Effects of Substrate Composition on the Growth Traits of Grafted Seedling in Macadamia (Macadamia integrifolia) Nuts
Abstract
1. Introduction
2. Results
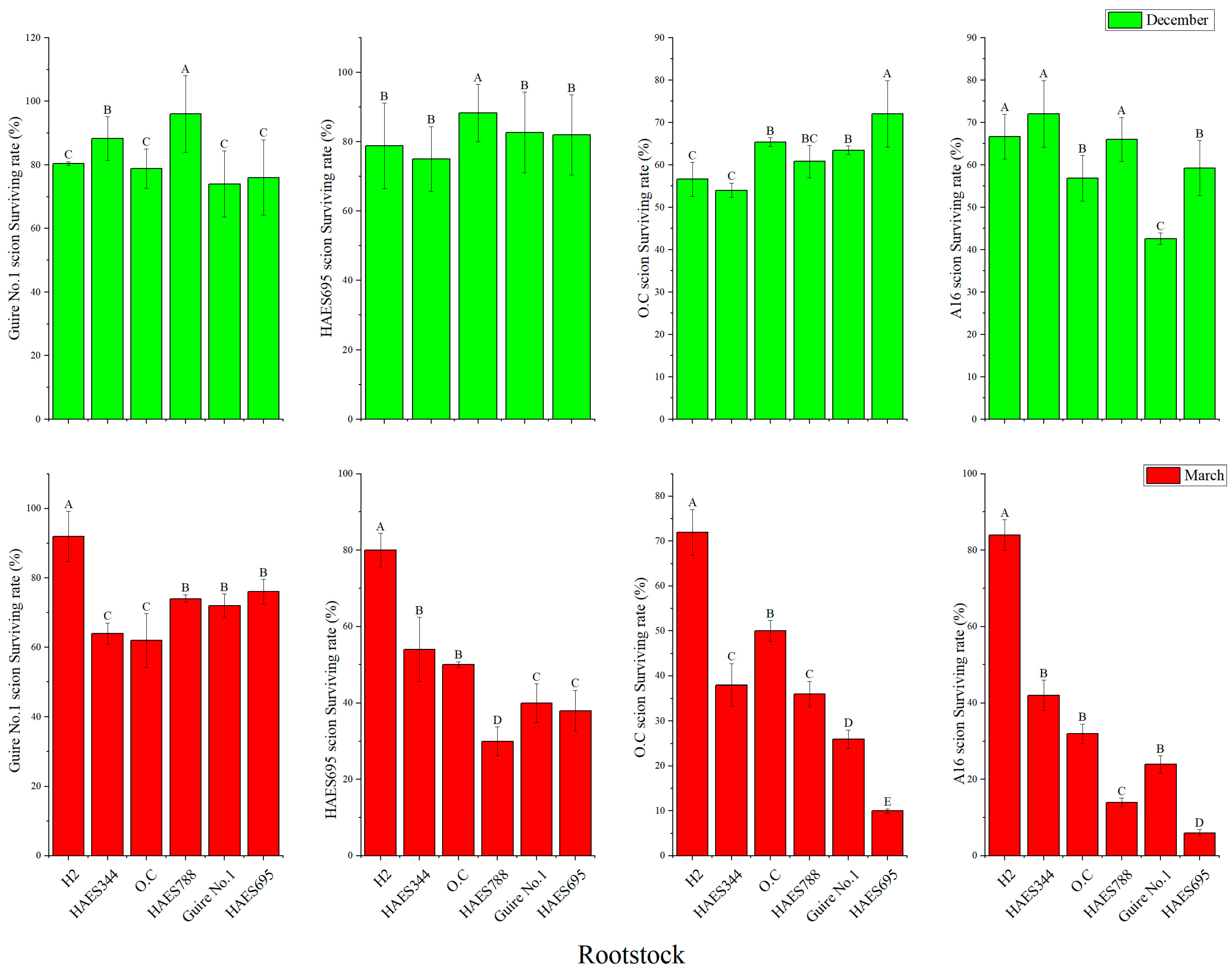
2.1. Effect of Macadamia Scion and Rootstock on Survival Rate of Grafted Plants
2.2. Effect of Different Substrate Composition on the Growth of Grafted Plants
2.2.1. Root Phenotypes of Grafted Plants Cultivated with Different Substrate Compositions
2.2.2. Effect of Substrate Composition on the Growth of Graft Plants
2.2.3. Nutrient Composition Changes in Different Substrate Compositions after 13 Months Planting
3. Discussion
4. Materials and Methods
4.1. Materials
4.2. Seedling Cultivation
4.3. Grafted Seedling Survival Rate Test
4.4. Analysis and Identification of Best Substrate Composition
4.5. Measurement of Substrate Nutrient Composition
4.6. Statistical Analysis
5. Conclusions
Author Contributions
Funding
Data Availability Statement
Conflicts of Interest
References
- Habibi, F.; Liu, T.; Folta, K.; Sarkhosh, A. Physiological, biochemical, and molecular aspects of grafting in fruit trees. Hortic. Res. 2022, 9, uhac032. [Google Scholar] [CrossRef]
- Gisbert-Mullor, R.; Ceccanti, C.; Gara Padilla, Y.; López-Galarza, S.; Calatayud, Á.; Conte, G.; Guidi, L. Effect of Grafting on the Production, Physico-Chemical Characteristics and Nutritional Quality of Fruit from Pepper Landraces. Antioxidants 2020, 9, 501. [Google Scholar] [CrossRef]
- Musa, I.; Rafii, M.Y.; Ahmad, K.; Ramlee, S.I.; Md Hatta, M.A.; Oladosu, Y.; Muhammad, I.; Chukwu, S.C.; Mat Sulaiman, N.N.; Ayanda, A.F.; et al. Effects of Grafting on Morphophysiological and Yield Characteristic of Eggplant (Solanum melongena L.) Grafted onto Wild Relative Rootstocks. Plants 2020, 9, 1583. [Google Scholar] [CrossRef]
- Gibas, C.; Kumari, A.; Kumar, J.; Kumar, A.; Chaudhury, A.; Singh, S.P. Grafting Triggers Differential Responses between Scion and Rootstock. PLoS ONE 2015, 10, e0124438. [Google Scholar] [CrossRef]
- Aslam, A.; Shengjie, Z.; Xuqiang, L.; Nan, H.; Wenge, L. Rootstock mediates transcriptional regulation of citrulline metabolism in grafted watermelon. Braz. J. Biol. 2021, 81, 125–136. [Google Scholar] [CrossRef]
- Dong, D.; Shi, Y.N.; Mou, Z.M.; Chen, S.Y.; Zhao, D.K. Grafting: A potential method to reveal the differential accumulation mechanism of secondary metabolites. Hortic. Res. 2022, 9, uhac050. [Google Scholar] [CrossRef]
- Liu, Z.; Zhu, C.; Sun, J.; Zhang, Z.; Zhao, S.; Shi, W.; Wang, W.; Zhao, B. Influence of rootstock on endogenous hormones and color change in Cabernet Sauvignon grapes. Sci. Rep. 2023, 13, 6608. [Google Scholar] [CrossRef]
- Nazir, F.; Ahmad, T.; Malik, S.I.; Ahmed, M.; Bashir, M.A. Wild grapevines as rootstock regulate the oxidative defense system of in vitro grafted scion varieties under drought stress. PLoS ONE 2022, 17, e0274387. [Google Scholar] [CrossRef]
