Genome-Wide Identification of the Cation/Proton Antiporter (CPA) Gene Family and Functional Analysis of AtrNHX8 under Salt Stress
Abstract
1. Introduction
2. Results
2.1. Identification of Cation–Proton Antiporter Gene Family Members and Analyses of Physicochemical Properties
2.2. Motif Composition, Conserved Domains, and Gene Structure
2.3. Promoter Element Analysis
2.4. Chromosomal Localization and Synteny Analysis of AtrCPAs
2.5. Protein Interaction Analysis
2.6. Phylogenetic Analysis of NHXs
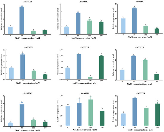
2.7. qRT-PCR Analysis of AtrNHXs under Salt Stress
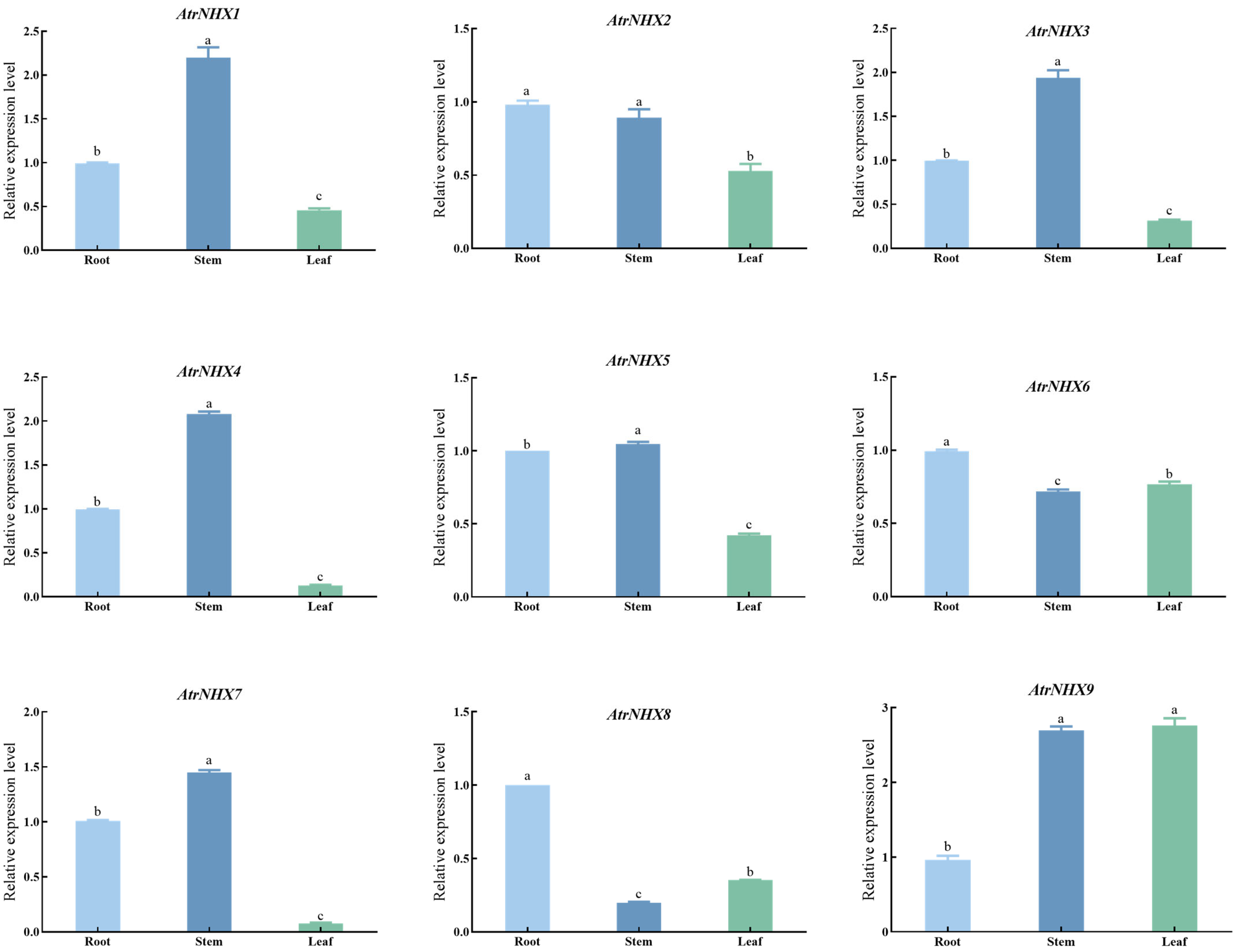
2.8. Analysis of AtrNHX Gene Expression in Different Tissues of Amaranth
2.9. Overexpression of AtrNHX8 Enhances Salt Tolerance in Arabidopsis
2.10. AtrNHX8 Could Promote Flowering in Arabidopsis thaliana
3. Discussion
4. Materials and Methods
4.1. Identification of and Characterization NHX Gene Family Members in Amaranthus tricolor
4.2. Gene Structure, Motif Composition, and Promoter Analyses
4.3. Chromosomal Localization and Synteny Analyses
4.4. Sequence Alignment and Phylogenetic Analysis of NHXs
4.5. Plant Material, Treatment, and qRT-PCR Analysis
4.6. Functional Analysis of AtrNHX8
4.7. Statistical Analyses
5. Conclusions
Supplementary Materials
Author Contributions
Funding
Data Availability Statement
Conflicts of Interest
References
- Sarker, U.; Oba, S. Augmentation of leaf color parameters, pigments, vitamins, phenolic acids, flavonoids and antioxidant activity in selected Amaranthus tricolor under salinity stress. Sci. Rep. 2018, 8, 12349. [Google Scholar] [CrossRef]
- Liu, S.; Zheng, X.; Pan, J.; Peng, L.; Cheng, C.; Wang, X.; Zhao, C.; Zhang, Z.; Lin, Y.; Xuhan, X. RNA-sequencing analysis reveals betalains metabolism in the leaf of Amaranthus tricolor L. PLoS ONE 2019, 14, e0216001. [Google Scholar] [CrossRef]
- Liu, S.; Wang, X.; Peng, L. Comparative transcriptomic analysis of the metabolism of betalains and flavonoids in red amaranth hypocotyl under blue light and dark conditions. Molecules 2023, 28, 5627. [Google Scholar] [CrossRef]
- Giordano, M.; Petropoulos, S.A.; Rouphael, Y. Response and defence mechanisms of vegetable crops against drought, heat and salinity stress. Agriculture 2021, 11, 463. [Google Scholar] [CrossRef]
