
- Lin, F.F.; Li, C.; Xu, B.; Chen, J.; Chen, A.H.; Hassan, M.A.; Liu, B.B.; Xu, H.; Chen, X.; Sun, J.Q.; et al. Late Spring Cold Reduces Grain Number at Various Spike Positions by Regulating Spike Growth and Assimilate Distribution in Winter Wheat. Crop J. 2023, 11, 1272–1278. [Google Scholar] [CrossRef]
- Xiao, L.J.; Liu, L.L.; Asseng, S.; Xia, Y.; Tang, L.; Liu, B.; Cao, W.X.; Zhu, Y. Estimating Spring Frost and Its Impact on Yield across Winter Wheat in China. Agric. For. Meteorol. 2018, 260–261, 154–164. [Google Scholar] [CrossRef]
- Ji, H.T.; Xiao, L.J.; Xia, Y.M.; Song, H.; Liu, B.; Tang, L.; Cao, W.X.; Zhu, Y.; Liu, L.L. Effects of Jointing and Booting Low Temperature Stresses on Grain Yield and Yield Components in Wheat. Agric. For. Meteorol. 2017, 243, 33–42. [Google Scholar] [CrossRef]
- Liu, L.L.; Song, H.; Shi, K.J.; Liu, B.; Zhang, Y.; Tang, L.; Cao, W.X.; Zhu, Y. Response of Wheat Grain Quality to Low Temperature during Jointing and Booting Stages—On the Importance of Considering Canopy Temperature. Agric. For. Meteorol. 2019, 278, 107658. [Google Scholar] [CrossRef]
- Wang, C.Y.; Li, L.L.; Meiners, S.J.; Kong, C.H. Root Placement Patterns in Allelopathic Plant–Plant Interactions. New Phytol. 2023, 237, 563–575. [Google Scholar] [CrossRef]
- Erktan, A.; McCormack, M.L.; Roumet, C. Frontiers in Root Ecology: Recent Advances and Future Challenges. Plant Soil 2018, 424, 1–9. [Google Scholar] [CrossRef]
- Bhattacharya, A. Effect of Low-Temperature Stress on Germination, Growth, and Phenology of Plants: A Review. In Physiological Processes in Plants under Low Temperature Stress; Bhattacharya, A., Ed.; Springer: Singapore, 2022; pp. 1–106. [Google Scholar]
- Kul, R.; Ekinci, M.; Turan, M.; Ors, S.; Yildirim, E. How Abiotic Stress Conditions Affects Plant Roots. In Plant Roots; Yildirim, E., Turan, M., Ekinci, M., Eds.; IntechOpen: London, UK, 2021; pp. 1–24. [Google Scholar]
- Posmyk, M.M.; Bailly, C.; Szafrańska, K.; Janas, K.M.; Corbineau, F. Antioxidant Enzymes and Isoflavonoids in Chilled Soybean (Glycine max (L.) Merr.) Seedlings. J. Plant Physiol. 2005, 162, 403–412. [Google Scholar] [CrossRef] [PubMed]
- Ali, M.B.; Hahn, E.J.; Paek, K.Y. Effects of Temperature on Oxidative Stress Defense Systems, Lipid Peroxidation and Lipoxygenase Activity in Phalaenopsis. Plant Physiol. Biochem. 2005, 43, 213–223. [Google Scholar] [CrossRef]
- Bhattacharya, A. Plant Growth Hormones in Plants under Low-Temperature Stress: A Review. In Physiological Processes in Plants under Low Temperature Stress; Bhattacharya, A., Ed.; Springer: Singapore, 2022; pp. 517–627. [Google Scholar]
- Kumari, V.V.; Banerjee, P.; Verma, V.C.; Sukumaran, S.; Chandran, M.A.S.; Gopinath, K.A.; Venkatesh, G.; Yadav, S.K.; Singh, V.K.; Awasthi, N.K. Plant Nutrition: An Effective Way to Alleviate Abiotic Stress in Agricultural Crops. Int. J. Mol. Sci. 2022, 23, 8915. [Google Scholar] [CrossRef] [PubMed]
