Metabolomic Analyses Reveal That IAA from Serratia marcescens Lkbn100 Promotes Plant Defense during Infection of Fusarium graminearum in Sorghum
Abstract
1. Introduction
2. Results
2.1. Identification of Serratia marcescens Isolate LnKb100
2.2. Impact of IAA-Rich Metabolites from Biocontrol Bacterium Lnkb100 on Plant Health and Disease Management
2.3. Analysis of the Metabolomic Characteristics of All Samples
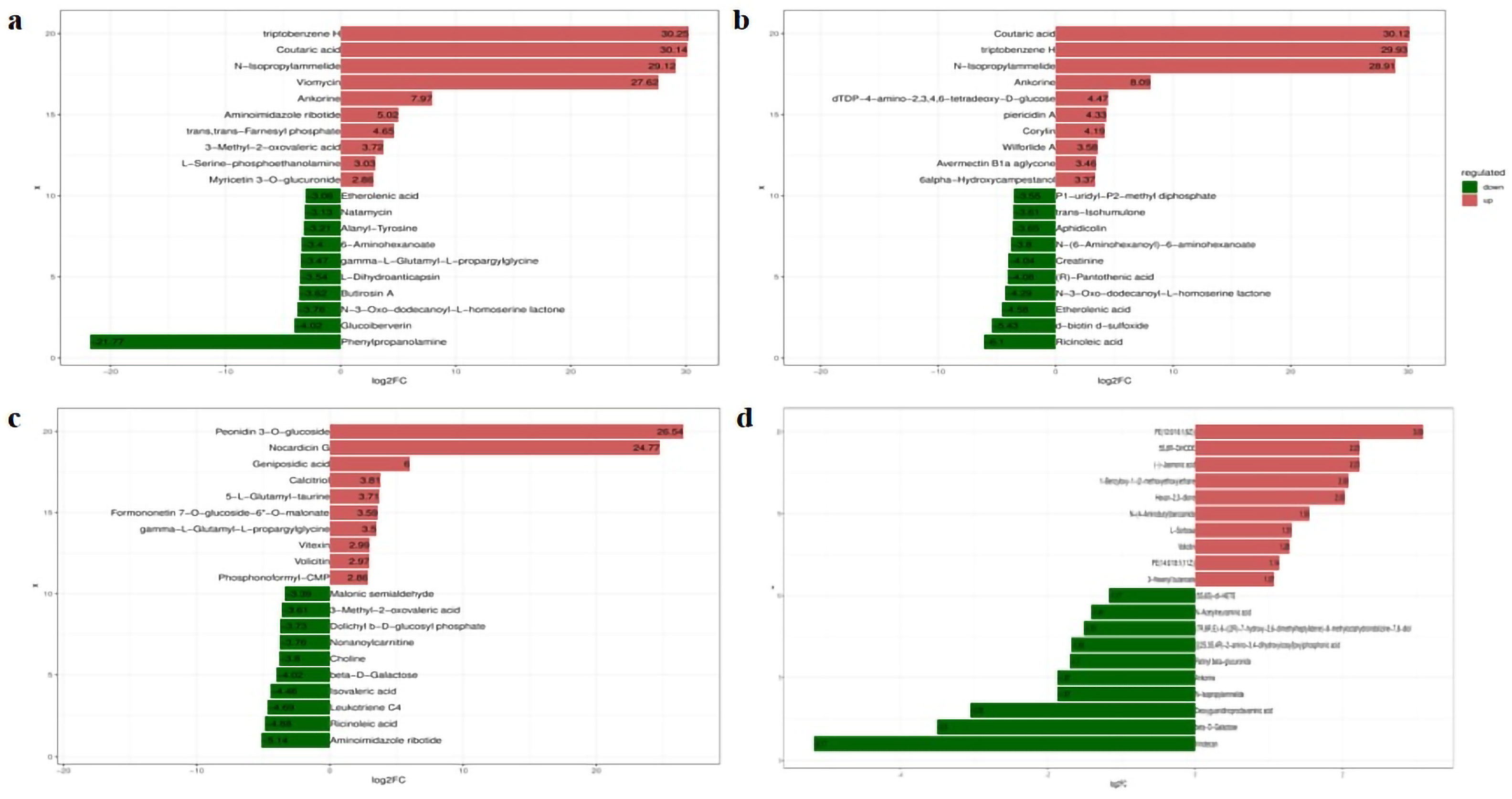
2.4. Metabolites with Significant Differential Expression in Metabolomic Analysis
2.5. Metabolic Pathway Enrichment Analysis
3. Discussion
4. Materials and Methods
4.1. Molecular Identification of Biocontrol Bacteria
4.2. Microorganisms and Plant Samples
4.3. Field and Laboratory Experiments
4.3.1. Laboratory Experiment
4.3.2. Field Experiment
4.4. Hormone Detection in Biocontrol Bacteria
4.5. IAA Regulated Sorghum Resistant Fusarium
4.5.1. Promotion of Growth and Disease Resistance by IAA in Laboratory Experiment
4.5.2. Regulation of Enzymes Activity by IAA in Sorgum Artifically Inoculated with Fusarium graminearum
4.6. Metabolomic Analysis
4.7. Statistical Analysis
5. Conclusions
Supplementary Materials
Author Contributions
Funding
Data Availability Statement
Conflicts of Interest
References
- Ahn, E.; Fan, F.; Magill, C. Effect of Leaf Age, Leaf Segments and Surface Treatments on Pathogenicity Levels of Colletotrichum sublineola in Sorghum and Johnson Grass. Crops 2021, 1, 111–117. [Google Scholar] [CrossRef]
- Yan, P.; Song, Y.H.; Zhang, K.Y.; Zhang, F.; Tang, Y.J.; Zhao, X.N.; Li, G.Y. Interaction of genotype-ecological type-plant spacing configuration in sorghum [Sorghum bicolor (L.) Moench] in China. Front. Plant Sci. 2023, 13, 1076854. [Google Scholar] [CrossRef] [PubMed]
- Ayaz, M.; Li, C.H.; Ali, Q.; Zhao, W.; Chi, Y.K.; Shafiq, M.; Huang, W.K. Bacterial and Fungal Biocontrol Agents for Plant Disease Protection: Journey from Lab to Field, Current Status, Challenges, and Global Perspectives. Molecules 2023, 28, 6735. [Google Scholar] [CrossRef] [PubMed]
- Sadeghy, B.; Hatamy, N. Isolation and investigation of extracellular metabolites of Streptomyces sp. for biological control of Fusarium subglutinans, the causal agent of wilting cucumber greenhouse. Arch. Phytopathol. Plant Prot. 2014, 47, 171–177. [Google Scholar] [CrossRef]
- Silva, E.S.; Hassani, H.; Madsen, D.Ø.; Gee, L. Googling fashion: Forecasting fashion consumer behaviour using google trends. Soc. Sci. 2019, 8, 111. [Google Scholar] [CrossRef]
- Arya, A.; Gupta, K.; Chundawat, T.S.; Vaya, D. Biogenic synthesis of copper and silver nanoparticles using green alga Botryococcus braunii and its antimicrobial activity. Bioinorg. Chem. Appl. 2018, 2018, 7879403. [Google Scholar] [CrossRef] [PubMed]