- Vargas-Ortiz, E.; Ramírez-Tobias, H.M.; González-Escobar, J.L.; Gutierrez-Garcia, A.K.; Bojorquez-Velazquez, E.; Espitia-Rangel, E.; de la Rosa, A.P.B. Biomass, chlorophyll fluorescence, and osmoregulation traits let differentiation of wild and cultivated Amaranthus under water stress. J. Photochem. Photobiol. B Biol. 2021, 220, 112210. [Google Scholar] [CrossRef]
- Netshimbupfe, M.H.; Berner, J.; Gouws, C. The interactive effects of drought and heat stress on photosynthetic efficiency and biochemical defense mechanisms of Amaranthus species. Plant-Environ. Interact. 2022, 3, 212–225. [Google Scholar] [CrossRef]
- Sarker, U.; Oba, S. Drought stress effects on growth, ROS markers, compatible solutes, phenolics, flavonoids, and antioxidant activity in Amaranthus tricolor. Appl. Biochem. Biotechnol. 2018, 186, 999–1016. [Google Scholar] [CrossRef]
- Liang, W.; Ma, X.; Wan, P.; Liu, L. Plant salt-tolerance mechanism: A review. Biochem. Biophys. Res. Commun. 2018, 495, 286–291. [Google Scholar] [CrossRef]
- Shen, C.; Yuan, J.; Li, X.; Chen, R.; Li, D.; Wang, F.; Liu, X.; Li, X. Genome-wide identification of NHX (Na+/H+ antiporter) gene family in Cucurbita L. and functional analysis of CmoNHX1 under salt stress. Front. Plant Sci. 2023, 14, 1136810. [Google Scholar] [CrossRef]
- Hossain, M.N.; Sarker, U.; Raihan, M.S.; Al-Huqail, A.A.; Siddiqui, M.H.; Oba, S. Influence of salinity stress on color parameters, leaf pigmentation, polyphenol and flavonoid contents, and antioxidant activity of Amaranthus lividus leafy vegetables. Molecules 2022, 27, 1821. [Google Scholar] [CrossRef]
- Xie, J.; Li, Y.; Jiang, G.; Sun, H.; Liu, X.; Han, L. Seed color represents salt resistance of alfalfa seeds (Medicago sativa L.): Based on the analysis of germination characteristics, seedling growth and seed traits. Front. Plant Sci. 2023, 14, 1104948. [Google Scholar] [CrossRef]
- Bassil, E.; Blumwald, E. The ins and outs of intracellular ion homeostasis: NHX-type cation/H+ transporters. Curr. Opin. Plant Biol. 2014, 22, 1–6. [Google Scholar] [CrossRef]
- Bassil, E.; Coku, A.; Blumwald, E. Cellular ion homeostasis: Emerging roles of intracellular NHX Na+/H+ antiporters in plant growth and development. J. Exp. Bot. 2012, 63, 5727–5740. [Google Scholar] [CrossRef]
- Masrati, G.; Dwivedi, M.; Rimon, A.; Gluck-Margolin, Y.; Kessel, A.; Ashkenazy, H.; Mayrose, I.; Padan, E.; Ben-Tal, N. Broad phylogenetic analysis of cation/proton antiporters reveals transport determinants. Nat. Commun. 2018, 9, 4205. [Google Scholar] [CrossRef]