- Shalaby, T.A.; Taha, N.A.; Rakha, M.T.; El-Beltagi, H.S.; Shehata, W.F.; Ramadan, K.M.A.; El-Ramady, H.; Bayoumi, Y.A. Can Grafting Manage Fusarium Wilt Disease of Cucumber and Increase Productivity under Heat Stress? Plants 2022, 11, 1147. [Google Scholar] [CrossRef]
- Bai, D.; Li, Z.; Gu, S.; Li, Q.; Sun, L.; Qi, X.; Fang, J.; Zhong, Y.; Hu, C. Effects of Kiwifruit Rootstocks with Opposite Tolerance on Physiological Responses of Grafting Combinations under Waterlogging Stress. Plants 2022, 11, 2098. [Google Scholar] [CrossRef]
- Zhou, Y.; Underhill, S.J.R. Total Flavonoid Contents and the Expression of Flavonoid Biosynthetic Genes in Breadfruit (Artocarpus altilis) Scions Growing on Lakoocha (Artocarpus lakoocha) Rootstocks. Plants 2023, 12, 3285. [Google Scholar] [CrossRef]
- Zhao, B.; Liu, Z.; Zhu, C.; Zhang, Z.; Shi, W.; Lu, Q.; Sun, J. Saline-Alkaline Stress Resistance of Cabernet Sauvignon Grapes Grafted on Different Rootstocks and Rootstock Combinations. Plants 2023, 12, 2881. [Google Scholar] [CrossRef]
- Yang, L.; Machin, F.; Wang, S.; Saplaoura, E.; Kragler, F. Heritable transgene-free genome editing in plants by grafting of wild-type shoots to transgenic donor rootstocks. Nat. Biotechnol. 2023, 41, 958–967. [Google Scholar] [CrossRef]
- Vittal, H.; Sharma, N.; Dubey, A.K.; Shivran, M.; Singh, S.K.; Meena, M.C.; Kumar, N.; Sharma, N.; Singh, N.; Pandey, R.; et al. Rootstock-mediated carbohydrate metabolism, nutrient contents, and physiological modifications in regular and alternate mango (Mangifera indica L.) scion varieties. PLoS ONE 2023, 18, e0284910. [Google Scholar] [CrossRef]
- Munck, N.; Smith, J.; Bates, J.; Glass, K.; Hald, T.; Kirk, M.D. Source Attribution of Salmonella in Macadamia Nuts to Animal and Environmental Reservoirs in Queensland, Australia. Foodborne Pathog. Dis. 2020, 17, 357–364. [Google Scholar] [CrossRef]
- Ako, H.; Okuda, D.; Gray, D. Healthful new oil from macadamia nuts. Nutrition 1995, 11, 286–288. [Google Scholar]
- Maguire, L.S.; O’Sullivan, S.M.; Galvin, K.; O’Connor, T.P.; O’Brien, N.M. Fatty acid profile, tocopherol, squalene and phytosterol content of walnuts, almonds, peanuts, hazelnuts and the macadamia nut. Int. J. Food Sci. Nutr. 2004, 55, 171–178. [Google Scholar] [CrossRef]
- Gitea, M.A.; Gitea, D.; Tit, D.M.; Purza, L.; Samuel, A.D.; Bungău, S.; Badea, G.E.; Aleya, L. Orchard management under the effects of climate change: Implications for apple, plum, and almond growing. Environ. Sci. Pollut. Res. 2019, 26, 9908–9915. [Google Scholar] [CrossRef]
- Lin, J.; Zhang, W.; Zhang, X.; Ma, X.; Zhang, S.; Chen, S.; Wang, Y.; Jia, H.; Liao, Z.; Lin, J.; et al. Signatures of selection in recently domesticated macadamia. Nat. Commun. 2022, 13, 242. [Google Scholar] [CrossRef]
