Nutraceutical Valorization of Exhausted Olive Pomace from Olea europaea L. Using Advanced Extraction Techniques
Abstract
1. Introduction
2. Results and Discussion
2.1. Extractive Yield
2.2. Total Phenolic Content (TPC) and Antioxidant Activity
2.3. Hypoglycemic Activity
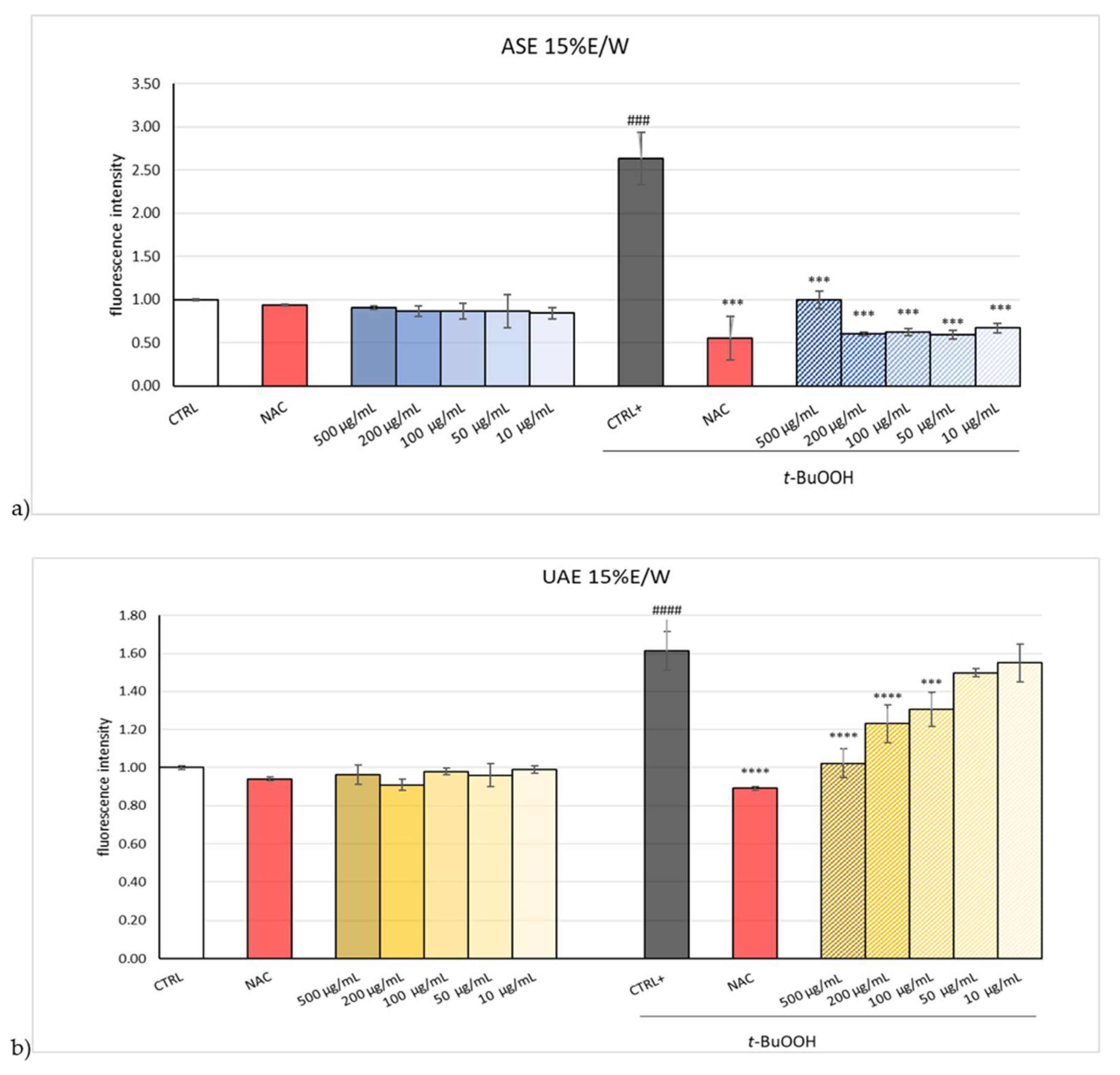
2.4. Effect of EOP Extracts on Cell Viability and Intracellular ROS
2.5. Phytochemical Characterization
3. Materials and Methods
3.1. Chemicals and Reagents
3.2. Equipment
3.3. Sample Collection and Extraction
3.3.1. Maceration (MAC)
3.3.2. Ultrasound-Assisted Extraction (UAE)
3.3.3. Microwave-Assisted Extraction (MAE)
3.3.4. Accelerated Solvent Extraction (ASE)
3.4. Polyphenol Content and Antioxidant Activity
3.4.1. Total Polyphenolic Content (TPC)
3.4.2. DPPH Assay
3.4.3. FRAP Assay
3.4.4. BCB Assay
3.4.5. Relative Antioxidant Capacity Index (RACI)
3.5. Inhibition of α-Amylase and α-Glucosidase
3.6. In Vitro Cell-Based Assays
3.6.1. Cell Culture Maintenance and Treatments
3.6.2. Cell Viability Assay and Intracellular Reactive Oxygen Species (ROS)
3.7. High-Performance Liquid Chromatography–Diode Array Detector (HPLC-DAD)
3.8. LC-MS Analysis
3.9. Statistical Analysis
4. Conclusions
Author Contributions
Funding
Data Availability Statement
Conflicts of Interest
References
- Guarino, F.; Falcone, G.; Stillitano, T.; De Luca, A.I.; Gulisano, G.; Mistretta, M.; Strano, A. Life cycle assessment of olive oil: A case study in southern Italy. J. Environ. Manag. 2019, 238, 396–407. [Google Scholar] [CrossRef]
- Lo Giudice, V.; Faraone, I.; Bruno, M.R.; Ponticelli, M.; Labanca, F.; Bisaccia, D.; Massarelli, C.; Milella, L.; Todaro, L. Olive trees by-products as sources of bioactive and other industrially useful compounds: A systematic review. Molecules 2021, 26, 5081. [Google Scholar] [CrossRef]
- Difonzo, G.; Troilo, M.; Squeo, G.; Pasqualone, A.; Caponio, F. Functional compounds from olive pomace to obtain high-added value foods–a review. J. Sci. Food Agric. 2021, 101, 15–26. [Google Scholar] [CrossRef] [PubMed]
- Del Mar Contreras, M.; Romero, I.; Moya, M.; Castro, E. Olive-derived biomass as a renewable source of value-added products. Process Biochem. 2020, 97, 43–56. [Google Scholar] [CrossRef]
- Gómez-Cruz, I.; Romero, I.; Contreras, M.d.M.; Labidi, J.; Hernández-Ramos, F.; Roseiro, L.B.; Duarte, L.C.; Castro, E.; Carvalheiro, F. Combined extraction and ethanol organosolv fractionation of exhausted olive pomace for bioactive compounds. Adv. Sustain. Syst. 2022, 6, 2100361. [Google Scholar] [CrossRef]
- Gómez-Cruz, I.; Contreras, M.d.M.; Carvalheiro, F.; Duarte, L.C.; Roseiro, L.B.; Romero, I.; Castro, E. Recovery of bioactive compounds from industrial exhausted olive pomace through ultrasound-assisted extraction. Biology 2021, 10, 514. [Google Scholar] [CrossRef] [PubMed]