- Rajkumar, M.; Sandhya, S.; Prasad, M.N.V.; Freitas, H. Perspectives of plant-associated microbes in heavy metal phytoremediation. Biotechnol. Adv. 2012, 30, 1562–1574. [Google Scholar] [CrossRef] [PubMed]
- Park, J.Y.; Lee, Y.K.; Lee, D.S.; Yoo, J.E.; Shin, M.S.; Yamabe, N.; Kang, K.S. Abietic acid isolated from pine resin (Resina Pini) enhances angiogenesis in HUVECs and accelerates cutaneous wound healing in mice. J. Ethnopharmacol. 2017, 203, 279–287. [Google Scholar] [CrossRef] [PubMed]
- Li, Y.; Chen, Y.; Fu, Y.; Shao, J.; Liu, Y.; Xuan, W.; Zhang, R. Signal communication during microbial modulation of root system architecture. J. Exp. Bot. 2024, 75, 526–537. [Google Scholar] [CrossRef] [PubMed]
- Carlson, R.; Tugizimana, F.; Steenkamp, P.A.; Dubery, I.A.; Hassen, A.I.; Labuschagne, N. Rhizobacteria-induced systemic tolerance against drought stress in Sorghum bicolor (L.) Moench. Microbiol. Res. 2020, 232, 126388. [Google Scholar] [CrossRef] [PubMed]
- Chakraborti, S.; Bera, K.; Sadhukhan, S.; Dutta, P. Bio-priming of seeds: Plant stress management and its underlying cellular, biochemical and molecular mechanisms. Plant Stress 2022, 3, 100052. [Google Scholar] [CrossRef]
- Nehela, Y.; Mazrou, Y.S.; Alshaal, T.; Rady, A.M.; El-Sherif, A.M.; Omara, A.E.D.; Hafez, E.M. The integrated amendment of sodic-saline soils using biochar and plant growth-promoting rhizobacteria enhances maize (Zea mays L.) resilience to water salinity. Plants 2021, 10, 1960. [Google Scholar] [CrossRef] [PubMed]
- Tanveer, S.; Ilyas, N.; Akhtar, N.; Sayyed, R.Z.; Almalki, W.H. Induction of regulatory mechanisms by plant growth promoting rhizobacteria in crops facing drought stress. Crop Pasture Sci. 2023, 74, 856–870. [Google Scholar] [CrossRef]
- Fu, J.; Liu, H.; Li, Y.; Yu, H.; Li, X.; Xiao, J.; Wang, S. Manipulating broad-spectrum disease resistance by suppressing pathogen-induced auxin accumulation in rice. Plant Physiol. 2011, 155, 589–602. [Google Scholar] [CrossRef]
- Ludwig-Müller, J. Bacteria and fungi controlling plant growth by manipulating auxin: Balance between development and defense. J. Plant Physiol. 2015, 172, 4–12. [Google Scholar] [CrossRef] [PubMed]
- Xux, D.; Liuz, H. A Color Atlas of Sorghum Disease and Pests; Agricultural Science and Technology Press: Beijing, China, 2012; pp. 112–118. (In Chinese) [Google Scholar]
- Wu, D.; Li, P.; Zhou, J.; Gao, M.; Lou, X.; Ran, T.; Xu, D. Identification of a toxic serralysin family protease with unique thermostable property from S. marcescens FS14. Int. J. Biol. Macromol. 2016, 93, 98–106. [Google Scholar] [CrossRef] [PubMed]
- Koo, S.Y.; Cho, K.S. Isolation and characterization of a plant growth-promoting rhizobacterium, Serratia sp. SY5. J. Microbiol. Biotechnol. 2009, 19, 1431–1438. [Google Scholar] [PubMed]
