On the Trail of Morphological Traits: Morphometry Helps to Clarify Morphological Variation in Section Viperella (Sisyrinchium)
Abstract
1. Introduction
2. Results
2.1. Principal Component Analysis (PCA)
2.1.1. S. palmifolium Complex
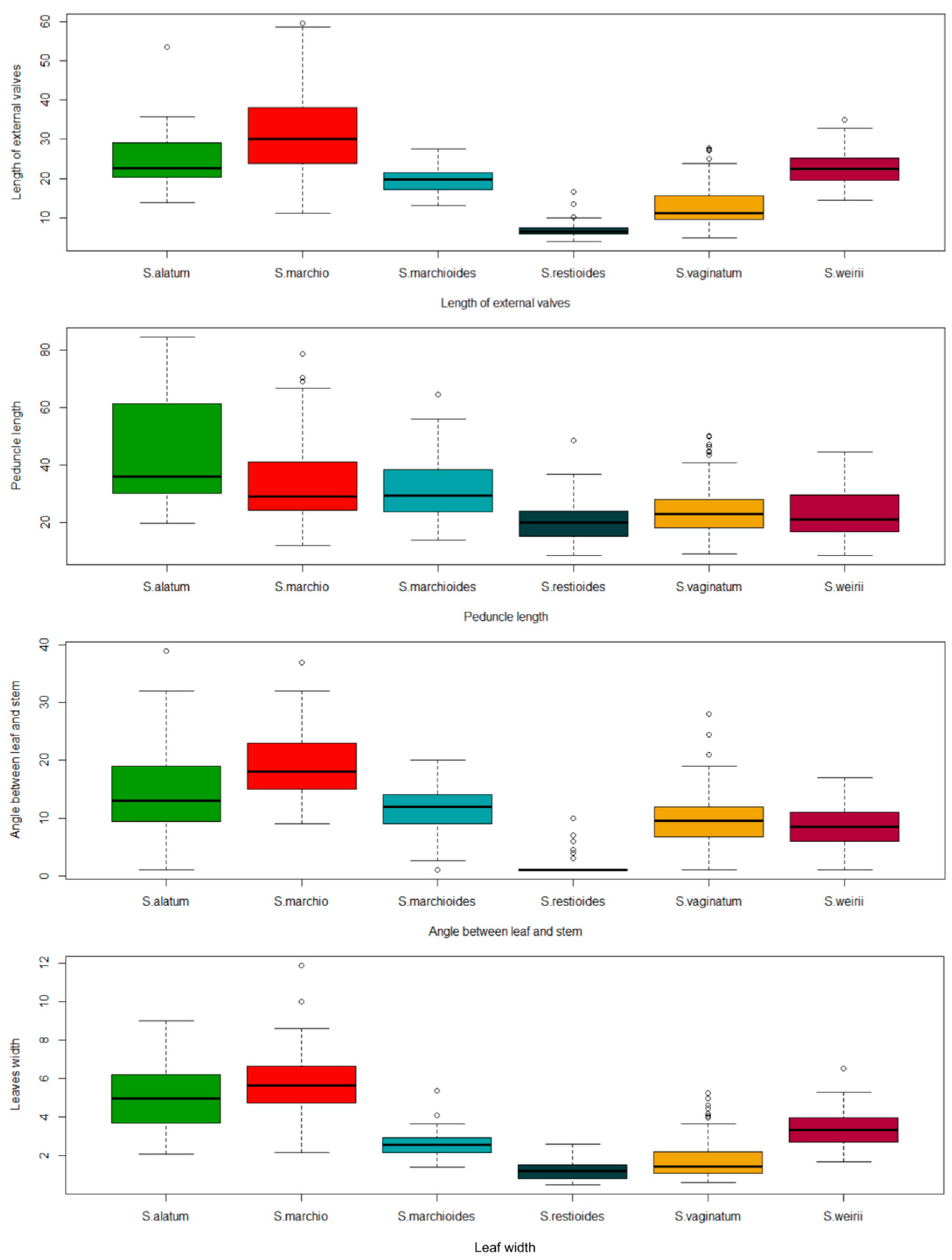
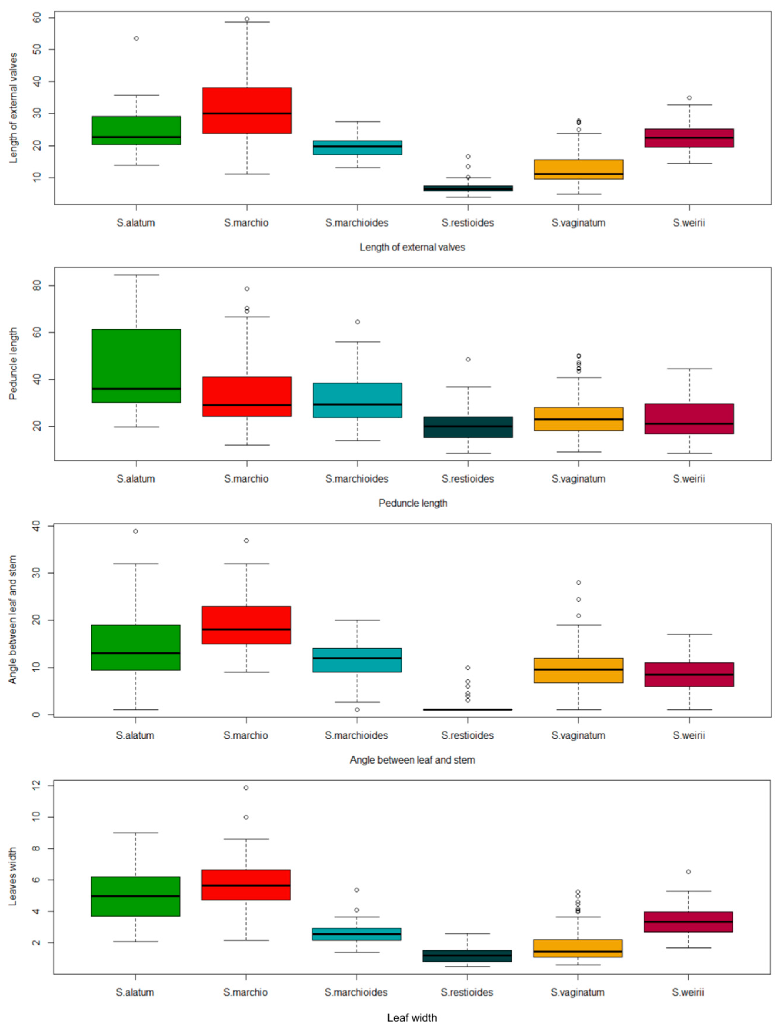
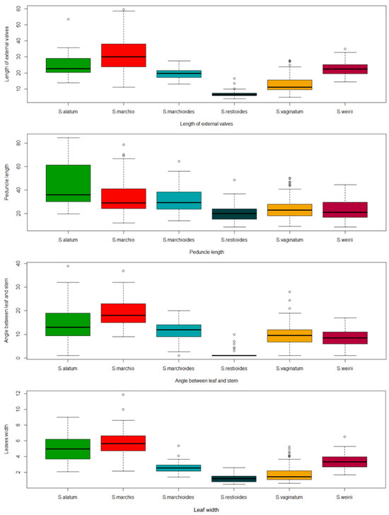
2.1.2. S. vaginatum Complex
3. Discussion
3.1. Morphological Variations
3.2. Conclusions and Reflections on Taxonomy of S. palmifolium and S. vaginatum Complexes
3.3. Conservation of Species Complexes
3.4. The Best Traits to Differentiate Species within the S. palmifolium and S. vaginatum Complexes
4. Materials and Methods
4.1. Plant Material
4.2. Statistical Analyses
5. Conclusions
Supplementary Materials
Author Contributions
Funding
Data Availability Statement
Acknowledgments
Conflicts of Interest
References
- Inácio, C.D.; Chauveau, O.; Souza-Chies, T.T.; Sauquet, H.; Eggers, L. An updated phylogeny and infrageneric classification of the genus Sisyrinchium (Iridaceae): Challenges of molecular and morphological evidence. Taxon 2017, 66, 1317–1348. [Google Scholar] [CrossRef]
- Goldblatt, P.; Manning, J.C. The Iris Family—Natural History and Classification; Timber Press: Portland, OR, USA, 2008. [Google Scholar]
- Thode, V.A.; Inácio, C.D.; Eggers, L.; Reginato, M.; Souza-Chies, T.T. Spatial-temporal evolution and diversification in Sisyrinchium (Iridaceae) with emphasis on abiotic drivers. Bot. J. Linn. Soc. 2022, 199, 93–108. [Google Scholar] [CrossRef]