- Ruiz, E.; Romero-García, J.M.; Romero, I.; Manzanares, P.; Negro, M.J.; Castro, E. Olive-derived biomass as a source of energy and chemicals. Biofuels Bioprod. Biorefining 2017, 11, 1077–1094. [Google Scholar] [CrossRef]
- Misra, D.; Dutta, W.; Jha, G.; Ray, P. Interactions and regulatory functions of phenolics in soil-plant-climate nexus. Agronomy 2023, 13, 280. [Google Scholar] [CrossRef]
- Gómez-Cruz, I.; Cara, C.; Romero, I.; Castro, E.; Gullón, B. Valorisation of exhausted olive pomace by an eco-friendly solvent extraction process of natural antioxidants. Antioxidants 2020, 9, 1010. [Google Scholar] [CrossRef]
- Contreras, M.d.M.; Gómez-Cruz, I.; Romero, I.; Castro, E. Olive pomace-derived biomasses fractionation through a two-step extraction based on the use of ultrasounds: Chemical characteristics. Foods 2021, 10, 111. [Google Scholar] [CrossRef]
- Gómez-Cruz, I.; Contreras, M.d.M.; Romero, I.; Castro, E. Optimization of microwave-assisted water extraction to obtain high value-added compounds from exhausted olive pomace in a biorefinery context. Foods 2022, 11, 2002. [Google Scholar] [CrossRef] [PubMed]
- Gullon, B.; Eibes, G.; Moreira, M.T.; Herrera, R.; Labidi, J.; Gullon, P. Yerba mate waste: A sustainable resource of antioxidant compounds. Ind. Crops Prod. 2018, 113, 398–405. [Google Scholar] [CrossRef]
- Chemat, F.; Abert-Vian, M.; Fabiano-Tixier, A.S.; Strube, J.; Uhlenbrock, L.; Gunjevic, V.; Cravotto, G. Green extraction of natural products. Origins, current status, and future challenges. TrAC Trends Anal. Chem. 2019, 118, 248–263. [Google Scholar] [CrossRef]
- Waszkowiak, K.; Gliszczyńska-Świgło, A. Binary ethanol–water solvents affect phenolic profile and antioxidant capacity of flaxseed extracts. Eur. Food Res. Technol. 2016, 242, 777–786. [Google Scholar] [CrossRef]
- Capello, C.; Fischer, U.; Hungerbühler, K. What is a green solvent? A comprehensive framework for the environmental assessment of solvents. Green Chem. 2007, 9, 927–934. [Google Scholar] [CrossRef]
- Brglez Mojzer, E.; Knez Hrnčič, M.; Škerget, M.; Knez, Ž.; Bren, U. Polyphenols: Extraction methods, antioxidative action, bioavailability and anticarcinogenic effects. Molecules 2016, 21, 901. [Google Scholar] [CrossRef] [PubMed]
- Dirar, A.; Alsaadi, D.; Wada, M.; Mohamed, M.; Watanabe, T.; Devkota, H. Effects of extraction solvents on total phenolic and flavonoid contents and biological activities of extracts from Sudanese medicinal plants. S. Afr. J. Bot. 2019, 120, 261–267. [Google Scholar] [CrossRef]
- Cea Pavez, I.; Lozano-Sánchez, J.; Borrás-Linares, I.; Nuñez, H.; Robert, P.; Segura-Carretero, A. Obtaining an extract rich in phenolic compounds from olive pomace by pressurized liquid extraction. Molecules 2019, 24, 3108. [Google Scholar] [CrossRef]