- Khan, S.; Iqbal, T.; Ahmed, N.; Jamil, A. Antioxidant, hemolytic and mutagenic potential of Psoralea corylifolia. J. Anim. Plant Sci. 2015, 5, 1451–1456. [Google Scholar]
- Misra, N.; Gupta, G.; Jha, P.N. Assessment of mineral phosphate-solubilizing properties and molecular characterization of zinc-tolerant bacteria. J. Basic Microbiol. 2012, 52, 549–558. [Google Scholar] [CrossRef] [PubMed]
- Thomas, L.; Thomas, G.V. Priya George, Alka Gupta, Murali Gopal. World J. Microbiol. Biotechnol. 2013, 29, 109–117. [Google Scholar]
- Aydi-Ben-Abdallah, R.; Jabnoun-Khiareddine, H.; Daami-Remadi, M. Fusarium wilt biocontrol and tomato growth stimulation, using endophytic bacteria naturally associated with Solanum sodomaeum and S. bonariense plants. Egypt. J. Biol. Pest Control 2020, 30, 113. [Google Scholar] [CrossRef]
- Guo, Z.; Zhang, X.; Wu, J.; Yu, J.; Xu, M.; Chen, D.; Wan, S. In vitro inhibitory effect of the bacterium Serratia marcescens on Fusarium proliferatum growth and fumonisins production. Biol. Control 2020, 143, 104188. [Google Scholar] [CrossRef]
- Kharat, B.A.; Said, M.S.; Dastager, S.G. Antifungal compound from marine Serratia marcescens BKACT and its potential activity against Fusarium sp. Int. Microbiol. 2022, 25, 851–862. [Google Scholar] [CrossRef] [PubMed]
- Sriwati, R.; Maulidia, V.; Intan, N.; Oktarina, H.; Khairan, K.; Skala, L.; Mahmud, T. Endophytic bacteria as biological agents to control fusarium wilt disease and promote tomato plant growth. Physiol. Mol. Plant Pathol. 2023, 125, 101994. [Google Scholar] [CrossRef]
- Li, Z.X.; Yang, S.; Wang, X.; Liao, Q.H.; Zhang, W.L.; Liu, J.; Tang, J.M. Widely targeted metabolomics analysis reveals the effect of exogenous auxin on postharvest resistance to Botrytis cinerea in kiwifruit (Actinidia chinensis L.). Postharvest Biol. Technol. 2023, 195, 112129. [Google Scholar] [CrossRef]
- Zhou, Y.; Huang, L.; Liu, S.; Zhao, M.; Liu, J.; Lin, L.; Liu, K. Physiological and transcriptomic analysis of IAA-induced antioxidant defense and cell wall metabolism in postharvest mango fruit. Food Res. Int. 2023, 174, 113504. [Google Scholar] [CrossRef] [PubMed]
- Gottlieb, D. The production and role of antibiotics in soil. J. Antibiot. 1976, 29, 987–1000. [Google Scholar] [CrossRef] [PubMed]
- Bryskier, A. (Ed.) Antimicrobial Agents: Antibacterials and Antifungals; Clinical Infectious Diseases; ASM Press: Washington, DC, USA, 2005; Volume 42, p. 1816. [Google Scholar]
- Oklestkova, J.; Rárová, L.; Kvasnica, M.; Strnad, M. Brassinosteroids: Synthesis and biological activities. Phytochem. Rev. 2015, 14, 1053–1072. [Google Scholar] [CrossRef]
- Dahlin, P.; Müller, M.C.; Ekengren, S.; McKee, L.S.; Bulone, V. The impact of steroidal glycoalkaloids on the physiology of Phytophthora infestans, the causative agent of potato late blight. Mol. Plant-Microbe Interact. 2017, 30, 531–542. [Google Scholar] [CrossRef] [PubMed]