- Amtmann, A.; Hammond, J.P.; Armengaud, P.; White, P.J. Nutrient Sensing and Signalling in Plants: Potassium and Phosphorus. Adv. Bot. Res. 2005, 43, 209–257. [Google Scholar]
- Hassan, M.A.; Chen, X.; Farooq, M.; Muhammad, N.; Zhang, Y.; Xu, H.; Ke, Y.Y.; Bruno, A.K.; Zhang, L.L.; Li, J.C. Cold Stress in Wheat: Plant Acclimation Responses and Management Strategies. Front. Plant Sci. 2021, 12, 676884. [Google Scholar] [CrossRef] [PubMed]
- Wang, J.P.; Chen, H.Y.; Ma, R.H.; Shao, J.F.; Huang, S.J.; Liu, Y.; Jiang, Y.M.; Cheng, D.D. Novel Water- and Fertilizer-Management Strategy: Nutrient-Water Carrier. J. Clean. Prod. 2021, 291, 125961. [Google Scholar] [CrossRef]
- Nie, Z.J.; Li, S.Y.; Hu, C.X.; Sun, X.C.; Tan, Q.L.; Liu, H.G. Effects of Molybdenum and Phosphorus Fertilizers on Cold Resistance in Winter Wheat. J. Plant Nutr. 2015, 38, 808–820. [Google Scholar] [CrossRef]
- Wang, M.; Zheng, Q.S.; Shen, Q.R.; Guo, S.W. The Critical Role of Potassium in Plant Stress Response. Int. J. Mol. Sci. 2013, 14, 7370–7390. [Google Scholar] [CrossRef]
- Xu, H.; Hassan, M.A.; Sun, D.Y.; Wu, Z.C.; Jiang, G.; Liu, B.B.; Ni, Q.Q.; Yang, W.K.; Fang, H.; Li, J.C.; et al. Effects of Low Temperature Stress on Source–Sink Organs in Wheat and Phosphorus Mitigation Strategies. Front. Plant Sci. 2022, 13, 807844. [Google Scholar] [CrossRef]
- Shi, Y.Y.; Guo, E.J.; Cheng, X.; Wang, L.Z.; Jiang, S.K.; Yang, X.L.; Ma, H.Y.; Zhang, T.Y.; Li, T.; Yang, X.G. Effects of Chilling at Different Growth Stages on Rice Photosynthesis, Plant Growth, and Yield. Environ. Exp. Bot. 2022, 203, 105045. [Google Scholar] [CrossRef]
- Wang, R.; Yu, M.; Xia, J.; Ren, Z.; Xing, J.; Li, C.; Xu, Q.; Cang, J.; Zhang, D. Cold Stress Triggers Freezing Tolerance in Wheat (Triticum Aestivum L.) via Hormone Regulation and Transcription of Related Genes. Plant Biol. 2022, 25, 308–321. [Google Scholar] [CrossRef]
- Amirahmadi, E.; Ghorbani, M.; Moudrý, J.; Bernas, J.; Mukosha, C.E.; Hoang, T.N. Environmental Assessment of Dryland and Irrigated Winter Wheat Cultivation under Compost Fertilization Strategies. Plants 2024, 13, 509. [Google Scholar] [CrossRef] [PubMed]
- Zhou, Y.P.; Sommer, M.L.; Hochholdinger, F. Cold Response and Tolerance in Cereal Roots. J. Exp. Bot. 2021, 72, 7474–7481. [Google Scholar] [CrossRef]
- Aroca, R.; Porcel, R.; Ruiz-Lozano, J.M. Regulation of Root Water Uptake under Abiotic Stress Conditions. J. Exp. Bot. 2012, 63, 43–57. [Google Scholar] [CrossRef]
- Lynch, J.P. Root Phenotypes for Improved Nutrient Capture: An Underexploited Opportunity for Global Agriculture. New Phytol. 2019, 223, 548–564. [Google Scholar] [CrossRef] [PubMed]
- Han, Y.; White, P.J.; Cheng, L.Y. Mechanisms for Improving Phosphorus Utilization Efficiency in Plants. Ann. Bot. 2022, 129, 247–258. [Google Scholar] [CrossRef]
- Zhu, S.G.; Cheng, Z.G.; Wang, J.; Gong, D.S.; Ullah, F.; Tao, H.Y.; Zhu, H.; Duan, H.X.; Yang, Y.M.; Xiong, Y.C. Soil Phosphorus Availability and Utilization Are Mediated by Plant Facilitation via Rhizosphere Interactions in an Intercropping System. Eur. J. Agron. 2023, 142, 126679. [Google Scholar] [CrossRef]