- Chauveau, O.; Eggers, L.; Raquin, C.; Silvério, A.; Brown, S.; Couloux, A.; Cruaud, C.; Kaltchuk-Santos, E.; Yockteng, R.; Souza-Chies, T.T.; et al. Evolution of oil-producing trichomes in Sisyrinchium (Iridaceae): Insights from the first comprehensive phylogenetic analysis of the genus. Ann. Bot. 2011, 107, 1287–1312. [Google Scholar] [CrossRef]
- Burchardt, P.; Souza-Chies, T.T.; Chauveau, O.; Callegari-Jacques, S.M.; Brisolara-Corrêa, L.; Inácio, C.D.; Eggers, L.; Siljak-Yakovlev, S.; Campos, J.M.S.; Kaltchuk-Santos, E. Cytological and genome size data analyzed in a phylogenetic frame: Evolutionary implications concerning Sisyrinchium taxa (Iridaceae: Iridoideae). Genet. Mol. Bio. 2018, 41, 288–307. [Google Scholar] [CrossRef]
- Pedersen, H.Æ.; Srimuang, K.; Watthana, S. Strengthening the taxonomic backbone of Thai orchid conservation: Genetic fingerprinting and morphometry applied to a species complex in Geodorum. Ann. Bot. 2016, 118, 125–133. [Google Scholar] [CrossRef] [PubMed]
- Vogel Ely, C.; Bordignon, S.A.L.; Trevisan, R.; Boldrini, I.I. Implications of poor taxonomy in conservation. J. Nat. Conserv. 2017, 36, 10–13. [Google Scholar] [CrossRef]
- Buitrago, M.A.A.; Oliveira, F.G.F.; André, T. Accommodating trait overlap and individual variability in species diagnosis of Ischnosiphon (Marantaceae). Bot. J. Linn. Soc. 2020, 194, 469–479. [Google Scholar] [CrossRef]
- Freire, S.E.; Grossi, M.A.; Bayón, N.D.; Monti, C. Morphometric analysis and synopsis of Pseudognaphalium (Gnaphalieae, Asteraceae) in North America. Anais Acad. Brasil. Ciênc. 2022, 94, e20200082. [Google Scholar] [CrossRef]