- Horie, T.; Hauser, F.; Schroeder, J.I. HKT transporter-mediated salinity resistance mechanisms in Arabidopsis and monocot crop plants. Trends Plant Sci. 2009, 14, 660–668. [Google Scholar] [CrossRef]
- Mondal, R.; Rimon, A.; Masrati, G.; Ben-Tal, N.; Friedler, A.; Padan, E. Towards molecular understanding of the pH dependence characterizing NhaA of which structural fold is shared by other transporters. J. Mol. Biol. 2021, 433, 167156. [Google Scholar] [CrossRef]
- Chanroj, S.; Wang, G.; Venema, K.; Zhang, M.W.; Delwiche, C.F.; Sze, H. Conserved and diversified gene families of monovalent cation/h(+) antiporters from algae to flowering plants. Front. Plant Sci. 2012, 3, 25. [Google Scholar] [CrossRef]
- Keisham, M.; Mukherjee, S.; Bhatla, S.C. Mechanisms of sodium transport in plants-progresses and challenges. Int. J. Mol. Sci. 2018, 19, 647. [Google Scholar] [CrossRef]
- Bassil, E.; Zhang, S.; Gong, H.; Tajima, H.; Blumwald, E. Cation specificity of vacuolar NHX-type cation/H+ antiporters. Plant Physiol. 2019, 179, 616–629. [Google Scholar] [CrossRef]
- Akram, U.; Song, Y.; Liang, C.; Abid, M.A.; Askari, M.; Myat, A.A.; Abbas, M.; Malik, W.; Ali, Z.; Guo, S.; et al. Genome-wide characterization and expression analysis of NHX gene family under salinity stress in Gossypium barbadense and its comparison with Gossypium hirsutum. Genes 2020, 11, 803. [Google Scholar] [CrossRef]
- Wu, G.Q.; Wang, J.L.; Li, S.J. Genome-wide identification of Na+/H+ antiporter (NHX) genes in sugar beet (Beta vulgaris L.) and their regulated expression under salt stress. Genes 2019, 10, 401. [Google Scholar] [CrossRef]
- Dong, J.; Liu, C.; Wang, Y.; Zhao, Y.; Ge, D.; Yuan, Z. Genome-wide identification of the NHX gene family in Punica granatum L. and their expressional patterns under salt stress. Agronomy 2021, 11, 264. [Google Scholar] [CrossRef]
- Gálvez, F.J.; Baghour, M.; Hao, G.; Cagnac, O.; Rodríguez-Rosales, M.P.; Venema, K. Expression of LeNHX isoforms in response to salt stress in salt sensitive and salt tolerant tomato species. Plant Physiol. Biochem. 2012, 51, 109–115. [Google Scholar] [CrossRef]
- Almeida, D.M.; Gregorio, G.B.; Oliveira, M.M.; Saibo, N.J. Five novel transcription factors as potential regulators of OsNHX1 gene expression in a salt tolerant rice genotype. Plant Mol. Biol. 2017, 93, 61–77. [Google Scholar] [CrossRef]
- Li, H.T.; Liu, H.; Gao, X.S.; Zhang, H. Knock-out of Arabidopsis AtNHX4 gene enhances tolerance to salt stress. Biochem. Biophys. Res. Commun. 2009, 382, 637–641. [Google Scholar] [CrossRef]