- Vidal, A.M.; Moya, M.; Alcalá, S.; Romero, I.; Espínola, F. Enrichment of refined olive oils with phenolic extracts of olive leaf and exhausted olive pomace. Antioxidants 2022, 11, 204. [Google Scholar] [CrossRef]
- Faraone, I.; Rai, D.K.; Chiummiento, L.; Fernandez, E.; Choudhary, A.; Prinzo, F.; Milella, L. Antioxidant activity and phytochemical characterization of senecio clivicolus wedd. Molecules 2018, 23, 2497. [Google Scholar] [CrossRef]
- Gómez-Cruz, I.; del Mar Contreras, M.; Romero, I.; Ribeiro, B.; Roseiro, L.B.; Duarte, L.C.; Carvalheiro, F.; Castro, E. Strategies for the purification of hydroxytyrosol-rich extracts obtained from exhausted olive pomace. Sep. Purif. Technol. 2023, 325, 124664. [Google Scholar] [CrossRef]
- Yang, C.-Y.; Yen, Y.-Y.; Hung, K.-C.; Hsu, S.-W.; Lan, S.-J.; Lin, H.-C. Inhibitory effects of pu-erh tea on alpha glucosidase and alpha amylase: A systemic review. Nutr. Diabetes 2019, 9, 23. [Google Scholar] [CrossRef] [PubMed]
- Uddin, M.J.; Faraone, I.; Haque, M.A.; Rahman, M.M.; Halim, M.A.; Sönnichsen, F.D.; Çiçek, S.S.; Milella, L.; Zidorn, C. Insights into the leaves of Ceriscoides campanulata: Natural proanthocyanidins alleviate diabetes, inflammation, and esophageal squamous cell cancer via in vitro and in silico models. Fitoterapia 2022, 158, 105164. [Google Scholar] [CrossRef] [PubMed]
- Vergani, L.; Vecchione, G.; Baldini, F.; Voci, A.; Ferrari, P.; Aliakbarian, B.; Casazza, A.; Perego, P. Antioxidant and hepatoprotective potentials of phenolic compounds from olive pomace. Chem. Eng. Trans. 2016, 49, 475–480. [Google Scholar] [CrossRef]
- Di Benedetto, R.; Varì, R.; Scazzocchio, B.; Filesi, C.; Santangelo, C.; Giovannini, C.; Matarrese, P.; D’Archivio, M.; Masella, R. Tyrosol, the major extra virgin olive oil compound, restored intracellular antioxidant defences in spite of its weak antioxidative effectiveness. Nutr. Metab. Cardiovasc. Dis. 2007, 17, 535–545. [Google Scholar] [CrossRef] [PubMed]
- Romero, C.; García, P.; Brenes, M.; García, A.; Garrido, A. Phenolic compounds in natural black Spanish olive varieties. Eur. Food Res. Technol. 2002, 215, 489–496. [Google Scholar] [CrossRef]
- Zhang, X.; Xie, L.; Long, J.; Xie, Q.; Zheng, Y.; Liu, K.; Li, X. Salidroside: A review of its recent advances in synthetic pathways and pharmacological properties. Chem.-Biol. Interact. 2021, 339, 109268. [Google Scholar] [CrossRef] [PubMed]
- Goldsmith, C.D.; Vuong, Q.V.; Stathopoulos, C.E.; Roach, P.D.; Scarlett, C.J. Ultrasound increases the aqueous extraction of phenolic compounds with high antioxidant activity from olive pomace. LWT Food Sci. Technol. 2018, 89, 284–290. [Google Scholar] [CrossRef]