- Shull, T.E.; Kurepa, J.; Miller, R.D.; Martinez-Ochoa, N.; Smalle, J.A. Inhibition of Fusarium oxysporum f. sp. nicotianae Growth by Phenylpropanoid Pathway Intermediates. Plant Pathol. J. 2020, 36, 637. [Google Scholar] [CrossRef]
- Przybylska-Balcerek, A.; Szablewski, T.; Cegielska-Radziejewska, R.; Góral, T.; Kurasiak-Popowska, D.; Stuper-Szablewska, K. Assessment of Antimicrobial Properties of Phenolic Acid Extracts from Grain Infected with Fungi from the Genus Fusarium. Molecules 2022, 27, 1741. [Google Scholar] [CrossRef] [PubMed]
- Rimando, A.M.; Duke, S.O. Natural Products for Pest Management; ACS Publications: Washington, DC, USA, 2006. [Google Scholar]
- Robinson, A.F. Nematode management in cotton. In Integrated Management and Biocontrol of Vegetable and Grain Crops Nematodes; Springer: New York, NY, USA, 2008; pp. 149–182. [Google Scholar]
- Da Silva, M.P.; Tylka, G.L.; Munkvold, G.P. Seed treatment effects on maize seedlings coinfected with Fusarium spp. and Pratylenchus penetrans. Plant Dis. 2016, 100, 431–437. [Google Scholar] [CrossRef] [PubMed]
- Xu, W.; Wang, H.; Lv, Z. Antifungal activity and functional components of cell-free supernatant from Bacillus amyloliquefaciens LZN01 inhibit Fusarium oxysporum f. sp. niveum growth. Biotechnol. Biotechnol. Equip. 2019, 33, 1042–1052. [Google Scholar] [CrossRef]
- Tang, P.J.; Zhang, Z.H.; Niu, L.L.; Gu, C.B.; Zheng, W.Y.; Cui, H.C.; Yuan, X.H. Fusarium solani G6, a novel vitexin-producing endophytic fungus: Characterization, yield improvement and osteoblastic proliferation activity. Biotechnol. Lett. 2021, 43, 1371–1383. [Google Scholar] [CrossRef] [PubMed]
- Luciano, J.H.S.; Lima, M.A.S.; Silveira, E.R.; Vasconcelos, I.M.; Fernandes, G.S.; Souza, E.B.D. Antifungal iridoids, triterpenes and phenol compounds from Alibertia myrciifolia Sprunge Ex. Schum. Química Nova 2010, 33, 292–294. [Google Scholar] [CrossRef]
- Kong, L.; Xie, Y.; Hu, L.; Si, J.; Wang, Z. Excessive nitrogen application dampens antioxidant capacity and grain filling in wheat as revealed by metabolic and physiological analyses. Sci. Rep. 2017, 7, 43363. [Google Scholar] [CrossRef] [PubMed]
- Buathong, R.; Chamchumroon, V.; Schinnerl, J.; Bacher, M.; Santimaleeworagun, W.; Kraichak, E.; Vajrodaya, S. Chemovariation and antibacterial activity of extracts and isolated compounds from species of Ixora and Greenea (Ixoroideae, Rubiaceae). PeerJ 2019, 7, e6893. [Google Scholar] [CrossRef] [PubMed]
- Kumar, Y.; Dholakia, B.B.; Panigrahi, P.; Kadoo, N.Y.; Giri, A.P.; Gupta, V.S. Metabolic profiling of chickpea-Fusarium interaction identifies differential modulation of disease resistance pathways. Phytochemistry 2015, 116, 120–129. [Google Scholar] [CrossRef]