- Ospina, J.C.; Aagesen, L.; Ariza Espinar, L.; Freire, S.E. Morphometric analyses and new taxonomic circumscription of South American species of Flourensia (Asteraceae, Heliantheae, Enceliinae). Nord. J. Bot. 2018, 36. [Google Scholar] [CrossRef]
- Pinheiro, F.; de Barros, F. Morphometric analysis of the Brasiliorchis picta complex (Orchidaceae). Brazil. J. Bot. 2009, 32, 11–21. [Google Scholar] [CrossRef]
- Di Pietro, R.; Conte, A.L.; Di Marzio, P.; Gianguzzi, L.; Spampinato, G.; Caldarella, O.; Fortini, P. A multivariate morphometric analysis of diagnostic traits in southern Italy and Sicily pubescent oaks. Folia Geobot. 2020, 55, 163–183. [Google Scholar] [CrossRef]
- Bradshaw, A.D. Evolutionary significance of phenotypic plasticity in plants. Adv. Genet. 1965, 13, 115–155. [Google Scholar] [CrossRef]
- Royer, D.L.; Meyerson, L.A.; Robertson, K.M.; Adams, J.M. Phenotypic plasticity of leaf shape along a temperature gradient in Acer rubrum. PLoS ONE 2009, 4, e7653. [Google Scholar] [CrossRef] [PubMed]
- Cope, J.S.; Corney, D.; Clark, J.Y.; Remagnino, P.; Wilkin, P. Plant species identification using digital morphometrics: A review. Expert Syst. Appl. 2012, 39, 7562–7573. [Google Scholar] [CrossRef]
- Aita, A.M. Estudos em Sisyrinchium L. sec. Hydastylus Ravenna (Iridaceae) Ocorrentes na região sul do Brasil. Master’s Thesis, Federal University of Rio Grande do Sul, Porto Alegre, Brazil, 2013. [Google Scholar]
- Eggers, L.; Inácio, C.D. Sisyrinchium. In Flora e Funga do Brasil 2020. Jardim Botânico do Rio de Janeiro. Available online: https://floradobrasil.jbrj.gov.br/FB8066 (accessed on 11 April 2023).