- Mai, T.; Alam, M.; Hardner, C.; Henry, R.; Topp, B. Genetic Structure of Wild Germplasm of Macadamia: Species Assignment, Diversity and Phylogeographic Relationships. Plants 2020, 9, 714. [Google Scholar] [CrossRef]
- Gupta, A.; Sar, P. Role of cost-effective organic carbon substrates in bioremediation of acid mine drainage-impacted soil of Malanjkhand Copper Project, India: A biostimulant for autochthonous microbial populations. Environ. Sci. Pollut. Res. Int. 2020, 27, 27407–27421. [Google Scholar] [CrossRef]
- Nuid, M.; Aris, A.; Krishnen, R.; Chelliapan, S.; Muda, K. Pineapple wastewater as co-substrate in treating real alkaline, non-biodegradable textile wastewater using biogranulation technology. J. Environ. Manag. 2023, 344, 118501. [Google Scholar] [CrossRef]
- Hayat, F.; Li, J.; Iqbal, S.; Khan, U.; Ali, N.A.; Peng, Y.; Hong, L.; Asghar, S.; Javed, H.U.; Li, C.; et al. Hormonal Interactions Underlying Rootstock-Induced Vigor Control in Horticultural Crops. Appl. Sci. 2023, 13, 1237. [Google Scholar] [CrossRef]
- Li, M.; Ning, X.P.; Gao, T.T.; Fazry, S.; Othman, B.A.; Najm, A.A.K.; Law, D. Rice husk ash based growing media impact on cucumber and melon growth and quality. Sci. Rep. 2024, 14, 5147. [Google Scholar] [CrossRef]
- Samuel, A.D.; Tit, D.M.; Melinte, C.E.; Iovan, C.; Purza, L.; Gitea, M.; Bungau, S. Enzymological and Physicochemical Evaluation of the Effects of Soil Management Practices. Rev. Chim. 2017, 68, 2243–2247. [Google Scholar] [CrossRef]
- Zhao, X.; Lyu, Y.; Dong, Q.Q.; He, X.Y.; Yue, H.; Yang, L.P.; Tao, L.; Gong, L.D.; Zheng, H.X.; Wen, S.J.; et al. Biomass partitioning and ionomics of Macadamia with high manganese and low phosphorus concentrations. Funct. Plant Biol. 2023, 50, 559–570. [Google Scholar] [CrossRef]
- Wang, P.; Mo, Y.; Wang, Y.; Fei, Y.; Huang, J.; Ni, J.; Xu, Z.F. Macadamia germplasm and genomic database (MacadamiaGGD): A comprehensive platform for germplasm innovation and functional genomics in Macadamia. Front. Plant Sci. 2022, 13, 1007266. [Google Scholar] [CrossRef]
- Zuza, E.J.; Araya, Y.N.; Maseyk, K.; Bhagwat, S.; Brandenburg, R.L.; Emmott, A.; Rawes, W.; Phiri, P.; Mkengala, K.; Kenamu, E. Farmer preference for macadamia varieties and constraints to production in Malawi. PLoS ONE 2024, 19, e0293488. [Google Scholar] [CrossRef]
- Richards, T.E.; Kamper, W.; Trueman, S.J.; Wallace, H.M.; Ogbourne, S.M.; Brooks, P.R.; Nichols, J.; Hosseini Bai, S. Relationships between Nut Size, Kernel Quality, Nutritional Composition and Levels of Outcrossing in Three Macadamia Cultivars. Plants 2020, 9, 228. [Google Scholar] [CrossRef]
- Nock, C.J.; Baten, A.; Mauleon, R.; Langdon, K.S.; Topp, B.; Hardner, C.; Furtado, A.; Henry, R.J.; King, G.J. Chromosome-Scale Assembly and Annotation of the Macadamia Genome (Macadamia integrifolia HAES 741). G3 2020, 10, 3497–3504. [Google Scholar] [CrossRef]