- McKay Fletcher, D.M.; Ruiz, S.; Dias, T.; Petroselli, C.; Roose, T. Linking Root Structure to Functionality: The Impact of Root System Architecture on Citrate-Enhanced Phosphate Uptake. New Phytol. 2020, 227, 376–391. [Google Scholar] [CrossRef]
- Shabala, S.; Pottosin, I. Regulation of Potassium Transport in Plants under Hostile Conditions: Implications for Abiotic and Biotic Stress Tolerance. Physiol. Plant. 2014, 151, 257–279. [Google Scholar] [CrossRef] [PubMed]
- Hasanuzzaman, M.; Bhuyan, M.; Nahar, K.; Hossain, M.d.; Mahmud, J.; Hossen, M.d.; Masud, A.; Moumita; Fujita, M. Potassium: A Vital Regulator of Plant Responses and Tolerance to Abiotic Stresses. Agronomy 2018, 8, 31. [Google Scholar] [CrossRef]
- Oosterhuis, D.M.; Loka, D.A.; Raper, T.B. Potassium and Stress Alleviation: Physiological Functions and Management of Cotton. J. Plant Nutr. Soil Sci. 2013, 176, 331–343. [Google Scholar] [CrossRef]
- Xu, H.; Hassan, M.A.; Li, J.C. Twice-Split Phosphorus Application Alleviates Low Temperature Stress by Improving Root Physiology and Phosphorus Accumulation, Translocation, and Partitioning in Wheat. Agronomy 2023, 13, 2643. [Google Scholar] [CrossRef]
- Guo, Z.H.; Cai, L.J.; Liu, C.X.; Chen, Z.Q.; Guan, S.W.; Ma, W.D.; Pan, G.J. Low-Temperature Stress Affects Reactive Oxygen Species, Osmotic Adjustment Substances, and Antioxidants in Rice (Oryza sativa L.) at the Reproductive Stage. Sci. Rep. 2022, 12, 6224. [Google Scholar] [CrossRef] [PubMed]
- Wang, W.L.; Wang, X.; Huang, M.; Cai, J.; Zhou, Q.; Dai, T.B.; Jiang, D. Alleviation of Field Low-Temperature Stress in Winter Wheat by Exogenous Application of Salicylic Acid. J. Plant Growth Regul. 2021, 40, 811–823. [Google Scholar] [CrossRef]
- Soualiou, S.; Duan, F.Y.; Li, X.; Zhou, W.B. CROP PRODUCTION UNDER COLD STRESS: An Understanding of Plant Responses, Acclimation Processes, and Management Strategies. Plant Physiol. Biochem. 2022, 190, 47–61. [Google Scholar] [CrossRef] [PubMed]
- Xu, H.; Hou, K.Y.; Fang, H.; Liu, Q.Q.; Wu, Q.; Lin, F.; Deng, R.; Zhang, L.J.; Chen, X.; Li, J.C. Twice-Split Phosphorus Application Alleviates Low-Temperature Impacts on Wheat by Improved Spikelet Development and Setting. J. Integr. Agric. 2023, 22, 3667–3680. [Google Scholar] [CrossRef]
- Adhikari, L.; Baral, R.; Paudel, D.; Min, D.; Makaju, S.O.; Poudel, H.P.; Acharya, J.P.; Missaoui, A.M. Cold Stress in Plants: Strategies to Improve Cold Tolerance in Forage Species. Plant Stress 2022, 4, 100081. [Google Scholar] [CrossRef]
- Raza, A.; Salehi, H.; Rahman, M.A.; Zahid, Z.; Madadkar Haghjou, M.; Najafi-Kakavand, S.; Charagh, S.; Osman, H.S.; Albaqami, M.; Zhuang, Y.; et al. Plant Hormones and Neurotransmitter Interactions Mediate Antioxidant Defenses under Induced Oxidative Stress in Plants. Front. Plant Sci. 2022, 13, 961872. [Google Scholar] [CrossRef]