- Dayrat, B. Towards integrative taxonomy. Biol. J. Linn. Soc. 2005, 85, 407–415. [Google Scholar] [CrossRef]
- Schlick-Steiner, B.C.; Steiner, F.M.; Seifert, B.; Stauffer, C.; Christian, E.; Crozier, R.H. Integrative taxonomy: A multisource approach to exploring biodiversity. Annu. Rev. Entomol. 2010, 55, 421–438. [Google Scholar] [CrossRef] [PubMed]
- Nery, E.K.; Matchin-Viera, M.E.; Camacho, O.; Caddah, M.K.; Fiaschi, P. Delimiting a constellation: Integrative taxonomy of a star-shaped Hydrocotyle species complex (Araliaceae) from the Brazilian Atlantic forest. Plant Syst. Evol. 2020, 306, 57. [Google Scholar] [CrossRef]
- Christ, A.L.; Saraiva, D.D.; Nakajima, J.N.; Ritter, M.R. Morphometric studies suggest taxonomic changes in a species complex in Chromolaena (Asteraceae, Eupatorieae, Praxelinae). Acta Bot. Bras. 2022, 37, e20220126. [Google Scholar] [CrossRef]
- Hodač, L.; Karbstein, K.; Tomasello, S.; Wäldchen, J.; Bradican, J.P.; Hörandl, E. Geometric morphometric versus genomic patterns in a large polyploid plant species complex. Biology 2023, 12, 418. [Google Scholar] [CrossRef]
- Iglésias, S.P.; Toulhoat, L.; Sellos, D.Y. Taxonomic confusion and market mislabelling of threatened skates: Important consequences for their conservation status. Aquat. Conserv. 2010, 20, 319–333. [Google Scholar] [CrossRef]
- Singh, S.K.; Shukla, P.K.; Brunton, D.F.; Dubey, N.K.; Shukla, S.K. The taxonomy and conservation status of Isoetes (Isoetaceae; Lycopodiopsida) in India. Bot. Let. 2021, 168, 200–226. [Google Scholar] [CrossRef]
- Iganci, J.R.; Heiden, G.; Miotto, S.T.S.; Pennington, R.T. Campos de Cima da Serra: The Brazilian Subtropical Highland Grasslands show an unexpected level of plant endemism. Bot. J. Lin. Soc. 2011, 167, 378–393. [Google Scholar] [CrossRef]
- Overbeck, G.E.; Müller, S.C.; Fidelis, A.; Pfadenhauer, J.; Pillar, V.D.; Blanco, C.C.; Boldrini, I.I.; Both, R.; Forneck, E.D. Brazil’s neglected biome: The South Brazilian Campos. Perspect. Plant Ecol. Evol. Syst. 2007, 9, 101–116. [Google Scholar] [CrossRef]
- Baveja, P.; Garg, K.M.; Chattopadhyay, B.; Sadanandan, K.R.; Prawiradilaga, D.M.; Yuda, P.; Lee, J.G.H.; Rheindt, F.E. Using historical genome-wide DNA to unravel the confused taxonomy in a songbird lineage that is extinct in the wild. Evolut. Appl. 2021, 14, 698–709. [Google Scholar] [CrossRef]
- Thiers, B. Index Herbariorum: A global Directory of Public Herbaria and Associated Staff. 2014 (Updated Continuously). New York Botanical Garden’s Virtual Herbarium. Available online: http://sweetgum.nybg.org/ih/ (accessed on 22 August 2023).
- Rasband, W.S. ImageJ; WWW Document; National Institutes of Health: Bethesda, MD, USA, 2004. Available online: http://rsb.info.nih.gov/ij/ (accessed on 11 April 2023).
- R Core Team. R: A Language and Environment for Statistical Computing; R Foundation for Statistical Computing: Vienna, Austria, 2017; Available online: https://www.R-project.Org (accessed on 30 August 2023).
- RStudio Team. RStudio: Integrated Development Environment for R, version 2023.03.0+386; RStudio Team: Boston, MA, USA, 2012. Available online: https://www.rstudio.com/authors/rstudio-team/ (accessed on 4 August 2024).
- Sievert, C. Interactive Web-Based Data Visualization with R, Plotly, and Shiny; CRC Press: Boca Raton, FL, USA, 2020. [Google Scholar]
- Wickham, H. Ggplot2: Elegant Graphics for Data Analysis; Springer: New York, NY, USA, 2016; Available online: https://ggplot2.tidyverse.org (accessed on 25 August 2023).