- O’Connor, K.; Hayes, B.; Hardner, C.; Nock, C.; Baten, A.; Alam, M.; Henry, R.; Topp, B. Genome-wide association studies for yield component traits in a macadamia breeding population. BMC Genom. 2020, 21, 199. [Google Scholar] [CrossRef]
- Trueman, S.J.; Kamper, W.; Nichols, J.; Ogbourne, S.M.; Hawkes, D.; Peters, T.; Hosseini Bai, S.; Wallace, H.M. Pollen limitation and xenia effects in a cultivated mass-flowering tree, Macadamia integrifolia (Proteaceae). Ann. Bot. 2022, 129, 135–146. [Google Scholar] [CrossRef]
- Kumar, R.; Bakshi, P.; Kumar, V.; Kour, K.; Sharma, R.; Sharma, N.; Sinha, B.K.; Raina, V.; Deepjibhat; Khajuria, S. Influence of different rootstocks on Physico-Chemical Quality attributes of Kinnow mandarin. Agric. Mech. Asia 2022, 53, 7809–7813. [Google Scholar]
- Hayat, F.; Iqbal, S.; Coulibaly, D.; Razzaq, M.K.; Nawaz, M.A.; Jiang, W.; Shi, T.; Gao, Z. An insight into dwarfing mechanism: Contribution of scion-rootstock interactions toward fruit crop improvement. Fruit Res. 2021, 1, 3. [Google Scholar] [CrossRef]
- Ramirez-Villacis, D.X.; Erazo-Garcia, P.; Quijia-Pillajo, J.; Llerena-Llerena, S.; Barriga-Medina, N.; Jones, C.D.; Leon-Reyes, A. Influence of Grafting on Rootstock Rhizosphere Microbiome Assembly in Rosa sp. ‘Natal Brier’. Biology 2023, 12, 663. [Google Scholar] [CrossRef]
- Ahamad, B. Effect of rootstock on growth and water use efficiency of Hevea during water stress. J. Rubber Res. 1999, 2, 99–119. [Google Scholar]
- Aliaño-González, M.J.; Gabaston, J.; Ortiz-Somovilla, V.; Cantos-Villar, E. Wood Waste from Fruit Trees: Biomolecules and Their Applications in Agri-Food Industry. Biomolecules 2022, 12, 238. [Google Scholar] [CrossRef]
- Cambardella, C.A.; Elliott, E.T. Particulate Soil Organic-Matter Changes across a Grassland Cultivation Sequence. Soil. Sci. Soc. Am. J. 1992, 56, 777–783. [Google Scholar] [CrossRef]
- Si, P.; Shao, W.; Yu, H.; Yang, X.; Gao, D.; Qiao, X.; Wang, Z.; Wu, G. Rhizosphere Microenvironments of Eight Common Deciduous Fruit Trees Were Shaped by Microbes in Northern China. Front. Microbiol. 2018, 9, 3147. [Google Scholar] [CrossRef]
- Nelson, A.R.; Fegel, T.S.; Danczak, R.E.; Caiafa, M.V.; Roth, H.K.; Dunn, O.I.; Turvold, C.A.; Borch, T.; Glassman, S.I.; Barnes, R.T.; et al. Soil microbiome feedbacks during disturbance-driven forest ecosystem conversion. ISME J. 2024, 18, wrae047. [Google Scholar] [CrossRef]
- Lim Kim Choo, L.N.; Ahmed, O.H. Partitioning carbon dioxide emission and assessing dissolved organic carbon leaching of a drained peatland cultivated with pineapple at Saratok, Malaysia. Sci. World J. 2014, 2014, 906021. [Google Scholar] [CrossRef]