- Wang, H.; Xu, D.; Wang, S.; Wang, A.; Lei, L.; Jiang, F.; Yang, B.; Yuan, L.; Chen, R.; Zhang, Y. Chromosome-scale Amaranthus tricolor genome provides insights into the evolution of the genus Amaranthus and the mechanism of betalain biosynthesis. DNA Res. 2023, 30, dsac050. [Google Scholar] [CrossRef]
- Jia, Q.; Zheng, C.; Sun, S.; Amjad, H.; Liang, K.; Lin, W. The role of plant cation/proton antiporter gene family in salt tolerance. Biol. Plant. 2018, 62, 617–629. [Google Scholar] [CrossRef]
- Mäser, P.; Thomine, S.; Schroeder, J.I.; Ward, J.M.; Hirschi, K.; Sze, H.; Talke, I.N.; Amtmann, A.; Maathuis, F.J.M.; Sanders, D.; et al. Phylogenetic relationships within cation transporter families of Arabidopsis. Plant Physiol. 2001, 126, 1646–1667. [Google Scholar] [CrossRef]
- Zeng, Y.; Li, Q.; Wang, H.; Zhang, J.; Du, J.; Feng, H.; Blumwald, E.; Yu, L.; Xu, G. Two NHX-type transporters from Helianthus tuberosus improve the tolerance of rice to salinity and nutrient deficiency stress. Plant Biotechnol. J. 2018, 16, 310–321. [Google Scholar] [CrossRef]
- Yue, C.P.; Han, L.; Sun, S.S.; Chen, J.F.; Feng, Y.N.; Huang, J.Y.; Zhou, T.; Hua, Y.P. Genome-wide identification of the cation/proton antiporter (CPA) gene family and functional characterization of the key member BnaA05.NHX2 in allotetraploid rapeseed. Gene 2024, 894, 148025. [Google Scholar] [CrossRef]
- Wang, Y.; Ying, J.; Zhang, Y.; Xu, L.; Zhang, W.; Ni, M.; Zhu, Y.; Liu, L. Genome-wide identification and functional characterization of the cation proton antiporter (CPA) family related to salt stress response in radish (Raphanus sativus L.). Int. J. Mol. Sci. 2020, 21, 8262. [Google Scholar] [CrossRef]
- Chen, R.; Jeong, S.S. Functional prediction: Identification of protein orthologs and paralogs. Protein Sci. 2000, 9, 2344–2353. [Google Scholar] [CrossRef]
- Khaksar, G.; Sirikantaramas, S. Transcriptome-wide identification and expression profiling of the ERF gene family suggest roles as transcriptional activators and repressors of fruit ripening in durian. PLoS ONE 2021, 16, e0252367. [Google Scholar] [CrossRef]
- Liu, H.; Tang, R.; Zhang, Y.U.; Wang, C.; Lv, Q.; Gao, X.; Li, W.; Zhang, H. AtNHX3 is a vacuolar K+/H+ antiporter required for low-potassium tolerance in Arabidopsis thaliana. Plant Cell Environ. 2010, 33, 1989–1999. [Google Scholar] [CrossRef]
