Catha edulis Leaves: Morphological Characterization and Anti-Inflammatory Properties in an In Vitro Model of Gastritis
Abstract
1. Introduction
2. Results
2.1. Micromorphological Survey
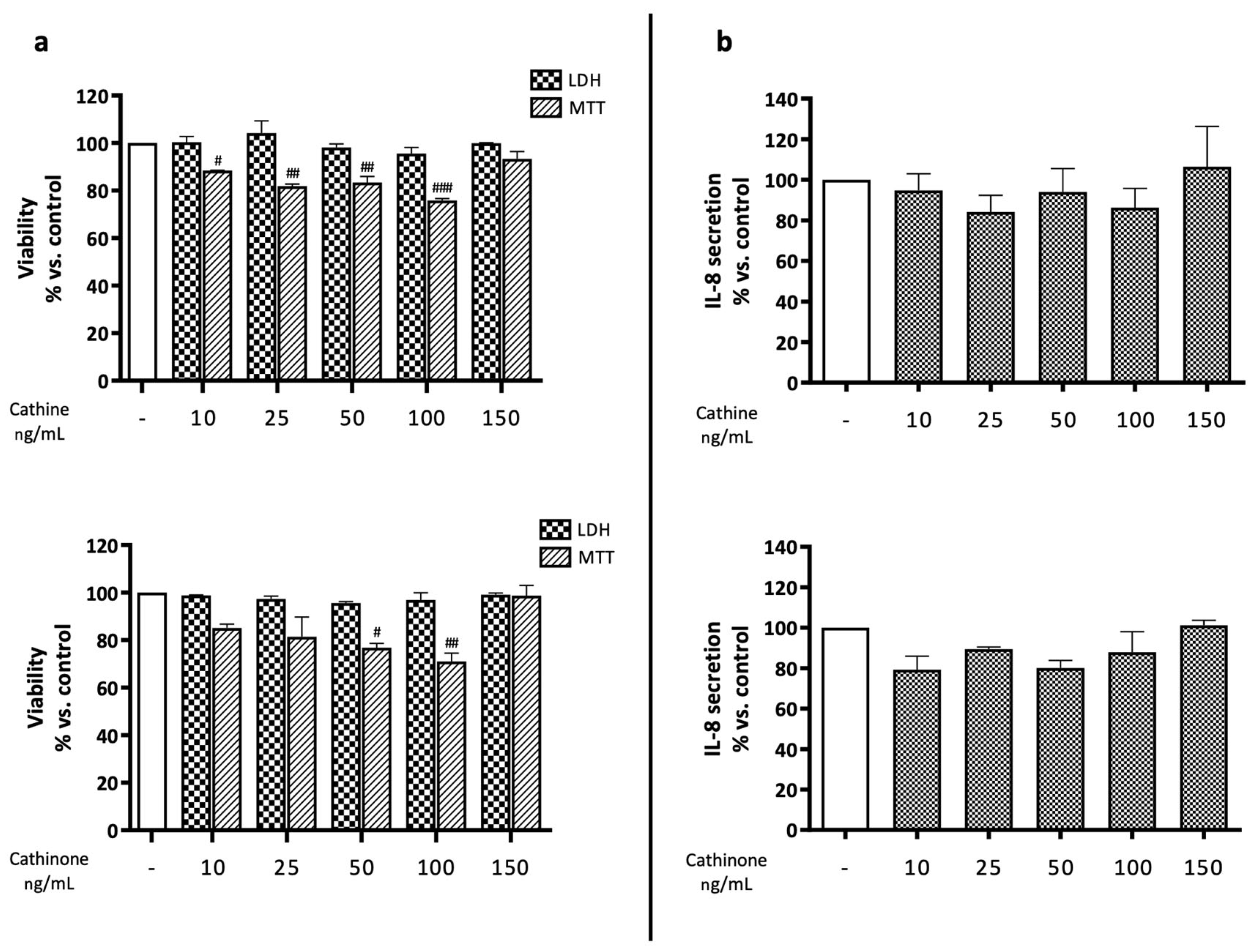
2.2. Biological and Phytochemical Surveys
3. Discussion
4. Materials and Methods
4.1. Plant Material
4.2. Micromorphological Survey
4.3. In Vitro Simulated Digestion–Extraction
4.4. Hydromethanolic Extraction
4.5. Detection of the Psychoactive Alkaloids: Cathine and Cathinone
4.5.1. Reagents and Standards
4.5.2. Sample Preparation
4.6. Cell Culture
4.7. Cell Treatment
4.8. Cytotoxicity Assays
4.8.1. MTT Assay
4.8.2. LDH Assay
4.9. Measurement of IL-8 Release
4.10. Statistical Analysis
Supplementary Materials
Author Contributions
Funding
Data Availability Statement
Acknowledgments
Conflicts of Interest
References
- Cox, G.; Rampes, H. Adverse effects of khat: A review. Adv. Psychiatr. Treat. 2003, 9, 456–463. [Google Scholar] [CrossRef]
- Getahun, A.; Krikorian, A.D. Chat: Coffee’s rival from Harar, Ethiopia. I. Botany, cultivation and use. Econ. Bot. 1973, 27, 353–377. [Google Scholar] [CrossRef]
- Kelly, J.P. Cathinone derivatives: A review of their chemistry, pharmacology and toxicology. Drug Test. Anal. 2011, 3, 439–453. [Google Scholar] [CrossRef] [PubMed]
- Geisshüsler, S.; Brenneisen, R. The content of psychoactive phenylpropyl and phenylpentenyl khatamines in Catha edulis Forsk. of different origin. J. Ethnopharmacol. 1987, 19, 269–277. [Google Scholar] [CrossRef] [PubMed]
- Al-Motarreb, A.; Baker, K.; Broadley, K.J. Khat: Pharmacological and medical aspects and its social use in Yemen. Phytother. Res. 2002, 16, 403–413. [Google Scholar] [CrossRef] [PubMed]
- Al-Meshal, I.A.; Ageel, A.M.; Parmar, N.S.; Tariq, M. Catha edulis (khat); Use, abuse and current status of scientific knowledge. Fitoterapia 1985, 56, 131–152. [Google Scholar]
- Al-Meshal, I.A.; Hifnawy, M.S.; Nasir, M. Myricetin, dihydromyricetin, and quercetin glycosides from Catha edulis. J. Nat. Prod. 1986, 49, 172. [Google Scholar] [CrossRef]
- Feyissa, A.M.; Kelly, J.P. A review of the neuropharmacological properties of khat. Prog. Neuropsychopharmacol. Biol. Psychiatry 2008, 32, 1147–1166. [Google Scholar] [CrossRef] [PubMed]