| Characteristics | PC1 | PC2 | PC3 |
|---|---|---|---|
| Number of branches of the synflorescence | 0.26393173 | −0.1293314576 | 0.25858155 |
| Internodes length | 0.21881160 | −0.2108151785 | 0.30092770 |
| Number of riphidia | 0.28613424 | −0.1218110926 | −0.18568730 |
| Number of flowers of riphidia | −0.01125737 | −0.0001886164 | 0.07730613 |
| Peduncle length | 0.29943317 | −0.2235140373 | 0.13328926 |
| Pedicel length | −0.26263855 | −0.2858817375 | −0.03661673 |
| Length of internal valves | −0.30123103 | −0.2827349928 | −0.08139746 |
| Length of external valves | −0.32243421 | −0.2314137830 | −0.23116434 |
| Width of internal valves | −0.24307346 | −0.3154324918 | 0.04623862 |
| Width of external valves | −0.26986043 | −0.2777715479 | −0.16862665 |
| Size of two joined valves | −0.18747736 | −0.2973418950 | 0.01693555 |
| Leaf width | 0.20291834 | −0.3700587398 | 0.21177190 |
| Leaf length | 0.26980714 | −0.2018769742 | −0.45380676 |
| Number of veins | 0.21997821 | −0.0114469118 | −0.52189021 |
| Characteristics | PC1 | PC2 | PC3 |
|---|---|---|---|
| Number of flowers of riphidia | 0.13747231 | 0.20677842 | −0.523204889 |
| Peduncle length | 0.19718643 | 0.40077302 | −0.258379586 |
| Pedicel length | 0.29410032 | 0.05974957 | −0.250559244 |
| Length of internal valves | 0.33210837 | −0.08510362 | −0.036316885 |
| Length of external valves | 0.33334844 | −0.10676165 | 0.011967134 |
| Width of internal valves | 0.28139431 | −0.16703078 | 0.002089995 |
| Width of external valves | 0.31966706 | −0.16350917 | 0.018683360 |
| Size of two joined valves | 0.32647305 | −0.09413432 | −0.043390886 |
| Leaf width | 0.31895217 | −0.07154315 | 0.140598129 |
| Leaf length | 0.31336980 | 0.02994528 | 0.271932743 |
| Sheath length | 0.28884497 | 0.19045932 | 0.261101260 |
| Angle between leaf and stem | 0.19946581 | −0.23482510 | 0.136877383 |
| Stem width | 0.12046894 | 0.00995878 | −0.359408787 |
| Stem length | 0.05611134 | 0.50647910 | 0.524575889 |
| Most Confusing Species | Can Be Distinguished by |
|---|---|
| S. alatum vs. S. vaginatum, S. marchioides and S. weirii | -Larger leaves in length: S. alatum 23.43–76.79 mm vs. S. vaginatum 5.3–46.18 mm; S. marchioides 16.04–53.85 mm and S. weirii 20.5–53.78 mm (rarely 57.4 mm); -Larger leaves in width: S. alatum 2.08–9 mm vs. S. vaginatum 0.59–4.96 mm; S. marchioides 1.4–4.07 mm (rarely 5.36 mm) and S. weirii 1.7–5.3 mm; -Greater angle in relation to the stem (2.5–39 °C rarely 1) (Figure 10B) vs. S. vaginatum (1–28 °C); S. marchioides (1–20 °C) and S. weirii (1–17 °C). |
| S. bromelioides vs. S. palmifolium | Differs by its robust size in S. bromelioides. -S. bromelioides length peduncle: 35–71 cm vs. S. palmifolium 1.9–42.93 cm; -S. bromelioides length floriferous stem: 150–248 vs. S. palmifolium, generally 16–122.5 cm (rarely 9.95 cm); -S. bromelioides leaf length: 114–160 cm vs. S. palmifolium 8.8–121; -S. bromelioides branched paniculate or elongated spiciform synflorescence vs. S. palmifolium are corimbiform pseudolateral (Figure 11E). |
| S. coalitum vs. S. congestum | -S. coalitum attenuated leaf margin vs. S. congestum thickened leaf margin; -S. coalitum glabrous leaf surface vs. S. congestum presence of papillae on the leaf surface; -S. coalitum apparent membranous bracteoles in the synflorescence (Figure 11D) vs. S. congestum absence of membranous bracteoles in the synflorescences and pseudolateral congested synflorescence. |
| S. marginatum vs. S. palmifolium | -S. marginatum shiny leaves vs. S. palmifolium matte leaves; -S. marginatum congested synflorescences (Figure 11F) vs. S. palmifolium pseudolateral corimbiforme synflorescences (Figure 11B). |
| S. marchio vs. S. alatum | More studies need to be conducted between S. alatum and S. marchio. Based on the current evidence, they appear to be the same species. |