- Li, N.; Wang, X.; Ma, B.; Du, C.; Zheng, L.; Wang, Y. Expression of a Na+/H+ antiporter RtNHX1 from a recretohalophyte Reaumuria trigyna improved salt tolerance of transgenic Arabidopsis thaliana. J. Plant Physiol. 2017, 218, 109–120. [Google Scholar] [CrossRef]
- Krishnamurthy, P.; Vishal, B.; Khoo, K.; Rajappa, S.; Loh, C.S.; Kumar, P.P. Expression of AoNHX1 increases salt tolerance of rice and Arabidopsis, and bHLH transcription factors regulate AtNHX1 and AtNHX6 in Arabidopsis. Plant Cell Rep. 2019, 38, 1299–1315. [Google Scholar] [CrossRef]
- Akhter, N.; Aqeel, M.; Shahnaz, M.M.; Alnusairi, G.S.; Alghanem, S.M.; Kousar, A.; Hashem, M.; Kanwal, H.; Alamri, S.; Ilyas, A.; et al. Physiological homeostasis for ecological success of Typha (Typha domingensis Pers.) populations in saline soils. Physiol. Mol. Biol. Plants 2021, 27, 687–701. [Google Scholar] [CrossRef]
- Brett, C.L.; Donowitz, M.; Rao, R. Evolutionary origins of eukaryotic sodium/proton exchangers. Am. J. Physiol.-Cell Physiol. 2005, 288, C223–C239. [Google Scholar] [CrossRef]
- Ohnishi, M.; Fukada-Tanaka, S.; Hoshino, A.; Takada, J.; Inagaki, Y.; Iida, S. Characterization of a novel Na+/H+ antiporter gene InNHX2 and comparison of InNHX2 with InNHX1, which is responsible for blue flower coloration by increasing the vacuolar pH in the Japanese morning glory. Plant Cell Physiol. 2005, 46, 259–267. [Google Scholar] [CrossRef]
- Yamaguchi, T.; Fukada-Tanaka, S.; Inagaki, Y.; Saito, N.; Yonekura-Sakakibara, K.; Tanaka, Y.; Kusumi, T.; Iida, S. Genes encoding the vacuolar Na+/H+ exchanger and flower coloration. Plant Cell Physiol. 2001, 42, 451–461. [Google Scholar] [CrossRef]
- Xu, Q.; Xia, M.; He, G.; Zhang, Q.; Meng, Y.; Ming, F. New insights into the influence of NHX-type Cation/H+ antiporter on flower color in Phalaenopsis orchids. J. Plant Physiol. 2022, 279, 153857. [Google Scholar] [CrossRef]
- Bassil, E.; Tajima, H.; Liang, Y.C.; Ohto, M.A.; Ushijima, K.; Nakano, R.; Esumi, T.; Coku, A.; Belmonte, M.; Blumwald, E. The Arabidopsis Na+/H+ antiporters NHX1 and NHX2 control vacuolar pH and K+ homeostasis to regulate growth, flower development, and reproduction. Plant Cell 2011, 23, 3482–3497. [Google Scholar] [CrossRef]
- Chen, Z.Y.; Guo, X.J.; Chen, Z.X.; Chen, W.Y.; Liu, D.C.; Zheng, Y.L.; Liu, Y.X.; Wei, Y.M.; Wang, J.R. Genome-wide characterization of developmental stage-and tissue-specific transcription factors in wheat. BMC Genom. 2015, 16, 125. [Google Scholar] [CrossRef]