- Freund-Michel, V.C.; Birrell, M.A.; Patel, H.J.; Murray-Lyon, I.M.; Belvisi, M.G. Modulation of cholinergic contractions of airway smooth muscle by cathinone: Potential beneficial effects in airway diseases. Eur. Respir. J. 2008, 32, 579–584. [Google Scholar] [CrossRef]
- Githua, K.K.; Maitho, T.E.; Nguta, J.M.; Okumu, M.O. Studies on the ethnopharmacology, antimicrobial activity, and toxicity of Catha edulis (Vahl.) Endl., in Sprague Dawley rats. F1000Res 2022, 11, 286. [Google Scholar] [CrossRef]
- Gerstle, D.J. Tamin the African Horn khat trade. SIPA News 2007, 01, 27–29. [Google Scholar]
- Ayano, G.; Yohannis, K.; Abraha, M. Epidemiology of khat (Catha edulis) consumption among university students: A meta-analysis. BMC Public Health 2019, 19, 150. [Google Scholar] [CrossRef] [PubMed]
- Odenwald, M.; Al’absi, M. Khat use and related addiction, mental health and physical disorders: The need to address a growing risk. East. Mediterr. Health J. 2017, 23, 236–244. [Google Scholar] [CrossRef]
- Kassim, S.; Islam, S.; Croucher, R. Validity and reliability of a Severity of Dependence Scale for khat (SDS-khat). J. Ethnopharmacol. 2010, 132, 570–577. [Google Scholar] [CrossRef]
- Bogale, T.; Engidawork, E.; Yisma, E. Subchronic oral administration of crude khat extract (Catha edulis forsk) induces schizophernic-like symptoms in mice. BMC Complement. Altern. Med. 2016, 16, 153. [Google Scholar] [CrossRef] [PubMed]
- Al-Habori, M. The potential adverse effects of habitual use of Catha edulis (khat). Expert. Opin. Drug Saf. 2005, 4, 1145–1154. [Google Scholar] [CrossRef] [PubMed]
- Abdelwahab, S.I.; Alsanosy, R.; Mohamed Elhassan Taha, M.; Mohan, S. Khat Induced Toxicity: Role on Its Modulating Effects on Inflammation and Oxidative Stability. BioMed Res. Int. 2018, 2018, 5896041. [Google Scholar] [CrossRef] [PubMed]
- Sangiovanni, E.; Piazza, S.; Vrhovsek, U.; Fumagalli, M.; Khalilpour, S.; Masuero, D.; Di Lorenzo, C.; Colombo, L.; Mattivi, F.; De Fabiani, E.; et al. A bio-guided approach for the development of a chestnut-based proanthocyanidin-enriched nutraceutical with potential anti-gastritis properties. Pharmacol. Res. 2018, 134, 145–155. [Google Scholar] [CrossRef]
- Shadan, P.; Shellard, E.J. An anatomical study of Ethiopian khat (leaf of Catha edulis Forsk). J. Pharm. Pharmacol. 1962, 14, 110–118. [Google Scholar] [CrossRef]