- Rizwan, H.M.; Zhimin, L.; Harsonowati, W.; Waheed, A.; Qiang, Y.; Yousef, A.F.; Chen, F. Identification of fungal pathogens to control postharvest passion fruit (Passiflora edulis) decays and multi-omics comparative pathway analysis reveals purple is more resistant to pathogens than a yellow cultivar. J. Fungi 2021, 7, 879. [Google Scholar] [CrossRef] [PubMed]
- Schmelz, E.A.; Engelberth, J.; Alborn, H.T.; Tumlinson, J.H., III; Teal, P.E. Phytohormone-based activity map of insect herbivore-produced elicitors. Proc. Natl. Acad. Sci. USA 2009, 106, 653–657. [Google Scholar] [CrossRef] [PubMed]
- Wu, J.; Baldwin, I.T. Herbivory-induced signalling in plants: Perception and action. Plant Cell Environ. 2009, 32, 1161–1174. [Google Scholar] [CrossRef] [PubMed]
- Halitschke, R.; Schittko, U.; Pohnert, G.; Boland, W.; Baldwin, I.T. Molecular interactions between the specialist herbivore Manduca sexta (Lepidoptera, Sphingidae) and its natural host Nicotiana attenuata. III. Fatty acid-amino acid conjugates in herbivore oral secretions are necessary and sufficient for herbivore-specific plant responses. Plant Physiol. 2001, 125, 711–717. [Google Scholar] [PubMed]
- Lait, C.G.; Alborn, H.T.; Teal, P.E.; Tumlinson III, J.H. Rapid biosynthesis of N-linolenoyl-L-glutamine, an elicitor of plant volatiles, by membrane-associated enzyme (s) in Manduca sexta. Proc. Natl. Acad. Sci. USA 2003, 100, 7027–7032. [Google Scholar] [CrossRef] [PubMed]








| Plant Heigh (cm) | Root Length (cm) | Stem Weight (g) | Root Weight (g) | Disease Severity | Potting Effectiveness % | |
|---|---|---|---|---|---|---|
| CK | 35.79 ± 0.56 a | 5.84 ± 0.59 a | 8.75 ± 0.24 a | 1.78 ± 0.16 a | 5.8 ± 0.43 a | -- |
| NA | 34.46 ± 0.46 b | 5.42 ± 0.63 b | 6.60 ± 0.28 b | 1.41 ± 0.26 b | 4.6 ± 0.38 b | 20.69 |
| Lnkb100 | 32.05 ± 0.37 b | 5.77 ± 0.68 b | 6.82 ± 0.16 b | 1.95 ± 0.42 c | 2.4 ± 0.25 c | 58.62 |
| Treatment | 2022 | 2023 | ||||||
|---|---|---|---|---|---|---|---|---|
| Site 1 | Site 2 | Site 1 | Site 2 | |||||
| Disease Severity | Efficacy (%) | Disease Severity | Efficacy (%) | Disease Severity | Efficacy (%) | Disease Severity | Efficacy (%) | |
| CK | 5.00 ± 0.23 a | -- | 6.20 ± 0.21 a | -- | 6.00 ± 0.34 a | -- | 4.20 ± 0.18 a | -- |
| NA | 4.00 ± 0.16 b | 20.00 | 5.40 ± 0.39 b | 12.90 | 5.00 ± 0.47 b | 16.67 | 3.80 ± 0.24 b | 9.52 |
| Lnkb100 | 1.60 ± 0.27 c | 68.00 | 2.80 ± 0.18 c | 54.84 | 2.80 ± 0.43 c | 53.33 | 1.80 ± 0.38 c | 57.14 |
| Treatment | 2022 | 2023 | ||||||
|---|---|---|---|---|---|---|---|---|
| Site 1 | Site 2 | Site 1 | Site 2 | |||||
| Hundred-Grain Weight (g) | Yield Increase (%) | Hundred-Grain Weight (g) | Yield Increase (%) | Hundred-Grain Weight (g) | Yield Increase (%) | Hundred-Grain Weight (g) | Yield Increase (%) | |
| CK | 2.33 ± 0.21 a | 0.00 | 2.38 ± 0.25 a | 0.00 | 2.24 ± 0.13 a | 0.00 | 2.42 ± 0.24 a | 0.00 |