- Chen, C.; Wu, Y.; Li, J.; Wang, X.; Zeng, Z.; Xu, J.; Liu, Y.; Feng, J.; Chen, H.; He, Y. TBtools-II: A “one for all, all for one” bioinformatics platform for biological big-data mining. Mol. Plant 2023, 16, 1733–1742. [Google Scholar] [CrossRef]
- Lescot, M.; Déhais, P.; Thijs, G.; Marchal, K.; Moreau, Y.; Van de Peer, Y.; Rouzé, P.; Rombauts, S. PlantCARE, a database of plant cis-acting regulatory elements and a portal to tools for in silico analysis of promoter sequences. Nucleic Acids Res. 2002, 30, 325–327. [Google Scholar] [CrossRef]
- Fang, X.; Youfeng, Z.; Jialan, C.; Chunli, Z.; He, C.; Le, W.; Shengcai, L. Selection and validation of reference genes in all-red amaranth (Amaranthus tricolor L.) seedlings under different culture conditions. J. Hortic. Sci. Biotechnol. 2021, 96, 604–613. [Google Scholar] [CrossRef]
- Wise, A.A.; Liu, Z.; Binns, A.N. Three methods for the introduction of foreign DNA into Agrobacterium. Agrobact. Protoc. 2006, 343, 43–54. [Google Scholar]
- Clough, S.J.; Bent, A.F. Floral dip: A simplified method for Agrobacterium-mediated transformation of Arabidopsis thaliana. Plant J. 1998, 16, 735–743. [Google Scholar] [CrossRef]











| Sequence ID | Gene Name | Number of Amino Acids | Molecular Weight/kDa | Theoretical pI | Instability Index | Aliphatic Index | Grand Average of Hydropathicity | Number of Predicted TMHs | Localization |
|---|---|---|---|---|---|---|---|---|---|
| g1127.t1 | AtrNHX1 | 1158 | 128.23 | 6.96 | 36.53 | 98.32 | 0.051 | 12 | Plasma Membrane |
| g3986.t1 | AtrNHX2 | 283 | 31.85 | 5.57 | 54.17 | 97.49 | 0.195 | 5 | Vacuole |
| g3987.t1 | AtrNHX3 | 241 | 25.90 | 5.46 | 43.79 | 123.4 | 0.834 | 5 | Vacuole |
| g6525.t1 | AtrNHX4 | 536 | 59.05 | 6.08 | 37.48 | 114.94 | 0.515 | 11 | Plasma Membrane |
| g6555.t1 | AtrNHX5 | 544 | 60.34 | 7.73 | 30.13 | 107.5 | 0.55 | 11 | Vacuole |
| g14299.t1 | AtrNHX6 | 540 | 59.74 | 6.31 | 32.79 | 107.04 | 0.517 | 12 | Vacuole |
| g14654.t1 | AtrNHX7 | 538 | 59.16 | 6.56 | 33.61 | 113.98 | 0.538 | 11 | Plasma Membrane |
| g21099.t1 | AtrNHX8 | 535 | 59.64 | 7.03 | 42.28 | 109.1 | 0.534 | 11 | Vacuole |
| g25914.t1 | AtrNHX9 | 582 | 65.77 | 8 | 33.13 | 108.99 | 0.447 | 11 | Vacuole |
| g3924.t1 | AtrKEA1 | 1217 | 131.97 | 5.02 | 44.9 | 103.8 | 0.02 | 10 | Nucleus |
| g7796.t1 | AtrKEA2 | 795 | 86.19 | 5.28 | 37.74 | 114.92 | 0.331 | 0 | Plasma Membrane |
| g11419.t1 | AtrKEA3 | 1250 | 135.36 | 6.57 | 40.14 | 106.29 | 0.299 | 10 | Chloroplast |