- Piazza, S.; Martinelli, G.; Fumagalli, M.; Pozzoli, C.; Maranta, N.; Giavarini, F.; Colombo, L.; Nicotra, G.; Vicentini, S.F.; Genova, F.; et al. Ellagitannins from Castanea sativa Mill. Leaf Extracts Impair H. pylori Viability and Infection-Induced Inflammation in Human Gastric Epithelial Cells. Nutrients 2023, 15, 1504. [Google Scholar] [CrossRef]
- Martinelli, G.; Angarano, M.; Piazza, S.; Fumagalli, M.; Magnavacca, A.; Pozzoli, C.; Khalilpour, S.; Dell’Agli, M.; Sangiovanni, E. The Nutraceutical Properties of Sumac (Rhus coriaria L.) against Gastritis: Antibacterial and Anti-Inflammatory Activities in Gastric Epithelial Cells Infected with H. pylori. Nutrients 2022, 14, 1757. [Google Scholar] [CrossRef] [PubMed]
- Johansen, D.A. Plant Microtechnique; McGraw-Hill: New York, NY, USA; London, UK, 1940. [Google Scholar]
- Beccari, N.M.V. Manuale di Tecnica Microscopica; Società Editrice Libraria: Milan, Italy, 1966. [Google Scholar]
- Gahan, P.B. Plant Histochemistry and Cytochemistry; Academic Press: London, UK, 1984. [Google Scholar]
- Oomen, A.G.; Rompelberg, C.J.M.; Brandon, E.F.A.; van de Kamp, E.; Duits, M.R.; Versantvoort, C.H.M.; van Engelen, J.G.M.; Sips, A.J.A.M. Consumer Product In Vitro Digestion Model: Bioaccessibility of Contaminants from Toys and Application in Risk Assessment. RIVM Report 320102004/2005; National Institute for Public Health and the Environment (RIVM): Bilthoven, The Netherlands, 2005. [Google Scholar]
- Sangiovanni, E.; Di Lorenzo, C.; Colombo, E.; Colombo, F.; Fumagalli, M.; Frigerio, G.; Restani, P.; Dell’Agli, M. The effect of in vitro gastrointestinal digestion on the anti-inflammatory activity of Vitis vinifera L. leaves. Food Funct. 2015, 6, 2453–2463. [Google Scholar] [CrossRef] [PubMed]
- Getahun, W.; Gedif, T.; Tesfaye, F. Regular Khat (Catha edulis) chewing is associated with elevated diastolic blood pressure among adults in Butajira, Ethiopia: A comparative study. BMC Public Health 2010, 10, 390. [Google Scholar] [CrossRef] [PubMed]
- Denizot, F.; Lang, R. Rapid colorimetric assay for cell growth and survival. Modifications to the tetrazolium dye procedure giving improved sensitivity and reliability. J. Immunol. Methods 1986, 89, 271–277. [Google Scholar] [CrossRef]
- Smith, S.M.; Wunder, M.B.; Norris, D.A.; Shellman, Y.G. A simple protocol for using a LDH-based cytotoxicity assay to assess the effects of death and growth inhibition at the same time. PLoS ONE 2011, 6, e26908. [Google Scholar] [CrossRef]