| NA | 2.34 ± 0.32 a | 0.43 | 2.37 ± 0.36 a | −0.42 | 2.28 ± 0.12 a | 1.79 | 2.43 ± 0.23 a | 0.41 |
| Lnkb100 | 2.54 ± 0.12 b | 9.01 | 2.78 ± 0.21 b | 16.81 | 2.52 ± 0.15 b | 12.50 | 2.77 ± 0.12 b | 14.46 |
| Plant Heigh (cm) | Root Length (cm) | Stem Weight (g) | Root Weight (g) | Disease Severity | Potting Effectiveness % | |
|---|---|---|---|---|---|---|
| CK | 34.57 ± 0.69 a | 6.14 ± 0.62 a | 8.67 ± 0.21 a | 1.20 ± 0.16 a | 5.00 ± 0.33 c | -- |
| IAA1000 | 40.53 ± 0.75 b | 7.51 ± 0.27 c | 9.22 ± 0.28 b | 1.68 ± 0.24 c | 2.33 ± 0.33 b | 45.34 |
| IAA100 | 46.97 ± 0.82 c | 8.60 ± 0.81 d | 8.79 ± 0.24 b | 1.71 ± 0.21 c | 2.33 ± 0.13 b | 45.34 |
| IAA10 | 46.10 ± 0.51 c | 6.40 ± 0.13 b | 8..77 ± 0.42 a | 1.58 ± 0.37 b | 2.33 ± 0.13 b | 45.34 |
| IAA1 | 40.00 ± 0.67 b | 7.97 ± 0.29 c | 9.62 ± 0.25 c | 1.57 ± 0.12 b | 1.00 ± 0.00 a | 80.00 |
| IAA0.1 | 41.83 ± 0.59 c | 8.93 ± 0.37 d | 9.83 ± 0.38 c | 1.45 ± 0.23 b | 1.00 ± 0.00 a | 80.00 |
| Group | Total | Up | Down |
|---|---|---|---|
| CK vs. IAA | 2346 | 90 | 154 |
| CK vs. CKF | 2346 | 221 | 172 |
| IAA vs. IAAF | 2346 | 135 | 105 |
| CKF vs. IAAF | 2346 | 42 | 30 |
Disclaimer/Publisher’s Note: The statements, opinions and data contained in all publications are solely those of the individual author(s) and contributor(s) and not of MDPI and/or the editor(s). MDPI and/or the editor(s) disclaim responsibility for any injury to people or property resulting from any ideas, methods, instructions or products referred to in the content. |
© 2024 by the authors. Licensee MDPI, Basel, Switzerland. This article is an open access article distributed under the terms and conditions of the Creative Commons Attribution (CC BY) license (https://creativecommons.org/licenses/by/4.0/).
Share and Cite
Yan, J.; Qi, N.; Xu, J.; Hu, L.; Jiang, Y.; Bai, Y. Metabolomic Analyses Reveal That IAA from Serratia marcescens Lkbn100 Promotes Plant Defense during Infection of Fusarium graminearum in Sorghum. Plants 2024, 13, 2184. https://doi.org/10.3390/plants13162184
Yan J, Qi N, Xu J, Hu L, Jiang Y, Bai Y. Metabolomic Analyses Reveal That IAA from Serratia marcescens Lkbn100 Promotes Plant Defense during Infection of Fusarium graminearum in Sorghum. Plants. 2024; 13(16):2184. https://doi.org/10.3390/plants13162184
Chicago/Turabian StyleYan, Jichen, Nawei Qi, Jing Xu, Lan Hu, Yu Jiang, and Yuanjun Bai. 2024. "Metabolomic Analyses Reveal That IAA from Serratia marcescens Lkbn100 Promotes Plant Defense during Infection of Fusarium graminearum in Sorghum" Plants 13, no. 16: 2184. https://doi.org/10.3390/plants13162184
APA StyleYan, J., Qi, N., Xu, J., Hu, L., Jiang, Y., & Bai, Y. (2024). Metabolomic Analyses Reveal That IAA from Serratia marcescens Lkbn100 Promotes Plant Defense during Infection of Fusarium graminearum in Sorghum. Plants, 13(16), 2184. https://doi.org/10.3390/plants13162184