| g11543.t1 | AtrKEA4 | 435 | 47.69 | 6.82 | 39.54 | 121.7 | 0.637 | 8 | Plasma Membrane |
| g22883.t1 | AtrKEA5 | 582 | 63.81 | 5.72 | 28.64 | 116.72 | 0.568 | 10 | Plasma Membrane |
| g784.t1 | AtrCPA2-1 | 826 | 90.05 | 6.08 | 39.08 | 114.25 | 0.346 | 12 | Vacuole |
| g1479.t1 | AtrCPA2-2 | 673 | 74.59 | 5.57 | 35.87 | 111.34 | 0.35 | 8 | Vacuole |
| g3652.t1 | AtrCPA2-3 | 808 | 89.60 | 8.71 | 40.42 | 114.13 | 0.287 | 12 | Vacuole |
| g4917.t1 | AtrCPA2-4 | 802 | 86.24 | 7.58 | 33.28 | 110.39 | 0.387 | 10 | Plasma Membrane |
| g5517.t1 | AtrCPA2-5 | 762 | 85.31 | 8.94 | 36.32 | 102.17 | 0.178 | 11 | Plasma Membrane |
| g6141.t1 | AtrCPA2-6 | 711 | 77.63 | 7.23 | 39.87 | 105.4 | 0.3 | 8 | Plasma Membrane |
| g10210.t1 | AtrCPA2-7 | 222 | 25.08 | 5.75 | 23.57 | 109.14 | 0.194 | 1 | Nucleus |
| g10238.t1 | AtrCPA2-8 | 770 | 85.94 | 9.21 | 38.62 | 102.48 | 0.226 | 10 | Plasma Membrane |
| g10240.t1 | AtrCPA2-9 | 806 | 89.34 | 8.97 | 44.39 | 115.09 | 0.34 | 9 | Plasma Membrane |
| g11973.t1 | AtrCPA2-10 | 774 | 85.26 | 7.84 | 31.56 | 109.56 | 0.359 | 10 | Plasma Membrane |
| g13265.t1 | AtrCPA2-11 | 279 | 30.96 | 7 | 36.97 | 132.08 | 0.907 | 6 | Plasma Membrane |
| g13271.t1 | AtrCPA2-12 | 811 | 90.62 | 6.42 | 30.28 | 111.37 | 0.406 | 10 | Plasma Membrane |
| g15229.t1 | AtrCPA2-13 | 787 | 88.43 | 5.79 | 36.95 | 107.85 | 0.311 | 9 | Plasma Membrane |
| g15998.t1 | AtrCPA2-14 | 842 | 92.27 | 7.6 | 38.75 | 108.97 | 0.263 | 9 | Plasma Membrane |
| g17069.t1 | AtrCPA2-15 | 827 | 90.98 | 5.9 | 45.8 | 115.94 | 0.355 | 12 | Plasma Membrane |
| g18403.t1 | AtrCPA2-16 | 800 | 86.72 | 8.57 | 37.7 | 109.31 | 0.388 | 10 | Plasma Membrane |
| g19386.t1 | AtrCPA2-17 | 422 | 47.49 | 4.58 | 37.88 | 108.29 | 0.22 | 5 | Plasma Membrane |
| g22241.t1 | AtrCPA2-18 | 779 | 85.98 | 8.33 | 27 | 114.39 | 0.371 | 10 | Plasma Membrane |
| g23418.t1 | AtrCPA2-19 | 789 | 89.82 | 9.02 | 39.21 | 111.72 | 0.285 | 11 | Plasma Membrane |
| g25711.t1 | AtrCPA2-20 | 280 | 31.26 | 9.47 | 27.61 | 114.82 | 0.474 | 6 | Plasma Membrane |
| g26069.t1 | AtrCPA2-21 | 791 | 87.75 | 8.11 | 29.87 | 104.84 | 0.277 | 11 | Plasma Membrane |
| Gene Name | Forward Primer Sequences (5′-3′) | Reverse Primer Sequences (5′-3′) |
|---|---|---|
| AtrNHX1 | TGTCATTGCCCAAGGTGT | TTCTCTCCAGTCCAAACCAT |
| AtrNHX2 | CCAGGGCTGTGAATGTGTT | CCAGGGCTGTGAATGTGTT |
| AtrNHX3 | CAGAAACAAGCATCAGGGA | AAAGTGAGGCTATGAAGGTCC |