| S. marchioides vs. S. weirii | -Leaf width: S. marchioides (1.4–4.07 mm (rarely 5.36 mm) vs. S. weirii (1.97–5.3 mm (rarely 6.52)); -External valve length: S. marchioides (12.98–27.58) vs. S. weirii (14.5–34.99 mm). |
| S. plicatulum vs. S. palmifolium | -S. plicatulum plicated leaves (Figure 10A) vs. S. palmifolium smooth leaves; -S. plicatulum winged floriferous stem which reflects on a greater sheet width vs. S. palmifolium non-winged floriferous stem. |
| S. restioides vs. S. vaginatum | -S. restioides nearly linear leaves attached to the stem (Figure 10E) that results in a small angle (1 °C) vs. S. vaginatum with a generally larger angle; -S. restioides leaf width (0.48–2.6 mm) vs. S. vaginatum leaf width (0.59–5.25 mm). |
| S. vaginatum vs. S. alatum, S. restioides, S. marchioides and S. weirii | -Leaves shaped like sickles adhered to the stem vs. S. alatum and S. weirii that have leaves with other types of shapes. |
| S. weirii vs. S. marchioides | -S. weirii presence of prominent veins on both sides of the spathe valves vs. S. marchioides absence of prominent veins. |
| S. wettsteinii vs. S. marginatum | -S. wettsteinii presence of papillae between leaf veins (Figure 10F) vs. S. marginatum absence of papillae; -S. wettsteinii up to 0.61 cm wide vs. S. marginatum 0.3–1.1 cm. |
| S. palmifolium Complex | S. vaginatum Complex |
|---|---|
| Number of flowers of riphidia | Number of flowers of riphidia |
| Internode length (mm) | Internode length (mm) |
| Pedicel length (mm) | Pedicel length (mm) |
| Length of internal valves (mm) | Length of internal valves (mm) |
| Length of external valves (mm) | Length of external valves (mm) |
| Width of internal valves (mm) | Width of internal valves (mm) |
| Width of external valves (mm) | Width of external valves (mm) |
| Size of two joined valves (mm) | Size of two joined valves (mm) |
| Leaf width (mm) | Leaf width (mm) |
| Leaf length (cm) | Leaf length (mm) |
| Peduncle length (cm) | Peduncle length (mm) |
| Number of veins | Angle between leaf and stem (degrees) |
| Floriferous stem width (mm) | Stem width (mm) |
| Floriferous stem length (cm) | Stem length (mm) |
| Number of riphidia | Sheath length (mm) |
| Number of branches of the inflorescence |
Disclaimer/Publisher’s Note: The statements, opinions and data contained in all publications are solely those of the individual author(s) and contributor(s) and not of MDPI and/or the editor(s). MDPI and/or the editor(s) disclaim responsibility for any injury to people or property resulting from any ideas, methods, instructions or products referred to in the content. |
© 2024 by the authors. Licensee MDPI, Basel, Switzerland. This article is an open access article distributed under the terms and conditions of the Creative Commons Attribution (CC BY) license (https://creativecommons.org/licenses/by/4.0/).
Share and Cite
Dani, J.G.; Inácio, C.D.; Souza-Chies, T.T. On the Trail of Morphological Traits: Morphometry Helps to Clarify Morphological Variation in Section Viperella (Sisyrinchium). Plants 2024, 13, 2183. https://doi.org/10.3390/plants13162183
Dani JG, Inácio CD, Souza-Chies TT. On the Trail of Morphological Traits: Morphometry Helps to Clarify Morphological Variation in Section Viperella (Sisyrinchium). Plants. 2024; 13(16):2183. https://doi.org/10.3390/plants13162183
Chicago/Turabian StyleDani, Julia Gabriele, Camila Dellanhese Inácio, and Tatiana T. Souza-Chies. 2024. "On the Trail of Morphological Traits: Morphometry Helps to Clarify Morphological Variation in Section Viperella (Sisyrinchium)" Plants 13, no. 16: 2183. https://doi.org/10.3390/plants13162183
APA StyleDani, J. G., Inácio, C. D., & Souza-Chies, T. T. (2024). On the Trail of Morphological Traits: Morphometry Helps to Clarify Morphological Variation in Section Viperella (Sisyrinchium). Plants, 13(16), 2183. https://doi.org/10.3390/plants13162183