- Russo, D.; Faraone, I.; Labanca, F.; Sinisgalli, C.; Bartolo, M.; Andrade, P.B.; Valentao, P.; Milella, L. Comparison of different green-extraction techniques and determination of the phytochemical profile and antioxidant activity of Echinacea angustifolia L. extracts. Phytochem. Anal. 2019, 30, 547–555. [Google Scholar] [CrossRef]
- Widowati, W.; Fauziah, N.; Herdiman, H.; Afni, M.; Afifah, E.; Kusuma, H.S.W.; Nufus, H.; Arumwardana, S.; Rihibiha, D.D. Antioxidant and anti aging assays of Oryza sativa extracts, vanillin and coumaric acid. J. Nat. Remedies 2016, 16, 88–99. [Google Scholar] [CrossRef]
- Milella, L.; Bader, A.; De Tommasi, N.; Russo, D.; Braca, A. Antioxidant and free radical-scavenging activity of constituents from two Scorzonera species. Food Chem. 2014, 160, 298–304. [Google Scholar] [CrossRef]
- Libutti, A.; Russo, D.; Lela, L.; Ponticelli, M.; Milella, L.; Rivelli, A.R. Enhancement of Yield, Phytochemical Content and Biological Activity of a Leafy Vegetable (Beta vulgaris L. var. cycla) by Using Organic Amendments as an Alternative to Chemical Fertilizer. Plants 2023, 12, 569. [Google Scholar] [CrossRef] [PubMed]
- Condelli, N.; Caruso, M.C.; Galgano, F.; Russo, D.; Milella, L.; Favati, F. Prediction of the antioxidant activity of extra virgin olive oils produced in the Mediterranean area. Food Chem. 2015, 177, 233–239. [Google Scholar] [CrossRef] [PubMed]
- Faraone, I.; Russo, D.; Genovese, S.; Milella, L.; Monné, M.; Epifano, F.; Fiorito, S. Screening of in vitro and in silico α-amylase, α-glucosidase, and lipase inhibitory activity of oxyprenylated natural compounds and semisynthetic derivatives. Phytochemistry 2021, 187, 112781. [Google Scholar] [CrossRef] [PubMed]
- Sinisgalli, C.; Faraone, I.; Vassallo, A.; Caddeo, C.; Bisaccia, F.; Armentano, M.F.; Milella, L.; Ostuni, A. Phytochemical profile of Capsicum annuum L. cv Senise, incorporation into liposomes, and evaluation of cellular antioxidant activity. Antioxidants 2020, 9, 428. [Google Scholar] [CrossRef]





| 50% E/W | W | |
|---|---|---|
| UAE | 6.80 ± 0.34 a | 6.16 ± 0.46 a |
| MAE | 5.95 ± 0.43 a,b | 5.39 ± 0.36 a,b |
| ASE | 5.12 ± 0.28 b,c | 4.85 ± 0.39 b,c |
| MAC | 4.74 ± 0.31 c | 3.90 ± 0.30 c |
| Samples | TPC mgGAE/g | DPPH mgTE/g | FRAP mgTE/g | BCB %AA at 0.125 mg/mL |
|---|---|---|---|---|
| MAC W | 30.30 ± 2.06 e | 41.74 ± 3.48 d | 86.51 ± 8.68 d | 70.06 ± 5.26 a,b |
| MAC 15%E/W | 34.50 ± 1.93 d,e | 52.38 ± 5.70 c,d | 107.13 ± 10.84 b,c,d | 80.89 ± 7.12 a |
| UAE W | 52.66 ± 3.11 a,b | 63.70 ± 6.03 b,c | 112.16 ± 1.20 a,b,c | 39.61 ± 16.40 c,d |
| UAE 15%E/W | 59.25 ± 4.71 a | 65.92 ± 1.62 b | 121.17 ± 10.81 a,b | 32.51 ± 1.17 d |
| MAE W | 35.56 ± 1.51 d,e | 51.33 ± 2.98 c,d | 91.99 ± 4.44 c,d | 57.58 ± 10.29 b,c |
| MAE 15%E/W | 45.86 ± 3.83 b,c | 62.65 ± 4.20 b,c | 109.38 ± 8.12 a,b,c | 34.14 ± 4.14 d |