- Wang, Y.L.; Cui, Y.T.; Hu, G.H.; Wang, X.D.; Chen, H.Z.; Shi, Q.H.; Xiang, J.; Zhang, Y.K.; Zhu, D.F.; Zhang, Y.P. Reduced Bioactive Gibberellin Content in Rice Seeds under Low Temperature Leads to Decreased Sugar Consumption and Low Seed Germination Rates. Plant Physiol. Biochem. 2018, 133, 1–10. [Google Scholar] [CrossRef]
- Zhang, W.J.; Wang, J.Q.; Huang, Z.L.; Mi, L.; Xu, K.F.; Wu, J.J.; Fan, Y.H.; Ma, S.Y.; Jiang, D.G. Effects of Low Temperature at Booting Stage on Sucrose Metabolism and Endogenous Hormone Contents in Winter Wheat Spikelet. Front. Plant Sci. 2019, 10, 498. [Google Scholar] [CrossRef]
- Barzana, G.; Rios, J.J.; Lopez-Zaplana, A.; Nicolas-Espinosa, J.; Yepes-Molina, L.; Garcia-Ibañez, P.; Carvajal, M. Interrelations of Nutrient and Water Transporters in Plants under Abiotic Stress. Physiol. Plant. 2021, 171, 595–619. [Google Scholar] [CrossRef]
- Wang, Q.; Duan, C.J.; Liang, H.X.; Ren, J.W.; Geng, Z.C.; Xu, C.Y. Phosphorus Acquisition Strategies of Wheat Are Related to Biochar Types Added in Cadmium-Contaminated Soil: Evidence from Soil Zymography and Root Morphology. Sci. Total Environ. 2023, 856, 159033. [Google Scholar] [CrossRef] [PubMed]
- Khan, M.I.R.; Nazir, F.; Maheshwari, C.; Chopra, P.; Chhillar, H.; Sreenivasulu, N. Mineral Nutrients in Plants under Changing Environments: A Road to Future Food and Nutrition Security. Plant Genome 2023, 16, e20362. [Google Scholar] [CrossRef]
- Ham, B.K.; Chen, J.Y.; Yan, Y.; Lucas, W.J. Insights into Plant Phosphate Sensing and Signaling. Curr. Opin. Biotechnol. 2018, 49, 1–9. [Google Scholar] [CrossRef]
- Ma, X.M.; Liu, Y.; Shen, W.J.; Kuzyakov, Y. Phosphatase Activity and Acidification in Lupine and Maize Rhizosphere Depend on Phosphorus Availability and Root Properties: Coupling Zymography with Planar Optodes. Appl. Soil Ecol. 2021, 167, 104029. [Google Scholar] [CrossRef]
- Duan, Y.H.; Shi, X.J.; Li, S.L.; Sun, X.F.; He, X.H. Nitrogen Use Efficiency as Affected by Phosphorus and Potassium in Long-Term Rice and Wheat Experiments. J. Integr. Agric. 2014, 13, 588–596. [Google Scholar] [CrossRef]
- Saadati, S.; Baninasab, B.; Mobli, M.; Gholami, M. Foliar Application of Potassium to Improve the Freezing Tolerance of Olive Leaves by Increasing Some Osmolite Compounds and Antioxidant Activity. Sci. Hortic. 2021, 276, 109765. [Google Scholar] [CrossRef]
- Armengaud, P.; Zambaux, K.; Hills, A.; Sulpice, R.; Pattison, R.J.; Blatt, M.R.; Amtmann, A. EZ-Rhizo: Integrated Software for the Fast and Accurate Measurement of Root System Architecture. Plant J. 2009, 57, 945–956. [Google Scholar] [CrossRef] [PubMed]
- Yang, C.; Gao, X.H. Impact of Microplastics from Polyethylene and Biodegradable Mulch Films on Rice (Oryza sativa L.). Sci. Total Environ. 2022, 828, 154579. [Google Scholar] [CrossRef]
- Kamran, M.; Wang, D.; Xie, K.Z.; Lu, Y.S.; Shi, C.H.; EL Sabagh, A.; Gu, W.J.; Xu, P.Z. Pre-Sowing Seed Treatment with Kinetin and Calcium Mitigates Salt Induced Inhibition of Seed Germination and Seedling Growth of Choysum (Brassica Rapa Var. Parachinensis). Ecotoxicol. Environ. Saf. 2021, 227, 112921. [Google Scholar] [CrossRef]