- Xia, C.X.; Jiang, S.R.; Tan, Q.J.; Wang, W.Q.; Zhao, L.; Zhang, C.J.; Bao, Y.T.; Liu, Q.; Xiao, J.J.; Deng, K.; et al. Chromosomal-level genome of macadamia (Macadamia integrifolia). Trop. Plants 2022, 1, 3. [Google Scholar] [CrossRef]
- Potdar, R.P.; Shirolkar, M.M.; Verma, A.J.; More, P.S.; Kulkarni, A. Determination of soil nutrients (NPK) using optical methods: A mini review. J. Plant Nutr. 2021, 44, 1826–1839. [Google Scholar] [CrossRef]
- Ma, J.; Yuan, Y.; Zhou, T.; Yuan, D. Determination of total phosphorus in natural waters with a simple neutral digestion method using sodium persulfate. Limnol. Oceanogr. Methods 2017, 15, 372–380. [Google Scholar] [CrossRef]





| Proportion | Peat Soil | Perlite | Wood Bran | Loess | |
|---|---|---|---|---|---|
| Substrates | |||||
| CK | 0 | 0 | 0 | 10 | |
| T1 | 6 | 1 | 1 | 2 | |
| T2 | 6 | 1 | 2 | 1 | |
| T3 | 6 | 2 | 1 | 1 | |
| T4 | 5 | 1 | 1 | 3 | |
| T5 | 5 | 1 | 3 | 1 | |
| T6 | 5 | 3 | 1 | 1 | |
| T7 | 5 | 1 | 2 | 2 | |
| T8 | 5 | 2 | 1 | 2 | |
| T9 | 5 | 2 | 2 | 1 | |
| T10 | 4 | 2 | 2 | 2 | |
| T11 | 4 | 1 | 2 | 3 | |
| T12 | 4 | 2 | 1 | 3 | |
| T13 | 4 | 2 | 3 | 1 | |
| T14 | 4 | 3 | 2 | 1 | |
| T15 | 4 | 3 | 1 | 2 | |
| T16 | 4 | 1 | 3 | 2 | |
Disclaimer/Publisher’s Note: The statements, opinions and data contained in all publications are solely those of the individual author(s) and contributor(s) and not of MDPI and/or the editor(s). MDPI and/or the editor(s) disclaim responsibility for any injury to people or property resulting from any ideas, methods, instructions or products referred to in the content. |
© 2024 by the authors. Licensee MDPI, Basel, Switzerland. This article is an open access article distributed under the terms and conditions of the Creative Commons Attribution (CC BY) license (https://creativecommons.org/licenses/by/4.0/).
Share and Cite
Tan, Q.; Zhou, C.; Xu, P.; Huang, X.; Pan, Z.; Wei, Y.; Wang, W.; Wang, L. Effects of Substrate Composition on the Growth Traits of Grafted Seedling in Macadamia (Macadamia integrifolia) Nuts. Plants 2024, 13, 1700. https://doi.org/10.3390/plants13121700
Tan Q, Zhou C, Xu P, Huang X, Pan Z, Wei Y, Wang W, Wang L. Effects of Substrate Composition on the Growth Traits of Grafted Seedling in Macadamia (Macadamia integrifolia) Nuts. Plants. 2024; 13(12):1700. https://doi.org/10.3390/plants13121700
Chicago/Turabian StyleTan, Qiujin, Chunheng Zhou, Peng Xu, Xiyun Huang, Zhenzhen Pan, Yuanrong Wei, Wenlin Wang, and Lifeng Wang. 2024. "Effects of Substrate Composition on the Growth Traits of Grafted Seedling in Macadamia (Macadamia integrifolia) Nuts" Plants 13, no. 12: 1700. https://doi.org/10.3390/plants13121700
APA StyleTan, Q., Zhou, C., Xu, P., Huang, X., Pan, Z., Wei, Y., Wang, W., & Wang, L. (2024). Effects of Substrate Composition on the Growth Traits of Grafted Seedling in Macadamia (Macadamia integrifolia) Nuts. Plants, 13(12), 1700. https://doi.org/10.3390/plants13121700