| Cathinone (ng/µg ± SD) | Cathine (ng/µg ± SD) | |
|---|---|---|
| Dried khat leaf digested extract | 0.014 ± 0.000 | 0.114 ± 0.008 |
| Fresh khat leaf digested extract | 0.036 ± 0.005 | 0.192 ± 0.028 |
| Fresh khat leaf hydromethanolic extract | 1.327 ± 0.196 | 1.362 ± 0.247 |
Disclaimer/Publisher’s Note: The statements, opinions and data contained in all publications are solely those of the individual author(s) and contributor(s) and not of MDPI and/or the editor(s). MDPI and/or the editor(s) disclaim responsibility for any injury to people or property resulting from any ideas, methods, instructions or products referred to in the content. |
© 2024 by the authors. Licensee MDPI, Basel, Switzerland. This article is an open access article distributed under the terms and conditions of the Creative Commons Attribution (CC BY) license (https://creativecommons.org/licenses/by/4.0/).
Share and Cite
Magnavacca, A.; Giuliani, C.; Roda, G.; Piazza, S.; Martinelli, G.; Pozzoli, C.; Maranta, N.; Papini, A.; Bottoni, M.; Casagni, E.; et al. Catha edulis Leaves: Morphological Characterization and Anti-Inflammatory Properties in an In Vitro Model of Gastritis. Plants 2024, 13, 1538. https://doi.org/10.3390/plants13111538
Magnavacca A, Giuliani C, Roda G, Piazza S, Martinelli G, Pozzoli C, Maranta N, Papini A, Bottoni M, Casagni E, et al. Catha edulis Leaves: Morphological Characterization and Anti-Inflammatory Properties in an In Vitro Model of Gastritis. Plants. 2024; 13(11):1538. https://doi.org/10.3390/plants13111538
Chicago/Turabian StyleMagnavacca, Andrea, Claudia Giuliani, Gabriella Roda, Stefano Piazza, Giulia Martinelli, Carola Pozzoli, Nicole Maranta, Alessio Papini, Martina Bottoni, Eleonora Casagni, and et al. 2024. "Catha edulis Leaves: Morphological Characterization and Anti-Inflammatory Properties in an In Vitro Model of Gastritis" Plants 13, no. 11: 1538. https://doi.org/10.3390/plants13111538
APA StyleMagnavacca, A., Giuliani, C., Roda, G., Piazza, S., Martinelli, G., Pozzoli, C., Maranta, N., Papini, A., Bottoni, M., Casagni, E., Dei Cas, M., Fico, G., Dell’Agli, M., & Sangiovanni, E. (2024). Catha edulis Leaves: Morphological Characterization and Anti-Inflammatory Properties in an In Vitro Model of Gastritis. Plants, 13(11), 1538. https://doi.org/10.3390/plants13111538