- Xu, X.; Guo, C.; Ma, C.; Li, M.; Chen, Y.; Liu, C.; Chu, J.; Yao, X. Brassinolide Soaking Reduced Nitrite Content and Extended Color Change and Storage Time of Toona sinensis Bud during Low Temperature and Near Freezing-Point Temperature Storage. Int. J. Mol. Sci. 2022, 23, 13110. [Google Scholar] [CrossRef] [PubMed]
- Li, C.Y.; Yang, J.; Zhu, M.; Ding, J.F.; Zhu, X.K.; Zhou, G.S.; Guo, W.S. Urea Amendment Alleviated Morphological and Physiological Damages and Yield Loss of Winter Wheat Subjected to Low Temperature Stress at Jointing Stage. Plant Growth Regul. 2022, 98, 589–598. [Google Scholar] [CrossRef]











| Year | Organ Matter (g·kg−1) | Total N (g·kg−1) | Available N (mg·kg−1) | Available P (mg·kg−1) | Available K (mg·kg−1) |
|---|---|---|---|---|---|
| 2021–2022 | 16.5 | 1.3 | 112.2 | 23.0 | 161.6 |
| 2022–2023 | 16.1 | 1.0 | 110.4 | 26.2 | 149.5 |
Disclaimer/Publisher’s Note: The statements, opinions and data contained in all publications are solely those of the individual author(s) and contributor(s) and not of MDPI and/or the editor(s). MDPI and/or the editor(s) disclaim responsibility for any injury to people or property resulting from any ideas, methods, instructions or products referred to in the content. |
© 2024 by the authors. Licensee MDPI, Basel, Switzerland. This article is an open access article distributed under the terms and conditions of the Creative Commons Attribution (CC BY) license (https://creativecommons.org/licenses/by/4.0/).
Share and Cite
Fang, H.; Huang, J.; Zhu, X.; Hassan, M.A.; Ren, J.; Huang, J.; Zheng, B.; Chen, X.; Lin, F.; Li, J. Postponed Application of Phosphorus and Potassium Fertilizers Mitigates the Damage of Late Spring Coldness by Improving Winter Wheat Root Physiology. Plants 2024, 13, 2311. https://doi.org/10.3390/plants13162311
Fang H, Huang J, Zhu X, Hassan MA, Ren J, Huang J, Zheng B, Chen X, Lin F, Li J. Postponed Application of Phosphorus and Potassium Fertilizers Mitigates the Damage of Late Spring Coldness by Improving Winter Wheat Root Physiology. Plants. 2024; 13(16):2311. https://doi.org/10.3390/plants13162311
Chicago/Turabian StyleFang, Hao, Jinwei Huang, Xiatong Zhu, Muhammad Ahmad Hassan, Jin Ren, Jingyao Huang, Baoqiang Zheng, Xiang Chen, Feifei Lin, and Jincai Li. 2024. "Postponed Application of Phosphorus and Potassium Fertilizers Mitigates the Damage of Late Spring Coldness by Improving Winter Wheat Root Physiology" Plants 13, no. 16: 2311. https://doi.org/10.3390/plants13162311
APA StyleFang, H., Huang, J., Zhu, X., Hassan, M. A., Ren, J., Huang, J., Zheng, B., Chen, X., Lin, F., & Li, J. (2024). Postponed Application of Phosphorus and Potassium Fertilizers Mitigates the Damage of Late Spring Coldness by Improving Winter Wheat Root Physiology. Plants, 13(16), 2311. https://doi.org/10.3390/plants13162311