| AtrNHX4 | TCATTTACTTGCTGCCACC | GCTGCGTCAATCCAATCTT |
| AtrNHX5 | GCTTTCGCAACACTGTCTTT | CAACCATCACTAAACCGAGC |
| AtrNHX6 | ATGCTTGCCGAACTCTTC | TCTCAATGTCTAATGCGTCC |
| AtrNHX7 | TGAGGAAGATTGGTTTGACG | AGGTCGCATCATTCACTACTC |
| AtrNHX8 | GGGAAGGTGTTGTAAATGATGC | TCCTGTCAGAACTCCGAGAATG |
| AtrNHX9 | CGTGTTTCCTTTATCCGC | CATCGTAGCATTGACAGTATCC |
| AtrEF1a | GGGATGCTGGTATGGTGAA | ACGGGTCATTTCTTCTTCTGAG |
| Gene | Forward Primer Sequences (5′-3′) | Reverse Primer Sequences (5′-3′) | Usage |
|---|---|---|---|
| AtrNHX8 | CGGGGTACCATGCGATGAAAGTGCCTTT | ACGCGTCGACCCTATTACTGAAGTAGTCTAC | Vector construction |
| GUS | ACGTCCTGAAGAAACCCCAACC | TCCCGGCAATAACATACGGCGT | PCR |
| Hyg | CTATTTCTTTGCCCTCGGACGAG | GAATCGGTCAATACACTACATGGC | PCR |
| AtNHX4 | CTTGACTGTGTTCTTCTGCG | CAACGTCCCATTTCTCGAT | qRT-PCR |
Disclaimer/Publisher’s Note: The statements, opinions and data contained in all publications are solely those of the individual author(s) and contributor(s) and not of MDPI and/or the editor(s). MDPI and/or the editor(s) disclaim responsibility for any injury to people or property resulting from any ideas, methods, instructions or products referred to in the content. |
© 2024 by the authors. Licensee MDPI, Basel, Switzerland. This article is an open access article distributed under the terms and conditions of the Creative Commons Attribution (CC BY) license (https://creativecommons.org/licenses/by/4.0/).
Share and Cite
Liu, S.; An, Z.; Li, Y.; Yang, R.; Lai, Z. Genome-Wide Identification of the Cation/Proton Antiporter (CPA) Gene Family and Functional Analysis of AtrNHX8 under Salt Stress. Plants 2024, 13, 1701. https://doi.org/10.3390/plants13121701
Liu S, An Z, Li Y, Yang R, Lai Z. Genome-Wide Identification of the Cation/Proton Antiporter (CPA) Gene Family and Functional Analysis of AtrNHX8 under Salt Stress. Plants. 2024; 13(12):1701. https://doi.org/10.3390/plants13121701
Chicago/Turabian StyleLiu, Shengcai, Zixian An, Yixuan Li, Rongzhi Yang, and Zhongxiong Lai. 2024. "Genome-Wide Identification of the Cation/Proton Antiporter (CPA) Gene Family and Functional Analysis of AtrNHX8 under Salt Stress" Plants 13, no. 12: 1701. https://doi.org/10.3390/plants13121701
APA StyleLiu, S., An, Z., Li, Y., Yang, R., & Lai, Z. (2024). Genome-Wide Identification of the Cation/Proton Antiporter (CPA) Gene Family and Functional Analysis of AtrNHX8 under Salt Stress. Plants, 13(12), 1701. https://doi.org/10.3390/plants13121701