| ASE W | 40.65 ± 3.72 c,d | 53.69 ± 4.44 b,c,d | 110.42 ± 3.06 a,b,c | 58.11 ± 6.76 a,b,c |
| ASE 15%E/W | 54.32 ± 5.89 a,b | 94.67 ± 5.28 a | 129.95 ± 10.31 a | 50.22 ± 4.09 b,c,d |
| TPC | DPPH | FRAP | BCB | |
|---|---|---|---|---|
| TPC | 0.77 | 0.86 | −0.82 | |
| DPPH | 0.77 | 0.88 | −0.48 | |
| FRAP | 0.86 | 0.88 | −0.50 | |
| BCB | −0.82 | −0.48 | −0.50 |
| Retention Time (min) | Compound | Mean ± Standard Deviation (mg/g) | ||
|---|---|---|---|---|
| UAE 15% E/W | ASE 15% E/W | |||
| 1 | 6.01 | Gallic acid | 0.40 ± 0.18 | 0.41 ± 0.08 |
| 2 | 8.86 | 3-Hydroxytyrosol | 11.41 ± 0.42 | 13.57 ± 0.51 |
| 3 | 9.38 | 3,4-Dihydroxybenzoic acid | 14.54 ± 0.28 | 14.31 ± 1.07 |
| 4 | 11.49 | Salidroside | 6.70 ± 0.29 | 7.94 ± 0.77 |
| 5 | 13.74 | Catechin | 5.18 ± 0.01 | 6.46 ± 0.20 |
| 6 | 14.37 | Tyrosol | 3.01 ± 0.19 | 4.03 ± 0.93 |
| 7 | 20.03 | Vanillic acid | 0.38 ± 0.07 | 0.72 ± 0.01 |
| Total amount | 41.62 ± 1.44 | 47.44 ± 3.57 | ||
Disclaimer/Publisher’s Note: The statements, opinions and data contained in all publications are solely those of the individual author(s) and contributor(s) and not of MDPI and/or the editor(s). MDPI and/or the editor(s) disclaim responsibility for any injury to people or property resulting from any ideas, methods, instructions or products referred to in the content. |
© 2024 by the authors. Licensee MDPI, Basel, Switzerland. This article is an open access article distributed under the terms and conditions of the Creative Commons Attribution (CC BY) license (https://creativecommons.org/licenses/by/4.0/).
Share and Cite
Carlucci, V.; Ponticelli, M.; Russo, D.; Labanca, F.; Costantino, V.; Esposito, G.; Milella, L. Nutraceutical Valorization of Exhausted Olive Pomace from Olea europaea L. Using Advanced Extraction Techniques. Plants 2024, 13, 2310. https://doi.org/10.3390/plants13162310
Carlucci V, Ponticelli M, Russo D, Labanca F, Costantino V, Esposito G, Milella L. Nutraceutical Valorization of Exhausted Olive Pomace from Olea europaea L. Using Advanced Extraction Techniques. Plants. 2024; 13(16):2310. https://doi.org/10.3390/plants13162310
Chicago/Turabian StyleCarlucci, Vittorio, Maria Ponticelli, Daniela Russo, Fabiana Labanca, Valeria Costantino, Germana Esposito, and Luigi Milella. 2024. "Nutraceutical Valorization of Exhausted Olive Pomace from Olea europaea L. Using Advanced Extraction Techniques" Plants 13, no. 16: 2310. https://doi.org/10.3390/plants13162310
APA StyleCarlucci, V., Ponticelli, M., Russo, D., Labanca, F., Costantino, V., Esposito, G., & Milella, L. (2024). Nutraceutical Valorization of Exhausted Olive Pomace from Olea europaea L. Using Advanced Extraction Techniques. Plants, 13(16), 2310. https://doi.org/10.3390/plants13162310

